Mathematical Modeling in Bioinformatics: Application of an Alignment-Free Method Combined with Principal Component Analysis
Abstract
1. Introduction
2. Theory
3. Results and Discussion
- Protein1: WTFESRNDPAKDPVILWLNGGPGCSSLTGL;
- Protein2: WFFESRNDPANDPIILWLNGGPGCSSFTGL.
- Protein3: WFFESRNDPANDPIILWLNGGPGCSSFTGF.
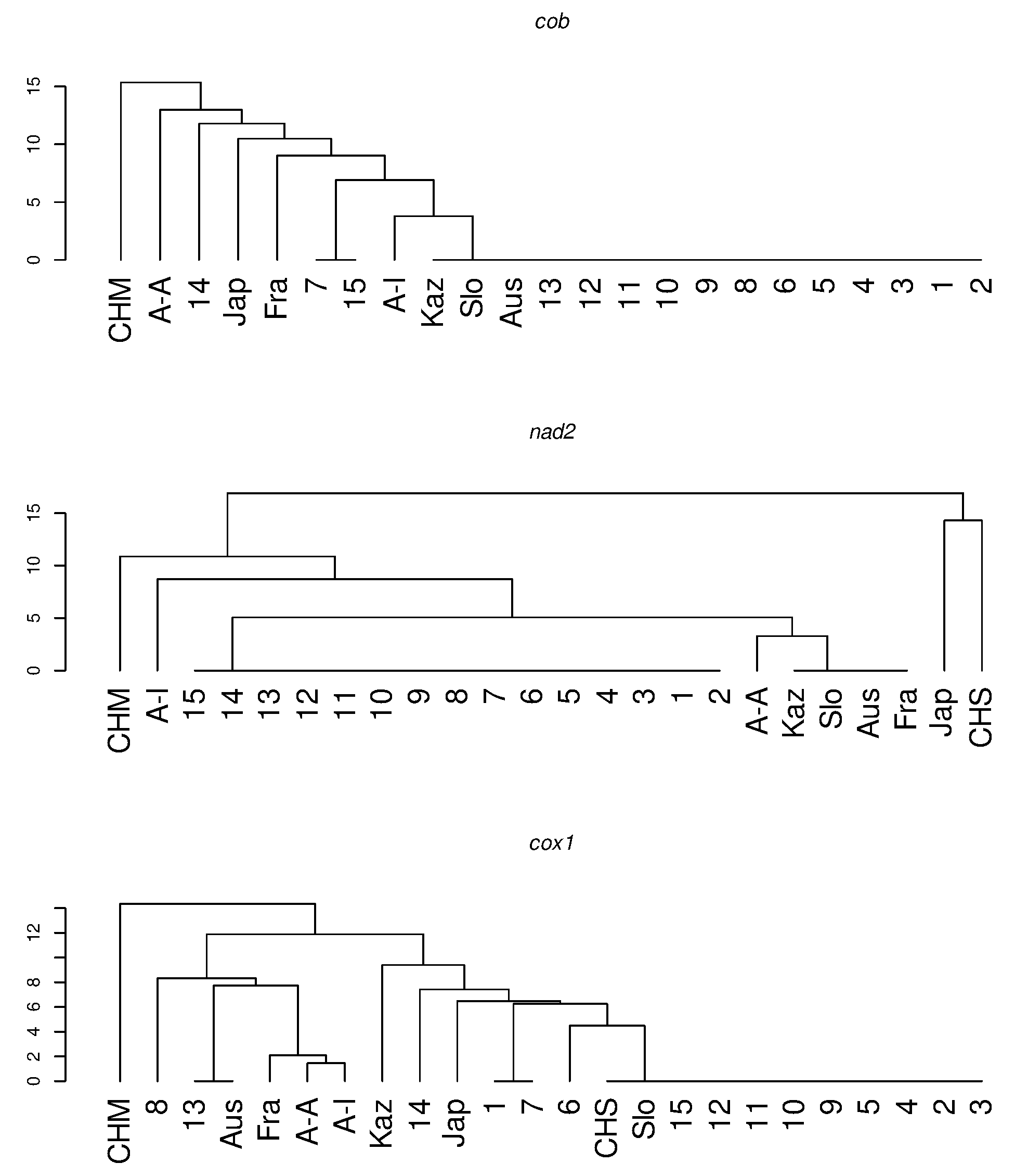
- cob gene, coordinates of the centers of mass, Figure 9 top panel:
- (CHM)
- (A-A)
- (14)
- (Jap)
- (Fra)
- (7,15)
- (A-I)
- (Kaz,Slo,Aus,1,2,3,4,5,6,8,9,10,11,12,13);
- nad2 gene, coordinates of the centers of mass, Figure 9 middle panel:
- (CHM)
- (A-I)
- (1,2,3,4,5,6,7,8,9,10,11,12,13,14,15)
- (A-A)
- (Kaz,Slo,Aus,Fra)
- (Jap)
- (CHS);
- cox1 gene, coordinates of the centers of mass, Figure 9 bottom panel:
- (CHM)
- (8)
- (13,Aus)
- (Fra)
- (A-A)
- (A-I)
- (Kaz)
- (14)
- (Jap)
- (1,7)
- (6)
- (CHS,Slo,2,3,4,5,9,10,11,12,15);
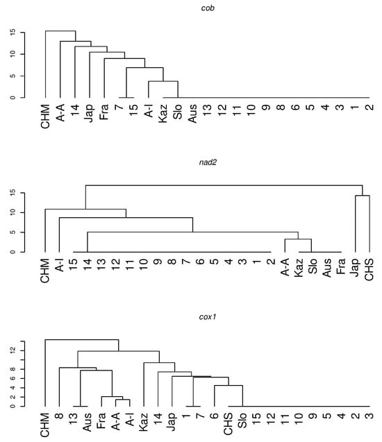
- cob gene, normalized principal moments of inertia, Figure 10 top panel:
- (CHM)
- (A-I)
- (A-A)
- (7,15)
- (Fra)
- (Jap)
- (14)
- (Kaz,Slo,Aus,1,2,3,4,5,6,8,9,10,11,12,13);
- nad2 gene, normalized principal moments of inertia, Figure 10 middle panel:
- (A-I)
- (CHM)
- (CHS)
- (1,2,3,4,5,6,7,8,9,10,11,12,13,14,15)
- (Kaz,Slo,Aus,Fra)
- (Jap)
- (A-A);
- cox1 gene, normalized principal moments of inertia, Figure 10 bottom panel:
- (8)
- (Jap)
- (13,Aus)
- (6)
- (1,7)
- (CHS,Slo,2,3,4,5,9,10,11,12,15)
- (14)
- (A-A)
- (A-I)
- (CHM)
- (Fra)
- (Kaz).
4. Conclusions
Author Contributions
Funding
Data Availability Statement
Conflicts of Interest
References
- Ramanathan, N.; Ramamurthy, J.; Natarajan, G. Numerical Characterization of DNA Sequences for Alignment-free Sequence Comparison—A Review. Comb. Chem. High Throughput Screen. 2022, 25, 365–380. [Google Scholar] [CrossRef] [PubMed]
- Gupta, M.K.; Niyogi, R.; Misra, M. An alignment-free method to find similarity among protein sequences via the general form of Chou’s pseudo amino acid composition. SAR QSAR Environ. Res. 2013, 24, 597–609. [Google Scholar] [CrossRef]
- Li, Y.S.; Song, T.; Yang, J.S.; Zhang, Y.; Yang, J.L. An Alignment-Free Algorithm in Comparing the Similarity of Protein Sequences Based on Pseudo-Markov Transition Probabilities among Amino Acids. PLoS ONE 2016, 11, e0167430. [Google Scholar] [CrossRef]
- Saw, A.K.; Tripathy, B.C.; Nandi, S. Alignment-free similarity analysis for protein sequences based on fuzzy integral. Sci. Rep. 2019, 9, 2775. [Google Scholar] [CrossRef]
- Randić, M.; Novič, M.; Plavšić, D. Milestones in graphical bioinformatics. Int. J. Quant. Chem. 2013, 113, 2413–2446. [Google Scholar] [CrossRef]
- Nandy, A. A new graphical representation and analysis of DNA sequence structure. I: Methodology and application to globin genes. Curr. Sci. 1994, 66, 309–314. [Google Scholar]
