Abstract
We introduce a new -Post-Widder operator along with its modified form which preserves the test functions . This paper aims to investigate the approximation properties of the -Post-Widder operator while preserving . We estimate the convergence rate of the operators with the help of a continuity module and discuss their asymptotic behavior in terms of the weighted modulus of continuity. Also, our numerical results show that the new operator preserving provides the best approximation. In addition, we establish quantitative estimates of the difference between the two kinds of -Post-Widder operators. Finally, using numerical examples and graphs, we illustrate that, for particular cases, our results provide improved convergence estimates.
1. Introduction
Classical Post-Widder operators [1,2] are defined by
where . These operators preserve linear functions but do not preserve the test functions , . In order to obtain better approximation results, several researchers have proposed new constructions or modifications of operators. King [3] was the first to modify Bernstein operators to preserve the test functions 1 and . Aldaz et al. [4] introduced a generalized classical Bernstein operator by fixing 1 and . Since then, several papers have been devoted to positive linear operators preserving polynomial functions. In order to preserve the test function , Rempulska et al. [5] modified the Post-Widder operators proposed by May [6]. It was found that the modified form has improved approximation properties compared to the form in [6]. Then, Siddiqui et al. [7] studied a Voronovskaya-type theorem for these operators in polynomial-weighted spaces. After that, Gupta et al. [8,9], Srivastav et al. [10], and Abel et al. [11] dealt with modifications of the Post-Widder operators that preserve constant functions and , where .
With the development of q-calculus and symmetric q-calculus, a number of q-analogues of linear positive operators have been constructed and extensively discussed. As usual, for a nonnegative integer n, q-number , q-factorial, and the improper q-integral of on (see [12]) are defined as follows
Also, the q-exponential functions (see [13]) are defined by . In 2012, Ünal et al. [14] introduced a q-Post-Widder operator for , as follows:
where , which denotes the space of all bounded and continuous functions on endowed with the norm . They studied the statistical approximation properties of real and complex q-Post-Widder operators. It can be easily seen that for , the operators in (3) are classical Post-Widder operators (1). Recently, the theory of positive linear operators has been intensively applied in post-quantum calculus (-calculus), which has been studied extensively in various fields such as physical sciences, differential equations, and combinatorics. A -analogue of the Bernstein operators was first introduced by Mursaleen [15]. Since then, -analogues of operators have been intensively investigated by many researchers (see [16,17,18,19,20]). Let us recall and introduce some concepts from -calculus (see [21]).
For a nonnegative integer n, -number and -factorial are defined by
The improper -integral of on is given by
Further, two -exponential functions are defined as follows
We know that (see [21,22]). The -Gamma function (see [21]) is given as
The following identity holds true:
In [23], Mishra et al. introduced a modified -Baskakov operator, which reproduces . Then, Cheng et al. [24] constructed and investigated -gamma operators that preserve the test function . These results motivated us to construct a new -Post-Widder operator preserving 1 and for . In this paper, firstly, we propose the following -Post-Widder linear positive operators
where , . When , the operators reduce to the q-Post-Widder operators (3). The operators (9) preserve constant functions only. In order to preserve the test functions , we define a new modification of operator (9), i.e.,
where
, . It is clear that
Thus, the modified operator preserves the constant function as well as . Moreover, we study the moments of the operators and in Section 2. In Section 3, we present the approximation properties of the modified operators using the modulus of continuity, Peetre’s K-functional, and the weighted modulus of continuity. We deduce that these operators (10) provide a better approximation for . In Section 4, we obtain the estimates of the difference between the two operators. Finally, we compare the convergence rate and error estimation of the operators with using numerical examples. We show that our modified operator provides an improved estimation in some sense.
2. Preliminary Results
Lemma 1.
Let , . Then,
Following (10)–(12), the modified -Post-Widder operators can be expressed as
Combining the Lemma 1 and (14), we derive the -th order moments of operators as follows.
Lemma 2.
For , we have
Some initial moments are
Lemma 3.
The central moments are given by
Also, holds true.
