Processing the Sensor Signal in a PI Control System Using an Adaptive Filter Based on Fuzzy Logic
Abstract
1. Introduction

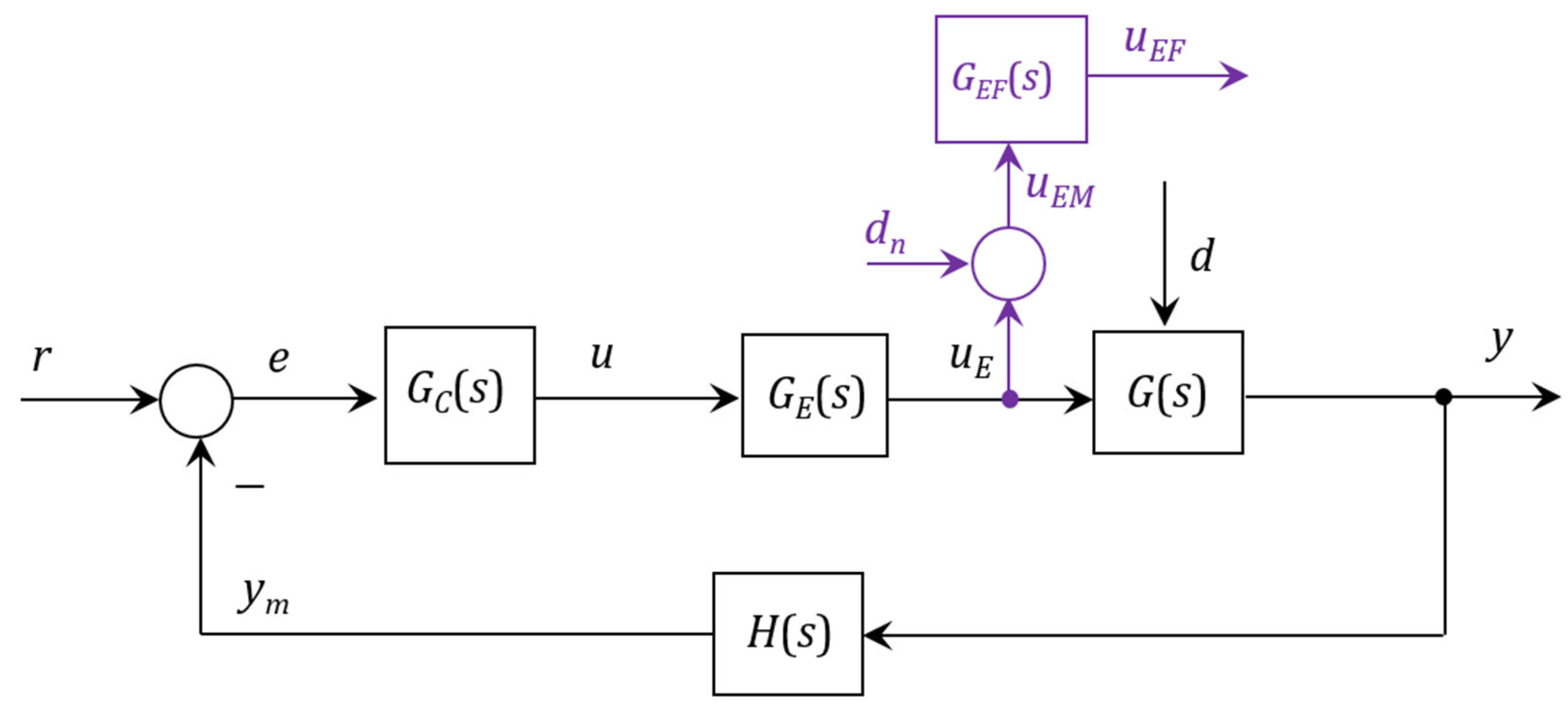
2. Adaptive Fuzzy Filter Used for Monitoring the Input Signal of the Control Object in a Control System with a PI Controller
