Abstract
This review considers the chiral phosphorus-containing drugs used to treat patients in the clinic, as well as the promising and experimental drugs that are in the process of being researched. Natural and synthetic representatives of phosphorus-containing drugs, such as tenofovir (hepatitis B and HIV treatment), fosfomycin (antibiotic), valinofos (antibiotic), phosphazinomycin A (antibiotic), (R)-phospholeucine, various antibacterial and antifungal agents, renin inhibitors, etc., have found practical applications as medicines and bioregulators and other medicines. The influence of the chirality of both carbon atoms and phosphorus atoms on the pharmacodynamics, pharmacokinetics, and toxicological properties of phosphorus drugs has been demonstrated. Therefore, the choice of enantiomers is critical since the wrong choice of a chiral drug can lead to undesirable consequences, carcinogenicity, and teratogenicity. New chiral technologies affecting drug development are discussed, such as the “chiral switch” of racemates already on the market, as well as phosphorus-containing prodrugs with a higher biological selectivity and low adverse effects.
1. Introduction
In recent years, the trend towards the use of chiral pharmaceuticals has steadily increased, although the requirements for this problem were published by the US Food and Drug Administration (FDA) back in 1992 in a document entitled “Development of new stereoisomeric drugs” [1].
These guidelines have changed the possibilities and strategies for marketing and patenting successful drugs. They force stereochemistry to be taken into account when searching for new drugs. The 1992 FDA guidelines require that absolute stereochemistry be known for compounds with chiral centers and that this information is established early in drug discovery and development for the analysis to be considered rigorous and valid for inclusion in a drug application [2]. Enantiomers require the use of “specialized chiral methods for their correct identification, characterization, separation and measurement” [2,3]. The means of identification and quantification may include optical rotation measurement, chiral chromatography, optical rotational dispersion, circular dichroism, and NMR with chiral shift reagents [3]. The FDA leaves it up to developers to decide whether to develop a drug as a racemate or a single enantiomer. However, the rationale for the decision to develop a drug as a racemate or a single enantiomer should be included in the application for the registration of the drug. In addition to the patent for the racemate, which does not guarantee patent protection for the enantiomers, the patentee must also apply for patent protection for each enantiomer [2]. Similar guidelines have been adopted by the European Medicines Agency (EMA) [4,5] and Health Canada [5].
The EMA guidelines also state that for manufacturing processes the starting materials, intermediates, and end products must be fully characterized in terms of their identity and purity because stereoisomer interconversions (chiral to achiral, achiral to chiral) can occur [5]. Under these conditions, chiral technologies were formed and developed, primarily in the form of chiral switching, which extends the patent protection of the drug when the patent for the racemate is out of patent; then, the patent for the eutomer can extend the patent for the drug [6].
The “chiral switching” attracted special attention. Based on the new guidelines in the 1990s, most pharmaceutical companies and research institutes began to focus on single enantiomers at an early stage when they identified a potential chiral drug [7]. As these authors demonstrated, within 10 years of the release of the 1992 FDA guidelines, there was a very definite shift towards single enantiomeric drugs. As a result, global sales of single-enantiomer drugs grew by 13% per year from 2000 [8].
Therefore, FDA regulation requires that only drugs with one enantiomer can be provided to patients in need of treatment, despite the considerable effort required to obtain enantiomerically pure drugs. In rare cases, both enantiomers have been shown to bind separately in the binding pocket, but never simultaneously [7,8,9,10,11,12,13,14,15,16,17,18].
A large number of experimental and review articles have been devoted to the pharmacological properties of organophosphorus compounds that have been used or proposed for a variety of applications, including chemical warfare agents (nerve agents) [15,19], insecticides [16], herbicides [16,17], industrial application products, and various pharmaceuticals [15,16,17]. Some of them mention the influence of chirality on the activity of drugs [14,15]. However, we did not find a single review article that discussed the effect of chirality on the pharmaceutical properties of organophosphorus drugs. This prompted us to prepare this review article and to bring it to the attention of readers. The presented review article is a continuation of our previous publications devoted to the effect of chirality on the biological properties of organophosphorus compounds [16,17,18].
2. Discussion
2.1. Chiral Natural Phosphorus Compounds
Phosphorus compounds are necessary for fixing information in RNA and DNA. They serve as the main source of biochemical energy in ATP and other phosphagens [15,16]. Phosphoramidate nucleotides are found in many antibiotics, such as the antibiotic HC 62, isolated from Bacillus sp. HC-62; antibiotics 1100-50; and EM 2487 (Human Immunodeficiency Virus Tat gene product inhibitors) [15,16] (Figure 1).
Figure 1.
Phosphoramide antibiotics.
Natural phosphonates are represented by various types of low molecular weight compounds [16]. For example, aminophosphonic acids [19,20] and hydroxyphosphonic acids [19] are widely known; many of them have been studied in detail and have found practical applications. These compounds are analogues of natural amino- and hydroxycarboxylic acids, in which the planar carboxyl group is replaced by a tetrahedral fragment of phosphonic acid. Some of them have found commercial applications in agriculture and medicine as insecticides, fungicides, herbicides, pharmaceutical intermediates, and others. For example, aminophosphonic acids and their peptide conjugates have antibacterial, antitumor, antiviral, and antifungal effects. Some natural phosphonates are shown in Figure 2 and Figure 3 [21,22,23,24,25]. These compounds have been isolated from a variety of prokaryotic and eukaryotic organisms, including fungi and organotrophs: Fusarium avenaceum, Fusarium oxysporum, Fusarium tricinctum, and Talaromyces flavus [26]. They are moderately active against some species of Gram-negative bacteria, and their synergistic effect with glucose-6-phosphate was observed against Staphylococcus aureus and Escherichia coli. Mifobate [27], fosinopril (Monopril®) [28,29,30], Ridaforolimus* [31] are low molecular weight rapamycin inhibitors (immunosuppressant) (Figure 3).
Figure 2.
Phosphorus antibiotics of natural origin.
Figure 3.
Biologically active phosphonates of natural origin.
Fosfomycin sodium as an antibiotic is mainly used to treat bladder infections [32]. This drug is also used in combination with amikacin sulfate to further inhibit the ribosomal subunit of the 30S protein [33,34,35]. Drugs in this category, which includes antiviral drugs such as fosarylate and the cardiovascular drugs fostedil and mifobate, continue to be tested in clinical trials [36]. Unlike most of the angiotensin-converting enzyme (ACE) inhibitors that are a part of cardiovascular drugs, fosinopril [37], with a phosphinate structure, is better suited for the treatment of hypertension and chronic heart failure due to excretion from the body by both renal and hepatic routes. [38]; fosinoprilat is obtained by the de-esterification of fosinopril, which competitively binds to ACE in vivo [30].
Fosmidomycin and its homologues are potent inhibitors of 1-deoxy-D-xylulose-5-phosphate reductoisomerase, an important enzyme in the non-mevalonate isoprenoid biosynthesis pathway that is active against a wide range of enterobacteria. Phosphinothricin is an active inhibitor of glutamine synthetase [39,40,41]. Other glutamine synthetase inhibitors have been reported to be promising for the treatment of tuberculosis and neurological diseases [41]. Bioenzymatic methods have been used to synthesize D- and L-enantiomers of phosphinothricin (2-amino-4-hydroxymethylphosphinylbutanoic acid) and its derivatives.
Based on in vitro studies, it was proposed to use phosphomidosines as potential antitumor agents. A fosmidosine analogue with a nacilsulfamate bond and strong antitumor activity against cancer cells was synthesized by sulfamoylation of an 8-oxoadenosine derivative [42]. Sekin et al. reported on the synthesis of stable biotin-fosmidosin, which is necessary for the isolation of the biomolecules that bind to fosmidosin [43,44].
S-alkylthiohydroxymate and N-acetyl-Cys moieties of phosphonocystoximate are chemically similar to glucosinolate biosynthetic intermediates, which are natural plant products with potential antioxidant and anticancer properties (Figure 4) [45].
Figure 4.
Phosphoramide nucleotide antibiotics.
