Modeling the Dynamic of Herpes Simplex Virus II Incorporating Voluntary Laboratory Test and Medical Treatment
Abstract
1. Introduction
2. Herpes Simplex Virus-II Model
2.1. HSV-II Model Description
- The average length of their viral shedding episodes is shorter;
- They have fewer viral shedding episodes;
- Compared to those who are not vaccinated, they are less likely to spread infection.
2.2. HSV-II Model Equations
3. Results
3.1. Basic Properties of the HSV-II Model
3.2. Positivity of Solution
3.3. Invariant Region of HSV-II Model
4. Existence of Equilibrium
4.1. HSV-II-Free Equilibrium Point
4.2. Basic Reproduction Number of HSV-II Model
4.3. Endemic Equilibrium Points of HSV-II Model
4.4. Local Stability of HSV-II-Free Equilibrium
4.5. Global Stability of the HSV-II-Free Equilibrium Point
5. Sensitivity Analysis
6. Optimality Control for HSV-II Model
Existence of the Control Problem
7. Numerical Simulations of the Herpes Simplex Virus II Model
- Control strategy A: Condom use and HSV-II vaccine exclusively: When condom use and HSV-II vaccination are implemented, and voluntary HSV-II testing and treatment are set to zero, this intervention plan demonstrates the optimal control system (44). When the intervention strategy is applied, compared to the scenario in which there is no control, Figure 3a–h illustrate a decrease in the population of exposed unvaccinated individuals, exposed vaccinated individuals, symptomatic unvaccinated individuals, symptomatic vaccinated individuals, symptomatic aware individuals, quiescent unvaccinated individuals, quiescent vaccinated individuals, and quiescent aware individuals.The control profile, Figure 3i, shows a curve reaching 100% in the 9th year for the period under study.Also, Table 3 shows HSV-II cases averted as a result of the implementation of strategy A. It can be observed that the number of exposed unvaccinated individuals reduced drastically from 7.2495 without control to 2.0701 when control strategy A was implemented and about 6.1794 cases of HSV-II were averted. In the exposed vaccinated individuals, 19.5454 cases were averted using the same strategy; 3.3386, 13.8528, and 2.5021 cases were averted in the unvaccinated symptomatic individuals, vaccinated symptomatic individuals, and aware symptomatic individuals, respectively. In the quiescent unvaccinated individuals, quiescent vaccinated individuals, and quiescent aware individuals, 5.3241, 12.6355, and 3.9775 cases were, respectively, blocked.
- Control strategy B: Use of condoms, HSV-II test and treatment only: This intervention plan demonstrates the optimal control system solution (44) when condom use, HSV-II testing, and treatment are used, and the number of infected persons vaccinated against HSV-II is set at zero. Figure 4a–h show that when this intervention strategy is used, the population of exposed unvaccinated people, exposed vaccinated people, symptomatic unvaccinated people, symptomatic vaccinated people, symptomatic aware people, quiescent unvaccinated people, quiescent vaccinated people, and quiescent aware people decreases compared to the scenario in which there is no control.The control profile, Figure 4i, shows a curve of effective condom use and HSV-II test and treatment at the upper part for the period under study. Hence, we concluded that this strategy is effective in controlling HSV-II.Results from Table 4 indicate that HSV-II infection was averted as a result of the implementation of strategy B. It was shown that 7.1442 and 19.2273 cases in exposed unvaccinated and vaccinated individuals, respectively, were averted. Also, 6.3223, 13.2424, and 5.5256 cases in the symptomatic unvaccinated, symptomatic vaccinated, and aware symptomatic individuals were averted, respectively, when strategy B was implemented. For the quiescent unvaccinated, quiescent vaccinated, and quiescent aware individuals, 10.0047, 11.9922, and 8.6081 cases of HSV-II were averted, respectively.