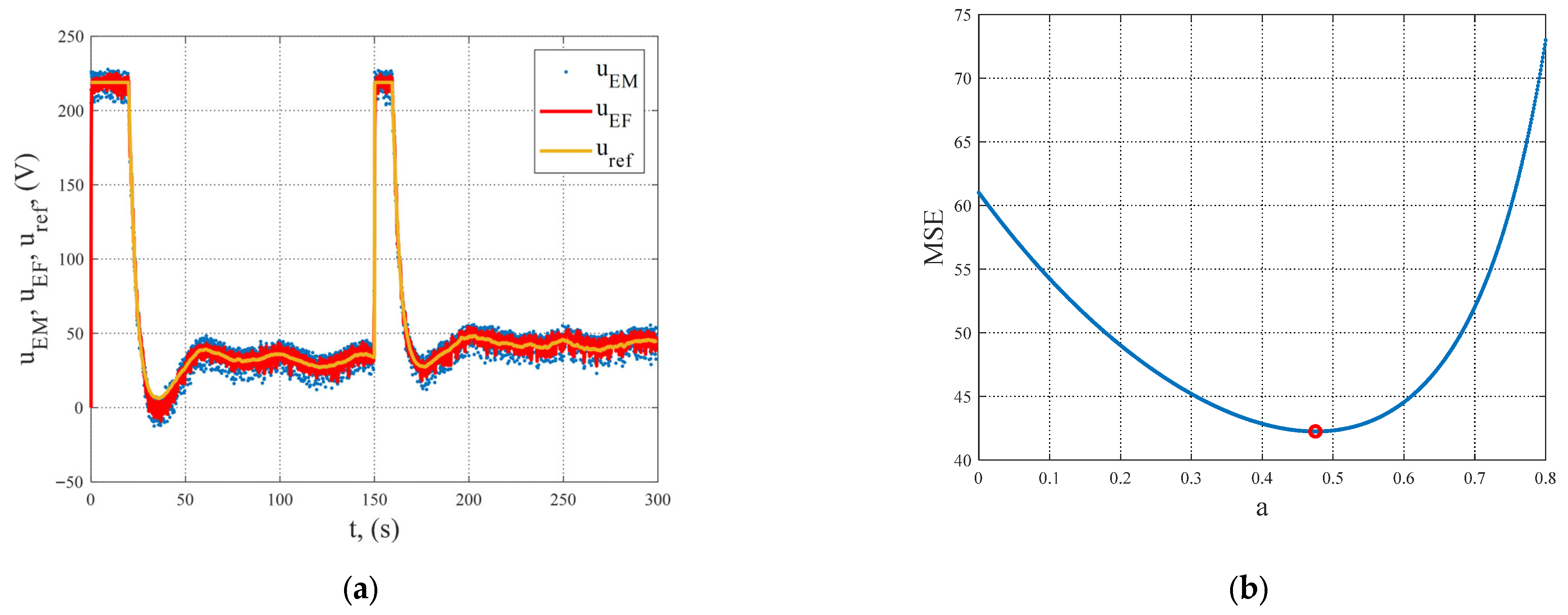
2.1. First-Order IIR Low-Pass Filter
2.2. Adaptive Fuzzy Filter Based on First-Order Recursive IIR Filter
- R1: If |du/dt| = S then b = S(a = L).
- R2: If |du/dt| = M then b = M(a = M).
- R3: If |du/dt| = L then a = L(b = S).