- Nandy, A.; Dey, S.; Basak, S.C.; Bielińska-Wąż, D.; Wąż, P. Characterizing the Zika Virus Genome—A Bioinformatics Study. Curr. Comput. Aided Drug Des. 2016, 12, 87–97. [Google Scholar] [CrossRef]
- Randić, M.; Vračko, M.; Lerš, N.; Plavšić, D. Analysis of similarity/dissimilarity of DNA sequences based on novel 2-D graphical representation. Chem. Phys.Lett. 2003, 371, 202–207. [Google Scholar] [CrossRef]
- Randić, M.; Zupan, J.; Vikić-Topić, D. On representation of proteins by star-like graphs. J. Mol. Graph. Model. 2007, 26, 290–305. [Google Scholar] [CrossRef]
- Cao, Z.; Liao, B.; Li, R. A group of 3D graphical representation of DNA sequences based on dual nucleotides. Int. J. Quant. Chem. 2008, 108, 1485–1490. [Google Scholar] [CrossRef]
- Jafarzadeh, N.; Iranmanesh, A. C-curve: A novel 3D graphical representation of DNA sequence based on codons. Math. Biosci. 2013, 214, 217–224. [Google Scholar] [CrossRef]
- Mu, Z.C.; Li, G.J.; Wu, H.Y.; Qi, X.Q. 3D–PAF Curve: A Novel Graphical Representation of Protein Sequences for Similarity Analysis. Match Commun. Math. Comput. Chem. 2016, 75, 447–462. [Google Scholar]
- Bielińska-Wąż, D.; Wąż, P. Spectral-dynamic representation of DNA sequences. J. Biomed. Inform. 2017, 72, 1–7. [Google Scholar] [CrossRef]
- Zhang, Y.Y.; Wen, J. Similarity analysis of protein sequences based on a new graphical representation method. Commun. Inf. Syst. 2018, 18, 193–208. [Google Scholar] [CrossRef]
- Mahmoodi-Reihani, M.; Abbasitabar, F.; Zare-Shahabadi, V. A novel graphical representation and similarity analysis of protein sequences based on physicochemical properties. Phys. A Stat. Mech. Appl. 2018, 510, 477–485. [Google Scholar] [CrossRef]
- Li, C.C.; Dai, Q.; He, P.A. A time series representation of protein sequences for similarity comparison. J. Theor. Biol. 2022, 538, 111039. [Google Scholar] [CrossRef]
- Bielińska, A.; Majkowicz, M.; Bielińska-Wąż, D.; Wąż, P. A New Method in Bioinformatics—Interdisciplinary Similarity Studies. AIP Conf. Proc. 2019, 2116, 450013. [Google Scholar]
- Bielińska, A.; Wąż, P.; Bielińska-Wąż, D. A Computational Model of Similarity Analysis in Quality of Life Research: An Example of Studies in Poland. Life 2022, 12, 56. [Google Scholar] [CrossRef]
- Wąż, P.; Bielińska-Wąż, D. Moments of Inertia of Spectra and Distribution Moments as Molecular Descriptors. Match Commun. Math. Comput. Chem. 2013, 70, 851–865. [Google Scholar]
- Bielińska-Wąż, D.; Wąż, P. Non-standard bioinformatics characterization of SARS-CoV-2. Comput. Biol. Med. 2021, 131, 104247. [Google Scholar] [CrossRef]
