Abstract
Symmetry in vehicle body morphology is a crucial factor for achieving visual sensory balance in users, and it also serves as an important method for enhancing the efficiency of vehicle body research and development. This study proposes an AHP-SD-TOPSIS-AIGC integrated morphological design method to address multi-factorial design complexities in new energy commercial vehicle body styling under emotion-driven frameworks. Through literature retrieval and survey analysis, a Kansei evaluation system was constructed, with hierarchical design indicators established via Analytic Hierarchy Process (AHP) and weights determined through consistency matrices. Technique for Order Preference by Similarity to Ideal Solution (TOPSIS) identified optimal style forms exhibiting high emotional intention coupling, while edge detection algorithms extracted symmetrical spline features for body contour modeling. Artificial Intelligence Generated Content (AIGC) tools subsequently generated innovative solutions, validated through truck design applications to confirm method rationality and effectiveness. The results of the study show that the styling elements are accurately matched to user preferences and can identify target improvement points, and that the method can effectively achieve the output of the proposal for the design of commercial vehicle body morphology and is also applicable to passenger car-type vehicles to achieve the adaptation of multi-intentional emotional design.
1. Introduction
Symmetry is a fundamental characteristic of commercial vehicle body morphology and a crucial factor in users’ visual perception of balance. Commercial vehicles are an important means of transportation in economic development activities, playing a key role in the transportation of consumer goods, infrastructure construction, and export cargo transportation. These vehicles are responsible for more than 70% of China’s overland freight transportation and are a key pillar of China’s economic and infrastructure development. In recent years, the continuous promotion of the national “dual-carbon” strategy has prompted the exploration and development of new energy sources for commercial vehicles []. Industry forecasts suggest China’s new energy commercial vehicle market will hit around 76 billion Yuan by 2024, growing at an average annual rate of 19.5%. Benefiting from low operating costs, technological advancements, and policy support, its appeal to users is rising. Various indicators point to significant growth potential in this market.
Sustainable development, energy conservation and emission reduction, and environmental protection have always been the main themes of today’s world development era. The trend of passenger carization of new energy commercial vehicles has become the mainstream development direction of major OEMs, and the design thinking focuses more and more on the comfort experience of drivers and passengers. Relevant research mainly focuses on technology development, optimization of the vehicle from the body parts materials, structure, technology, electronic control, and other directions, such as an aerodynamic design to reduce air resistance or being lightweight to improve the energy consumption, economy, and range []; comprehensive analysis and optimization of energy consumption []; driving mode control research to improve the comfort of handling []; drive train research to improve the performance of power []; and the design of the frame stress fatigue analysis to reduce costs and increase efficiency [], etc. The above technology upgrades can highlight the brand power of commercial vehicles. However, the new energy commercial vehicle body morphology research of the major OEMs are the more neglected part because most OEMs imitate the existing foreign products or outsource design companies to complete the styling program, which causes a lack of uniqueness and creativity []. Therefore, there is a certain degree of homogenization of body shape design in the new energy vehicle market, and the styling differences between various family systems and brands are not obvious, and there is a lack of distinctive brand personality and labels.
The body shape is the most intuitive element of the user’s perception of the car, which has a multifaceted impact on the image of the car company, cultural values, and product brand power. It is not only a direct reflection of the aesthetics of automobile design but also carries the positioning of the model and brand concept. In the new car launch or auto show, the body shape is the first impression of users’ perceptual cognition of the vehicle, which is the unconscious reaction to the product body shape. For example, the streamlined body can give the vehicle dynamism and vitality, so that users feel its sense of speed and rhythm; while the stable body shape, which conveys a calm and luxurious atmosphere, highlights the owner’s taste and status. This kind of unconscious reaction triggered by external stimuli is called “Kansei” in the academic world, which is the comprehensive performance of the user using all the senses, including vision, hearing, feeling, smell, taste, cognition, and other senses to things, the environment, and the state of the specific feeling and imagery held by the comprehensive performance. It belongs to the category of tacit knowledge that is not easy to verbalize, reflecting the user’s deep-seated needs for the product [].
Kansei engineering, as a discipline that studies how to transform the perceptual needs of target users into product design elements, is widely used to understand the emotional needs and preferences of users for product research. Therefore, Kansei engineering can provide new ideas and methods for commercial vehicle body design [], and the research on vehicle perceptual cognition is mainly focused on the field of passenger cars in the following three aspects:
① Kansei studies of CMF for automotive interior and exterior trim, such as Su Jianning et al. [] studied the coupling characteristics of automotive body CMF to meet users’ perceptual needs for automotive exterior design; QI et al. [] compared user preferences and coupling degree of design samples to explore the synergistic characteristics of CMF design and people’s cognitive process; and Shi Xiaotao et al. [] combined Kansei engineering and an oculomotor experiment for interior seating for optimization.
② In their research on automobile styling feature lines, Hu Weifeng et al. [] extracted the feature lines of the benchmark car, quantitatively described them using Bessel curves, and genotyped them based on genetic algorithms, reaching the goal of evolving styling genes through the image driven by user expectations, and leading the subsequent automobile styling design work accordingly; Ma Liza et al. [] obtained the user’s invisible intention based on eye movement experiments, combined with the eye movement index on the benchmark car for automotive styling feature line saliency analysis and feature line extraction, using shape grammar, to realize the inheritance and mutation of automotive styling features, combined with the case, to arrive at the final design scheme.
③ In his research on automotive interior and exterior styling design methods, Fu Lu [] from Jilin University mentioned in his thesis that symmetry is the simplest form of equilibrium. At the same time, it is also a kind of law of car body modeling that the symmetrical balance pattern creates the overall body to give a person a sense of organization, order, and stability, with a majestic, dignified, and peaceful effect. Li Yu [] implemented design parameters and imagery goals as nodes and identified the correlation between nodes as edges to establish a gene network model of the automobile shape for analysis and to guide the design of automobiles. G. Zacharewicz [] proposed a method for service engineering that utilizes mathematical techniques to quickly eliminate incompatible solutions. Advanced mathematical methods such as fuzzy set theory or simulated time management are used to evaluate and rank the remaining solutions, reduce the number of candidate patterns, and select the optimal solution for use in correcting deviation processes.
