Modeling the Nonmonotonic Immune Response in a Tumor–Immune System Interaction
Abstract
1. Introduction
2. Stability Analysis
2.1. Dimensionless Model
2.2. Existence of Equilibria


- (a)
- If , there exists one intersection point (see Figure 3a).
- (b)
- If , there exist two intersection points (see Figure 3b).
- (c)
- If , , there exist three intersection points (see Figure 3c).
- (d)
- If , there exist two intersection points (see Figure 3d).
- (e)
- If , there exists one intersection point (see Figure 3e).
- (a)
- If , there is no intersection point (see Figure 3g).
- (b)
- If , there exists one intersection point (see Figure 3h).
- (c)
- If , there exist two intersection points (see Figure 3i).

2.3. Stability of Equilibria
3. Local Bifurcation Analysis
3.1. Saddle-Node Bifurcation
3.2. Transcritical Bifurcation
3.3. Hopf Bifurcation
4. Numerical Simulations
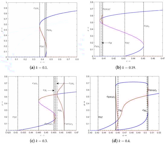
- There is one saddle-node bifurcation point named . For any , the tumor-free equilibrium always exists, which is stable. When , there exist two tumor-presence equilibria: unstable and stable . Furthermore, we find the bistability of and .
- There is one saddle-node bifurcation point named and one Hopf bifurcation point named . For any , always exists, which is stable. When , there exist and , where is unstable. is stable when and unstable when . Furthermore, we find that the Hopf bifurcating limit cycle disappears through a homoclinic bifurcation .
- There is one saddle-node bifurcation point named and a Hopf bifurcation point named . For any , always exists, which is unstable. When , there exist , and , where is stable and is unstable. is stable when and unstable when . When , there exists , which is stable.
- There are two saddle-node bifurcation points named and and one Hopf bifurcation point named . For any , always exists, which is unstable. When , there exists , which is stable. When , there exist , and , where is stable and is unstable. is stable when and unstable when . When , there exists , which is stable. By fixing , we can obtain , , and find the bistability of and .
- There are saddle-node bifurcation points named and and two Hopf bifurcation points named and . For any , always exists, which is unstable. When , there exists . is stable when , and unstable when . When , there exist , and , where they are all unstable. When , there exists . is unstable when and stable when . By fixing , we can obtain and find stable periodic solutions around (see Figure 6). Furthermore, we find two homoclinic bifurcation thresholds and in this case.

- There are two Hopf bifurcation points named and . For any , always exists. is stable when or and unstable when .
- (1)
- : there is no tumor-presence equilibrium.
- (2)
- : one saddle-node bifurcation point at which and will appear. In this case, the functions and are tangent.
- (3)
- : there exist and . Both and are unstable.
- (4)
- : there exist and . is unstable and is stable.
- (5)
- : one transcritical bifurcation point at which loses the stability.
- (6)
- : there exist , and . Both and are stable, while is unstable.
- (7)
- : one saddle-node bifurcation at which and will merge. In this case, the functions and are tangent.
- (8)
- : there exists , which is stable.
5. Conclusions and Discussion
Author Contributions
Funding
Data Availability Statement
Acknowledgments
Conflicts of Interest
References
- Vesely, M.D.; Schreiber, R.D. Cancer Immunoediting: Antigens, mechanisms and implications to cancer immunotherapy. Ann. N. Y. Acad. Sci. 2013, 1284, 1–5. [Google Scholar] [CrossRef] [PubMed]
- Yang, Y.L.; Yang, F.; Huang, Z.Q.; Li, Y.Y.; Shi, H.Y.; Sun, Q.; Xu, F.H. T cells, NK cells, and tumor-associated macrophages in cancer immunotherapy and the current state of the art of drug delivery systems. Front. Immunol. 2023, 14, 1199173. [Google Scholar] [CrossRef] [PubMed]
- Beatty, G.L.; Gladney, W.L. Immune escape mechanisms as a guide for cancer immunotherapy. Clin. Cancer Res. 2015, 21, 687–692. [Google Scholar] [CrossRef] [PubMed]
- Kim, S.K.; Cho, S.W. The evasion mechanisms of cancer immunity and drug intervention in the tumor microenvironment. Front. Pharmacol. 2022, 13, 868695. [Google Scholar] [CrossRef] [PubMed]