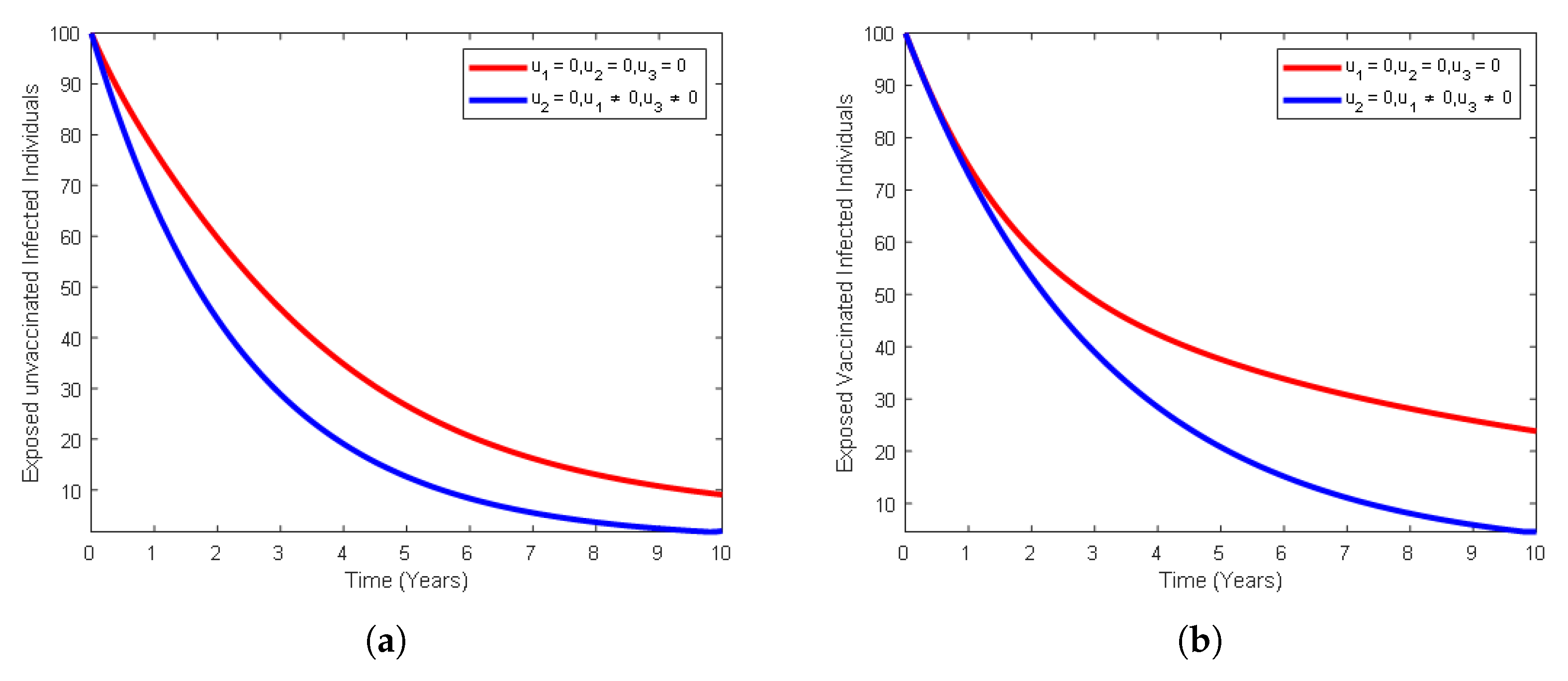
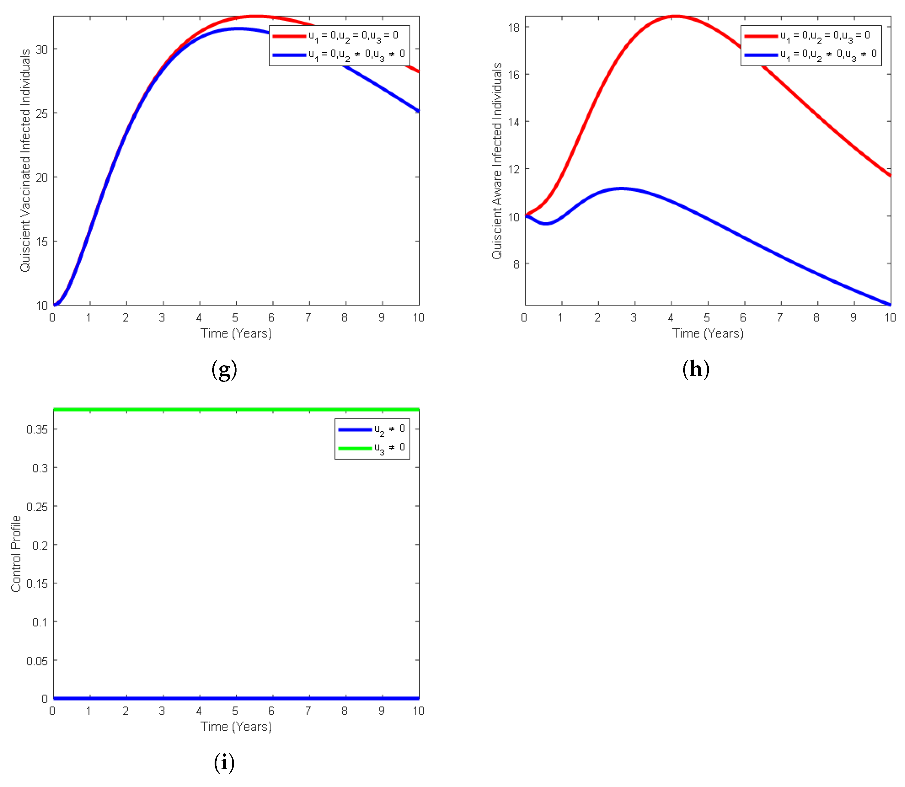
- Control strategy C: HSV-II vaccination, HSV-II test and treatment only: This intervention strategy shows the solution of optimal control system (44) when the use of HSV-II vaccination and HSV-II test and treatment are implemented while the use of condoms by infected individuals is fixed at zero.Figure 5a–h demonstrate a significant decrease in the population of exposed unvaccinated individuals, exposed vaccinated individuals, symptomatic unvaccinated individuals, symptomatic vaccinated individuals, symptomatic aware individuals, quiescent unvaccinated individuals, quiescent vaccinated individuals, and quiescent aware individuals when this intervention strategy is used, compared to the case where there is no control.In Figure 5i, the control profile displays a curve of HSV-II vaccination, with the upper portion of the curve representing HSV-II laboratory testing and treatment over the study period. Therefore, it was determined that this approach is successful in reducing the prevalence of HSV-II infection in the general population.Results from Table 5 indicate that HSV-II was averted as a result of the implementation of strategy C. It was found that 1.8642 and 10.5253 cases in exposed