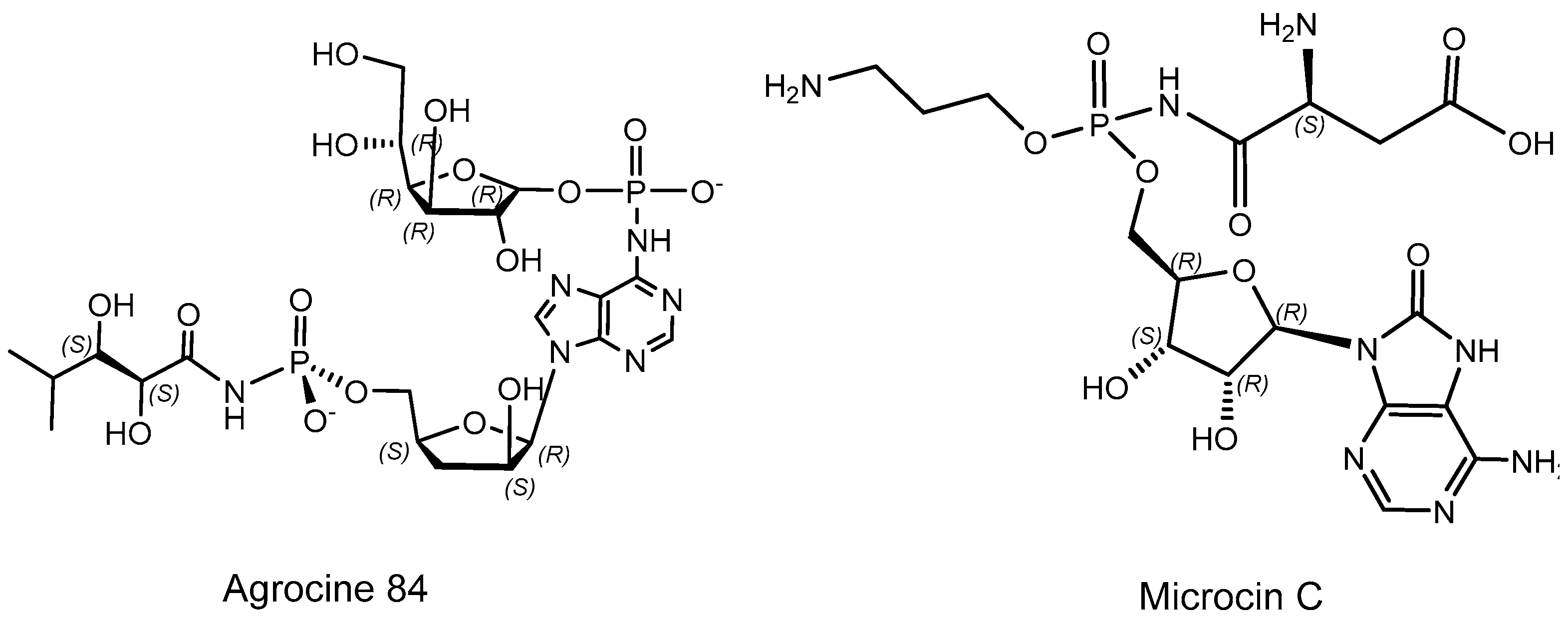
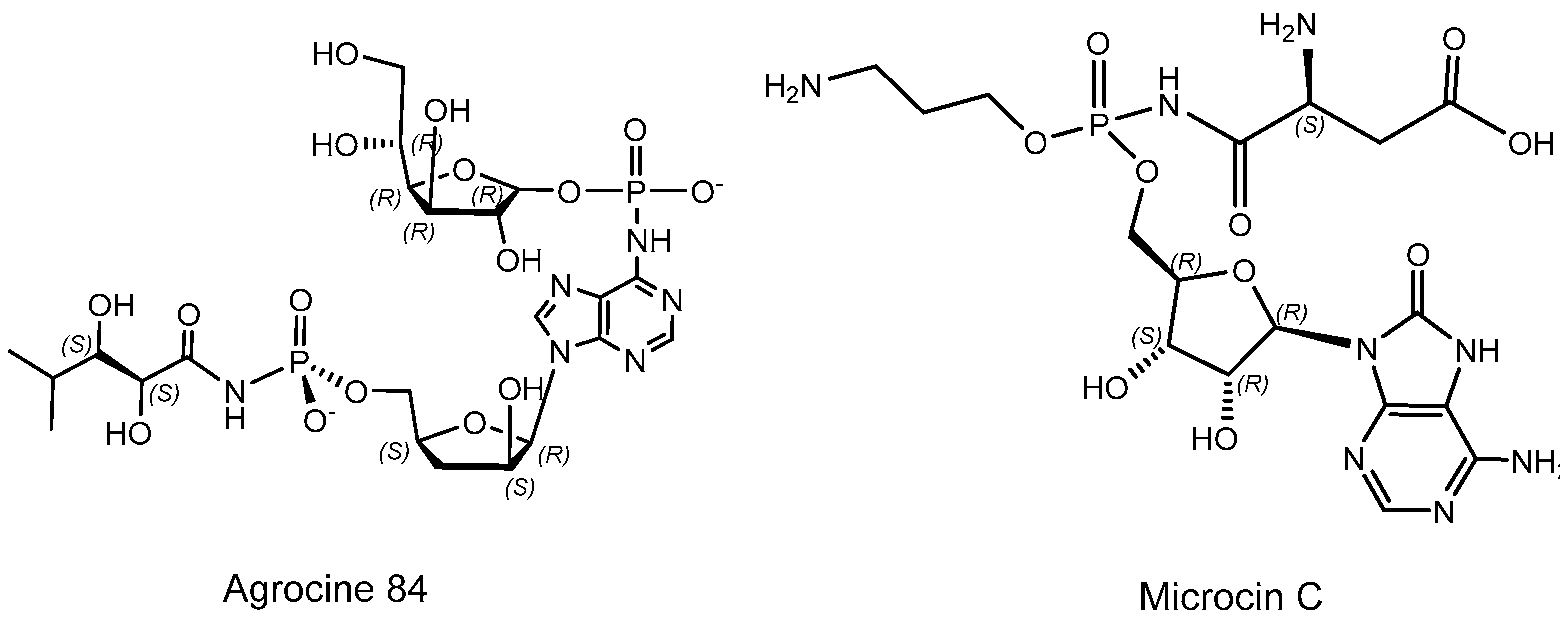
The selective antibiotic Agrocin 84, which is a member of the adenine nucleotide family, has attracted close attention [46]. Agrocin 84, which is a 6-N-phosphoramide, was isolated from Agrobacterium radiobacter K84 found in Australia [45,46,47,48,49]. Agrocin 84 is selectively active against several strains of phytopathogenic agrobacteria, such as Agrobacterium tumefaciens and Agrobacterium rhizogenes. The toxic effect is achieved by inhibiting the tRNA synthetase of the pathogen. The structure of Agrocin 84 was confirmed by independent synthesis l. Microcin C (McC) is a member of the microcin family containing a heptapeptide covalently linked to 3-aminopropyl-AMP via an acylphosphoramide bond. The intracellular action of Microcin C proceeds according to the “Trojan horse” mechanism, which is currently being actively discussed in the chemical literature. The “Trojan horse” mechanism promotes the transport of inhibitory metabolites into the cell [50,51]. Microcin C consists of a peptide with formylmethionine on the lateral nitrogen and a C-terminal asparagine linked to nebularin-50-monophosphate via a trimethylene chain. The antibiotic is active against Gram-negative bacteria of various taxonomic groups, as well as some Gram-positive bacteria (Figure 5).
Figure 5.
Natural “Troyan Horse” antibiotics.
Some bacterial species produce phosphoramide antibiotics containing peptides. The peptide part of this phosphoramide facilitates the transport of the antibiotic to the target cell [52].
2.2. Synthetic Chiral Phosphorus Drugs
Synthetic compounds of this class have found practical applications as medicines, bioregulators, and other pharmaceutical preparations, such as tenofovir (hepatitis B and HIV treatment), fosfomycin (antibiotic), valinofos (antibiotic), phosphazinomycin A (antibiotic), (R)-phospholeucine, various antibacterial and antifungal agents, renin inhibitors, etc. [53].
Chiral molecules exhibit selective activity; so, these molecules often differ in their pharmaceutical properties and mechanisms of action. Individual enantiomers show marked differences in pharmacodynamic, pharmacokinetic, and toxicological properties. Tenofovir is used as a drug to treat HIV and hepatitis B. Phosphonoformate (foscarnet) is used to treat malaria. FR-33289 is a hydroxylated version of FR-900098 that retains its biological activity [51]; SF2312 uses the natural phosphonate inhibitor of enolase (Figure 6).
Figure 6.
Biologically active phosphonates.
The chiral phosphinoferrocenyl fragments in the lower rim were synthesized by V. Kalchenko et al. [54,55] by the Mitsunobu reaction of tert-butyltetrahydroxycalixarene with the (S)-enantiomer of thiophosphino(methylol)ferrocene in high yield. Convenient methods have been developed for the synthesis of chiral calix [4]arenes asymmetrically substituted with achiral diphenylphosphino groups along the upper rim, as well as by phosphate fragments along the lower rim. Chiral phosphorus-containing calix [4]arenes are a promising molecular platform for creating stereochemically pure bioactive compounds. Calix [4]arene and thiacalix [4]arene derivatives have proven to be effective inhibitors of NPP1 with micromolar IC50 values. Thiacalix [4]arenephosphinic acid is not a low micromolar inhibitor of PTP1B. Kinetic experiments have shown that inhibitors compete with the substrate for the active site of the enzyme [53,54,55] (Figure 7).
Figure 7.
Typical examples of chiral phosphonocalixarenes.
Bisphosphonates are extremely important phosphorus-containing drugs, whose main use is certainly in the treatment and prevention of osteoclast-mediated bone diseases [56], such as osteoporosis, Paget’s disease, hypercalcemia, bone metastases, etc. [57,58]. Bisphosphonates are metabolically stable analogs of pyrophosphate, in which the bridging oxygen atom has been replaced by a substituted methylene group. Further modifications of the R1 and R2 groups associated with the Cα position have resulted in a variety of bisphosphonates with diverse structures. Bisphosphonates containing asymmetric chirogenic centers have been obtained. Studies of the influence of chirality on the biological properties of bisphosphonates have been carried out. A number of bisphosphonates have been derived from naturally occurring terpenes and sesquiterpenes. For example, starting from (+)-(R)-citronellal, a chiral bisphosphonate was obtained [59,60,61]. The same method was used to synthesize the bisphosphonates shown in Figure 8; these are derivatives of terpenes containing an asymmetric center in the side chain [60] (Figure 9).
Figure 8.
Synthesis of bisphosphonates, chiral in the side chain.
Figure 9.
Examples of chiral bisphosphonates.
N-Moc- and N-Boc-proline chlorides react with triethylphosphite on cooling to form (S)-ketophosphonate. In the presence of pyridinium perchlorate, the ketophosphonate reacted with trialkyl phosphite in methylene chloride at room temperature or when cooled to 0 °C to form hydroxy-1,1-bis-phosphonate. In the 1H, 13C, 31P NMR spectra of compounds, the signals of some groups, including those of both ketophosphonate and bisphosphonate, are doubled due to the presence of rotamers, which are typical for pyrrolidine derivatives and confirm the structure of the compounds (Figure 10) [60]. According to a similar reacting scheme, the Garner’s aldehyde was reacted with triethyl phosphite in the presence of pyridinium perchlorate. As a result, chiral bisphosphonates were obtained in the form of two diastereomers in a ratio of 3:1 (Figure 11) [60].
Figure 10.
Synthesis of bisphosphonates, chiral in the side chain.
Figure 11.
Bisphosphonates—a derivative of amino acids.
Squalene synthase catalyzes the conversion of (E,E)-farnesyl diphosphate to squalene via the formation of cyclopropylcarbinyl intermediate—presqualene diphosphate (PSPP). The key intermediates of aziridine-2-methanol (6-OH, 7-OH, and 8-OH) were prepared by N-alkylation and N-acylation reduction of (2R,3S)- or (2S,3R)-2,3-aziridinofarnesol (9-OH) protected by tert-butyldimethylsilyl ethers. Nucleophilic SN2 substitution of the corresponding methanesulfonates with pyrophosphate and methanediphosphonate anions gave aziridine-2- methyldiphosphates and methanediphosphonates containing N-undecyl, N-bis-homogeranyl, and N-(R)-methylene)bis-homogeranyl substituents, which were studied as mimics of 2,6,10-trimethylundeca-2,5,9-trienyl side chain PSPP. The aziridine diphosphate of (2R,3S)-PSPP absolute configuration was a stronger inhibitor (IC50 1.17) (0.08 μM in the presence of inorganic pyrophosphate) than the (2S,3R) stereoisomer that was four times higher [62] (Figure 12).
Figure 12.
Aziridine analogues of presqualene diphosphates.
Aziridine 6–OPP proved to be one of the most active inhibitors of squalene synthase. The IC50 value of 1.2 µM for the (2R,3S)-enantiomer and the submicromolar Ki previously determined for the racemate indicates a fairly strong interaction with the enzyme, despite the absence of a proximal double bond and a methyl group in the side chain on the aziridine nitrogen. The increased inhibition by the (2R,3S) enantiomer corresponding to the PSPP configuration when compared to the “wrong” (2S,3R) stereoisomer, both in the absence and in the presence of the PPi additive (by 16 and 4 times, respectively), indicates a significant influence of stereochemistry. The increased affinity of these aza analog inhibitors for the enzyme when compared to the FPP substrate (S0.5 FPP = 19 (6 μM) and PSPP intermediate (Ki PSPP = 75 (20 μM)) suggests that these compounds may be mimics of carbocationic transition intermediates. Although the synergistic effect of PPi addition on the inhibitory properties of enantiomerically pure aziridine diphosphates was more pronounced for the “wrong” enantiomer (2S,3R)-6-OPP (about four times compared to almost no change), the (2R,3S) enantiomer remained four times more active under these conditions. Among the methanediphosphonate derivatives, aziridine 6-OMDP and 7-OMDP inhibited squalene synthase in the presence of PPi addition, with IC50 values of 13.8 and 17.4 µM, respectively. A strong interaction of the PP group of inhibitors with any of them effectively prevents squalene synthesis (Figure 13) [63,64].