Although the Kansei research on automobiles has achieved stage-by-stage results, the individual studies are relatively one-sided. The design factors affecting new energy commercial vehicles are diversified, and the selected perceptual vocabulary is difficult to meet the needs of multi-factorial evaluation. Some designs pursue high aesthetics while neglecting their practicability and a lack of reasonable technology and man–machine layout; or some models are too complex in appearance design, resulting in an increased wind resistance coefficient, which in turn affects the vehicle’s range capability and energy consumption performance. In summary, the design elements of body shape are multifaceted and are the products of man–machine and aerodynamic layout, color and material selection, style and operation experience, etc., which need to be considered as a balance between practicality, aesthetics, comfort, and other elements of the vehicle. Kansei engineering may not be able to cover all the existing perceptual factors and potential user needs, and it is difficult to judge the importance of perceptual terms. Therefore, in this study, through the pre-AHP hierarchical analysis and Delphi expert group analysis, multi-dimensional, multi-angle, and multi-attribute body shape driving elements of commercial vehicles are summarized, and more levels of user needs as well as potential perceptual factors are excavated. The perceptual semantics condensed through hierarchy is more subdivided and accurate, and it will express the whole product’s intrinsic elements more comprehensively. The weight relationship between different perceptual semantics is obtained by using the consistency matrix method. The user’s subjective intention for different driving elements of the product is quantified by the Osgood semantic differentiation method (SD method) []. And finally, the positive and negative ideal solutions and relative proximity of each perceptual data index are determined using the TOPSIS multi-attribute decision-making method [,], which is used to assess the perceptual coupling of the solution and the computational solution [,].
The integration of AHP-SD-TOPSIS-AIGC new energy commercial vehicle design and Kansei evaluation methods will be examined to solve the problem of perceptual coupling between new energy commercial vehicles with multiple elements, categories, and forms, to quickly obtain users’ comprehensive evaluation of multiple elements of new energy commercial vehicles, to determine the most suitable research direction, to generate multiple sets of solutions, and to guide new energy commercial vehicles to optimize in the direction of conforming to the Kansei preference of the majority of users.
2. Materials and Methods
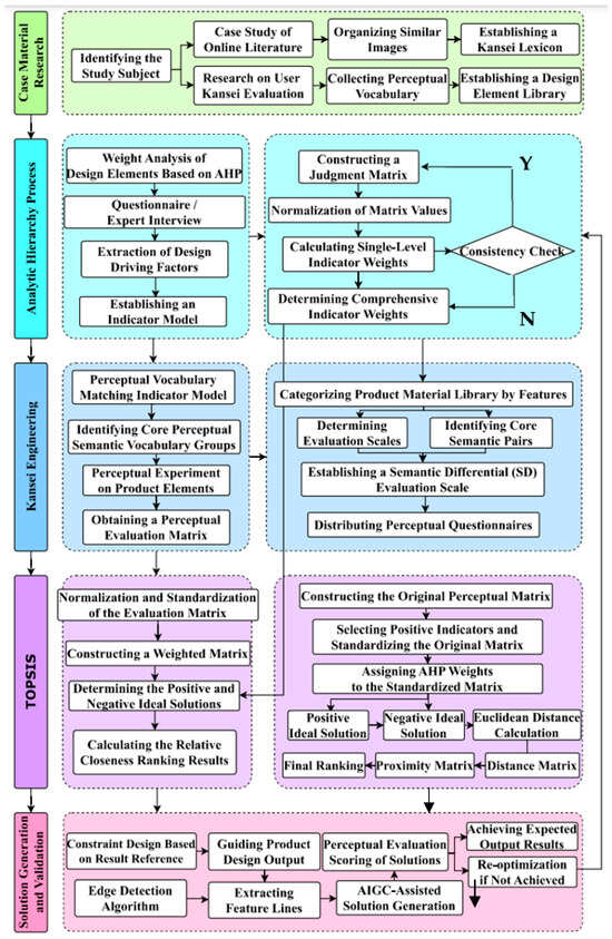
The specific steps are shown in Figure 1, including five main steps:
Figure 1.
Technology roadmap.
In the first step, commercial vehicle materials were widely collected through the Internet, the literature, and case studies; semantic vocabulary of commercial vehicle features was collected through online user evaluation, and a Kansei imagery vocabulary was established.
In step 2, the AHP hierarchical analysis model was established, industry experts were invited to score, a complementary judgment matrix was constructed, the weights of each index were calculated using the consistent matrix method, the Kansei intention words were matched and summarized, the core perceptual semantic words were condensed, and the weights were assigned with the comprehensive weights of each level.
In step 3, the sample material was extracted from the design elements, processed, and generalized to identify representative models as test samples, and the core perceptual semantic words that were condensed were used as perceptual vocabulary to implement Kansei experiments.
In step 4, the Euclidean distance and relative proximity were calculated using the TOPSIS multi-attribute decision-making method. The smaller the value of the distance from the positive ideal solution, the higher the coupling of body styling intentions.
In step 5, the above information and data are summarized and aggregated, and the appropriate overall and local body shape was selected to guide the generation of the body design scheme in combination with the AIGC technology.
2.1. Construction of the Design Element System for New Energy Commercial Vehicle Body
2.1.1. Building Driving Elements
Compared with new energy passenger cars and traditional commercial vehicles, new energy commercial vehicles show significant differences in demand characteristics and purpose of use. Due to the lower cost of electricity compared to fuel costs, new energy commercial vehicles show a lower cost advantage in long-term operation. A series of policy support and subsidy measures have reduced initial investment costs, providing strong support for their market promotion.
This study is aimed at the relevant needs of domestic commercial vehicle consumers in China, and the research samples are selected for the relevant industry practitioners and experts in mainland China, which are the limitations of this paper’s current sample research. For the study to be more comprehensive, it would be necessary to further expand the research sample through the network form of research to outside of the country and region.
A total of 152 questionnaires were distributed in this study, targeting commercial vehicle drivers in different capacities, ranging from shared van drivers, moving companies, logistics companies, and freelance freight drivers. Ninety-two questionnaires were collected from the working environment of the driver groups participating in the study for those who traveled in the city, sixty questionnaires were collected for those who traveled on long-distance and high-speed journeys, and the data were analyzed to summarize the key elements that were in line with the theme of the study. From the results of the research data, it can be seen that the core concerns of commercial vehicle consumers are product price, range, and reliability, followed by driving comfort, performance and safety, novelty of styling, loading capacity, after-sales experience, brand influence, and other elements. Through the Delphi method, relying on the results of the expert group discussion, we clarify the corresponding level contents of the first-level driving elements and the second-level elements from the subjective and objective “performance layer, perception layer, and technology layer” indicators of the new energy commercial vehicle body shape design.
There are three guideline layers (B1,C2,D3) for the first-level driving factors, including styling factors, experience factors, and engineering factors. The performance layer mainly reflects the external characteristics of the commercial vehicle form, the perception layer mainly reflects the multi-sensory experience of the vehicle user, and the technology layer mainly reflects the objective technical points that need to be considered for the form. There are 10 indicator layers (B11–B14, C21–C23, D31–33) for the second-level driving factors, including color and material, styling features, brand characteristics, level of customization, operational experience, affective experience, technological experience, man–machine layout, aerodynamics, and manufacturing cost. The hierarchical model of the driving elements for the design of a new energy commercial vehicle body shape is shown in Figure 2. These 10 elements extensively cover the core key elements to be considered in the design of a new energy commercial vehicle body shape from both subjective and objective perspectives, and constitute the main guidance in the design process.