3. Convergence Estimate
The usual modulus of continuity and the second-order modulus of smoothness (see [1]) are defined as follows
Applying [1], we obtain
Moreover, we denote by the set of all functions f defined on a positive real line with a constant , satisfying the condition . Let , and suppose is the subspace of all continuous functions from with . Following [25], the weighted modulus of continuity is defined by
In the following result, we estimate the convergence rate of the operators (10) using the modulus of continuity. It is shown that operators preserve the test function and present the best approximation.
Theorem 1.
Let denote the space of all bounded and continuous functions on . For , we have
where M is a positive constant and .
According to Theorem 1, if we choose , 2, and 3, the operators preserve the test functions x, , and , respectively. Then
Remark 1.
According to Table 1, Table 2 and Table 3, we know that the error decreases until and it will increase later. That is, when the operators preserve , we conclude this will result in an improved approximation.
Table 1.
Error estimation table (, ).
Table 2.
Error estimation table (, ).
Table 3.
Error estimation table (, ).
In the following results, we obtain the degree of approximation using Peetre’s K-functional and weighted approximation.
Theorem 2.
Let , then the following is obtained
where
and C is a positive constant.
Proof.
Let us define
According to Lemma 2, we obtain
For x, and , using Taylor’s expansion, we obtain
Then, applying in (25) and using (24), we have
Combining (23), (24) and (26), we obtain
Taking infimum over all and using the definition of Peetre’s K-functional (see [26]), we obtain
Moreover, using the relation (see Devore and Lorentz [26]), we prove Theorem 2. □
In this final section, we provide the following Voronovkaya-type asymptotic result for functions belonging to a weighted space.
Theorem 3.
Let , satisfy , such that and . If , then the following holds true
4. Difference of Operators