Figure 13.
Biochemical formation of vinylcyclopropylcarbinyl diphosphate.
Derivatives of α-phosphonosulfonate contain an asymmetric center. The tetrahedral geometry and interatomic distances of alkyl sulfonic acid and alkyl phosphonic acids are relatively close to each other, which is proved by X-ray diffraction analysis [63]. It was found that the absolute carbon configuration of these compounds affected the inhibitory activity of phosphonates. The (S)-alkylphosphonosulfonate enantiomer is 16 times more effective against Homo sapiens SQS (Hs-SQS) than its (R)-stereomer. These compounds behave as analogues of the precursors of squalene diphosphate, which is the product of the first step of the reductive binding of two molecules of farnesyl diphosphate, which ultimately leads to the formation of squalene (Figure 14) [65,66,67].
Figure 14.
(S) and (R)–enantiomers of α-phosphonosulfonate effective against Homo sapiens SQS.
Squalene synthase is able to distinguish between phosphonate and sulfonate moieties at different binding sites. The dibasic phosphonate group and the monobasic sulfonate group have significant structural similarities. Both have second-row tetrahedral functions with C3V mapping of negatively charged oxygen atoms. The data on bond angles and bond lengths of the compounds obtained on the basis of X-ray diffraction analysis confirm the close isosteric relationship between the phosphonate and sulfonate groups [63,64,65]. Protein tyrosine phosphatases (STEPs) control a wide range of cellular activities, including proliferation, differentiation, metabolism, and immune response [68]. STEP has been chosen for neuropsychiatric disorders, including Alzheimer’s disease, schizophrenia, and fragile X syndrome [68]. Based on the previously described phosphorus-containing inhibitors that exhibit moderate activity against the target STEP enzyme, an effective inhibitor has been developed. This levorotatory enantiomer was about 40 times more active than the corresponding dextrorotatory isomer; X-ray diffraction analysis of the STEP-associated inhibitors was performed, and they were found to occupy mismatched binding sites. The information obtained was used to optimize the structure of the inhibitor to achieve a Ki of 110 nM with a 15–60-fold selectivity in the phosphatase series. As a result, a phosphonate (-)-3 with a Ki of 110 nM was identified (Figure 15) [68,69,70,71].
Figure 15.
Structures of phosphorus-containing compounds 1–3 targeting protein tyrosine phosphatase.
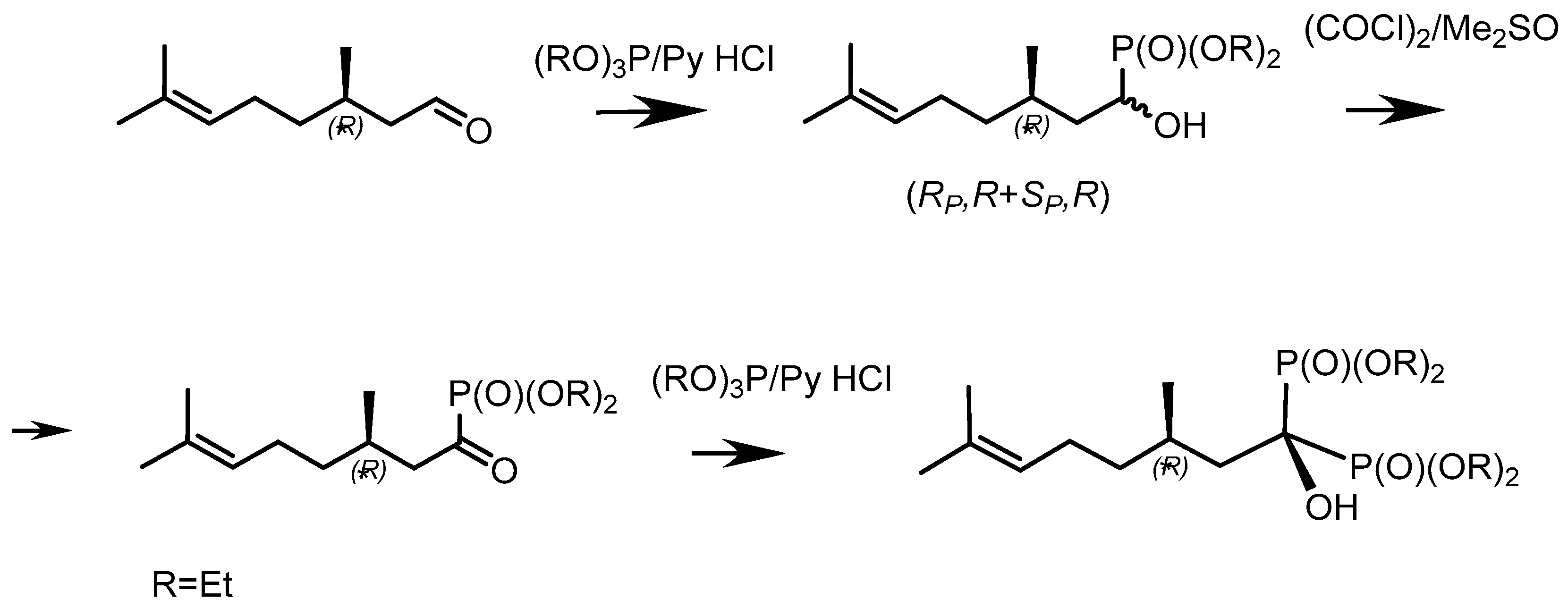
This inhibitor has shown interesting selectivity over other tyrosine and dual inhibitors. Fosfomycin (monurol or monural), produced by Pseudomonas and Streptomyces, is an important therapeutic agent in the treatment of inflammation of the urinary tract and diabetic foot. It is a covalent inactivator of muramyl ligase A, the first enzyme in peptidoglycan synthesis. Bisphosphonate synthons have been developed using (R)-(+)-α-ethylbenzylamine or methyl (R)-excipients (-)-phenylglycine and provided with an o-nitrobenzyl ether protecting group to allow photochemical deprotection. Selective acid hydrolysis of the amide provides a phosphonate for binding to activated dCMP, followed by deprotection to form the desired individual β,γ-CHX-dCTP (X=F, Cl, Br) diastereomers. The nucleotide configuration of the product 4 was determined using X-ray crystallography (Figure 16) [61].
Figure 16.
Synthesis of chiral bisphosphonate synthon 4.
Aminophosphonate antibiotics with an amino group in the gamma position with respect to the phosphonic functional group, namely fosmidomycin and its derivatives FR900098 and FR-33289, were isolated from biological sources of Streptomyces, as well as cyclic phosphonate SF2312, isolated from Micromonospora sp. [65,66,67]. The natural secondary metabolite SF2312, produced by the actinomycete Micromonospora, exhibits broad-spectrum antibacterial properties against Gram-positive and Gram-negative bacteria. Studies have shown that SF2312 acts as a potent inhibitor of human enolase (Figure 17). Alafosfalin, also known as alaphosphin, is a phosphonodipeptide with antibacterial and antifungal properties (Figure 18).
Figure 17.
Aminophosphonate antibiotics: fosmidomycin and its derivatives, FR900098 and FR-33289.
Figure 18.
Phosphonopeptide antibiotics.
With the use of genetic engineering methods, it was possible to create new peptidomimetics, such as dihydroxypropylphosphonate, phosphonocystoximate argolaphos A and B, etc. Argolaphos has a wide spectrum of antibacterial activity against a number of very harmful infectious diseases. Of particular interest is phosphonocystoximate, which is a sulfur-containing phosphonate natural product.
Phosphonopeptides are of limited use in human medicine since they are easily hydrolyzed in the body and release aminophosphonic acids that are unable to overcome bacterial or fungal cell barriers and have an antibiotic effect. In addition, they are easily excreted from the body. Examples of interesting phosphonobiotics are phosphazinomycins A and B, isolated from Streptomyces lavendofoliae and Streptomyces unzenensis [16]. They are very specific because they contain a hydrazide bond between peptidylarginine carboxylic acid and phosphonic acid. Bialaphos attracts the greatest theoretical and practical interest. The antibacterial activity of bialaphos is typical for many phosphonopeptides. The peptide parts of these antibiotics promote the transport of phosphonic acids through the membranes of bacteria (or fungi), which, after hydrolysis, exhibit their toxic effect, inhibiting the vital activity enzymes of harmful organisms in the case of glutamine synthetase. With the antibacterial and antifungal properties of phosphazinomycins and valinophos, K-26 and its analogs are a family of bacterial secondary metabolites with tripeptides ending in an unusual tyrosine phosphonate analog. Antibiotics, rhizocticins, plumbemycins, and fosacetamycin, which were first isolated as secondary metabolites of Bacillus subtilis based on their antifungal activity, have similar properties [72,73]. Bialaphos was isolated as an antibiotic from culture filtrates of Streptomyces viridochromogenes and Streptomyces hygroscopicus [72,73,74,75]. It was found that the antibacterial activity of Bialaphos is a consequence of the development of the bacterial transport of the peptide through the membrane, followed by hydrolysis of the peptide and the release of the terminal phosphonate, phosphinothricin, which inhibits glutamine synthetase. This enzyme converts glutamic acid and ammonia into glutamine, which is an important step in the nitrogen contamination of flora and fauna. The antibacterial activity of bialaphos is characteristic of other phosphonopeptides. The peptide portions of these antibiotics usually function as a targeting unit. Thus, peptides are efficiently transported through bacterial membranes and, after hydrolysis, they release phosphonic acid, which exhibits its toxic effect by inhibiting bacterial vital activity enzymes in the case of glutamine synthetase (Figure 19).
Figure 19.
Examples of phosphonopeptides.
Thus, after release from the peptide, aminophosphonate acts as a powerful inhibitor of this enzyme [16].
2.3. Phosphorus Prodrugs
A prodrug is a pharmacologically inactive compound that, after ingestion, is converted in the body into the active drug. Therefore, instead of directly taking the drug, a prodrug can be used to improve its acceptance by the patient’s body. According to the IUPAC definition, a prodrug is a chemical compound that undergoes biotransformation before exhibiting pharmacological effects. The simplest prodrug is aspirin, first developed by Felix Hoffmann at Bayer in 1897, which is a synthetic prodrug of salicylic acid. Today, approximately 10% of all drugs sold in the world can be considered prodrugs. Since 2008, the FDA has approved more than 30 prodrugs, of which phosphorus-containing prodrugs are gaining in importance. Among the most interesting prodrugs are Sovaldi (Sofosbuvir, an antiviral drug for the treatment of hepatitis C) and Tedizolid phosphate, which is used to treat Gram-positive bacterial infections, as well as a number of other prodrugs, which are described in detail in this section (Figure 20) [76,77,78].
Figure 20.
Some phosphorus prodrugs recently approved by the FDA.