Figure 2.
Hierarchical model diagram of driving elements for body shape design of new energy commercial vehicles.
2.1.2. Determining Indicator Weights
By establishing a hierarchical model, the elements of the product are deconstructed into the levels of objectives, guidelines, and programs to more comprehensively reflect the subjective and objective driving elements of the new energy commercial vehicle form design. In order to understand the relationship and importance of the elements, an expert focus group was set up to discuss and construct a judgment matrix, in which Santy’s 1–9 scaling method was used, the meaning of which is shown in Table 1. A = (aij)n·n, aij represents the first row and column of the indicators, and its complementary value is aij = 1/aij; n is the number of indicators.
Table 1.
Judgment matrix scale evaluation scale definition.
Normalize the matrix values by linearly mapping the data within the range of [0, 1], the sum of each row in the judgment matrix is calculated, and the normalized eigenvectors, i.e., the weight vectors of the hierarchical levels of the judgment matrix, are calculated by using the summation method of Equation (2).
To determine whether the matrix passes the consistency test, the CR value is the basis of whether the consistency test passes or not, the largest characteristic root is obtained through Equation (3), the consistency index CI is obtained through Equation (4), and the consistency ratio CR is obtained through Equation (5), the CR value is the basis of whether the consistency test passes or not, and the RI is the average stochastic consistency index, when the CR < 0.1, it indicates that the judgment matrix A passes the consistency test, on the contrary, if it does not pass, then the matrix needs to be trimmed.
2.2. Construction and Categorization of a Sample Library of Morphological and Local Features of New Energy Commercial Vehicle Bodies
Through in-depth excavation of diversified information channels such as the official websites of various enterprises and commercial vehicle platforms, and with “new energy heavy-duty truck” as the keyword, we have carefully collected and organized a total of 94 related vehicle modeling pictures, which require high clarity, a positive 45° body angle, the same front direction, and other local materials with a uniform perspective and scale. Photoshop 2025 image processing software was used for image segmentation, to adjust the contrast between light and dark, and other methods to highlight the main part. The body shapes with high similarity, strong redundancy, and weak brand influence were eliminated, and 20 brands with 48 models were initially filtered out.
Inviting five corporate professionals and eight automotive stylists to set up a panel of experts, the car’s modeling line features were finally divided into five categories: ① Flat and slightly curved models are characterized by their overall shape being close to a cube, but the corners are rounded and chamfered, making the sense of unity stronger. The upper part of the chassis and the chassis are closely integrated on such models and did not form a clear separation, presenting a unified and harmonious aesthetic. ② Streamlined surface type body models are characterized by the integration of streamlined design elements and smooth body lines, showing a clear large-scale curve; similar to the flat type, the upper and lower parts show no obvious dividing line, and the style modeling is more coherent and unified, showing a dynamic sense of aesthetics. ③ Flat split type and ④ streamline split type are based on the above forms, with obvious split lines on the upper part of the front end and the chassis, which are not integrated, and the style and local details are richer. ⑤ The straight line cut model is known for its unique sense of cutting lines, the most representative of which is the Tesla Cyber pickup truck. The entire body of this model is made of an aluminum alloy steel plate without chamfering treatment, presenting an angular appearance.
Given the inherent bilateral symmetry of automotive body structures, parametric modeling can be optimally executed by unilateral contour generation followed by axial mirror transformations to ensure geometric integrity and reduce computational redundancy.
Using the inherent symmetry of the vehicle body shape, a multi-ridge feature extraction method was implemented by an advanced edge detection algorithm, which achieves the accurate capture of local style contours and maintains the geometric consistency of the bilateral parts []. By applying the Roberts operator [] in MatLab 2023, the edge information in the car image, including contour lines and feature lines, can be accurately detected. Ten models were selected according to the line features, which were screened by a panel of experts, and the styling lines were extracted, analyzed, and categorized. The models with novel styling, obvious brand features, and representative styling were finally selected and classified into five categories. These models not only cover the mainstream new energy heavy-duty truck designs in the market, but also include some cutting-edge concept models, and an excerpt of the classified content is shown in Table 2.
Table 2.
Example of classification and numbering of body shape characteristic lines.
2.3. The Perceptual Evaluation Process of Vehicle Body Shapes and Local Features
2.3.1. Vocabulary Extraction of Kansei Imagery
Design imagery is the process by which designers give life and meaning to a product through its form, a process that prompts users to personalize and recreate the aesthetic value of the product through imagining, analyzing, and other mental activities. When this concept is applied to automobile styling, it means that people recognize and understand the appearance of an automobile not only by simply receiving information about its external shape, but also by deeply analyzing and understanding the design features, aesthetic principles, and overall styling concepts behind such information. This process covers both the specific features of the car’s appearance, the norms or trends followed in the design, and the individual’s subjective experience and understanding of the unique aesthetics of the car’s shape [], with the help of the emotional vocabulary of the secondary driving elements of the emotional expression of the user population to facilitate the user population’s subjective understanding of the shape of the car body and the real emotional perception [].
In order to establish a multi-dimensional vocabulary of Kansei imagery to accurately reflect the styling characteristics of the target product of new energy heavy-duty trucks, a wide range of resources have been collected, including, but not limited to, automotive professional magazines, relevant academic literature, and designers’ professional evaluations. A total of 90 words closely related to the brand styling of heavy-duty trucks were summarized (see Table 3). And the Kansei intention vocabulary in the summary table of characteristic semantic words is categorized to each index layer, and the corresponding 10 core semantic words are condensed to represent the intention preference vocabulary for the index layer (see Table 4), thus pairing up the ten sets of perceptual semantic word groups here. This method not only effectively avoids the redundant overlapping of lexical meanings and promotes the accurate mapping of perceptual language to design elements, but also greatly enriches the expression dimension of product design features, thus ensuring the scientific nature of the assessment process and the effectiveness of the results [].
Table 3.
Summary table of feature semantic word extraction (excerpt).
Table 4.
Hierarchical system of design elements for commercial vehicles.
2.3.2. Determining the Evaluation Sample
The expert team carried out systematic classification and selection in the sample database and extracted representative body shape samples from the five classification categories. On this basis, the local features of commercial vehicles were further disassembled and categorized, initially focusing on the five core modules of lights, grille, windows, roof, and hubcaps. Subsequently, for the specific categories under these modules, the expert team carried out in-depth segmentation and selected the representative component forms, so as to construct a set of samples for evaluation, as shown in Table 5.