- Ždímalová, M.; Chatterjee, A.; Kosnáčová, H.; Ghosh, M.; Obaidullah, S.M.; Kopáni, M.; Kosnáč, D. Various Approaches to the Quantitative Evaluation of Biological and Medical Data Using Mathematical Models. Symmetry 2022, 14, 7. [Google Scholar] [CrossRef]
- Liu, Y.; Wu, R.; Yang, A. Research on Medical Problems Based on Mathematical Models. Mathematics 2023, 11, 2842. [Google Scholar] [CrossRef]
- Czerniecka, A.; Bielińska-Wąż, D.; Wąż, P.; Clark, T. 20D-dynamic representation of protein sequences. Genomics 2016, 107, 16–23. [Google Scholar] [CrossRef]
- Yao, Y.H.; Kong, F.; Dai, Q.; He, P.A. A sequence-segmented method applied to the similarity analysis of long protein sequence. Match Commun. Math. Comput. Chem. 2013, 70, 431–450. [Google Scholar]
- Karamon, J.; Stojecki, K.; Samorek-Pieróg, M.; Bilska-Zając, E.; Różycki, M.; Chmurzyńska, E.; Sroka, J.; Zdybel, J.; Cencek, T. Genetic diversity of Echinococcus Multilocularis Red Foxes Poland: First Rep. Ahaplotype Probable Asian Origin. Folia Parasitol. 2017, 64, 7. [Google Scholar] [CrossRef]
- Bielińska-Wąż, D.; Wąż, P.; Lass, A.; Karamon, J. 4D-Dynamic Representation of DNA/RNA Sequences: Studies on Genetic Diversity of Echinococcus multilocularis Red Foxes Poland. Life 2022, 12, 877. [Google Scholar] [CrossRef]
- Randić, M. 2-D Graphical representation of proteins based on physico-chemical properties of amino acids. Chem. Phys. Lett. 2007, 440, 291–295. [Google Scholar] [CrossRef]
- Yu, J.F.; Sun, X.; Wang, J.H. A novel 2D graphical representation of protein sequence based on individual amino acid. Int. J. Quantum Chem. 2011, 111, 2835–2843. [Google Scholar] [CrossRef]
- Gelaye, Y.; Negash, B. The role of baculoviruses in controlling insect pests: A review. Cogent Food Agric. 2023, 9, 2254139. [Google Scholar] [CrossRef]
- Williams, T. Soil as an Environmental Reservoir for Baculoviruses: Persistence, Dispersal and Role in Pest Control. Soil Syst. 2023, 7, 29. [Google Scholar] [CrossRef]
- Rodríguez-Hernández, A.P.; Martínez-Flores, D.; Cruz-Reséndiz, A.; Padilla-Flores, T.; González-Flores, R.; Estrada, K.; Sampieri, A.; Camacho-Zarco, A.R.; Vaca, L. Baculovirus Display of Peptides and Proteins for Medical Applications. Viruses 2023, 15, 411. [Google Scholar] [CrossRef] [PubMed]
- Motta, L.F.; Cerrudo, C.S.; Belaich, M.N. A Comprehensive Study of MicroRNA in Baculoviruses. Int. J. Mol. Sci. 2024, 25, 603. [Google Scholar] [CrossRef] [PubMed]
- Lackner, A.; Genta, K.; Koppensteiner, H.; Herbacek, I.; Holzmann, K.; Spiegl-Kreinecker, S.; Berger, W.; Grusch, M. A bicistronic baculovirus vector for transient and stable protein expression in mammalian cells. Anal. Biochem. 2008, 380, 146–148. [Google Scholar] [CrossRef] [PubMed]
- Ammann, R.W.; Eckert, J. Clinical diagnosis and treatment of echinococcosis in humans. In Echinococcus and Hydatid Disease; Thompson, R.C.A., Lymbery, A.J., Eds.; CAB International: Wallingford, UK, 1995; pp. 411–463. [Google Scholar]