unvaccinated and vaccinated individuals, respectively, were averted. Also, 3.4046, 5.3021, and 3.4370 cases in the symptomatic unvaccinated, symptomatic vaccinated, and symptomatic aware individuals were averted, respectively, when strategy C was implemented. For the quiescent unvaccinated, quiescent vaccinated, and quiescent aware individuals, 6.0699, 4.963, and 5.4963 cases of HSV-II were averted, respectively. Therefore, we conclude that strategy C is also effective in controlling HSV-II.
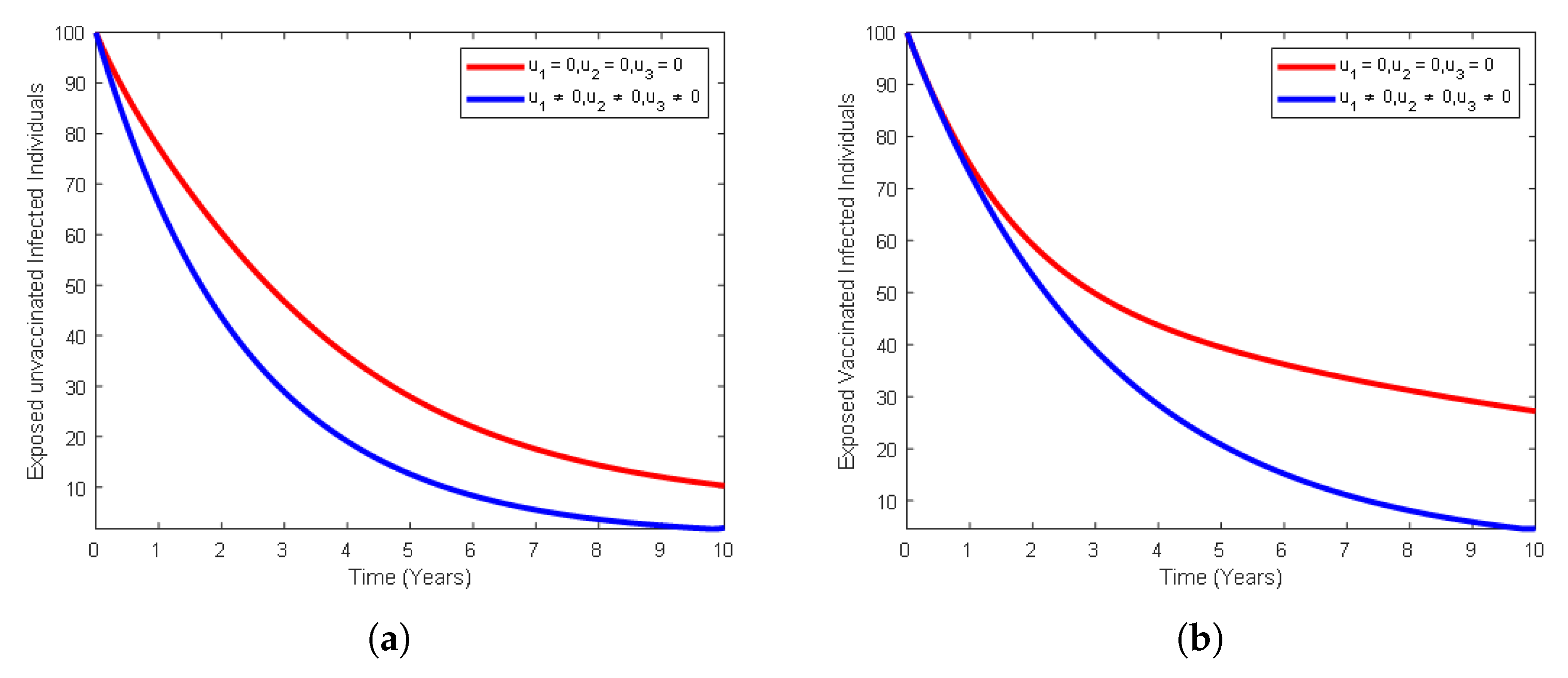
- Control strategy D: Effective condom use, HSV-II vaccination, HSV-II laboratory test and treatment: Lastly, we take into account all three controls simultaneously in this instance. This strategy’s graphical solution is displayed in Figure 6a–h, showing the matching control profile. When condoms, the HSV-II vaccine, the HSV-II test, and treatment are used effectively, the optimal control system (44) is demonstrated by this intervention plan. Figure 6a–h show a considerably decrease in the population of exposed unvaccinated individuals, exposed vaccinated individuals, symptomatic unvaccinated individuals, symptomatic vaccinated individuals, symptomatic aware individuals, quiescent unvaccinated individuals, quiescent vaccinated individuals and quiescent aware individuals. Figure 6i depicts the control profile of strategy D. From the figure, it can be observed that the effective condom use and lab test/treatment remains in the upper part through the time under study. This implies that with effective condom use, coupled with lab test and treatment, the HSV-II infection can be brought down to the minimum in the population even without vaccination. Results from Table 6 show that HSV-II was averted as a result of the implementation of strategy D. It was discovered that 8.3352 and 22.5585 cases in exposed unvaccinated and vaccinated individuals, respectively, were averted. Also, 9.3101, 15.1576, and 6.9163 cases in the symptomatic unvaccinated, symptomatic vaccinated, and symptomatic aware individuals were averted, respectively, when strategy D was implemented. In the quiescent unvaccinated, quiescent vaccinated, and quiescent aware individuals, 14.5408, 13.6165, and 10.8150 cases of HSV-II were averted, respectively. Therefore, we conclude that strategy D is most effective in controlling HSV-II.It is clear, from the graphical interpretations of the four scenarios that have been examined, that the fourth technique (strategy D) is the most effective one for averting HSV-II infection in the community.