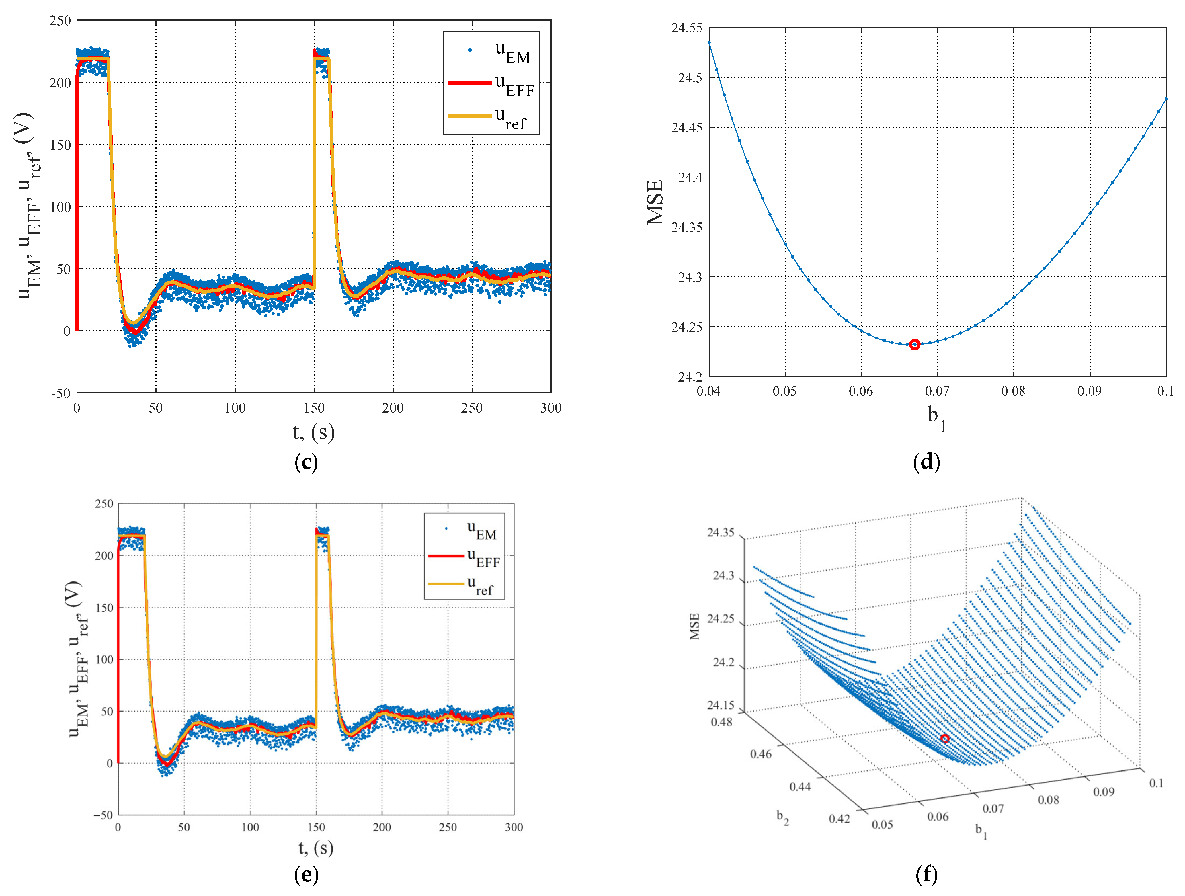
2.3. Selection of Fuzzy Model Parameters as an Element of an Adaptive Low-Pass Filter
- -
- by selecting the modal value b1 and calculating the value b2 as the midpoint between b1 and b3, i.e., b2 = (b1 + b3)/2, thus obtaining a symmetric structure of the fuzzy model;
- -
- by iteratively determining both modal values, i.e., b1 and b2.
3. Results of Bench Tests
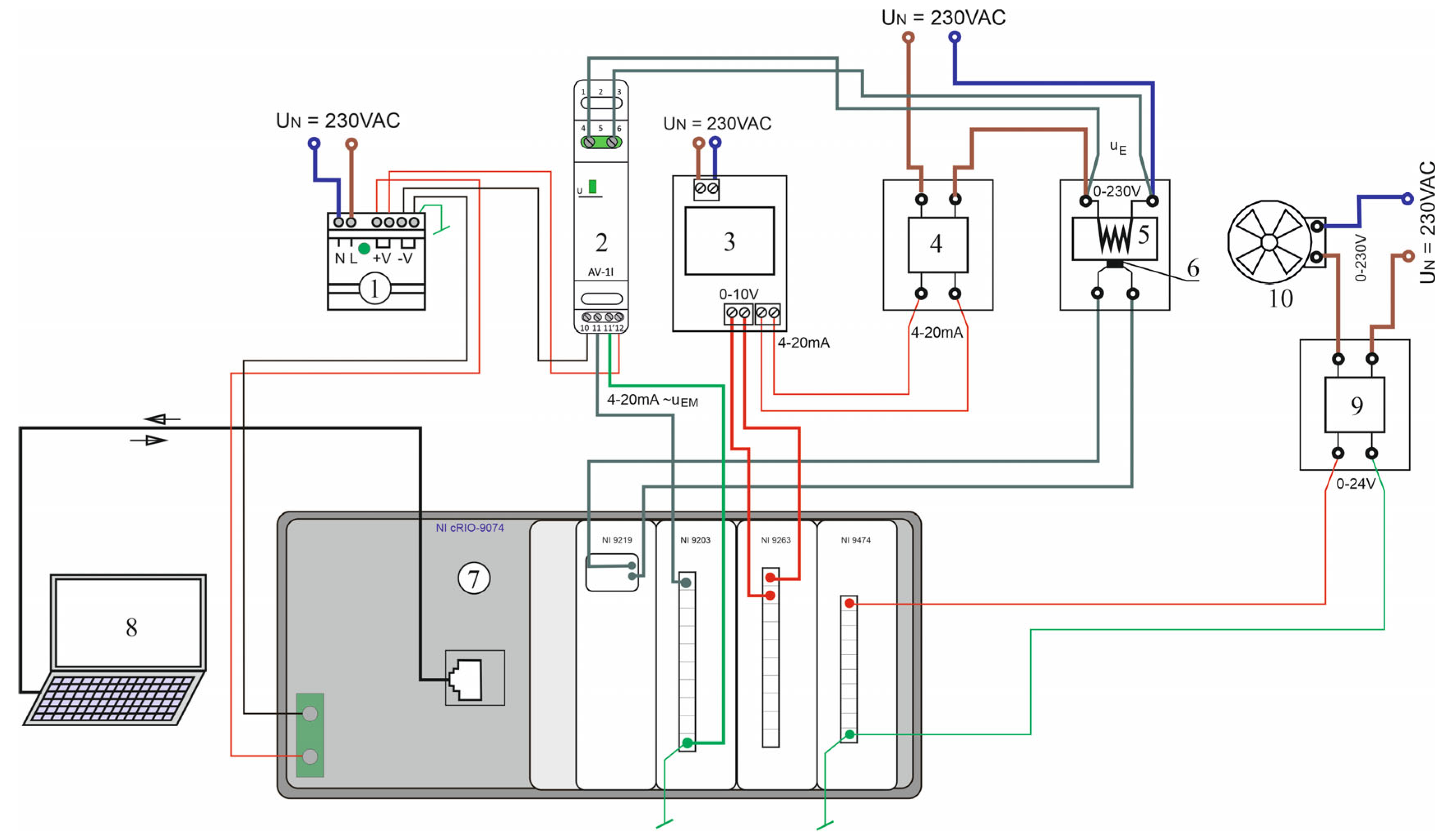
3.1. Test Stand

3.2. Test Conditions
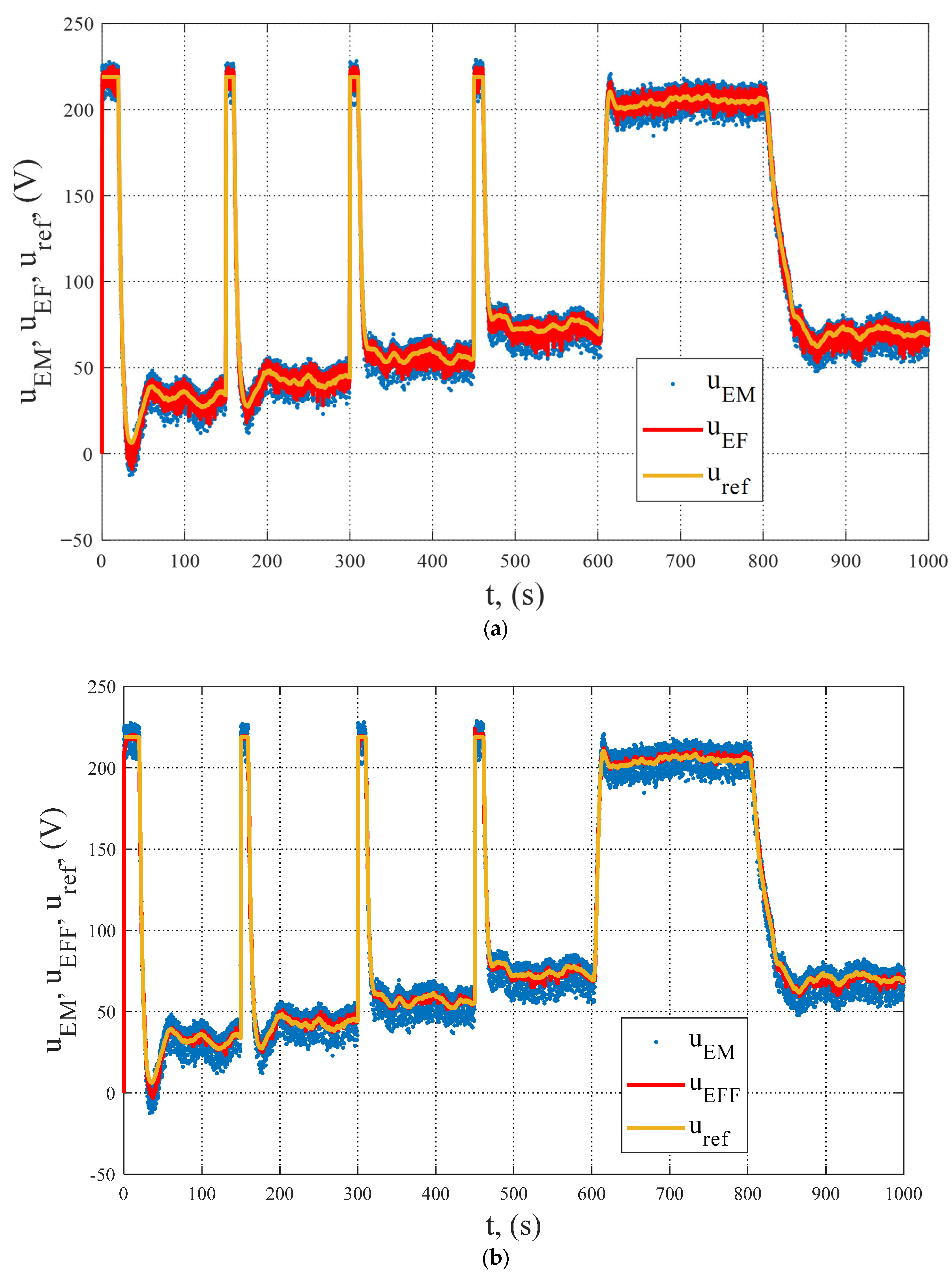
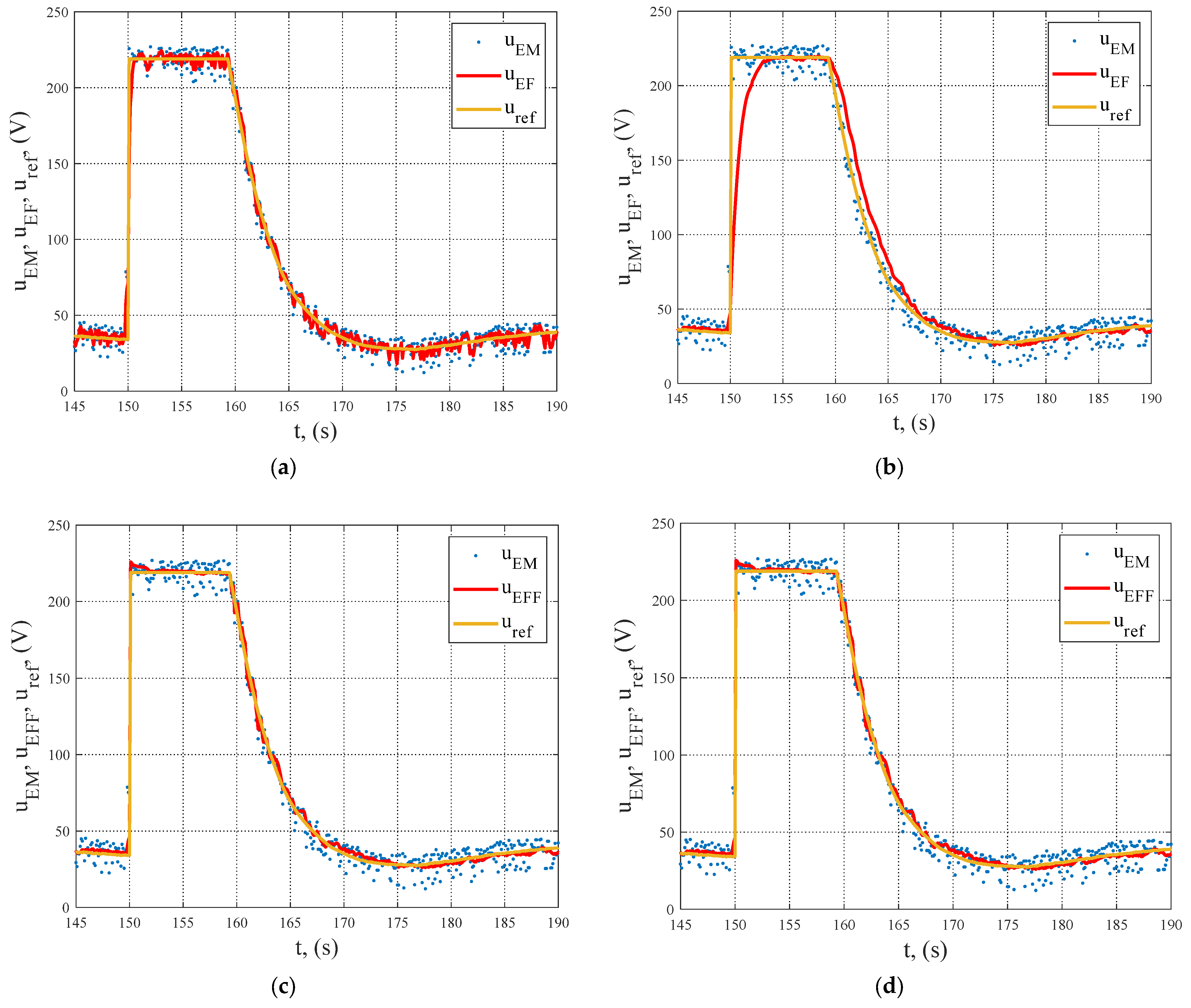
3.3. Research Results
4. Discussion
5. Conclusions
Author Contributions
Funding
Data Availability Statement
Conflicts of Interest
References
- Sagdatullin, A. Improving automation control systems and advantages of the new fuzzy logic approach to object real-time process operation. In Proceedings of the 2019 1st International Conference on Control Systems, Mathematical Modelling, Automation and Energy Efficiency (SUMMA), Lipetsk, Russia, 20–22 November 2019; IEEE: Piscataway, NJ, USA; pp. 256–260. [Google Scholar]
- De Silva, C.W. Intelligent Control: Fuzzy Logic Applications; CRC Press: Boca Raton, FL, USA, 2018. [Google Scholar]