- Sulima, M.; Nahorski, W.; Gorycki, T.; Wolyniec, W.; Wąż, P.; Felczak-Korzybska, I.; Szostakowska, B.; Sikorska, K. Ultrasound images in hepatic alveolar echinococcosis and clinical stage of the disease. Adv. Med Sci. 2019, 64, 324–330. [Google Scholar] [CrossRef] [PubMed]
- Sulima, M.; Szostakowska, B.; Nahorski, W.; Sikorska, K.; Wolyniec, W.; Wąż, P. The usefulness of commercially available serological tests in the diagnosis and monitoring of treatment in patients with alveolar echinococcosis. Clin. Exp. Hepatol. 2019, 5, 327–333. [Google Scholar] [CrossRef] [PubMed]
- Conraths, F.J.; Probst, C.; Possenti, A.; Boufana, B.; Saulle, R.; La Torre, G.; Busani, L.; Casulli, A. Potential risk factors associated with human alveolar echinococcosis: Systematic review and meta-analysis. PLoS Negl. Trop. Dis. 2017, 11, e0005801. [Google Scholar] [CrossRef] [PubMed]
- Nakao, M.; Sako, Y.; Ito, A. Isolation of polymorphic microsatellite loci from the tapeworm Echinococcus multilocularis. Infect. Genet. Evol. 2003, 3, 159–163. [Google Scholar] [CrossRef] [PubMed]
- Knapp, J.; Bart, J.M.; Glowatzki, M.L.; Ito, A.; Gerard, S.; Maillard, S.; Piarroux, R.; Gottstein, B. Assessment of use of microsatellite polymorphism analysis for improving spatial distribution tracking of Echinococcus multilocularis. J. Clin. Microbiol. 2007, 45, 2943–2950. [Google Scholar] [CrossRef] [PubMed]
- Knapp, J.; Bart, J.M.; Giraudoux, P.; Glowatzki, M.L.; Breyer, I.; Raoul, F.; Deplazes, P.; Duscher, G.; Martinek, K.; Dubinsky, P.; et al. Genetic diversity of the cestode Echinococcusmultilocularis in red foxes at a continental scale in Europe. PLoS Negl. Trop. Dis. 2009, 3, e452. [Google Scholar] [CrossRef]
- Nakao, M.; Xiao, N.; Okamoto, M.; Yanagida, T.; Sako, Y.; Ito, A. Geographic pattern of genetic variation in the fox tapeworm Echinococcusmultilocularis. Parasitol. Int. 2009, 58, 384–389. [Google Scholar] [CrossRef]
- Spotin, A.; Gholami, S.; Nasab, A.N.; Fallah, E.; Oskouei, M.M.; Semnani, V.; Shariatzadeh, S.A.; Shahbazi, A. Designing and conducting in silico analysis for identifying of Echinococcus spp. With discrimination of novel haplotypes: An approach to better understanding of parasite taxonomic. Parasitol. Res. 2015, 114, 1503–1509. [Google Scholar] [CrossRef]
- Bowles, J.; McManus, D.P. NADH dehydrogenase 1 gene sequences compared for species and strains of the genus Echinococcus. Int. J. Parasitol. 1993, 23, 969–972. [Google Scholar] [CrossRef]
- Okamoto, M.; Bessho, Y.; Kamiya, M.; Kurosawa, T.; Horii, T. Phylogeneticrelationships within Taenia taeniaeformis variants and other taeniid cestodesinferred from the nucleotide sequence of the cytochrome c oxidase subunit Igene. Parasitol. Res. 1995, 81, 451–458. [Google Scholar] [CrossRef] [PubMed]