The use of a prodrug strategy allows the problematic molecule to overcome biological obstacles such as poor bioavailability, low absorption, instability, low specificity, formulation difficulties, and other side effects. Prodrugs are increasingly being used as drug substitutes, which have encountered hurdles in the development process. In the last decade, about 20% of the new chemical compounds approved by the FDA were prodrugs [77].Among such examples, chiral representatives of phosphates and phosphonates are encountered more and more frequently [78,79]. The representatives of phosphorus acids have a unique feature of interactions with a biological target and are characterized by a high negative charge [80,81,82,83,84,85,86,87]. Therefore, due to the charge of phosphonates at physiological pH values, diffusion through biological membranes remains difficult, but it can be corrected with protective groups [88]. Phosphonate prodrugs can be classified according to the substituents they contain, most commonly esters and amides, and the substitution pattern they carry. Phosphonate prodrugs may be mono- or disubstituted and symmetric or asymmetric. With asymmetric disubstitution, a new chiral center to the phosphorus atom is introduced into the molecule, which leads to a more selective action of the drug. To determine the optimal substitution figure, the reason for using the prodrug must be considered, as well as the mechanism for cleavage of the protecting groups. A.J. Wiemer and D.J. Wiemer in their review article [81] show how phosphonate and phosphate prodrugs can cross the membrane. Because natural substrates carry one or more negative charges, drugs that target these enzymes typically must also be charged by means other than the endocytosis barrier. Prodrugs are usually charged molecules, which facilitate their passage through biological membranes and overcome biological barriers (Figure 21). Many prodrugs have antiviral activity not only in vitro but also in vivo. For example, among the recently discovered prodrugs were drugs that were found to be active against Herpes HSV-1, Herpes HSV-2, HIV-1, and HIV-2. It was found that CEM/TK-cells represent a promising alternative with which to improve the biological activity of nucleoside analogs in antiviral and cancer chemotherapy [88]. Tenofovir disoproxil is a prodrug of bis(isopropyloxymethyl)carbonate. Tenofovir is used to treat HIV-1 and HBV infection. Tenofovir provides the necessary pharmacokinetic effects and bioavailability. Other combinations of tenofovir alafenamide 8 have been suggested for the treatment of HIV-1 infection (an HIV-1 nucleoside analogue reverse transcriptase inhibitor). The prodrug targets T cells for HIV-1 but is also broken down in the liver and thus also used for HBV infection.
Figure 21.
Structural formulas of the acyclic nucleoside phosphonate analogues PMPA and HPMPC.
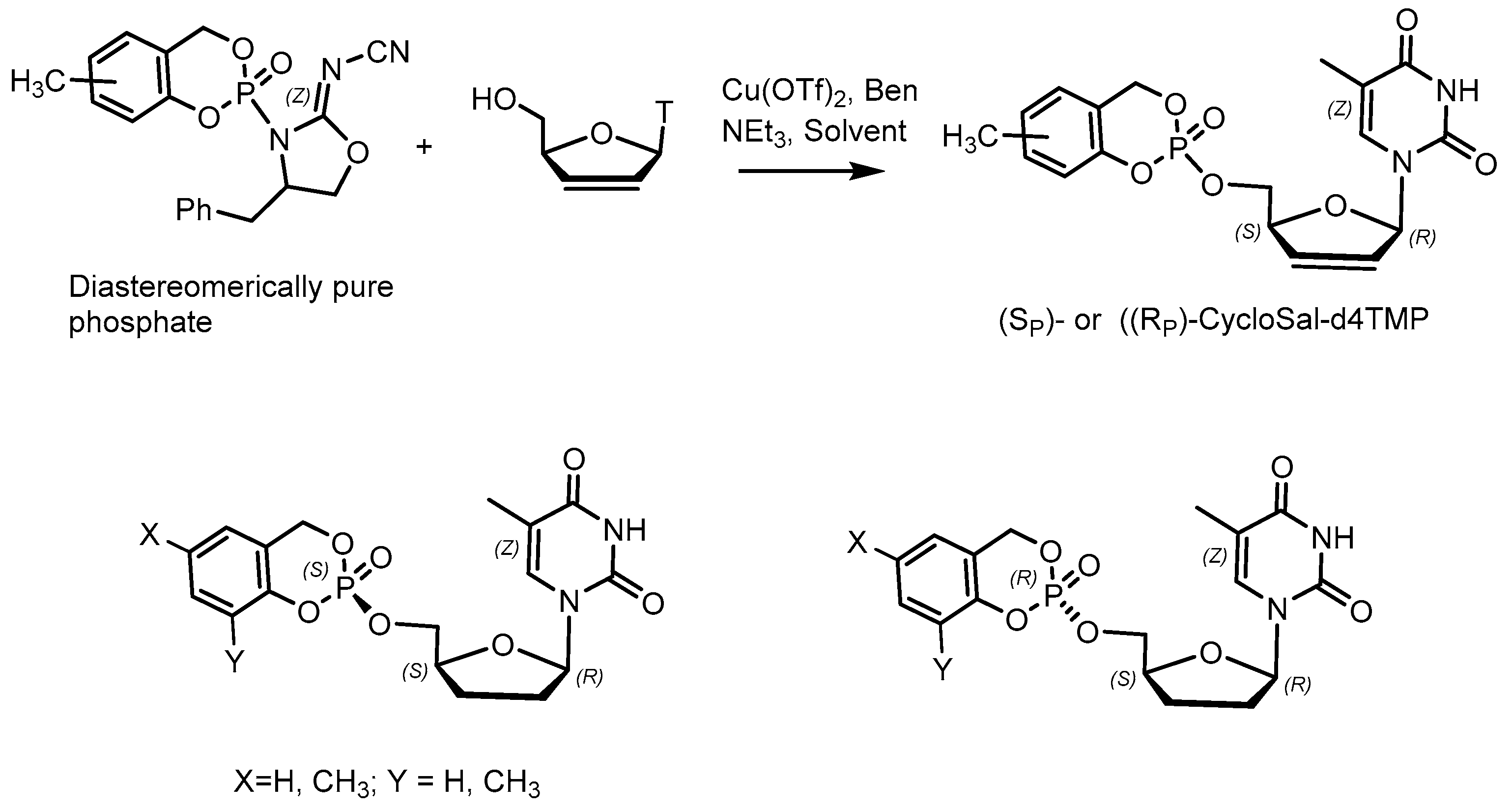
Esters of phosphonates containing various substituents at phosphorus contain a chirogenic center on phosphorus and can be resolved into stereomers. One of the strategies for obtaining asymmetric esters proposed by C. Meier is to obtain salicylic derivatives of phosphonates [89,90]. This strategy was first used to improve the cell entry of phosphate acyl nucleosides but was later used to protect the PMEA that will be split. Despite the presence of less toxic by-products, cycloSal PMEA prodrugs showed lower activity than bis(POM)-PMEA but two times higher activity than phosphonic acid PMEA. In cases where the phosphorus atom was the center of chirality, the cycloSal-PMEA enantiomers were tested for biological activity. As a result, it was shown that phosphorus enantiomers with cycloSal fragments differed in biological activity by a factor of 3–80 [90]. A variant of the cycloSal prodrug concept is known; it uses DNA bases rather than salicylic alcohol [91]. The activity of some alkoxyalkyl esters of acyclic nucleoside phosphonates against bovine virus Phosphotriesters showed high activity against HIV-1 and HIV-2 in wild-type human T-lymphocytes (CEM/O), as well as thymidine kinase-deficient mutant cells (CEM/TK-). A 3–80-fold difference in antiviral activity was found between the two diastereoisomers. It has been proven that cycloSal-d4TMP exclusively delivers the d4TMP nucleotide not only under simulated hydrolysis conditions but also under cellular conditions. Acyclic nucleotide (S)-1-[3-hydroxy-2-(phosphonylmethoxy) propyl]cytosine (HPMPC) has been found to have potent activity against herpes simplex viruses (HSV-1 and HSV-2), the vaccinia virus and human cytomegalovirus (CMV). Its mechanism of action has been attributed to diphosphate, produced by cellular enzymes, which is a selective inhibitor of viral DNA polymerase. (S)- HPMPC (Cidofovir) showed higher efficacy in vivo compared to the drugs acyclovir and ganciclovir [91,92,93,94]. In the preparation of (S)-(9-(3-Hydroxy-2-phosphonyl-methoxypropyl) derivatives, the base-catalyzed nucleophilic opening of the oxirane ring in (S)-2-(trityloxymethyl)oxirane or (S)-glycidol is used. The 3-O-substituted (S)-2,3-dihydroxypropyl derivatives thus obtained were then treated with diisopropyltosyloxymethane phosphonate and finally deprotected. The preparation of diisopropyltosyloxymethanephosphonate consists of treating diisopropyl phosphite with paraformaldehyde and triethylamine followed by tosylation (Figure 22).
Figure 22.
Synthesis of (S)-[3-hydroxy-2-(phosphonomethoxy)propyl] derivatives 9.