2.3.3. Data Acquisition
In order to construct the evaluation system of Kansei imagery, this study takes semantic differential method (SD) as the theoretical basis, analyzes the carefully collected and organized materials in depth, and then constructs an evaluation matrix, the specific form of which is shown in Equation (6). This matrix is presented as an n × m dimension, where n represents the number of evaluated objects and m represents the number of evaluation indicators. In order to obtain Kansei-perceptual evaluations about the sample, a set of Kansei imagery questionnaires were carefully designed and distributed, and respondents were invited to score the sample based on their personal perceptions. Subsequently, the collected Kansei evaluation data were subjected to rigorous data processing using homogenization to ensure the objectivity and accuracy of the evaluation results, and to systematically explore and analyze the intrinsic connection between Kansei imagery and the characteristics of the sample.
Table 5.
Vehicle feature classification.
Table 5.
Vehicle feature classification.
| Vehicle Body Elements | Features and Codes of Styling Form Elements | ||||
|---|---|---|---|---|---|
| Vehicle Body | ![]() Flat with Slight Curvature Type(S1) | ![]() Streamlined Curved Surface Type: (S2) | ![]() Flat and Segmented Type: (S3) | ![]() Streamlined and Segmented Type: (S4) | ![]() Straight Cut Type: (S5) |
| Vehicle Lights | ![]() Rounded Type(S6) | ![]() Irregular Shape Type(S7) | ![]() Linear Type(S8) | ![]() Matrix Type(S9) | ![]() Biomorphic Type(S10) |
| Grille | Horizontal Banner Type(S11) | Vertical Waterfall Type(S12) | ![]() Honeycomb Type(S13) | ![]() Parametric Grid Type(S14) | ![]() Grille-less Type(S15) |
| Vehicle Roof | ![]() Non-continuous Type(S16) | ![]() Integrated Top-Bottom Type(S17) | ![]() Integrated Left-Right Type(S18) | ![]() Irregular Type(S19) | |
| Vehicle Roof | ![]() Integrated Curved Type(S20) | Streamlined Flat-top Type(S21) | Slanted Type(S22) | ||
| Wheel Hub Cover | ![]() Curved Circular Type(S23) | ![]() Straight Cut Type(S24) | ![]() Flat and Minimalist Type(S25) | ||
2.4. TOPSIS-Based Scheme Ranking Preference
TOPSIS is a multi-attribute decision-making method for evaluating and selecting the best decision-making solution. Its central idea lies in first determining the positive ideal solution (optimal solution) and negative ideal solution (worst solution) of each index. The positive ideal solution is the best value of each candidate solution, and the negative ideal solution is the worst value of each candidate solution. Then the Euclidean distance between each solution and the positive ideal solution and the negative ideal solution is calculated, and the proximity of each solution to the optimal solution is thus obtained as a criterion for evaluating the advantages and disadvantages of the solutions. If a scheme is closer to the positive ideal solution and farther away from the negative ideal solution, it is considered to be closer to the ideal scheme [].
2.4.1. Matrix Normalization
The obtained evaluation matrices of each form of new energy commercial vehicles are normalized and standardized to eliminate the differences in scale and numerical range between different attributes. Here, the polar deviation method is used to obtain the normalized matrix Z. Where a and b are unequal, it can be called a range indicator, and when a and b are equal, it can be called an intermediate indicator.
- (1)
- Positive indicators:
- (2)
- Negative indicators:
- (3)
- Moderate indicators:
A weighting matrix was constructed by combining the AHP second-level driver element weights. In the normalized matrix, each column is multiplied with the corresponding AHP weights for each class to weight the raw data.
2.4.2. Positive and Negative Ideal Solutions Euclidean Distance and Relative Proximity Solving
The processed matrix needs to determine the positive and negative ideal solutions. The positive ideal solution is the solution that is desired to achieve the maximum value on multiple attributes in optimal decision making, i.e., the solution that achieves the optimal level on all attributes. In general, the smaller the positive ideal value, the higher the evaluation, and the higher the coupling with Kansei intention; the negative ideal solution is the opposite of this. The positive ideal solution consists of the maximum value of each column element in the weighted normalized matrix, and the negative ideal solution consists of the minimum value of each column element. The weighted normalization matrix at this point is:
Positive Ideal Solution:
Negative Ideal Solution:
This ranking uses the Euclidean distance to calculate the distance between the object and the positive ideal solution and the negative ideal solution, which provides the basis for the subsequent evaluation and ranking, and by comparing the distance between the evaluation object and the positive ideal solution and the negative ideal solution, the degree of proximity of the evaluation object to the optimal solution and the worst solution can be judged. This experiment uses a positive indicator, and the closer the distance to the positive ideal solution and the farther the distance to the negative ideal solution, the better the evaluation object is.
Relative closeness was calculated and ranked using the negative ideal solution distance. Relative proximity ranges from 0 to 1, where a larger number means that the further away from the negative ideal solution, the higher the Kansei-intentional coupling, and the better the result.
3. Results
New energy heavy-duty trucks in the new energy commercial vehicle sector occupy a pivotal position. In this sector, the new energy tractor is very representative in comparison to new energy heavy trucks, with a proportion that has increased from 26.42% to more than 75%. This vehicle is therefore the dominant force in the long-distance bulk cargo transportation industry, and its power, range, speed, and other requirements are also higher, so the example of a new energy tractor is the object of study.
3.1. Determination of Driver Weights
Experts from various departments of the enterprise were organized, and six enterprise personnel were invited and formed a focus group. Based on their knowledge and experience of the work, they adopted a comparison level of 1–9 to quantitatively assign values to the driving elements required for the design of new energy commercial vehicle body forms, statistically organized the scalar values of each index, and combined that with the Formula (1) to construct a judgment matrix for the driving elements at each level, as follows:
For the judgment matrix, after normalization, WA = (0.4055, 0.1150, 0.4796), the largest characteristic root λmax= 3.029, CIA = 0.015, CRA = 0.02511, CRA 0.1 passes the consistency test, and if it does not pass, the matrix needs to be trimmed. Similarly, other index weights can be obtained, the specific values are shown in Table 6.
Table 6.
Calculation results of design element hierarchy for commercial vehicles.
3.2. A Kansei Experiment Based on the Semantic Differential Approach
The Kansei evaluation will be conducted with the help of questionnaire instruments, aiming to explore the subjective preference of participants for the market style and design element samples. The semantic difference method (SD) is used to construct a Kansei imagery evaluation scale, with Table 5 as the experimental sample. Listed in Table 4 are the 10 perceptual adjective groups, and examples can be referred to in Table 7. The larger the value, the higher the semantic word coupling. Through the statistical analysis of the questionnaire data and calculation of the average value, it can be simple and fast to collect and understand the user’s subjective feelings and quantify them. Sixty-three copies of this questionnaire were issued. After the questionnaire reliability analysis, the Clonbach coefficients are all around 0.87 and greater than 0.8. The reliability of the quiz or scale meets the requirements, and the results have a reference value. The results of the experiment were obtained and are shown in Table 8 (body shape Kansei data) and Table 9 (car local shape Kansei data).