8. Conclusions
Author Contributions
Funding
Data Availability Statement
Acknowledgments
Conflicts of Interest
References
- Whitley, R.J.; Roizman, B. Herpes simplex virus infections. Lancet 2001, 357, 1513–1518. [Google Scholar] [CrossRef]
- Magaret, A.S.; Mujugira, A.; Hughes, J.P.; Lingappa, J.E.; Bukusi, A.; DeBruyn, G.; Delany-Moretlwe, S.; Fife, K.H.; Gray, G.E.; Kapiga, S.; et al. Effect of condom use on per-act HSV-2 transmission risk in HIV-1, HSV-2-discordant couples. Clin. Infect. Dis. 2016, 62, 456–461. [Google Scholar] [CrossRef]
- Nakubulwa, S.; Kaye, D.K.; Bwanga, F.; Tumwesigye, N.M.; Nakku-Joloba, E.; Mirembe, F.M. Incidence and risk factors for herpes simplex virus type 2 seroconversion among pregnant women in uganda: A prospective study. J. Infect. Dev. Ctries. 2016, 10, 1108–1115. [Google Scholar] [CrossRef] [PubMed]
- Draeger, E. Management of genital herpes: A guide for gps. Prescriber 2018, 29, 11–14. [Google Scholar] [CrossRef]
- Podder, C.N.; Gumel, A.B. Transmission dynamics of a two-sex model for herpes simplex virus type 2. Q. Appl. Math. 2009, 17, 339–386. [Google Scholar]
- McQuillan, G.; Kruszon-Moran, D.; Flagg, E.; Paulose-Ram, R. Prevalence of herpes simplex virus type 1 and type 2 in persons aged 14–49: United states, 2015–2016. NCHS Data Brief 2018, 304, 1–8. [Google Scholar]
- Fatahzadeh, M.; Schwartz, R.A. Human herpes simplex virus infections: Epidemiology, pathogenesis, symptomatology, diagnosis, and management. J. Am. Acad. Dermatol. 2007, 57, 737–763. [Google Scholar] [CrossRef]
- Schwartz, E.J.; Blower, S. Predicting the potential individual-and population-level effects of imperfect herpes simplex virus type 2 vaccines. J. Infect. Dis. 2015, 191, 1734–1746. [Google Scholar] [CrossRef] [PubMed]
- Szucs, T.D.; Berger, K.; Fisman, D.N.; Harbarth, S. The estimated economic burden of genital herpes in the united states. An analysis using two costing approaches. BMC Infect. Dis. 2001, 1, 5. [Google Scholar] [CrossRef] [PubMed]
- Singh, A.; Preiksaitis, J.; Ferenczy, A.; Romanowski, B. The laboratory diagnosis of herpes simplex virus infections. Can. J. Infect. Dis. Med. Microbiol. 2005, 16, 92. [Google Scholar] [CrossRef]
- Johnston, C.; Corey, L. Current concepts for genital herpes simplex virus. Clin. Microbiol. Rev. 2016, 29, 149–161. [Google Scholar] [CrossRef]
- Fields, S.A.; Bhatia, G.; Fong, J.M.; Liu, M.; Shankar, G.N. Sr-2p vaginal microbicide gel provides protection against herpes simplex virus 2 when administered as a combined prophylactic and postexposure therapeutic. Antimicrob. Agents Chemother. 2015, 59, 5697–5704. [Google Scholar] [CrossRef][Green Version]
- Tudor, D. A deterministic model for herpes infections in human and animal populations. Siam Rev. 1990, 32, 136–139. [Google Scholar] [CrossRef]
- Podder, C.N.; Gumel, A.B. Qualitative dynamics of a vaccination model for HSV-2. IMA J. Appl. Math. 2011, 76, 217–218. [Google Scholar] [CrossRef]
- Acosta, A.; Bar-Zohar, E.; Blanco, S.; Luli, D.; Gao, L.Q. An Epidemic Model of HSV-1 with Vaccination. 2005. Available online: https://mcmsc.asu.edu/sites/g/files/litvpz576/files/2024-09/MTBI%202005%20HSV-1%20with%20Vaccination%20Report.pdf (accessed on 23 August 2024).
- Mubayi, A.; Paredes, M.; Ospina, J. A comparative assessment of epidemiologically different cutaneous leishmaniasis outbreaks in madrid, spain and tolima, colombia: An estimation of the reproduction number via a mathematical model. Trop. Med. Infect. Dis. 2018, 43, 2018. [Google Scholar] [CrossRef]
- Berhe, H.W.; Gebremeskel, A.A.; Melese, Z.T.; Al-arydah, M.; Gebremichael, A.G. Modeling and global stability analysis of COVID-19 dynamics with optimal control and cost-effectiveness analysis. Partial. Differ. Equ. Appl. Math. 2024, 11, 100843. [Google Scholar] [CrossRef]
- Workowski, K.A.; Bolan, G.A. Center for Disease Control and Prevention. Sexually Transmitted Diseases Treatment Guidelines. 2015. Available online: https://www.cdc.gov/MMWR/preview/mmwrhtml/rr6403a1.htm (accessed on 15 June 2024).