- Spotin, A.; Boufana, B.; Ahmadpour, E.; Casulli, A.; Mahami-Oskouei, M.; Rouhani, S.; Javadi-Mamaghani, A.; Shahrivar, F.; Khoshakhlagh, P. Assessment of the global pattern of genetic diversity in Echinococcus Multilocularis Inferred Mitochondrial DNA Sequences. Vet. Parasitol. 2018, 262, 30–41. [Google Scholar] [CrossRef]
- Li, J.Q.; Li, L.; Fan, Y.L.; Fu, B.Q.; Zhu, X.Q.; Yan, H.B.; Jia, W.Z. Genetic Diversity in Echinococcus Multilocularis the Plateau Vole Plateau Pika Jiuzhi County, Qinghai Province, China. Front Microbiol. 2018, 9, 2632. [Google Scholar] [CrossRef]
- Umhang, G.; Knapp, J.; Wassermann, M.; Bastid, V.; Peytavin de Garam, C.; Boué, F.; Cencek, T.; Romig, T.; Karamon, J. Asian Admixture in European Echinococcus multilocularis Populations: New Data From Poland Comparing EmsB Microsatellite Analyses and Mitochondrial Sequencing. Front Vet Sci. 2021, 7, 620722. [Google Scholar] [CrossRef]
- Umhang, G.; Bastid, V.; Avcioglu, H.; Bagrade, G.; Bujanić, M.; Čabrilo, O.B.; Casulli, A.; Dorny, P.; van Der Giessen, J.; Guven, E.; et al. Unravelling the genetic diversity and relatedness of Echinococcus multilocularis isolates in Eurasia using the EmsB microsatellite nuclear marker. Infect. Genet. Evol. 2021, 92, 104863. [Google Scholar] [CrossRef]
- Casulli, A.; Széll, Z.; Pozio, E.; Sréter, T. Spatial distribution and genetic diversity of Echinococcus Multilocularis in Hungary. Vet. Parasitol. 2010, 174, 241–246. [Google Scholar] [CrossRef] [PubMed]
- Umhang, G.; Karamon, J.; Hormaz, V.; Knapp, J.; Cencek, T.; Boué, F. A step forward in the understanding of the presence and expansion of Echinococcus Multilocularisin Eastern Europe using microsatellite EmsB genotyping in Poland. Infect. Genet. Evol. 2017, 54, 176–182. [Google Scholar] [CrossRef] [PubMed]
- Knapp, J.; Guislain, M.-H.; Bart, J.M.; Raoul, F.; Gottstein, B.; Giraudoux, P.; Piarroux, R. Genetic diversity of Echinococcusmultilocularis A Local Scale. Infect. Genet. Evol. 2008, 8, 367–373. [Google Scholar] [CrossRef]
- Knapp, J.; Staebler, S.; Bart, J.M.; Stien, A.; Yoccoz, N.G.; Drögemüller, C.; Gottstein, B.; Deplazes, P. Echinococcus multilocularis in Svalbard, Norway: Microsatellite genotyping to investigate the origin of a highly focal contamination. Infect. Genet. Evol. 2012, 12, 1270–1274. [Google Scholar] [CrossRef] [PubMed][Green Version]
- Knapp, J.; Umhang, G.; Wahlström, H.; Al-Sabi, M.N.S.; Ågren, E.O.; Enemark, H.L. Genetic diversity of Echinococcus Multilocularis in red foxes from two Scandinavian countries: Denmark and Sweden. Food Waterborne Parasitol. 2019, 14, e00045. [Google Scholar] [CrossRef] [PubMed]