- van der Wal, A.J. Application of fuzzy logic control in industry. Fuzzy Sets Syst. 1995, 74, 33–41. [Google Scholar] [CrossRef]
- Juuso, E.K. Fuzzy control in process industry: The linguistic equation approach. In Fuzzy Algorithms for Control; Springer: Dordrecht, The Netherlands, 1999; pp. 243–300. [Google Scholar]
- Zapała, W. Seminar on Electrification and Automation of Mines; Silesian University of Technology Publishing House: Gliwice, Poland, 1994. (In Polish) [Google Scholar]
- Smith, S.W. Digital Signal Processing: A Practical Guide for Engineers and Scientsts; Elsevier Science: Burlington, VT, USA, 2003. [Google Scholar]
- Hermanowicz, E. Estimation of samples of the derivative of a signal based on the signal difference derivative. In Proceedings of the ICECS 2001 8th IEEE International Conference on Electronics, Circuits and Systems (Cat. No. 01EX483), St. Julian’s, Malta, 2–5 September 2001; IEEE: Piscataway, NJ, USA; Volume 1, pp. 63–66. [Google Scholar]
- Smékal, Z. Difference equations with forward and backward differences and their usage in digital signal processor algorithms. Radioengineering 2006, 15, 45. [Google Scholar]
- Sundararajan, D. The Laplace Transform. In Signals and Systems: A Practical Approach; Springer Nature: Cham, Switzerland, 2022; pp. 331–375. [Google Scholar]