- Van den Driessche, P.; Watmough, J. Reproduction numbers and subthreshold endemic equilibria for compartmental models of disease transmission. Math. Biosci. 2002, 180, 29–48. [Google Scholar] [CrossRef] [PubMed]
- Castillo-Chavez, C.; Feng, Z.; Huang, W. On the Computation of R0 and Its Role on Global Stability, Mathematical Approaches for Emerging and Reemerging Infectious Diseases: An Introduction; Springer: Berlin, Germany, 2002; Volume 125, pp. 229–250. [Google Scholar]
- Castillo-Chavez, C.; Song, B. Dynamical models of tuberculosis and their applications. Math. Biosci. Eng. 2004, 1, 361–404. [Google Scholar] [CrossRef]
- Tilahun, G.T.; Makinde, O.D.; Malonza, D. Modelling and optimal control of typhoid fever disease with cost-effective strategies. Comput. Math. Methods Med. 2017, 2017, 2324518. [Google Scholar] [CrossRef] [PubMed]
- Momoh, A.A.; Déthé, D.; Isah, N.S.; Dekera, W.J.; Adewale, J.A.; Michael, A.I. Mathematical modeling and optimal control of a vectorborne rice yellow mottle virus disease. Int. J. Dyn. Control 2024, 12, 600–618. [Google Scholar] [CrossRef]


| Parameter | Description | Value | Source |
|---|---|---|---|
| Recruitment rate of susceptible individuals | 10,000 | [5] | |
| Natural death rate | 0.143 | [5] | |
| Effective contact rate | 0.3 | Assumed | |
| Vaccination rate of susceptible individuals | 0.6 | [5] | |
| Efficacy of vaccine | 0.65 | [5] | |
| Waning rate of vaccine | Assumed | ||
| Reactivation rate in unvaccinated individuals | [5] | ||
| Reactivation rate in unvaccinated individuals | [5] | ||
| Reactivation rate in vaccinated individuals | [5] | ||
| Reactivation rate in aware individuals | Assumed | ||
| p | Proportion of newly recruited individuals vaccinated | 0.0960 | [5] |
| Rate of return to latency in unvaccinated unaware individuals | [5] | ||
| Rate of return to latency in vaccinated individuals | [5] | ||
| Rate of return to latency in aware individuals | [5] | ||
| Progression rate to symptoms (unvaccinated asymptomatic) | [5] | ||
| Progression rate to symptoms (vaccinated asymptomatic) | [5] | ||
| Modification parameter for lower infectiousness of aware classes | 0.5 | [5] | |
| Progression rate related to quiescent infectious classes | [5] | ||
| Proportion of recruited susceptible individuals in whom the vaccine takes effect | 0.6 | [5] | |
| Modification for reduced infectiousness of vaccinated individuals | 0.2, 0.1 | [5] | |
| Disease-induced death rate for unvaccinated symptomatic individuals | 0.0004 | [5] | |
| Disease-induced death rate for unvaccinated quiescent individuals | 0.0003 | [5] | |
| Screening rate of unvaccinated asymptomatic individuals | 0.85 | Assumed | |
| Screening rate of individuals in quiescent states | 0.85 | Assumed | |
| Treatment rates for aware symptomatic and quiescent individuals | variable | – |
| Parameter | Baseline Value | References | Sensitivity Index |
|---|---|---|---|
| 10,000 | [5] | +1.0000 | |
| 0.3000 | [5] | +0.7510 | |
| 1/15 | [8] | +0.4965 | |
| 0.6000 | [5] | −0.1661 | |
| ∈ | 0.6000 | [5] | −0.4285 |
| 0.5000 | Assumed | +0.0052 | |
| 0.0600 | Assumed | +0.0676 | |
| 0.5 | Assumed | −0.1857 | |
| 0.4 | Assumed | −0.2472 | |