In this section, we choose and , such that and and present the quantitative estimates for the differences of -Post-Widder operator (9) and its modified form (10). Let
then the operators represented by (9) and (10) take the form
and
Denote
It is obvious that and .
Theorem 4.
If , , then
where
Proof.
We know
Theorem 5.
Proof.
Using Taylor’s expansion of the fourth order, we have
where lies between t and . In view of (34) and (40), we obtain
Using a similar method, we have
With the help of (37), we obtain
Let , , and . By simple computation, we have
The estimates of , and can be obtained using Theorem 4. This completes the proof. □
Now, we prove the differences betweeen operators and in quantitative form using the weighted modulus of smoothness (20).
Theorem 6.
Let with . Then
where
5. Graphical Analysis
Now, let us return our attention to the test function to verify our claim numerically. Firstly, we present the convergence of operators for different values of . From Figure 1, one can see the convergence of operators (Figure 1a) and (Figure 1b) for . Moreover, Figure 1c,d shows the corresponding plots for the magnitude of differences. From the above graphs, we conclude that the estimation error of the operators decreases from to , after which it starts to increase. Therefore, the best approximation by the operators happens at .
Figure 1.
The convergence and error of operators and to for . (a,b) show the convergence of and to for . (c,d) show the corresponding approximation errors and .
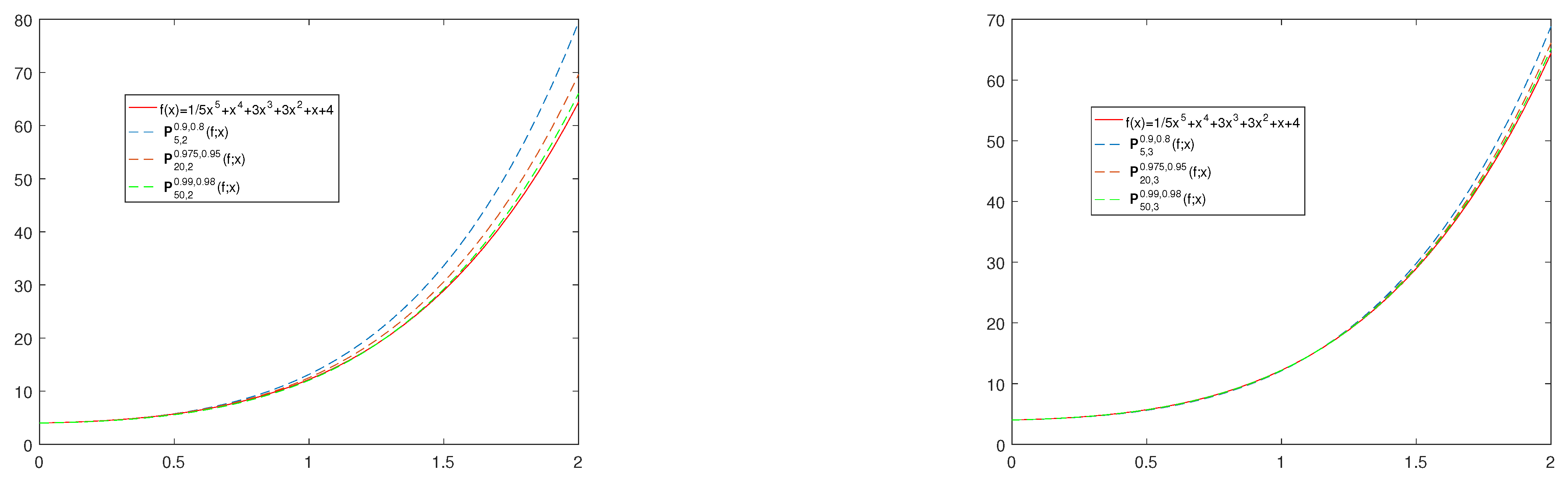
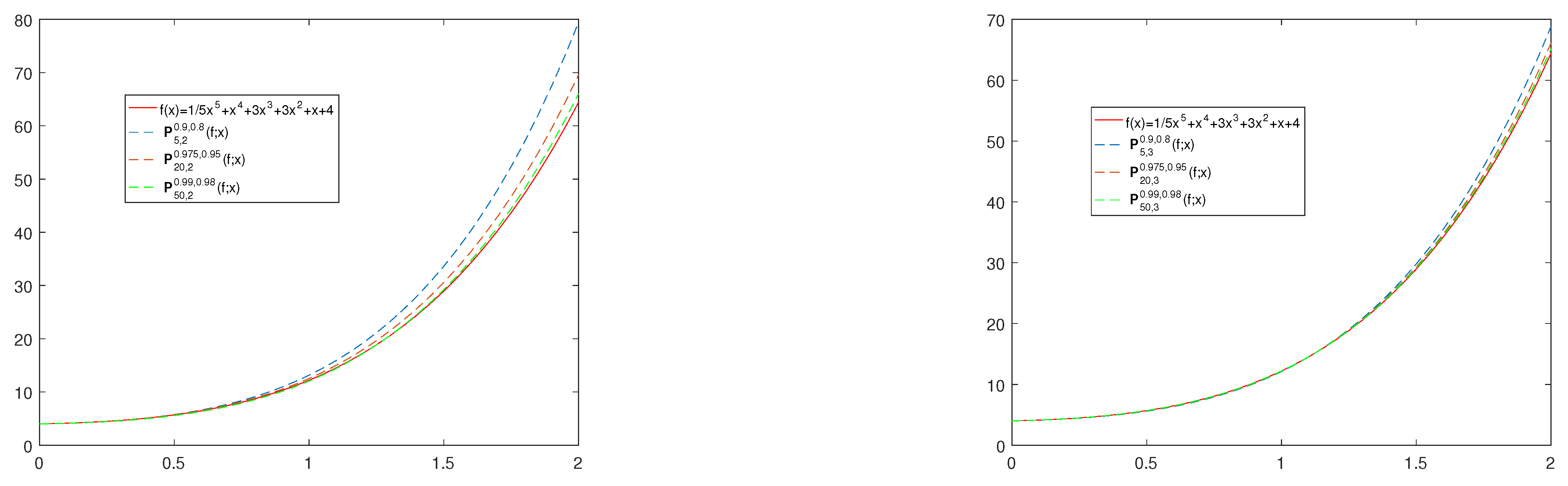
Next, in Figure 2, one can see the convergence of operator for fixed values for parameters p, q, and and for different values of n. We observe that the introduced operator converges better to the test function as parameter n increases. In Figure 3, we show the convergence of operators defined in (10) to the function for , , (Figure 3a), (Figure 3b) and . It is obvious from Figure 2 and Figure 3 that the larger the n value, the better the approximation.
Figure 2.
The convergence of operators and to for .
Figure 3.
The convergence of operators and to for , and .