Table 7.
Example of questionnaire survey.
Table 8.
Statistics on the average sensory data of commercial vehicle body shape.
Table 9.
Statistics on the average results of sensory data of local morphology of commercial vehicles.
3.3. TOPSIS Kansei Coupling Calculation
The results obtained by the semantic difference method cannot be used directly, as it is difficult to make a decision in the number of items and many attributes of the data. In Table 8 and Table 9 it can be seen that the data have negative values, so there is a need to standardize them. Here the use of the polar deviation method is used to normalize the matrix. The use of positive indicators, i.e., the larger the value of the indicator, the better the indicator, and attached to the weighting value after the weighting standardization matrix, as shown in Table 10.
Table 10.
Weighted standardization matrix (vehicle form).
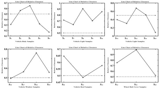
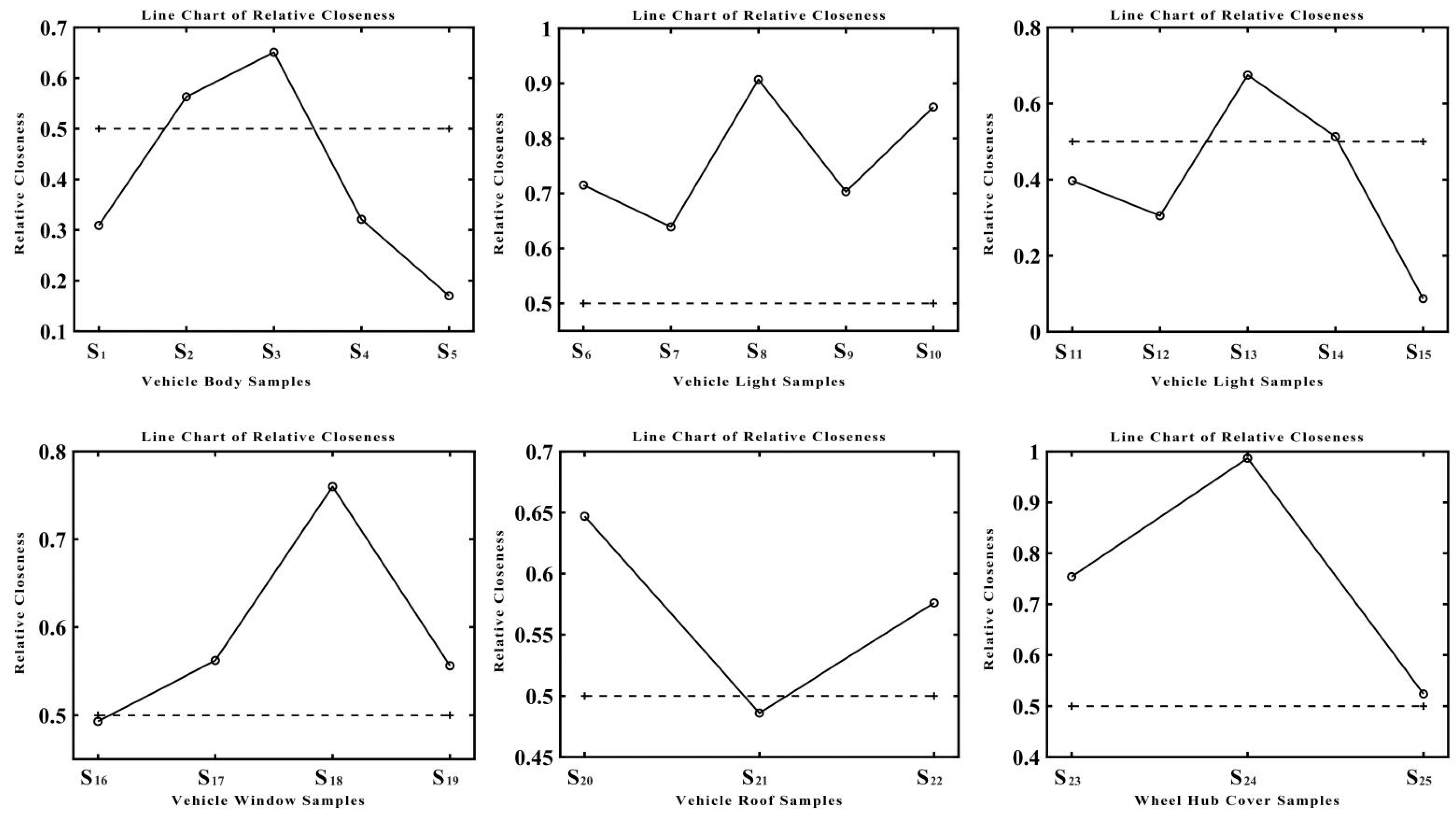
Based on the results obtained from normalization, the Euclidean distance and relative proximity of the positive and negative ideal solutions are calculated. Among them, the positive ideal solution refers to the program that obtains the maximum value in each evaluation index, and the negative ideal solution is the program that reaches the minimum value in each evaluation index. Euclidean distance is used to measure the distance between each indicator and the positive ideal solution and the negative ideal solution. Based on the distance between each indicator and the positive ideal solution and the negative ideal solution, we can obtain the relative proximity of each indicator and the optimal indicator, so as to evaluate the advantages and disadvantages of each indicator. If the evaluation index value is closest to the positive ideal solution, it is the optimal solution, and vice versa, it is the worst solution. The relative proximity belongs to another evaluation process of the distance between the reference points of the positive and negative ideal solutions, and the smaller the value of the distance from the positive ideal solution, the better the indicator is. The results are calculated and shown in Figure 3, which clearly reflects the proximity comparison relationship between different styles of each part of the body shape. This study innovatively integrates scientific methods such as Kansei Engineering, Analytic Hierarchy Process (AHP), Semantic Difference Method (SD), and TOPSIS into the body design process to compensate for the shortcomings of AI generated content (AIGC). At the same time, AIGC also compensates for the low efficiency problem of traditional sensory engineering in transforming product images. Through AIGC, multiple sets of body shape schemes can be quickly generated for further screening, providing more choices for the generation of schemes guided by sensory engineering, as shown in Figure 4.
Figure 3.
TOPSIS body shape evaluation calculation results.
Figure 4.
Flowchart for AIGC Scheme Design.