- Umhang, G.; Knapp, J.; Hormaz, V.; Raoul, F.; BoueÂ, F. Using the genetics of Echinococcus Multilocularis to trace the history of expansion from an endemic area. Infect. Genet. Evol. J. Mol. Epidemiol. Evol. Genet. Infect. Dis. 2014, 22, 142–149. [Google Scholar] [CrossRef] [PubMed]
- Laurimaa, L.; Süld, K.; Moks, E.; Valdmann, H.; Umhang, G.; Knapp, J.; Saarma, U. First report of the zoonotic tapeworm Echinococcusmultilocularis in raccoon dogs in Estonia, and comparisons with other countries in Europe. Vet. Parasitol. 2015, 212, 200–205. [Google Scholar] [CrossRef] [PubMed]
- Bretagne, S.; Assouline, B.; Vidaud, D.; Houin, R.; Vidaud, M. Echinococcus Multilocularis: Microsatellite polymorphism in U1 snRNA genes. Exp. Parasitol. 1996, 82, 324–328. [Google Scholar] [CrossRef] [PubMed]
- Knapp, J.; Gottstein, B.; Bretagne, S.; Bart, J.-M.; Umhang, G.; Richou, C.; Bresson-Hadni, S.; Millon, L. Genotyping Echinococcus multilocularis in Human Alveolar Echinococcosis Patients: An EmsB Microsatellite Analysis. Pathogens. 2020, 9, 282. [Google Scholar] [CrossRef] [PubMed]
- Debourgogne, A.; Goehringer, F.; Umhang, G.; Gauchotte, G.; Hénard, S.; Boué, F.; May, T.; Machouart, M. Primary cerebral alveolar echinococcosis: Mycology to the rescue. J. Clin. Microbiol. 2014, 52, 692–694. [Google Scholar] [CrossRef]
- Shang, J.Y.; Zhang, G.J.; Liao, S.; Yu, W.J.; He, W.; Wang, Q.; Huang, Y.; Wang, Q.; Long, Y.X.; Liu, Y.; et al. Low genetic variation in Echinococcus multilocularis from the Western Sichuan Plateau of China revealed by microsatellite and mitochondrial DNA markers. Acta Trop. 2021, 221, 105989. [Google Scholar] [CrossRef] [PubMed]
- Tamura, K.; Stecher, G.; Peterson, D.; Filipski, A.; Kumar, S. MEGA6: Molecular evolutionary genetics analysis version 6.0. Mol. Biol. Evol. 2013, 30, 2725–2729. [Google Scholar] [CrossRef] [PubMed]
- Schultz, T.W.; Cronin, M.T.D.; Walker, J.D.; Aptula, A.O. Quantitative structure–activity relationships (QSARs) in toxicology: A historical perspective. J. Mol. Struct. 2003, 622, 1–22. [Google Scholar] [CrossRef]
- Lapinska, N.; Paclawski, A.; Szlek, J.; Mendyk, A. Integrated QSAR Models for Prediction of Serotonergic Activity: Machine Learning Unveiling Activity and Selectivity Patterns of Molecular Descriptors. Pharmaceutics 2024, 16, 349. [Google Scholar] [CrossRef] [PubMed]
- Jagiełło, K.; Puzyn, T.; Wąż, P.; Bielińska-Wąż, D. Moments of Inertia of Spectra as Descriptors for QSAR/QSPR. In Topics in Chemical Graph Theory; Gutman, I., Ed.; University of Kragujevac: Kragujevac, Serbia, 2014; pp. 151–162. [Google Scholar]
- Panas, D.; Wąż, P.; Bielińska-Wąż, D.; Nandy, A.; Basak, S.C. 2D-Dynamic Representation of DNA/RNA Sequences as a Characterization Tool of the Zika Virus Genome. MATCH Commun. Math. Comput. Chem. 2017, 77, 321–332. [Google Scholar]