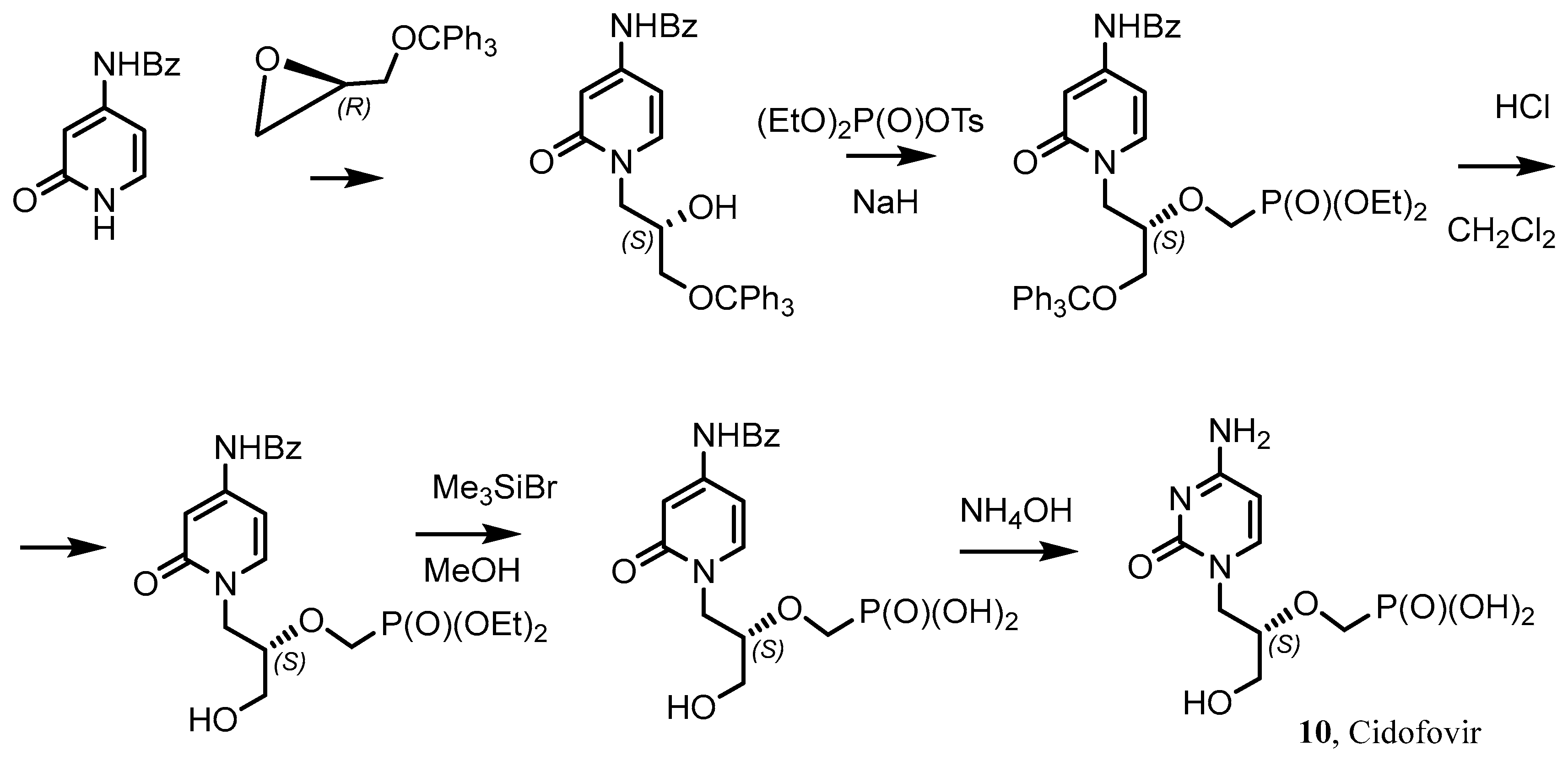
Cidofovir 10 is used to treat severe cases of papillomatosis, progressive multifocal leukoencephalopathy, adenovirus infections, and others [95,96,97,98,99,100,101,102]. This involves the synthesis of (S)-l-[3-hydroxy-2-(phosphonylmethoxy)propyl]cytosine by alkylation of cytosine with chiral synthons such as tosylate (or mesylate) diethyl (S)-(3-benzyloxy-1-hydroxy-2-propoxy)methylphosphonate or (S)-2,3-O-isopropylidene-1-O-mesylglycerol. (R)-Glycidol was treated with cytosine in the presence of a catalytic amount of potassium carbonate in DMF at 72 °C for 5 h to obtain a regiospecific epoxide opening in a satisfactory yield [87]. Optical purity analyses of the product by derivatization with Mosher’s chiral ester in combination with 1H and 19F NMR as well as chiral HPLC confirmed that the high optical purity of the final nucleotide was the same as that of (R)-glycidol. Cidofovir can be synthesized from a pyrimidone derivative and a protected glycidol derivative [87]. (R)-Glycidol was treated with cytosine in the presence of a catalytic amount of potassium carbonate in DMF at 72° to achieve a regiospecific opening of the epoxide. The crude reaction product was then converted to (S)-tritylnucleoside in a 40% yield. Tritylation of (R)-glycidol with trityl chloride followed by crystallization of the product gave the optically pure (S)-trityl ester in a 77% yield (Figure 23) [92].
Figure 23.
Synthesis of cidofovir 10.
Another method used unsymmetrical diesters containing a stereogenic center in a diol esterified with phosphorus. Erion and coworkers pioneered this type of cyclic phosphonate prodrug [103,104]. Compared to the bis-POM prodrug adefovir, the HepDirect approach was found to induce higher liver and lower renal and intestinal accumulation in experimental animals after oral delivery—compounds 11–15 (Figure 24). Adefovir is used to treat diseases caused by the hepatitis B virus. The prodrug form of adefovir is known under the commercial names Preveon and Hepsera. Adefovir is a nucleotide reverse transcriptase inhibitor (ntRTI) analogue and is produced as a prodrug of adefovir dipivoxil (Figure 25) [103,104,105,106,107].
Figure 24.
The HepDirect strategy for phosph(on)ate prodrugs.
Figure 25.
Examples of adefovir analogs.
Adefovir is used to treat hepatitis B and herpes simplex virus [84]. The use of methoxymethylphosphonic acid together with L-alanine ethyl ester to produce chiral phosphonamidate prodrugs has proven to be very useful for both oral delivery and the phenolic formulation propofol or HSK3486 (Figure 25) [108,109,110].
Several phosphorus asymmetric cycloSal prodrugs have been resolved into stereomers and studied for biological activity. As a result, an 11-fold difference in the biological activity of prodrug stereoisomers was observed [95]. It has recently been shown that excipients derived from valine can be used to control the formation of the phosphorus stereocenter [98,99,100]. The diastereomers of methyl-substituted d4TMP cycloSal pronucleotides were tested against HIV-1 and HIV-2 infected with CEM/0 and a wild type [101,102]. All the diastereomers tested showed significant antiviral activity in CEM/0 and high activity in CEM/TK-cell cultures. The antiviral activity depended on the chirality of the phosphate group and the position of the methyl group in the cycloSal residue. It was found that in cultures of CEM/TK-cells, the difference in antiviral activity was from 7 to 20 times. Diastereomers of unsymmetrical phosphate prodrugs were derived from optically active diols, esterified with phosphorus. A number of compounds of this kind were obtained and were resolved into stereoisomers using column chromatography and HPLC with chiral columns, which showed a difference in biological activity, especially in the case of the (2R,4S)-stereoisomers (Figure 26).
Figure 26.
Diastereomers of unsymmetrical phosphate prodrugs.
Cidofovir has been found to have broad spectrum antiviral activity against herpesviruses, papillomaviruses, and poxviruses, while adefovir has potent activity against retroviruses and some DNA viruses, including herpesviruses and hepadnaviruses. Cidofovir and adefovir are dianions at physiological pH and have a low oral bioavailability in animals and humans. The clearance of cidofovir in patients with renal insufficiency is linearly related to creatinine clearance. Cidofovir (((S)-1-(3-hydroxy-2-phosphonomethoxypropyl) cytosine, (S)-HPMPC is a potent inhibitor of various double-stranded DNA viruses and has been approved by the US FDA for the treatment of cytomegalovirus in AIDS patients [84,85,86,87,88,89,90,91]. These compounds show a considerable increase in potency and bioavailability compared to the parent phosphonates against a range of viral infections [93,94,95,96,97] (Figure 27).
Figure 27.
Examples of HepDirect objects.
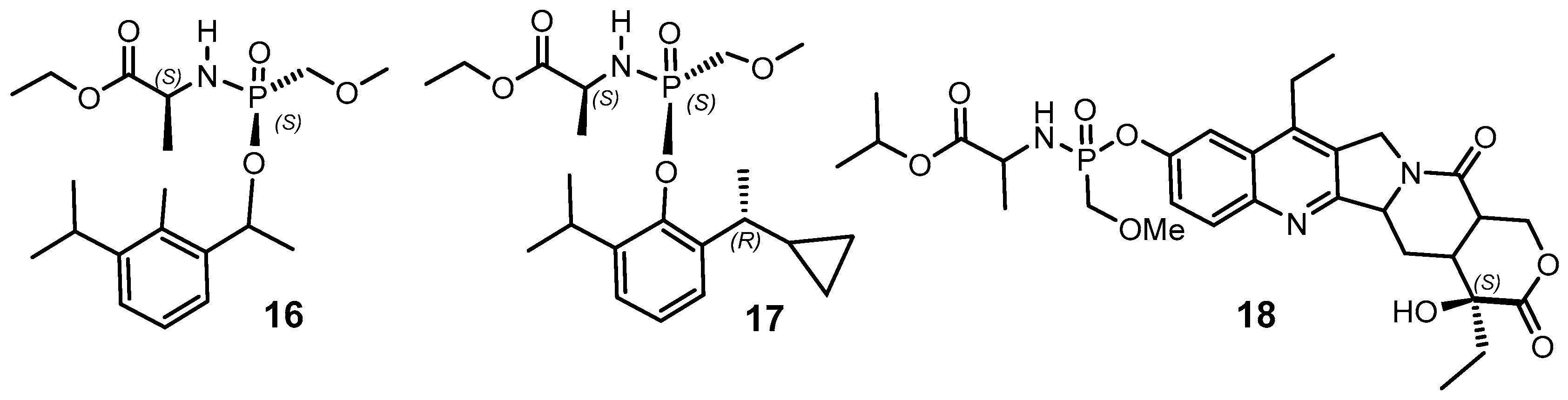
Brincidofovir (CMX001) is a prodrug of cidofovir. This antiviral drug was developed by the pharmaceutical company Chimerix of Durham for the treatment of adenovirus, cytomegalovirus, ebolavirus, and poxvirus. The lipid-conjugated compound is designed to release Cidofovir intracellularly, resulting in higher intracellular and lower plasma concentrations of Cidofovir, effectively increasing the activity against viruses with double-stranded DNA, as well as the oral bioavailability. Brincidofovir was approved for medical use in the United States in June 2021. Another approach to the development of asymmetric prodrugs based on phosphonate esters is the HepDirect strategy [103,104,105,106,107]. By protecting the phosphonate with a chiral diol, the phosphorus atom is the center of chirality. However, unlike the cycloSal prodrugs, which require water cleavage, and the aforementioned diesters, which can be cleaved prior to cell entry, HepDirect prodrugs are designed to be activated in hepatocytes. Methoxymethylphosphonic acid phosphonamidate (MMPA) with propofol and L-alanine ethyl ester has proven to be an effective target for oral prodrug delivery. Prodrugs 16 and 17 were purified by supercritical fluid chromatography. The absolute configuration of 18a was determined by chemical correlation using X-ray diffraction analysis of intermediates as (S, SP)-16,17 [111]. The anesthetic effects of each pair of the enantiomerically pure compounds 16 and 17 were studied. Compounds (S,SP)-16 and (S,RP)-16 contributed to an increase in the duration of anesthesia and created a significant difference in the onset of anesthetic action and LORR. These results showed that the chirality of phosphorus strongly influences the pharmacological behavior of anesthetics. At the same time, compounds (S, SP)-17 and (S, RP)-17 showed little difference in the onset of anesthetic action (Figure 28).
Figure 28.
Examples of lipid conjugate prodrugs.