| 0.5 | Assumed | −0.0557 | |
| 0.5 | Assumed | −0.0885 | |
| e | 0.6 | Assumed | +0.1466 |
| Variable | Without Control | With Control Strategy A | Infections Averted |
|---|---|---|---|
| 7.2495 | 2.0701 | 5.1794 | |
| 24.3638 | 4.8184 | 19.5454 | |
| 6.9858 | 3.6472 | 3.3386 | |
| 28.9818 | 15.1290 | 13.8528 | |
| 6.4737 | 3.9716 | 2.5021 | |
| 13.4699 | 3.1458 | 10.3241 | |
| 30.7888 | 18.1533 | 12.6355 | |
| 11.1163 | 7.1388 | 3.9775 |
| Variable | Without Control | With Control Strategy B | Infections Averted |
|---|---|---|---|
| 9.053 | 1.910 | 7.1443 | |
| 23.8368 | 4.6095 | 19.2273 | |
| 7.6560 | 1.3337 | 6.3223 | |
| 28.3675 | 15.1251 | 13.2424 | |
| 6.9234 | 1.3978 | 5.5256 | |
| 13.8365 | 3.8318 | 10.0047 | |
| 30.1454 | 18.1532 | 11.9931 | |
| 11.6176 | 3.0095 | 8.6081 | |
| Total | 82.0678 |
| Variable | Without Control | With Control Strategy C | Infections Averted |
|---|---|---|---|
| 3.6425 | 1.7783 | 1.8642 | |
| 22.4632 | 11.9379 | 10.5253 | |
| 4.6558 | 1.2512 | 3.4046 | |
| 21.1758 | 15.8737 | 5.3021 | |
| 4.7709 | 1.3339 | 3.4370 | |
| 9.7273 | 3.6574 | 6.0699 | |
| 23.1055 | 18.1686 | 4.9369 | |
| 8.38906 | 2.8927 | 5.4963 | |
| Total | 41.0381 |
| Variable | Without Control | With Control Strategy D | Infections Averted |
|---|---|---|---|
| 10.2972 | 1.9620 | 8.3352 | |
| 27.2042 | 4.6457 | 22.5585 | |
| 11.2676 | 1.9577 | 9.3099 | |
| 30.2835 | 15.1259 | 15.1576 | |
| 8.6616 | 1.7453 | 6.9163 | |
| 19.6092 | 5.0684 | 14.5408 | |
| 31.7697 | 18.1532 | 13.6165 | |
| 14.3361 | 3.5211 | 10.8150 | |
| Total | 41.0381 |
Disclaimer/Publisher’s Note: The statements, opinions and data contained in all publications are solely those of the individual author(s) and contributor(s) and not of MDPI and/or the editor(s). MDPI and/or the editor(s) disclaim responsibility for any injury to people or property resulting from any ideas, methods, instructions or products referred to in the content. |
© 2026 by the authors. Licensee MDPI, Basel, Switzerland. This article is an open access article distributed under the terms and conditions of the Creative Commons Attribution (CC BY) license.
Share and Cite
Momoh, A.A.; Yusuf, S.; Modu, G.U.; Michael, A.I.; Ahmed, I.; Tariboon, J. Modeling the Dynamic of Herpes Simplex Virus II Incorporating Voluntary Laboratory Test and Medical Treatment. Symmetry 2026, 18, 86. https://doi.org/10.3390/sym18010086
Momoh AA, Yusuf S, Modu GU, Michael AI, Ahmed I, Tariboon J. Modeling the Dynamic of Herpes Simplex Virus II Incorporating Voluntary Laboratory Test and Medical Treatment. Symmetry. 2026; 18(1):86. https://doi.org/10.3390/sym18010086
Chicago/Turabian StyleMomoh, Abdulfatai Atte, Salaudeen Yusuf, Goni Umar Modu, Ali Inalegwu Michael, Idris Ahmed, and Jessada Tariboon. 2026. "Modeling the Dynamic of Herpes Simplex Virus II Incorporating Voluntary Laboratory Test and Medical Treatment" Symmetry 18, no. 1: 86. https://doi.org/10.3390/sym18010086
APA StyleMomoh, A. A., Yusuf, S., Modu, G. U., Michael, A. I., Ahmed, I., & Tariboon, J. (2026). Modeling the Dynamic of Herpes Simplex Virus II Incorporating Voluntary Laboratory Test and Medical Treatment. Symmetry, 18(1), 86. https://doi.org/10.3390/sym18010086