| Axis No. | Amino Acid | Single-Letter Symbol |
|---|---|---|
| 1 | Alanine | A |
| 2 | Cysteine | C |
| 3 | Aspartic acid | D |
| 4 | Glutamic acid | E |
| 5 | Phenylalanine | F |
| 6 | Glycine | G |
| 7 | Histidine | H |
| 8 | Isoleucine | I |
| 9 | Lysine | K |
| 10 | Leucine | L |
| 11 | Methionine | M |
| 12 | Asparagine | N |
| 13 | Proline | P |
| 14 | Glutamine | Q |
| 15 | Arginine | R |
| 16 | Serine | S |
| 17 | Threonine | T |
| 18 | Valine | V |
| 19 | Tryptophan | W |
| 20 | Tyrosine | Y |
| (, , , , , , , , , , , , , , , , , , , ) | |
|---|---|
| (0, 0, 0, 0, 0, 0, 0, 0, 0, 0, 1, 0, 0, 0, 0, 0, 0, 0, 0, 0) | |
| (0, 0, 0, 0, 0, 0, 0, 0, 0, 0, 1, 0, 0, 0, 0, 0, 1, 0, 0, 0) | |
| (0, 0, 0, 0, 0, 0, 0, 0, 0, 0, 2, 0, 0, 0, 0, 0, 1, 0, 0, 0) | |
| (0, 0, 0, 0, 0, 0, 1, 0, 0, 0, 2, 0, 0, 0, 0, 0, 1, 0, 0, 0) |
| (, ) | |
|---|---|
| (0, 1) | |
| (0, 1) | |
| (0, 2) | |
| (1, 2) |
| k | Protein1 | Protein2 | Protein3 |
|---|---|---|---|
| 1 | 2.96217 | 3.08383 | 3.08275 |
| 2 | 2.96217 | 3.08383 | 3.08275 |
| 3 | 2.96217 | 3.08383 | 3.08275 |
| 4 | 2.96217 | 3.08383 | 3.08275 |
| 5 | 2.96019 | 3.08383 | 3.08275 |
| 6 | 2.96014 | 3.08383 | 3.08275 |
| 7 | 2.95979 | 3.08110 | 3.08067 |
| 8 | 2.95899 | 3.08099 | 3.07986 |
| 9 | 2.95871 | 3.08049 | 3.07946 |
| 10 | 2.95784 | 3.08016 | 3.07909 |
| 11 | 2.95775 | 3.07934 | 3.07827 |
| 12 | 2.95643 | 3.07806 | 3.07770 |
| 13 | 2.95587 | 3.07622 | 3.07489 |
| 14 | 2.95046 | 3.07329 | 3.07272 |
| 15 | 2.94901 | 3.06775 | 3.06339 |
| 16 | 2.93858 | 3.06132 | 3.06032 |
| 17 | 2.92190 | 3.04625 | 3.04504 |
| 18 | 2.89850 | 3.00080 | 2.99511 |
| 19 | 2.79203 | 2.91024 | 2.90664 |
| 20 | 1.44066 | 1.50527 | 1.52230 |
| No. | Species | Accession No. | Length |
|---|---|---|---|
| 1 | AcMNPV (Autographa californica nucleopolyhedrovirus) | AAA66725.1 | 1221 |
| 2 | BmNPV (Bombyx mori nucleopolyhedrovirus) | AAC63764.1 | 1222 |
| 3 | RoMNPV (Rachiplusia ou MNPV) | AAN28013.1 | 1221 |
| 4 | HearNPV (Helicoverpa armigera nucleopolyhedrovirus) | AAK57882.1 | 1253 |
| 5 | HzSNPV (Helicoverpa zea single nucleopolyhedrovirus) | AAL56093.1 | 1253 |
| 6 | MacoNPVA (Mamestra configurata nucleopolyhedrovirus A) | AAM09201.1 | 1212 |
| 7 | MacoNPVB (Mamestra configurata nucleopolyhedrovirus B) | AAM95079.1 | 1209 |
| 8 | SeMNPV (Spodoptera exigua multiple nucleopolyhedrovirus) | AAB96630.1 | 1222 |
| 9 | AdorGV (Adoxophyes orana granulovirus) | AAP85713.1 | 1138 |
| 10 | CpGV (Cydia pomonella granulovirus) | AAK70750.1 | 1131 |
| 11 | CrleGV (Cryptophlebia leucotreta granulovirus) | AAQ21676.1 | 1128 |
| 12 | NeseNPV (Neodiprion sertifer nucleopolyhedrovirus) | AAQ96438.1 | 1143 |