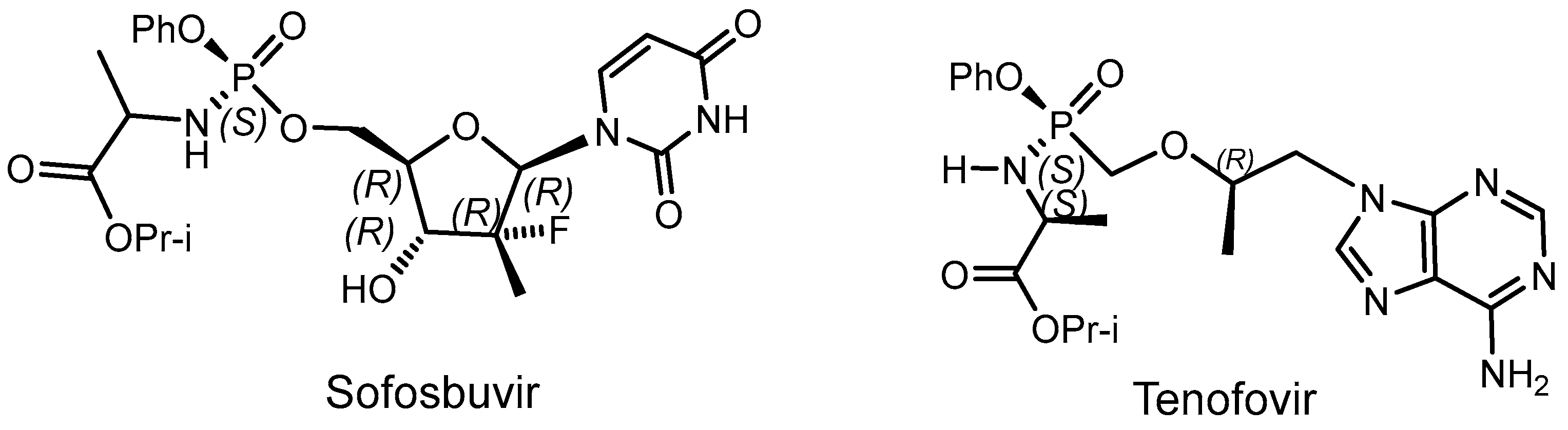
The aryl group attached to the oxygen atom, as well as the stereochemistry of the methyl group attached to the carbon atom adjacent to the amino group, and the bulky alkyl group as part of the ester functionality are critical to effective biological action. The great usefulness of the ProTideTM prodrug approach from inception to clinical use, where sofosbuvir [108] is potent, has recently been reviewed. Sofosbuvir, sold specifically under the brand name Sovaldi, is a medicine used to treat hepatitis C. In combination with ledipasvir, daclatasvir, or simeprevir, it is not recommended for use with amiodarone due to the risk of an abnormally slow heartbeat. Sofosbuvir belongs to a family of drugs that are nucleotide analogues, and it works by blocking the hepatitis C NS5B protein. The SN-38 prodrug is an anticancer drug. It is an active metabolite of irinotecan (an analogue of camptothecin, an inhibitor of topoisomerase I) but has 1000 times more activity than irinotecan itself. In vitro cytotoxicity assays show that the activity of SN-38 compared to irinotecan varies from 2 to 2000 times. SN38 is formed by the hydrolysis of irinotecan by carboxylesterases and is metabolized via glucuronidation by UGT1A1. SN-38 inhibits DNA synthesis in a dose- and time-dependent manner. The corresponding IC50 values for SN-38 in DNA synthesis are 0.077 μM (Figure 29).
Figure 29.
Structure of the SN-38 (19) methoxymethylphosphonate prodrugs and the naloxone prodrug 20.
Sofosbuvir is a direct-acting antiviral drug used as part of a combination therapy for the treatment of chronic hepatitis C, an infectious liver disease caused by hepatitis C virus (HCV) infection. The treatment options for chronic hepatitis C have expanded significantly with the development of direct-acting antivirals such as Sofosbuvir. As a prodrug nucleotide analog, Sofosbuvir is metabolized to its active form of the antiviral agent 2′-deoxy-2′-α-fluoro-β-C-methyluridine-5′-triphosphate, which acts as a defective substrate for the synthesis of NS5B (non-structural protein 5B). NS5B, an RNA-dependent RNA polymerase, is essential for the transcription of hepatitis C viral RNA, as well as its high replication rate and genetic diversity 4. In summary, Sofosbuvir and other direct-acting antivirals are very effective treatment options for hepatitis C because they possess a high barrier against the development of resistance. The compound 21 (Figure 30) is effective against HIV, while compound 22 is effective against the Epstein–Barr virus (EBV). The free nucleoside (BVDU) lacks antiviral activity, probably because EBV thymidine kinase is unable to transform BVDU into the corresponding monophosphate [111,112,113]. Fortunately, cycloSal phosphotriesters represent an excellent strategy for efficient intracellular delivery of free nucleotides from lipophilic prodrugs. The cycloSal prodrug strategy has been found to be a successful approach to the facilitating of the transport of these prodrugs across cell membranes [114,115,116,117] (Figure 31).
Figure 30.
Structures of Sofosbuvir and Tenofovir alafenamide.
Figure 31.
Examples of cycloSal phosphotriesters 21–24.
Hepatitis C virus (HCV) infection is an important medical problem requiring effective treatment. Therefore, the search and development of potential treatments for hepatitis C has attracted the close attention of researchers [118]. An example is the effort to study the stereoisomers of phenylphosphoramidate phosphate, which have been isolated and identified by X-ray diffraction analysis. The more active (SP) stereoisomer has been clinically studied for the treatment of HCV by the inhibition of NS5B polymerase [119]. These data showed that one of the consequences of the formation of arylphosphoramidates is the introduction of a new stereogenic center at the phosphorus atom, which can strongly affect biological activity [120,121]. In another study, stereoisomers of phosphoramidate with an asymmetric center on phosphorus were separated. The absolute configuration of the stereoisomers was determined by X-ray diffraction analysis, after which the stereoisomers were subjected to biological studies. The stereoisomer (SP) turned out to be more active. The prodrug produces high levels of triphosphate in many species after oral ingestion. Its toxicity is low, with high efficacy against HCV, even in resistant cells, which is why it has recently been approved for the treatment of HCV as Sofosbuvir. The monophosphate prodrug approach has yielded a number of compounds exhibiting submicromolar activity in HCV replicon assays. Further optimization of pharmacokinetics has led to the identification of a candidate for the clinical development of GS-6620 (25). The potential for potent activity has been demonstrated in a Phase I clinical trial. This result showed that the issue of phosphorus stereochemistry is extremely important and promising in the case of prodrugs based on arylphosphoramidates. It is interesting to note that the (SP)-stereoisomer was more active in all cases [119] (Figure 32 and Figure 33). GS6620 is an antiviral drug, a nucleotide analog. This drug is currently under study. However, it continues to be researched as a potential treatment for various viral diseases such as the Ebola virus disease.
Figure 32.
C-Nucleoside HCV polymerase inhibitor (GS6620) (25).
Figure 33.
Prodrug 26 analyzed as (SP)-isomers.
A number of new (SP)-arylphosphoramidates were synthesized with high diastereoselectivity (up to 95% de) and tested for their anti-HIV activity, showing high antiviral activity of the (SP)-stereomers. Stereospecific synthesis of the prodrugs of phosphoramidates was achieved starting from stereochemically pure phosphorodiamidates. It was observed that 3- and 4-substituted phenol derivatives led to higher diastereoselectivity. (SP)-arylphosphoramidates synthesized in the form of diastereomerically pure compounds showed high antiviral activity. Moreover, (SP)-4-substituted phosphoramidates showed higher antiviral activity than their (RP) analogues [120]. The synthetic route uses (S)-4-isopropylthiazolidine-2-thione 26 as a chiral auxiliary, which is converted in three steps to the key intermediates 27a-d. These compounds were obtained with 81% de. Through column chromatography, the diastereomeric purity increased to 95%. X-ray diffraction analysis of three different intermediates, 27,28, showed that the RP stereoomer was preferentially obtained. Phosphoramidate derivatives (RP)-28a-d and (SP)-29a-d were reacted separately with d4T to give the phosphoramidate prodrugs (SP)-30a-d and (RP)-31a-d as almost stereomerically pure compounds (95% de). Antiviral tests of stereomers 8a,b showed significantly different antiviral properties in CEM/TK-deficient cells and thus confirmed the importance of the phosphorus configuration for possible antiviral activity (Figure 34) [121].
Figure 34.
Synthesis of phosphorodiamidate derivatives (RP)- or (SP)-30 and (RP)- or (SP)-31 through (RP)/(SP)-phosphorochloridates.
3. Conclusions and Future Directions
The set of methods developed in recent years that contribute to the creation of effective drugs has been called “Chiral technologies”, among which the most interesting were “Chiral switches” and “Prodrugs” as the most promising areas for future research. The “Chiral switch” as a chiral drug that has already been approved as a racemate but has been redesigned as a separate enantiomer is of increasing interest to organophosphate chemists. An essential principle of chiral switching is the change in chirality status. In general, the term “chiral switch” defines the problem more accurately than the term “racemic switch” because it typically separates the racemate into enantiomers and switches from the racemate to the corresponding single enantiomer. In addition, chiral phosphorus prodrugs have accounted for a significant percentage of new drugs approved by the US Food and Drug Administration over the past decade. This indicates the need to consider the use of prodrugs prior to clinical evaluation, especially in the case of the traditional problems of overcoming the double negative charge at physiological pH. It has become almost common practice to test phosphonate prodrugs before using them since most prodrugs show better potency and availability than the parent phosphoric acid [121,122,123,124,125]. In addition to chiral drug research in pharmacology, stereochemical analysis is important for safe drug development and risk assessment. The importance of stereochemistry in various fields of biomedical research and pharmacology, including toxicology and the study of long-term side effects of drugs, is obvious. We hope that this review will stimulate further studies of these interesting and promising types of organophosphorus compounds.
4. Recommendations for Future Research
- (1)
- According to the FDA regulations, drug discovery and development researchers must determine at an early stage of research whether racemates or enantiomerically pure compounds should be sought.
- (2)
- Virtual screening and molecular modeling methods make it possible to identify leading compounds using calculated free binding energies. However, due to synthetic difficulties in obtaining enantiomerically pure stereomers and the methods for linking them, it is important to start by determining the exact stereochemistry of compounds in virtual drug candidate libraries.
- (3)
- In the approval process, justification must be provided for the development of a racemic mixture or an enantiomerically pure compound. Molecular modeling and virtual screening are indispensable tools in the early stages of new drug development in initial screening and design.
- (4)
- The effect of chirality in drugs is the main goal of the intensive research on the active principle of the drug being developed; the other enantiomer can be considered as “isomeric ballast”. However, it is not uncommon for the second enantiomer to exhibit significantly different biological properties, ranging from agonistic or antagonistic binding to the same receptor to interaction with other biological targets, which can lead to unwanted adverse effects.
- (5)
- In some cases, the presence of a distomer in a racemic mixture may interfere with the results due to the detrimental effect of the distomer or its conversion to the eutomeric configuration.
Author Contributions
O.I.K. and A.O.K. wrote the paper. All authors have read and agreed to the published version of the manuscript.
Funding
This research received no external funding.
Data Availability Statement
Not applicable.
Conflicts of Interest
The authors declare no conflict of interest.
Abbreviations
Arg—Argenine; ATF—Adenosyn triphosphate; Gly—Glycine; Asp—Asparagine; Boc—tert-Butoxycarbonyl; de—diastereomeric excess; ee—enantiomeric excess; d4TMP—30-deoxy- 20,30- didehydrothymidine monophosphate; HPLC—high performance liquid chromatography; HPMPA—9-(3-Hydroxy-2-phosphonyl- methoxy-propyl)adenine; HPMPC—9-[3-hydroxy-2-phosphonomethoxypropyl] cytosine (cidofovir); Moc—methoxycarbonyl, i-Pr—iso-Propyl; MMPA—Methoxymethylphosphonic acid phosphonamidate; McC—Microcin C; PMEA—9-[2-(Phosphonomethoxy)ethyl]adenine; PMPA—9-[2-(Phosphonomethoxy) ethyl]adenine; Py—Pyridine; rac—racemate; Val—Valine.
References
- Food and Drug Administration. Development of New Stereoisomeric Drugs. 6 July 2005. Available online: www.fda.gov/Drugs/GuidanceComplianceRegulatorylnformation/Guidances/ucm122883.htm (accessed on 23 April 2010).