Finally, from the Figure 4a, it can be observed that as and approach 1, provided , the operator converges towards the function. Observe that Figure 3a,b presents a better result than Figure 4a. The operator is slightly better than the -Post-Widder operator . Also, Figure 4b shows the plot of the magnitude of differences for , and . It is worthwhile mentioning that from the numerical results, it ca be seen that for a larger n value, both the operator and operator perform almost the same as n grows larger.
Figure 4.
The convergence of operators to and the plot of the quantities for , and .
6. Conclusions
In recent years, several researchers have studied problems concerning the modified classical linear positive operators fixing 1 and for a given . The aim of this paper is to construct a new -Post-Widder operator preserving . Here, we consider new -Post-Widder operators and their modified form .we obtain the convergence properties of the operator in terms of the modulus of continuity and the weighted modulus of continuity. Finally, we obtain an estimation of the difference between operators and . According to the numerical and graphical analyses, we deduce that a better approximation is obtained only when the test function is preserved.As the increases, we cannot obtain a better approximation. Furthermore, operator , in some sense, provides a better estimate than the operator . Inspired by [28,29,30,31,32], in future work, we plan to investigate these research topics.
Funding
This research was funded by the Research Fund for Yancheng Teachers University under 204040026.
Data Availability Statement
Data are contained within the article.
Conflicts of Interest
The authors declare no conflicts of interest.
References
- Ditzian, Z.; Totik, V. Moduli of Smoothness; Springer: New York, NY, USA, 1987. [Google Scholar]
- Rempulska, L.; Rempulska, M. The Voronovskaya-type theorems for Post-Widder and Stancu operators. Int. J. Pure Appl. Math. 2007, 38, 467. [Google Scholar]
- King, J. Positive linear operators which preserve x2. Acta Math. Hungar. 2003, 99, 203–208. [Google Scholar]
- Aldaz, J.M.; Kounchev, O.; Render, H. Shape preserving properties of generalized Bernstein operators on extended Chebyshev spaces. Numer. Math. 2009, 114, 1–25. [Google Scholar]
- Rempulska, L.; Skorupka, M. On Approximation by Post-Widder and Stancu Operators Preserving x2. Kyungpook Math. J. 2009, 49, 57–65. [Google Scholar] [CrossRef]
- May, C. Saturation and inverse theorems for combinations of a class of exponential-type operators. Can. J. Math. 1976, 28, 1224–1250. [Google Scholar] [CrossRef]
- Siddiqui, M.A.; Agrawal, R.R. A Voronovskaya Type Theorem on Modified Post-Widder Operators Preserving x2. Kyungpook Math. J. 2011, 51, 87–91. [Google Scholar]
- Gupta, V.; Agrawal, D. Convergence by modified Post-Widder operators. Rev. Real Acad. Cienc. Exactas Físicas Nat. Ser. A Matemáticas 2019, 113, 1475–1486. [Google Scholar]
- Gupta, V.; Tachev, G. Some results on Post-Widder operators preserving test function xr. Kragujev. J. Math. 2022, 46, 149–165. [Google Scholar]
- Srivastav, R.K.; Deshwal, S. Convergence: New Post-Widder operators. Int. J. Math. Trends Technol.-IJMTT 2021, 67, 43–52. [Google Scholar]
- Abel, U.; Acu, A.M.; Heilmann, M.; Raşa, I. Positive linear operators preserving certain monomials on [0,∞). Dolomites Res. Notes Approx. 2023, 16, 1–9. [Google Scholar]
- Jackson, F.H. On q-definite integrals. Quart. J. Pure Appl. Math. 1910, 41, 193–203. [Google Scholar]
- De Sole, A.; Kac, V. On integral representations of q-gamma and q-beta functions. Atti Accad. Naz. Lincei Cl. Sci. Fis. Mat. Nat. IX Ser. Rend. Lincei Mat. Appl. 2005, 16, 11–29. [Google Scholar]