| Species | AcMNPV | BmNPV | RoMNPV | HearNPV | HzNPV | MacoNPVA | MacoNPVB | SeMNPV | AdorGV | CpGV | CrleGV | NeseNPV |
|---|---|---|---|---|---|---|---|---|---|---|---|---|
| AcMNPV | 0 | 4.55 | 0.24 | 7.38 | 7.86 | 11.31 | 13.40 | 1.93 | 31.15 | 44.52 | 36.82 | 22.26 |
| BmNPV | 0 | 4.79 | 2.83 | 3.31 | 15.86 | 17.94 | 6.49 | 35.70 | 49.06 | 41.36 | 26.81 | |
| RoMNPV | 0 | 7.62 | 8.11 | 11.07 | 13.15 | 1.69 | 30.91 | 44.27 | 36.58 | 22.02 | ||
| HearNPV | 0 | 0.48 | 18.69 | 20.78 | 9.32 | 38.53 | 51.88 | 44.19 | 29.64 | |||
| HzSNPV | 0 | 19.17 | 21.26 | 9.80 | 39.01 | 52.36 | 44.67 | 30.12 | ||||
| MacoNPVA | 0 | 2.09 | 9.38 | 19.85 | 33.22 | 25.52 | 10.96 | |||||
| MacoNPVB | 0 | 11.46 | 17.77 | 31.14 | 23.44 | 8.87 | ||||||
| SeMNPV | 0 | 29.22 | 42.58 | 34.89 | 20.33 | |||||||
| AdorGV | 0 | 13.38 | 5.67 | 8.90 | ||||||||
| CpGV | 0 | 0.77 | 22.27 | |||||||||
| CrleGV | 0 | 14.57 | ||||||||||
| NeseNPV | 0 |
Disclaimer/Publisher’s Note: The statements, opinions and data contained in all publications are solely those of the individual author(s) and contributor(s) and not of MDPI and/or the editor(s). MDPI and/or the editor(s) disclaim responsibility for any injury to people or property resulting from any ideas, methods, instructions or products referred to in the content. |
© 2024 by the authors. Licensee MDPI, Basel, Switzerland. This article is an open access article distributed under the terms and conditions of the Creative Commons Attribution (CC BY) license (https://creativecommons.org/licenses/by/4.0/).
Share and Cite
Bielińska-Wąż, D.; Wąż, P.; Błaczkowska, A.; Mandrysz, J.; Lass, A.; Gładysz, P.; Karamon, J. Mathematical Modeling in Bioinformatics: Application of an Alignment-Free Method Combined with Principal Component Analysis. Symmetry 2024, 16, 967. https://doi.org/10.3390/sym16080967
Bielińska-Wąż D, Wąż P, Błaczkowska A, Mandrysz J, Lass A, Gładysz P, Karamon J. Mathematical Modeling in Bioinformatics: Application of an Alignment-Free Method Combined with Principal Component Analysis. Symmetry. 2024; 16(8):967. https://doi.org/10.3390/sym16080967
Chicago/Turabian StyleBielińska-Wąż, Dorota, Piotr Wąż, Agata Błaczkowska, Jan Mandrysz, Anna Lass, Paweł Gładysz, and Jacek Karamon. 2024. "Mathematical Modeling in Bioinformatics: Application of an Alignment-Free Method Combined with Principal Component Analysis" Symmetry 16, no. 8: 967. https://doi.org/10.3390/sym16080967
APA StyleBielińska-Wąż, D., Wąż, P., Błaczkowska, A., Mandrysz, J., Lass, A., Gładysz, P., & Karamon, J. (2024). Mathematical Modeling in Bioinformatics: Application of an Alignment-Free Method Combined with Principal Component Analysis. Symmetry, 16(8), 967. https://doi.org/10.3390/sym16080967