- Caldwell, J.; Wainer, I.W. Stereochemistry: Definitions and a note on nomenclature. Hum. Psychopharmacol. 2001, 16, S105–S107. [Google Scholar] [CrossRef]
- Sahajwalla, C. Regulatory Considerations in Drug Development of Stereoisomers, Chiralitv in Drug Design and Development; Reddy, I., Mehvar, R., Eds.; CRC Press: New York, NY, USA, 2004; ISBN 9780429215537. [Google Scholar]
- Agency, E.M. Investigation of Chiral Active Substances; 1994. Available online: www.ema.europa.eu/pdfs/human/qwp/3cc29aeu.pdf (accessed on 25 April 2010).
- Agranat, I.; Caner, H.; Caldwell, J. Putting chirality to work: The strategy of chiral switches. Nat. Rev. Drug Discov. 2002, 7, 753–768. [Google Scholar] [CrossRef] [PubMed]
- Kolodiazhnyi, O.I. Asymmetric Synthesis in Organophosphorus Chemistry: Synthetic Methods, Catalysis and Application; Wiley VCH: Weinheim, Germany, 2016; ISBN 978-3-527-34150-4. [Google Scholar]
- Calcaterra, A.D.; Acquarica, I. The market of chiral drugs: Chiral switches versus de novo enantiomerically pure compounds. J. Pharm. Biomed. Anal. 2018, 147, 323–340. [Google Scholar] [CrossRef] [PubMed]
- Caner, H.; Groner, E.; Levy, L. Trends in the development of chiral drugs. Drug Discov. Today. 2004, 9, 105–110. [Google Scholar] [CrossRef] [PubMed]
- Stinson, S. Chiral drugs. Chem. Eng. News 2000, 78, 55–78. [Google Scholar] [CrossRef]
- Núñez, M.C.; García-Rubiño, M.E.; Conejo-García, A.; Cruz-López, O.; Kimatrai, M.; Gallo, M.A.; Espinosa, A.; Campos, J.M. Homochiral drugs: A demanding tendency of the pharmaceutical industry. Curr. Med. Chem. 2009, 16, 2064–2074. [Google Scholar] [CrossRef]
- D’Acquarica, I.; Agranat, I. The Quest for Secondary Pharmaceuticals: Drug Repurposing/Chiral-Switches Combination Strategy. ACS Pharmacol. Transl. Sci. 2023, 6, 201–219. [Google Scholar] [CrossRef]
- Mentel, M.; Blankenfeldt, W.; Breinbauer, R. The active site of an enzyme can host both enantiomers of a racemic ligand simultaneously. Angew Chem. Int. Ed. Engl. 2009, 48, 9084–9087. [Google Scholar] [CrossRef]
- Takatsu, T.; Horiuchi, N.; Ishikawa, M.; Wanibuchi, K.; Moriguchi, T.; Takahashi, S. 1100-50, a novel nematocide from Streptomyces lavendulae SANK 64297. J. Antibiot. 2003, 56, 306–309. [Google Scholar] [CrossRef]
- Baba, M.; Okamoto, M.; Takeuchi, H. Inhibition of human immunodeficiency virus type 1 replication in acutely and chronically infected cells by EM2487, a novel substance produced by a Streptomyces species. Antimicrob. Agents Chemother. 1999, 43, 2350–2355. [Google Scholar] [CrossRef]
- Monroy-Noyola, A.; Sogorb, M.A.; Vilanova, E. Stereospecific hydrolysis of a phosphoramidate as a model to understand the role of biotransformation in the neurotoxicity of chiral organophosphorus compounds. Toxicol. Lett. 2007, 170, 157–164. [Google Scholar] [CrossRef] [PubMed]
- Kolodiazhnyi, O.I. Phosphorus Compounds of Natural Origin: Prebiotic, Stereochemistry, Application. Symmetry 2021, 13, 889. [Google Scholar] [CrossRef]
- Kolodiazhna, A.O.; Kolodiazhnyi, O.I. Catalytic asymmetric synthesis of C-chiral phosphonate. Symmetry 2022, 14, 1758–1825. [Google Scholar] [CrossRef]
- Kolodiazhna, A.O.; Kolodiazhnyi, O.I. Asymmetric Electrophilic Reactions in Phosphorus Chemistry. Symmetry 2020, 12, 108. [Google Scholar] [CrossRef]
- Horsman, G.P.; Zechel, D.L. Phosphonate Biochemistry. Chem. Rev. 2017, 117, 5704–5783. [Google Scholar] [CrossRef]
- Hudson, H.; Kukhar, V.P. Aminophosphonic and Aminophosphinic Acids: Chemistry and Biological Activity; John Wiley: New York, NY, USA, 2000; 660p, ISBN 978-0-471-89149-9. [Google Scholar]
- Crooke, S.T.; Seth, P.P.; Vickers, T.A.; Liang, X.-H. The Interaction of Phosphorothioate-Containing RNA Targeted Drugs with Proteins Is a Critical Determinant of the Therapeutic Effects of These Agents. J. Am. Chem. Soc. 2020, 142, 14754–14771. [Google Scholar] [CrossRef]
- Falagas, M.E.; Vouloumanou, K.; Samonis, G.; Vardakas, K.Z. Fosfomycin. Clin. Microbiol. Rev. 2016, 29, 321–347. [Google Scholar] [CrossRef]
- Omura, S.; Murata, M.; Hanaki, H.; Hinotozawa, K.; Oiwa, R.; Tanaka, H. Phosalacine, a new herbicidal antibiotic containing phosphinothricin. Fermentation, isolation, biological activity and mechanism of action. J. Antibiot. 1984, 37, 829–835. [Google Scholar] [CrossRef]
- Lell, B.; Ruangweerayut, R.; Wiesner, J.; Missinou, M.A.; Schindler, A.; Baranek, T.; Hintz, M.; Hutchinson, D.; Jomaa, H.; Kremsner, P.G. Fosmidomycin, a novel chemotherapeutic agent for malaria. Antimicrob. Agents Chemother. 2003, 47, 735–738. [Google Scholar] [CrossRef]
- Gahungu, M.; Arguelles-Arias, A.; Fickers, P.; Zervosen, A.; Joris, B.; Damblon, C. Synthesis and biological evaluation of potential threonine synthase inhibitors: Rhizocticin A and Plumbemycin, A. Bioorg. Med. Chem. 2013, 21, 4958–4967. [Google Scholar] [CrossRef]
- Takeuchi, M.; Nakajima, M.; Ogita, T.; Inukai, M.; Kodama, K.; Furuya, K.; Nagaki, H.; Haneishi, T. Fosfonochlorin, a new antibiotic with spheroplast forming activity. J. Antibiot. 1989, 42, 198–205. [Google Scholar] [CrossRef] [PubMed]
- Yoshino, K.; Kohno, T.; Uno, T.; Morita, T.; Tsukamoto, G. Organic phosphorus compounds 1.4-(Benzothiazol-2-yl) benzylphosphonate as potent calcium antagonistic vasodilator. J. Med. Chem. 1986, 29, 820–825. [Google Scholar] [CrossRef] [PubMed]
- Greenbaum, R.; Zucchelli, P.; Caspi, A.; Nouriel, H.; Paz, R.; Sclarovsky, S. Comparison of the pharmacokinetics of fosinoprilat with enalaprilat and lisinopril in patients with congestive heart failure and chronic renal insufficiency. Br. J. Clin. Pharmacol. 2000, 49, 23–31. [Google Scholar] [CrossRef] [PubMed]
- Duchin, K.L.; Waclawki, A.P.; Tu, J.I.; Manning, J.; Frantz, M.; Willard, D.A. Pharmacokinetics, safety, and pharmacologic effects of fosinopril sodium, an angiotensin-converting enzyme inhibitor in healthy subjects. J. Clin. Pharmacol. 1991, 31, 58–64. [Google Scholar] [CrossRef]
- Cohen, P. The origins of protein phosphorylation. Nat. Cell Biol. 2002, 4, E127–E130. [Google Scholar] [CrossRef]
- Mita, M.M.; Gong, J.; Chawla, S.P. Ridaforolimus in advanced or metastatic soft tissue and bone sarcomas. Expert Rev. Clin. Pharmacol. 2013, 6, 465–482. [Google Scholar] [CrossRef]
- Nakamura, T.; Hashimoto, I.; Sawada, Y.; Mikami, J.; Bekki, E. Clinical studies on fosfomycin sodium following intravenous administration (tissue concentration and clinical efficacy). Jpn. J. Antibiot. 1985, 38, 2057–2067. [Google Scholar] [PubMed]
- García-Rodríguez, J.A.; Martín, I.T.; Baquero, F.; Cisterna, R.; Gobernado, M.; Liñares, F.L. In vitro activity of fosfomycin trometamol against pathogens from urinary tract infections: A Spanish multicenter study. J. Chemother. 1997, 9, 394–402. [Google Scholar] [CrossRef] [PubMed]
- Santoro, A.; Cappello, A.R.; Madeo, M.; Martello, E.; Iacopetta, D.; Dolce, V. Interaction of fosfomycin with the glycerol 3-phosphate transporter of Escherichia coli. Biochim. Et Biophys. Acta (BBA) 2011, 1810, 1323–1329. [Google Scholar] [CrossRef]
- Patel, S.S.; Balfour, J.A.; Bryson, H.M. Fosfomycin tromethamine. A review of its antibacterial activity, pharmacokinetic properties and therapeutic efficacy as a single-dose oral treatment for acute uncomplicated lower urinary tract infections. Drugs 1997, 53, 637–656. [Google Scholar] [CrossRef]
- Rieusset, J.; Touri, F.; Michalik, L.; Escher, P.; Desvergne, B.; Niesor, E.; Wahli, W. A New Selective Peroxisome Proliferator-Activated Receptor γ Antagonist with Antiobesity and Antidiabetic Activity. Mol. Endocrinol. 2002, 16, 2628–2644. [Google Scholar] [CrossRef] [PubMed][Green Version]
- Pilote, L.; Abrahamowicz, M.; Eisenberg, M.; Humphries, K.; Behlouli, H.; Tu, J.V. Effect of different angiotensin-converting-enzyme inhibitors on mortality among elderly patients with congestive heart failure. CMAJ 2008, 178, 1303–1311. [Google Scholar] [CrossRef] [PubMed]
- Okuhara, M.; Kuroda, Y.; Goto, T.; Okamoto, M.; Terano, H.; Kohsaka, M. Studies on a new phosphonic acid antibiotic III.Isolation and characterisation of FRFR-31564, FR-32863 and FR-33289. J. Antibiot. 1980, 33, 24–28. [Google Scholar] [CrossRef]
- Bayer, E.; Gugel, K.H.; Hägele, K.; Hagenmaier, H.; Jessipow, S.; König, W.A.; Zähner, H. Metabolic Products of Microorganisms.98. Phosphinothricin and Phosphinothricyl-Alanyl-Alanine. Helv. Chim. Acta 1972, 55, 224–239. [Google Scholar] [CrossRef]