- Ünal, Z.; Özarslan, M.A.; Duman, O. Approximation properties of real and complex post-widder operators based on q-integers. Miskolc Math. Notes 2012, 13, 581–603. [Google Scholar] [CrossRef]
- Mursaleen, M.; Ansari, K.J.; Khan, A. On (p, q)-analogue of bernstein operators. Appl. Math. Comput. 2015, 266, 874–882. [Google Scholar] [CrossRef]
- Mursaleen, M.; Alotaibi, A.; Ansari, K.J. On a Kantorovich Variant of (p, q)-Szász-Mirakjan Operators. J. Funct. Space 2016, 2016, 035253. [Google Scholar] [CrossRef]
- Mursaleen, M.; Ansari, K.J.; Khan, A. Some approximation results by (p, q)-analogue of Bernstein-Stancu operators. Appl. Math. Comput. 2015, 264, 392–402. [Google Scholar] [CrossRef]
- Malik, N.; Gupta, V. Approximation by (p, q)-Baskakov-Beta operators. Appl. Math. Comput. 2017, 293, 49–56. [Google Scholar] [CrossRef]
- Mohiuddine, S.A.; Alotaibi, A. Durrmeyer type (p, q)-Baskakov operators preserving linear functions. J. Math. Inequal. 2018, 12, 961–973. [Google Scholar] [CrossRef]
- Kantar, U.D.; Yuksel, I. Investigating (p, q)-hybrid Durrmeyer–type operators in terms of their approximation properties. Gazi Univ. J. Sci. Part A Eng. Innov. 2022, 2022, 1–11. [Google Scholar]
- Gupta, V.; Rassias, T.M.; Agrawal, P.; Acu, A.M. Recent Advances in Constructive Approximation Theory; Springer: New York, NY, USA, 2018. [Google Scholar]
- Aral, A.; Gupta, V. Applications of (p,q)-Gamma functions to Szász-Durrmeyer operators. Publ. Inst. Math. 2017, 102, 211–220. [Google Scholar] [CrossRef]
- Mishra, V.N.; Pandey, S.; Mishra, L.N. On King Type Modification of (p,q)-Baskakov Operators which preserves x2. arXiv 2016, arXiv:1603.05510. [Google Scholar]
- Cheng, W.T.; Zhang, W.H.; Cai, Q.B. (p,q)-gamma operators which preserve x2. J. Inequal. Appl. 2019, 2019, 108. [Google Scholar] [CrossRef]
- Ispir, N. On modified Baskakov operators on weighted spaces. Turk. J. Math. 2001, 25, 355–365. [Google Scholar]
- DeVore, R. Constructive Approximation; Springer: Berlin, Germany, 1993. [Google Scholar]
- Aral, A.; Inoan, D.; Raşa, I. On differences of linear positive operators. Anal. Math. Phys. 2019, 9, 1227–1239. [Google Scholar] [CrossRef]
- Li, F.; Wang, J. Analysis of an HIV infection model with logistic target-cell growth and cell-to-cell transmission. Chaos Solitons Fractals 2015, 81, 136–145. [Google Scholar] [CrossRef]
- Li, F.; Yu, P.; Tian, Y.; Liu, Y. Center and isochronous center conditions for switching systems associated with elementary singular points. Commun. Nonlinear Sci. 2015, 28, 81–97. [Google Scholar] [CrossRef]
- Li, F.; Liu, Y.; Liu, Y.; Yu, P. Bi-center problem and bifurcation of limit cycles from nilpotent singular points in Z2-equivariant cubic vector fields. J. Differ. Equations 2018, 265, 4965–4992. [Google Scholar] [CrossRef]
- Li, F.; Yu, P.; Liu, Y.; Liu, Y. Centers and isochronous centers of a class of quasi-analytic switching systems. Sci. China Math. 2018, 61, 1201–1218. [Google Scholar] [CrossRef]
- Chen, T.; Li, F.; Yu, P. Nilpotent center conditions in cubic switching polynomial Liénard systems by higher-order analysis. J. Differ. Equations 2024, 379, 258–289. [Google Scholar] [CrossRef]
Disclaimer/Publisher’s Note: The statements, opinions and data contained in all publications are solely those of the individual author(s) and contributor(s) and not of MDPI and/or the editor(s). MDPI and/or the editor(s) disclaim responsibility for any injury to people or property resulting from any ideas, methods, instructions or products referred to in the content. |
© 2025 by the author. Licensee MDPI, Basel, Switzerland. This article is an open access article distributed under the terms and conditions of the Creative Commons Attribution (CC BY) license (https://creativecommons.org/licenses/by/4.0/).