- Tan, S.; Li, D.; Zhu, Z. T cells, Cancer immunotherapy: Pros, cons and beyond. Biomed. Pharmacother. 2020, 124, 109821. [Google Scholar] [CrossRef] [PubMed]
- Farkona, S.; Diamandis, E.P.; Blasutig, I.M. Cancer immunotherapy: The beginning of the end of cancer? BMC Med. 2016, 14, 73. [Google Scholar] [CrossRef] [PubMed]
- Waldman, A.D.; Fritz, J.M.; Lenardo, M.J. A guide to cancer immunotherapy: From T cell basic science to clinical practice. Nat. Rev. Immunol. 2020, 20, 651–668. [Google Scholar] [CrossRef] [PubMed]
- Eftimie, R.; Bramson, J.L.; Earn, D.J.D. Interactions between the immune system and cancer: A brief review of non-spatial mathematical models. Bull. Math. Biol. 2011, 73, 2–32. [Google Scholar] [CrossRef]
- de Pillis, L.G.; Radunskaya, A.E. A mathematical tumor model with immune resistance and drug therapy: An optimal control approach. Computat. Math. Methods Med. 2001, 3, 79–100. [Google Scholar]
- de Pillis, L.G.; Radunskaya, A.E.; Wiseman, C.L. A validated mathematical model of cell-mediated immune response to tumor growth. Cancer Res. 2005, 65, 7950–7958. [Google Scholar] [CrossRef]
- Dong, Y.; Miyazaki, R.; Takeuchi, Y. Mathematical modeling on helper T cells in a tumor immune system. Discret. Contin. Dyn. Syst. Ser. B 2014, 19, 55–72. [Google Scholar] [CrossRef]
- Wilson, S.; Levy, D. A mathematical model of the enhancement of tumor vaccine efficacy by immunotherapy. Bull. Math. Biol. 2012, 74, 1485–1500. [Google Scholar] [CrossRef]
- den Breems, N.Y.; Eftimie, R. The re-polarisation of M2 and M1 macrophages and its role on cancer outcomes. J. Theor. Biol. 2016, 390, 23–39. [Google Scholar] [CrossRef] [PubMed]
- Shu, Y.; Huang, J.; Dong, Y.; Takeuchi, Y. Mathematical modeling and bifurcation analysis of pro- and anti-tumor macrophages. Appl. Math. Model. 2020, 88, 758–773. [Google Scholar] [CrossRef]
- d’Onofrio, A. Metamodeling tumor-immune systeminteraction, tumor evasion and immunotherapy. Math. Comput. Model. 2008, 47, 614–637. [Google Scholar] [CrossRef]
- Mahlbacher, G.E.; Reihmer, K.C.; Frieboes, H.B. Mathematical modeling of tumor-immune cell interactions. J. Theor. Biol. 2019, 469, 47–60. [Google Scholar] [CrossRef] [PubMed]
- Tao, Y.; Campbell, S.A.; Poulin, F.J. Dynamics of a diffusive nutrient-phytoplankton-zooplankton model with spatio-temporal delay. SIAM J. Appl. Math. 2021, 81, 2405–2432. [Google Scholar] [CrossRef]
- Xu, Q.; Huang, J.; Dong, Y.; Takeuchi, Y. A delayed HIV infection model with the homeostatic proliferation of CD4 +T cells. Acta Math. Appl. Sin. Engl. Ser. 2022, 38, 441–462. [Google Scholar] [CrossRef]
- Tao, Y.; Sun, Y.; Zhu, H.; Lyu, J.; Ren, J. Nilpotent singularities and periodic perturbation of a GIβ model: A pathway to glucose disorder. J. Nonlinear Sci. 2023, 33, 33–49. [Google Scholar] [CrossRef]
- Kuznetsov, V.A.; Makalkin, I.A.; Taylor, M.A.; Perelson, A.S. Nonlinear dynamics of immunogenic tumors: Parameter estimation and global bifurcation analysis. Bull. Math. Biol. 1994, 56, 295–321. [Google Scholar] [CrossRef]
- Kirschner, D.; Panetta, J. Modeling immunotherapy of the tumor-immune interaction. J. Math. Biol. 1998, 37, 235–252. [Google Scholar] [CrossRef] [PubMed]
- Dritschel, H.; Waters, S.L.; Roller, A.; Byrne, H.M. A mathematical model of cytotoxic and helper T cell interactions in a tumour microenvironment. Lett. Biomath. 2018, 5, S36–S68. [Google Scholar] [CrossRef]
- Talkington, A.; Dantoin, C.; Durrett, R. Ordinary differential equation models for adoptive immunotherapy. Bull. Math. Biol. 2018, 80, 1059–1083. [Google Scholar] [CrossRef] [PubMed]
- Song, G.; Liang, G.; Tian, T.; Zhang, X. Mathematical modeling and analysis of tumor chemotherapy. Symmetry 2022, 14, 704. [Google Scholar] [CrossRef]
- Bekker, R.A.; Kim, S.; Pilon-Thomas, S.; Enderling, H. Mathematical modeling of radiotherapy and its impact on tumor interactions with the immune system. Neoplasia 2022, 28, 100796. [Google Scholar] [CrossRef] [PubMed]
- Butner, J.D.; Dogra, P.; Chung, C. Mathematical modeling of cancer immunotherapy for personalized clinical translation. Nat. Comput. Sci. 2022, 2, 785–796. [Google Scholar] [CrossRef] [PubMed]
- Tang, S.; Li, S.; Wang, X.; Xiao, Y.; Checke, R.A. Hormetic and synergistic effects of cancer treatments revealed by modelling combinations of radio-or chemotherapy with immunotherapy. BMC Cancer 2023, 23, 1040. [Google Scholar] [CrossRef] [PubMed]