3.4. Analysis and Generation of AIGC Design Schemes
The results of the above experiments were summarized, analyzed, and processed, and are shown in Table 11. The body shape with the highest overall score is “S10”, a flat segmented model represented by Geely Remote Star Han, which scores evenly, as can be seen from the data table. Its exterior design may adopt smooth lines and unique geometric shapes, the body is flat and at the same time the contours are rounded and full, and the aerodynamics are optimized to reduce wind resistance and improve energy efficiency and driving performance. Cutting waistline divides the top and bottom, rich in style and unity, and all parts of the vehicle echo each other in shape to form an overall coordinated and beautiful exterior image, with a well-proportioned body and a spacious and comfortable interior. Although the grille of the front face of the new energy commercial vehicle attracts users’ attention visually, it has lost its actual function as a product and is mostly a decorative piece to balance the spatial layout of the front face, and will try to weaken the proportion of the grille’s dimensions in the subsequent study.
Table 11.
Intentional coupling degree ranking results.
In the body section, the lamps part of the intention coupling degree are overall high. The S8 linear lamps intention coupling degree is very high, and linear lamps are often fused with the body lines, forming a whole design language that enhances the overall sense of the vehicle. Next is the S10 bionic type. The intentional coupling is relatively high, the S13 honeycomb grid-like grille is selected, which implies strong power and solid performance, so that the vehicle has a more solid foundation and strong driving force. Because the new energy commercial vehicle does not need an air intake grille, the lighting grille texture is used to reflect the method. The windows use the left and right one-piece type, which scores much higher than other types and has a stronger sense of wholeness. The S20 roof curved one-piece type has a strong sense of overall curves, so the curves of the roof have a rounded transition with the curves of the front face. The S24 straight line cutting type has the highest coupling of the hubcaps, but the score of this style is the lowest when put on a whole vehicle, so it maintains the overall simple and smooth style, and locally adopts the delicate and unique style to show the character. The S24 linear cut wheel covers are the most popular style in the whole car, so to keep the simple and smooth style on the whole, use the exquisite and unique style on the local shape to show the individuality.
The final sorting will filter out the highest intentional coupling of the form, through the edge detection algorithms (such as the Canny operator or Roberts operator). To extract the parts of the form feature line, the Canny operator detects more details for the grille and hubcap. The rich details of the form can be used in this tool. These feature lines are processed using the Bezier curve drawing tool in the CorelDraw 2023 vector drawing software. With the help of AIGC technology, a variety of conceptual sketches and creative directions can be generated quickly to stimulate the creative inspirations of the design workers, greatly improve the efficiency of the creation, shorten the time required for the creation of the image, and provide a wealth of choices for the user [,,,]. This time, Stable Diffusion 3 software is used, mainly using the principle of Generative Adversarial Networks (GANs) to generate real images, and the low-dimensional feature vectors are converted into high-dimensional image data according to the analysis of the shape of the splines, line thickness, color, and other information.
3.5. Design Solution Selection and Verification
After the extracted spline is broken up and reorganized, the commands are input as required to transform the perceptual words into cue words recognizable by the AI, and the weight values are derived through AHP analysis and assigned to the cue words. For example, beautiful: 1.6 represents that the weight of the cue word is increased by 1.6 times, and the value is kept between 1 and 2 as much as possible for the best effect, as shown in Table 12.
Table 12.
AIGC prompt word conversion and weighting.
In this paper, we first selected images for the S3 flat style model. Secondly, the local Lora model training environment was debugged, and an N-card RTX 4070 super graphics card was used for training. Then the selected images were preprocessed in high definition to unify their resolution as the base environment for training the model. Finally, the perceptual vocabulary was converted into AI-identified cue words for image generation to achieve the product effect image. For AIGC-generated solutions, eight designers were invited to screen the logical soundness of the solutions after the design was completed, and obvious errors due to AI operation logic were eliminated.
According to the weight ranking, the parameter values, such as its relevance and re-entry magnitude, were gradually reduced. The middle parameter values were selected and fine-tuned left and right, 200 effect diagrams were generated, and finally four new energy commercial heavy-duty trucks were selected, as shown in Figure 5, Figure 6, Figure 7 and Figure 8. Seventy-five Kansei questionnaires were issued, with a result of seventy-one valid questionnaires which underwent evaluation screening. Questionnaire results data of the Clonbach coefficient are around 0.89, greater than 0.8, indicating that the results are valid. TOPSIS proximity is generally greater than 0.5, according to the questionnaire evaluation results sorting, and finally the program with the highest perceptual coupling as T3 was selected, as shown in Table 13.
Figure 5.
Rendering T1.
Figure 6.
Rendering T2.
Figure 7.
Rendering T3.
Figure 8.
Rendering T4.
Table 13.
Scheme evaluation.
4. Discussion
This study is grounded in the solid theoretical foundation of Kansei engineering, skillfully integrating cutting-edge methodologies such as Artificial Intelligence (AI) image generation technology, with new energy commercial vehicles serving as the focus of in-depth research. Its core focus lies in leveraging scientific and advanced research techniques to efficiently and rationally uncover users’ emotional resonance and aesthetic preferences towards the exterior design of new energy commercial vehicles. It is dedicated to exploring a pathway that precisely translates these deep-seated user needs into key elements of product exterior design, thereby giving rise to innovative design solutions that not only meet user expectations but also exhibit creativity.
Addressing the multifaceted complexity of emotion-driven design in the body shape design of new energy commercial vehicles, this study firstly proposes an innovative method integrating AHP (Analytic Hierarchy Process)-SD (Semantic Differential Method)-TOPSIS (Technique for Order Preference by Similarity to Ideal Solution)-AIGC (Artificial Intelligence Generated Content) for morphological design. This method aims to scientifically and precisely translate users’ emotional needs into design elements for vehicle body shapes. Secondly, we extensively collect relevant information through mainstream search engines and literature searches, conducting thorough and detailed investigations and analyses to establish a sentiment evaluation sample library. This step provides abundant materials and references for subsequent morphological design. Then, based on the AHP method, we establish an index system of driving factors for the body shape design of new energy commercial vehicles. By classifying emotional vocabulary according to various levels of indicators and refining core semantic words, we further use the consistent matrix method to determine the weights of multi-dimensional factor indicators for body shape design. This process ensures that the selection of design elements not only aligns with users’ emotional needs but also embodies scientific and rational design principles. Subsequently, based on the closeness values in TOPSIS, we prioritize the design schemes and derive the style morphology with the highest coupling degree to the emotional intentions of commercial vehicle users. This step effectively enhances the pertinence and effectiveness of the design, ensuring that the design scheme precisely meets users’ aesthetic preferences. Finally, based on the symmetry of the vehicle body shape, we use edge detection algorithms to extract multiple local morphological style feature sample curves and fit their line shapes into the commercial vehicle body contours. On this basis, we utilize AIGC tools to generate innovative schemes and validate them through a case study of heavy-duty truck body shape design. The results indicate that this method can quickly generate multiple sets of design schemes that meet users’ emotional needs and complete sentiment evaluations, thereby verifying the rationality and effectiveness of the research.