- Luo, J.; Ying, K.; He, P.; Bai, J. Properties of Savitzky–Golay digital differentiators. Digit Signal Process. 2005, 15, 122–136. [Google Scholar] [CrossRef]
- Mishra, D.; Nayak, P.C.; Prusty, R.C.; Panda, S. An improved equilibrium optimization-based fuzzy tilted double integral derivative with filter (F-TIDF-2) controller for frequency regulation of an off-grid microgrid. Electr. Eng. 2024, 106, 2033–2055. [Google Scholar] [CrossRef]
- Gheisarnejad, M.; Khooban, M.H. Design an optimal fuzzy fractional proportional integral derivative controller with derivative filter for load frequency control in power systems. Trans. Inst. Meas. Control 2019, 41, 2563–2581. [Google Scholar] [CrossRef]
- Hosseini, R.; Mashayekhi Fard, J.; Soltani, S. Active filter design and synthesis for hybrid neuro-fuzzy and robust PID controllers. Int. J. Dyn. Control 2024, 12, 3873–3883. [Google Scholar] [CrossRef]
- Zadeh, L.A. Fuzzy sets. Inf. Control. 1965, 8, 338–353. [Google Scholar] [CrossRef]
- Cara, A.B.; Wagner, C.; Hagras, H.; Pomares, H.; Rojas, I. Multiobjective optimization and comparison of nonsingleton type-1 and singleton interval type-2 fuzzy logic systems. IEEE Trans. Fuzzy Syst. 2012, 21, 459–476. [Google Scholar] [CrossRef]