- Zhang, Y.; Xie, L.; Dong, Y.; Ruan, S.; Takeuchi, Y. Bifurcation analysis in a tumor-immune system interaction model with dendritic cell therapy and immune response delay. SIAM J. Appl. Math. 2023, 83, 1892–1914. [Google Scholar] [CrossRef]
- Elmusrati, A.; Wang, J.; Wang, C.Y. Tumor microenvironment and immune evasion in head and neck squamous cell carcinoma. Int. J. Oral Sci. 2021, 13, 24. [Google Scholar] [CrossRef]
- Vinay, D.S.; Ryan, E.P.; Pawelec, G.; Talib, W.H.; Stagg, J.; Elkord, E.; Kwon, B.S. Immune evasion in cancer: Mechanistic basis and therapeutic strategies. Semin. Cancer Biol. 2015, 35, S185–S198. [Google Scholar] [CrossRef]
- Gonzalez, H.; Hagerling, C.; Werb, Z. Roles of the immune system in cancer: From tumor initiation to metastatic progression. Genes. Dev. 2018, 32, 1267–1284. [Google Scholar] [CrossRef] [PubMed]
- Serre, R.; Benzekry, S.; Padovani, L.; Meille, C.; André, N.; Ciccolini, J.; Barbolosi, D. Mathematical modeling of cancer immunotherapy and its synergy with radiotherapy. Cancer Res. 2016, 76, 4931–4940. [Google Scholar] [CrossRef] [PubMed]
- Yu, M.; Dong, Y.; Takeuchi, Y. Dual role of delay effects in a tumour-immune system. J. Biol. Dyn. 2017, 11, 334–347. [Google Scholar] [CrossRef] [PubMed]
- Perko, L. Differential Equations and Dynamical Systems, 3rd ed.; Springer: New York, NY, USA, 2013. [Google Scholar]
- Ruan, S.; Wolkowicz, G.S.K. Bifurcation analysis of a chemostat model with a distributed delay. J. Math. Anal. Appl. 1996, 204, 786–812. [Google Scholar] [CrossRef]
- Marsden, J.E.; McKracken, M. The Hopf Bifurcation and Its Applications, 1st ed.; Springer: New York, NY, USA, 1976. [Google Scholar]
- Wiggins, S. Introduction to Applied Nonlinear Dynamical Systems and Chaos, 2nd ed.; Springer: New York, NY, USA, 2003. [Google Scholar]
- Malinzi, J.; Basita, K.B.; Padidar, S.; Adeola, H.A. Prospect for application of mathematical models in combination cancer treatments. Int. J. Med. Inform. 2021, 23, 100534. [Google Scholar] [CrossRef]
- Ruan, S. Nonlinear dynamics in tumor-immune system interaction models with delays. Discrete Contin. Dyn. Syst. Ser. B 2021, 26, 541–602. [Google Scholar] [CrossRef]




| Parameter | Description | Reference |
|---|---|---|
| a | Proliferation rate of TCs | [20] |
| Carrying capacity of TCs | [20] | |
| n | Maximal inhibition rate of TCs by ECs | [20] |
| c | Half-velocity constant | [22] |
| Constant inflow of ACI | [11,22] | |
| Death rate of ECs | [11,22] | |
| p | Activation rate of ECs by HTCs | [11] |
| Birth rate of HTCs produced in the bone marrow | [11,22] | |
| Death rate of HTCs | [11,22] | |
| k | HTCs’ stimulation rate by identified tumor antigens | [11] |
Disclaimer/Publisher’s Note: The statements, opinions and data contained in all publications are solely those of the individual author(s) and contributor(s) and not of MDPI and/or the editor(s). MDPI and/or the editor(s) disclaim responsibility for any injury to people or property resulting from any ideas, methods, instructions or products referred to in the content. |
© 2024 by the authors. Licensee MDPI, Basel, Switzerland. This article is an open access article distributed under the terms and conditions of the Creative Commons Attribution (CC BY) license (https://creativecommons.org/licenses/by/4.0/).
Share and Cite
Liu, Y.; Ma, Y.; Yang, C.; Peng, Z.; Takeuchi, Y.; Banerjee, M.; Dong, Y. Modeling the Nonmonotonic Immune Response in a Tumor–Immune System Interaction. Symmetry 2024, 16, 676. https://doi.org/10.3390/sym16060676
Liu Y, Ma Y, Yang C, Peng Z, Takeuchi Y, Banerjee M, Dong Y. Modeling the Nonmonotonic Immune Response in a Tumor–Immune System Interaction. Symmetry. 2024; 16(6):676. https://doi.org/10.3390/sym16060676
Chicago/Turabian StyleLiu, Yu, Yuhang Ma, Cuihong Yang, Zhihang Peng, Yasuhiro Takeuchi, Malay Banerjee, and Yueping Dong. 2024. "Modeling the Nonmonotonic Immune Response in a Tumor–Immune System Interaction" Symmetry 16, no. 6: 676. https://doi.org/10.3390/sym16060676
APA StyleLiu, Y., Ma, Y., Yang, C., Peng, Z., Takeuchi, Y., Banerjee, M., & Dong, Y. (2024). Modeling the Nonmonotonic Immune Response in a Tumor–Immune System Interaction. Symmetry, 16(6), 676. https://doi.org/10.3390/sym16060676