This study proposes a design process for the exterior of new energy commercial vehicles that integrates the concept of Kansei engineering with AHP (Analytic Hierarchy Process), SD (Semantic Differential Analysis), TOPSIS (Technique for Order of Preference by Similarity to Ideal Solution), and AIGC (Artificial Intelligence Generated Content) technologies. It achieves precision and objectivity in demand mining. We delve into how to scientifically and reasonably incorporate control conditions such as user needs, functional practicability, and market orientation into the AI image generation process, thereby efficiently producing a large number of conceptual sketches for new energy commercial vehicle body shapes that meet user expectations. Compared with AI-generated schemes that rely entirely on designers’ individual creativity or lack refined conditional control, the method proposed in this study demonstrates significant advantages in objectivity, rigor, and accuracy. It not only substantially improves the overall efficiency and rationality of vehicle body exterior analysis and design but also effectively overcomes the limitations of traditional Kansei engineering methods in directly generating concrete product images. Meanwhile, this method addresses issues such as vague objectives and lack of theoretical support that may arise in the scheme generation process using a single AI tool, providing more reliable and objective guidance for final decisions in vehicle body design. Furthermore, the application of this process significantly shortens the cycle from conceptual design to mass production for automakers, bringing revolutionary changes to the design and development of new energy commercial vehicles. It not only provides automakers with more efficient and precise design tools but also points the way forward for the intelligent and personalized development of future automotive design.
5. Conclusions
This paper proposes a design approach for rapidly generating new energy commercial vehicle body shapes that align with market and user demands. This approach aids enterprises in swiftly and scientifically matching body shapes that conform to users’ aesthetics and complete the design scheme for vehicle body shapes. The contributions and guiding significance are summarized as follows:
- (1)
- This paper integrates the AHP-SD-TOPSIS method, firstly, through the pre-AHP hierarchical analysis method and Delphi expert group analysis method. The multi-dimensional, multi-angle, and multi-attribute commercial vehicle body shape driving elements are summarized. The whole product’s intrinsic elements are more comprehensively expressed through the more accurately subdivided layered and condensed perpetual semantics. The consistency matrix is used to obtain the different perceptual semantic words between the weight relationship. By analyzing this data, the design of the body form can become more in line with the user’s perceptual needs, making the design more scientific and with a greatly improved efficiency.
- (2)
- This paper integrates the edge detection algorithm and the expert group method for cooperation, relying on the expert group to summarize the basic form of the product, and adopting the edge detection algorithm to classify the summarized product form. Compared with relying on the experience of individual experts, the lines extracted by the algorithm are more representative. The obtained classification of product outline features can effectively summarize the subjective preference of the expert panel for market style and design element samples.
- (3)
- To simply and quickly obtain the user’s perceptual evaluations of the product component styles, split the product structural components and conduct user questionnaire research on product component styles. After extracting the research data, collect the questionnaires and calculate their average values through the semantic difference scale (SD). Construct the evaluation data matrix and construct the weighting matrix by combining the AHP weights after the normalization of the matrix data.
- (4)
- The TOPSIS method can be a good way to face this complex multi-factor evaluation decision-making system, and its proximity calculation can be a good response to the user’s perceptual imagery of modeling coupling, which demonstrates that the higher the value, the closer the user’s imagery. The optimal solution that meets the user’s expected preference can be derived after the screening of the solutions.
- (5)
- Choosing the new energy commercial vehicle, an emerging transport product with user demand as the dominant consumer, as the research object not only verifies the reasonableness of the morphological design process in the paper but also fills the gap in the field of appearance design of this product, which will help its comprehensive development in the future.
The follow-up study will combine the complex network analysis method or introduce the fuzzy evaluation theory to study the relationship between the driving factors. In addition, the perceptual experiment will combine the most advanced design concepts at home and abroad, continue to enrich the local component elements, screen better experimental samples, and make the results more objective based on eye movement and EEG multi-modal analysis. Although this study is based on the design and development background of Chinese commercial vehicles, the data collection and analysis involved in using this method are objective and universal, and therefore applicable to other cultural or regional backgrounds as well.
This research currently does not comprehensively cover the selection of local styling features for new energy commercial vehicles, such as not considered components like LiDAR and electronic rearview mirrors, and profit models. In the future, the Analytic Network Process (ANP) or the introduction of fuzzy evaluation theory will be combined to study the relationships among the driving elements of styling design. In terms of styling features, more local component elements can be adopted and combined with multi-modal elements such as eye movement and electroencephalogram (EEG) analysis to further improve this design method.
Author Contributions
Conceptualization, B.L. and Z.H.; methodology, B.L.; software, B.L. and Z.H.; validation, B.L., Z.H., Y.L. and Z.W.; formal analysis, B.L.; investigation, B.L., Z.H., Y.L. and Z.W.; resources, B.L.; data curation, B.L.; writing—original draft preparation, investigation, B.L., Z.H., Y.L. and Z.W.; writing—review and editing, B.L. and Y.L.; visualization, B.L.; supervision, B.L., Z.H., Y.L. and Z.W.; project administration, B.L.; funding acquisition, B.L. All authors have read and agreed to the published version of the manuscript.
Funding
This research was funded by the National Social Science Fund of China (grant number: NO. 22BSH122),the Key R&D Project in Shaanxi Province (grant number: NO. 2022ZDLSF07-07), the Special Fund for Natural Sciences of Shaanxi Provincial Department of Education (grant number: NO. 23JK0567), and the Key R&D Project in Shaanxi Province (grant number: NO. 2025SF-YBXM-231).
Data Availability Statement
The datasets used during the current study are available from the corresponding author upon reasonable request.
Conflicts of Interest
Author Yuhang Liu was employed by the Dectron Future Automobile Technology Co., Ltd. The remaining authors declare that the research was conducted in the absence of any commercial or financial relationships that could be construed as a potential conflict of interest.