- Piegat, A. Fuzzy Modeling and Control; Academic Publishing House EXIT: Warsow, Poland, 2003. (In Polish) [Google Scholar]
- F&F—Domestic and Industrial Automation. Available online: https://www.fif.com.pl/en/io-extension-modules/424-analog-transmitter-av-1i.html (accessed on 10 December 2024).
- Mayne, D.Q.; Firoozan, F. Linear Identification of ARMA Processes. Automatica 1982, 18, 461–466. [Google Scholar] [CrossRef]
- Akaike, H. A new look at the statistical model identification. IEEE Trans. Autom. Control 1974, AC-19, 716–723. [Google Scholar] [CrossRef]













| IIR Filter with Equation (2) | Adaptive Fuzzy Filter | ||
|---|---|---|---|
| With a Symmetrical Structure | With a Model with an Asymmetric Output | ||
| Range | a = 0.475 | b1 = 0.067; b2 = 0.5335; b3 = 1.000 | b1 = 0.073; b2 = 0.443; b3 = 1.000 |
| MSE | MSE | MSE | |
| t0–t1 | 42.25 | 24.23 | 24.17 |
| t2–t3 | 29.78 | 5.11 | 4.90 |
| t4–t5 | 16.47 | 2.97 | 2.89 |
| t6–t7 | 46.22 | 5.88 | 5.97 |
| t0–t7 | 29.73 | 10.63 | 10.50 |
Disclaimer/Publisher’s Note: The statements, opinions and data contained in all publications are solely those of the individual author(s) and contributor(s) and not of MDPI and/or the editor(s). MDPI and/or the editor(s) disclaim responsibility for any injury to people or property resulting from any ideas, methods, instructions or products referred to in the content. |