References
- Liu, F. The Development Trend of Commercial Vehicles under Carbon Neutrality. Auto Time 2024, 1, 22–24. [Google Scholar]
- Meng, Z.; Wang, D.; Zhang, X.; Zhang, Z.; Lian, F.; Chen, J. Integrated optimization design of lightweight and fatigue life for the integrated structure of cell-to-frame. Automot. Eng. 2024, 46, 2143–2153+2219. [Google Scholar]
- Liu, Y.; Cao, Y.; Liu, C.; Zhang, D.; Liu, X.; Qiao, J.; Luo, G. Progress of energy and power system technologies for commercial vehicles under china’s carbon peaking and carbon neutrality goals. Chin. J. Automot. Eng. 2022, 12, 478–494. [Google Scholar]
- Zhang, X.; Yang, L.; Yang, Z.; Zhang, N. Research on driving mode control of new energy commercial vehicles. Auto Electr. Parts 2023, 40–42. [Google Scholar] [CrossRef]
- Gao, Y.; Qiao, H.; Chen, J.; Zhang, C.; Wang, D.; Sun, X. Design of the high-torque density permanent magnet synchronous motor used in nesw energy commercial vehicles. Electr. Mach. Technol. 2024, 1, 1–6. [Google Scholar]
- Guo, H.; Li, Q.; Han, Y.; Zhao, W. Improvement analysis on the braking weakness of a new energy commercial vehicle. Automob. Appl. Technol. 2022, 47, 109–113. [Google Scholar]
- Qin, G. New Energy Heavy-Duty Truck Styling Design Research and Application. Master’s Thesis, Henan University of Technology, Zhengzhou, China, 2023. [Google Scholar]
- Carreira, R.; Patrício, L.; Jorge, R.N.; Magee, C.L. Development of an extended Kansei engineering method to incorporate experience requirements in product–service system design. J. Eng. Des. 2013, 24, 738–764. [Google Scholar] [CrossRef]
- Lu, W.; Ye, C.; Fang, Y.; Čok, V. A systematic review of Kansei engineering in vehicle design. Digit. Eng. 2024, 3, 100022. [Google Scholar] [CrossRef]
- Su, J.; Hu, Q.; Zhang, S.; Yang, W.; Li, X. Research on coupling design characteristics for color-material-finishing of car body. J. Mach. Des. 2020, 37, 119–125. [Google Scholar]
- Tian, Q.H.; Zhang, C.; Zhu, W.; Huang, J.K.; Zhang, Y.R.; Zhou, X.M. Study on fuzzy duration of serial coupled iterative design tasks in product development. IOP Conf. Ser. Mater. Sci. Eng. 2020, 892, 012080. [Google Scholar] [CrossRef]
- Shi, X.; Guo, X.; Lu, Z.; Cheng, Y.; Wang, W.; Shen, H. CMF Design and Application of Chinese Elements in Cockpit Seat Based on Kansei Engineering. Packag. Eng. 2023, 44, 441–448. [Google Scholar]
- Hu, W.; Zhao, J. Automobile styling gene evolution driven by users’ expectation image. J. Mech. Eng. 2011, 47, 176–181. [Google Scholar] [CrossRef]
- Ma, L.; Lu, J.; Shan, J.; Pan, W. Design method of automobile modeling feature line based on eye movement tracking. Packag. Eng. 2019, 40, 234–241. [Google Scholar]
- Fu, L. Research on the Aesthetics of Automobile Body Modelling Design. Ph.D. Thesis, Jilin University, Changchun, China, 2009. [Google Scholar]
- Li, Y.; Lu, C.; Liu, X.; Sheng, Z.; Cai, G. Gene network model of automobile styling design. Comput. Integr. Manuf. Syst. 2018, 24, 1249–1260. [Google Scholar]
- Kady, C.; Jalloul, K.; Trousset, F.; Yaacoub, C.; Akl, A.; Daclin, N.; Zacharewicz, G. Addressing Business Process Deviations through the Evaluation of Alternative Pattern-Based Models. Appl. Sci. 2023, 13, 7722. [Google Scholar] [CrossRef]
- Osgood, C.E.; Suci, G.J.; Tannenbaum, P.H. The Measurement of Meaning; University of Illinois Press: Chicago, IL, USA, 1957. [Google Scholar]
- Raja, S.; Praveenkumar, V. Optimizing additive manufacturing parameters for graphene-reinforced PETG impeller production: A fuzzy AHP-TOPSIS approach. Results Eng. 2024, 24, 103018. [Google Scholar]
- Tianxiong, W. A Novel Approach of Integrating Natural Language Processing Techniques with Fuzzy TOPSIS for Product Evaluation. Symmetry 2022, 14, 120. [Google Scholar] [CrossRef]
- Su, J.; Chen, Y.; Jing, N.; Zhang, X. Coupling characteristics study in product image modeling design. J. Mach. Des. 2017, 34, 105–109. [Google Scholar]
- Liu, L.; Zhen, G. Design of Portable Oxygen Concentrator Based on Kj-Ahp Method. Design 2023, 36, 112–115. [Google Scholar]
- Lu, W.; Jiang, G.; Liu, Y.; Zhang, Y.; Zhang, Z. Kansei evaluation of interior layout design of business jet cockpit. Comput. Integr. Manuf. Syst. 2024, 30, 28–41. [Google Scholar]
- Bi, Z.; Han, B. Anti-noise roberts edge detector. Comput. Technol. Dev. 2013, 23, 258–261. [Google Scholar]
- Yoshihisa, S.; Hideki, A. Design System for Basic Shapes of Automatic Vehicles Using Sensory Language. Proc. Acad. Lect. Precis. Eng. Soc. 2003, 2003, 13. [Google Scholar]
- Yang, L.; Xiang, Z.; Zhao, C.; Xu, J.; Gao, P. Exterior design for air rail train based on feature semantics and fuzzy analytic hierarchy process. Packag. Eng. 2024, 45, 150–157+167. [Google Scholar]
- Liu, A.; Cheng, X.; Wang, M. Multiple affective responses design method of product based on kansei engineering and topsis-aism. Packag. Eng. 2024, 45, 183–193. [Google Scholar]
- Du, Y.; Liu, X.; Cai, M.; Park, K. A Product’s Kansei Appearance Design Method Based on Conditional-Controlled AI Image Generation. Sustainability 2024, 16, 8837. [Google Scholar] [CrossRef]
- Wang, C.; Chung, J. Research on AI Painting Generation Technology Based on the [Stable Diffusion]. Int. J. Adv. Smart Converg. 2023, 12, 90–95. [Google Scholar]
- Zhu, B.; Yang, C.; Yu, C.; An, F. Product image recognition based on deep learning. J. Comput.-Aided Des. Comput. Graph. 2018, 30, 1778–1784. [Google Scholar] [CrossRef]
- Lai, X.; Zhang, S.; Mao, N.; Liu, J.; Chen, Q. Kansei engineering for new energy vehicle exterior design: An internet big data mining approach. Comput. Ind. Eng. 2022, 165, 107913. [Google Scholar] [CrossRef]
Disclaimer/Publisher’s Note: The statements, opinions and data contained in all publications are solely those of the individual author(s) and contributor(s) and not of MDPI and/or the editor(s). MDPI and/or the editor(s) disclaim responsibility for any injury to people or property resulting from any ideas, methods, instructions or products referred to in the content. |
© 2025 by the authors. Licensee MDPI, Basel, Switzerland. This article is an open access article distributed under the terms and conditions of the Creative Commons Attribution (CC BY) license (https://creativecommons.org/licenses/by/4.0/).

















