© 2025 by the authors. Licensee MDPI, Basel, Switzerland. This article is an open access article distributed under the terms and conditions of the Creative Commons Attribution (CC BY) license (https://creativecommons.org/licenses/by/4.0/).
Share and Cite
Joostberens, J.; Rybak, A.; Rybak, A. Processing the Sensor Signal in a PI Control System Using an Adaptive Filter Based on Fuzzy Logic. Symmetry 2025, 17, 1774. https://doi.org/10.3390/sym17101774
Joostberens J, Rybak A, Rybak A. Processing the Sensor Signal in a PI Control System Using an Adaptive Filter Based on Fuzzy Logic. Symmetry. 2025; 17(10):1774. https://doi.org/10.3390/sym17101774
Chicago/Turabian StyleJoostberens, Jarosław, Aurelia Rybak, and Aleksandra Rybak. 2025. "Processing the Sensor Signal in a PI Control System Using an Adaptive Filter Based on Fuzzy Logic" Symmetry 17, no. 10: 1774. https://doi.org/10.3390/sym17101774
APA StyleJoostberens, J., Rybak, A., & Rybak, A. (2025). Processing the Sensor Signal in a PI Control System Using an Adaptive Filter Based on Fuzzy Logic. Symmetry, 17(10), 1774. https://doi.org/10.3390/sym17101774