- Donn, G.; Köcher, H. Inhibitors of Glutamine Synthetase. In Herbicide Classes in Development; Springer: Berlin/Heidelberg, Germany, 2002; pp. 87–101. [Google Scholar]
- Mowbray, S.L.; Kathiravan, M.K.; Pandey, A.A.; Odell, L.R. Inhibition of Glutamine Synthetase: A Potential Drug Target in Mycobacterium Tuberculosis. Molecules 2014, 19, 13161–13176. [Google Scholar] [CrossRef] [PubMed]
- Taguchi, H.; Ohkubo, A.; Sekine, M.; Seio, K.; Kakeya, H.; Osada, H. Synthesis and Biological Properties of New Phosmidosine Analogs Having an N-Acylsulfamate. Nucleosides Nucleotides Nucleic Acids 2006, 25, 647–654. [Google Scholar] [CrossRef]
- Sekine, M.; Okada, K.; Seio, K.; Kakeya, H.; Osada, H.; Obata, T.; Sasaki, T. Synthesis of Chemically Stabilized Phosmidosine Analogues and the Structure-Activity Relationship of Phosmidosine. J. Org. Chem. 2004, 69, 314–326. [Google Scholar] [CrossRef]
- Sekine, M.; Okada, K.; Seio, K.; Obata, T.; Sasaki, T.; Kakeya, H.; Osada, H. Synthesis of a biotin-conjugate of phosmidosine O-ethyl ester as a G1 arrest antitumor drug. Bioorg. Med. Chem. 2004, 12, 6343–6349. [Google Scholar] [CrossRef]
- Roberts, W.P.; Tate, M.E.; Kerr, A. Agrocin 84 is a 6-N-phosphoramidate of an adenine nucleotide analogue. Nature 1977, 265, 379–381. [Google Scholar] [CrossRef]
- Kim, J.-G.; Park, B.K.; Kim, S.-U.; Choi, D.; Nahm, B.H.; Moon, J.S. Bases of biocontrol: Sequence predicts synthesis and mode of action of agrocin 84, the Trojan Horse antibiotic that controls crown gall. Proc. Natl. Acad. Sci. USA 2006, 103, 8846–8851. [Google Scholar] [CrossRef]
- Pertusati, F.; McGuigana, C. Diastereoselective synthesis of P-chirogenic phosphoramidate prodrugs of nucleoside analogues (ProTides) via copper catalysed reaction. Chem. Commun. 2015, 51, 8070–8073. [Google Scholar] [CrossRef]
- Tate, M.E.; Murphy, P.J.; Roberts, W.P.; Kerr, A. Adenine N6-substituent of agrocin 84 determines its bacteriocin-like specificity. Nature 1979, 280, 697–699. [Google Scholar] [CrossRef] [PubMed]
- Reader, J.S.; Ordoukhanian, P.T.; Kim, J.-G.; de Crecy-Lagard, V.; Hwang, I.; Farrand, S.; Schimmel, P. Major Biocontrol of Plant Tumors Targets tRNA Synthetase. Science 2005, 309, 1533 LP–1553 LP. [Google Scholar] [CrossRef] [PubMed]
- Paz-Yepes, J.; Brahamsha, B.; Palenik, B. Role of a microcin-C-like biosynthetic gene cluster in allelopathic interactions in marine Synechococcus. Proc. Natl. Acad. Sci. USA 2013, 110, 12030–12035. [Google Scholar] [CrossRef] [PubMed]
- Eliot, A.C.; Griffin, B.M.; Thomas, P.M.; Johannes, T.W.; Kelleher, N.L.; Zhao, H.; Metcalf, W.W. Cloning, expression, and biochemical characterization of Streptomyces rubellomurinus genes required for biosynthesis of antimalarial compound FR900098. Chem. Biol. 2008, 15, 765–770. [Google Scholar] [CrossRef] [PubMed]
- Baquero, F.; Lanza, V.F.; Baquero, M.-R.; del Campo1, R.; Bravo-Vázquez, D.A. Microcins in Enterobacteriaceae: Peptide Antimicrobials in the Eco-Active Intestinal Chemosphere. Front. Microbiol. 2019, 10, 2261–2271. [Google Scholar] [CrossRef] [PubMed]
- Varga, P.R.; Szabó, R.O.; Dormán, G.; Bősze, S.; Keglevich, G. Cytotoxic Activity of α-Aminophosphonic Derivatives Coming from the Tandem Kabachnik–Fields Reaction and Acylation. Pharmaceuticals 2023, 16, 506. [Google Scholar] [CrossRef]
- Karpus, A.; Yesypenko, O.; Cherenok, S.; Boiko, V.; Kalchenko, O.; Voitenko, Z.; Tribrat, O.; Poli, R.; Daran, J.-C.; Manoury, E.; et al. Chiral phosphorus-containing calixarenes. Phosph. Sulf. Silicon Relat. Elem. 2019, 194, 471–475. [Google Scholar] [CrossRef]
- Buldenko, V.M.; Trush, V.V.; Kobzar, O.L.; Drapailo, A.B.; Kalchenko, V.I.; Vovk, A.I. Calixarene-based phosphinic acids as inhibitors of protein tyrosine phosphatases. Bioorg. Med. Chem. Lett. 2019, 29, 797–801. [Google Scholar] [CrossRef]
- Rodriguez, J.B.; Falcone, B.N.; Szajnman, S.H. Approaches for Designing new Potent Inhibitors of Farnesyl Pyrophosphate Synthase. Expert Opin. Drug Discov. 2016, 11, 307–320. [Google Scholar] [CrossRef]
- Russell, R.G.G. Bisphosphonates: The first 40 years. Bone 2011, 49, 2–19. [Google Scholar] [CrossRef] [PubMed]
- Rogers, M.J.; Frith, J.C.; Luckman, S.P.; Coxon, F.P.; Benford, H.L.; Mçnkkçnen, A.S.; Chilton, K.M.; Russell, R.G.G. Molecular mechanisms of action of bisphosphonates. Bone 1999, 24, 73S–79S. [Google Scholar] [CrossRef] [PubMed]
- Kolodiazhnyi, O.I.; Kolodiazhna, O.O. New Catalyst for Phosphonylation of C=X Electrophiles. Synth. Comm. 2012, 42, 1637–1649. [Google Scholar] [CrossRef]
- Kolodiazhna, O.O.; Kolodiazhna, A.O.; Kolodiazhnyi, O.I. Highly effective catalyst for the reaction of trialkylphosphites with C=X electrophiles. Phosph. Sulf. Silicon Relat. Elem. 2011, 186, 796–798. [Google Scholar] [CrossRef]
- Haratipour, P.; Minard, C.; Nakhjiri, M.; Negahbani, A.; Kashemirov, B.A.; McKenna, C.E. New chirally modified bisphosphonates for synthesis of individual beta,gamma-CHX-deoxynucleotide diastereomers Phosph. Sulf. Silicon Relat. Elem. 2019, 194, 329–330. [Google Scholar] [CrossRef] [PubMed]
- Koohang, A.; Bailey, J.L.; Coates, R.M.; Erickson, H.K.; Owen, D.; Doulter, C.J. Enantioselective Inhibition of Squalene Synthase by Aziridine Analogues of Presqualene Diphosphate. J. Org. Chem. 2010, 75, 4769–4777. [Google Scholar] [CrossRef][Green Version]
- Wasko, B.M.; Smits, J.P.; Shull, L.W.; Wiemer, D.F.; Hohl, R.J. A novel bisphosphonate inhibitor of squalene synthase combined with a statin or a nitrogenous bisphosphonate in vitro. J. Lipid Res. 2011, 52, 1957–1964. [Google Scholar] [CrossRef]
- Magnin, D.R.; Biller, S.A.; Dickson, J.K., Jr.; Logan, J.V.; Lawrence, R.M.; Chen, Y.; Sulsky, R.B.; Ciosek, C.P., Jr.; Harrity, T.W.; Jolibois, K.G.; et al. 1,l-Bisphosphonate Squalene Synthase Inhibitors: Interplay Between the Isoprenoid Subunit and the Diphosphate Surrogate. J. Med. Chem. 1995, 38, 2596–2605. [Google Scholar] [CrossRef]
- Magnin, D.R.; Biller, S.A.; Chen, Y.; Dickson, J.K.; Fryszman, O.M.; Lawrence, R.M.; Logan, J.V.H.; Sieber-McMmaster, E.S.; Sulsky, R.B.; Traeger, S.C.; et al. r-Phosphonosulfonic Acids: Potent and Selective Inhibitors of Squalene Synthase. J. Med. Chem. 1996, 39, 657–660. [Google Scholar] [CrossRef]
- Lawrence, R.M.; Biller, S.A.; Dickson, J.K.; Logan, J.V.H.; Magnin, D.R.; Sulsky, R.B.; DiMarco, J.D.; Gougoutas, J.Z.; Beyer, B.D.; Taylor, S.C.; et al. Enantioselective Synthesis of r-Phosphono Sulfonate Squalene Synthase Inhibitors: Chiral Recognition in the Interactions of an r-Phosphono Sulfonate Inhibitor with Squalene Synthase. J. Am. Chem. Soc. 1996, 118, 11668–11669. [Google Scholar] [CrossRef]
- Ciosek, C.P., Jr.; Magnin, D.R.; Harrity, T.W.; Logan, J.V.; Dickson, J.K., Jr.; Gordon, E.M.; Hamilton, K.A.; Jolibois, K.G.; Kunselman, L.K.; Lawrence, R.M. Lipophilic 1,1-bisphosphonates are potent squalene synthase inhibitors and orally active cholesterol lowering agents in vivo. J. Biol. Chem. 1993, 268, 24832–24837. [Google Scholar] [CrossRef]
- Johnson, S.A.; Hunter, T. Kinomics: Methods for deciphering the kinome. Nat. Methods 2005, 2, 17–25. [Google Scholar] [CrossRef] [PubMed]
- Baguley, T.D.; Xu, H.-D.; Chatterjee, M.; Nairn, A.C.; Lombroso, P.J.; Ellman, J.A. Substrate-Based Fragment Identification for the Development of Selective, Nonpeptidic Inhibitors of Striatal-Enriched Protein Tyrosine Phosphatase. J. Med. Chem. 2013, 56, 7636–7650. [Google Scholar] [CrossRef] [PubMed]
- Witten, M.R.; Wissler, L.; Snow, M.; Geschwindner, S.; Read, J.A.; Brandon, N.J.; Nairn, A.C.; Lombroso, P.J.; Kack, H.; Ellman, J.A. X-ray Characterization and Structure-Based Optimization of Striatal-Enriched Protein Tyrosine Phosphatase Inhibitors. J. Med. Chem. 2017, 60, 9299–9319. [Google Scholar] [CrossRef]
- Barr, A.J.; Ugochukwu, E.; Lee, W.H.; King, O.N.F.; Filippakopoulos, P.; Alfano ISavitsky, P.; Burgess-Brown, N.A.; Muller, S.; Knapp, S. Large-scale structural analysis of the classical human protein tyrosine phosphatome. Cell 2009, 136, 352–363. [Google Scholar] [CrossRef] [PubMed]
- Chofor, R.; Sooriyaarachchi, S.; Risseeuw, M.D.P.; Bergfors, T.; Pouyez, J.; Johny, C.; Haymon, A.; Everaert, A.; Dowd, C.S.; Maes, L.; et al. Synthesis and Bioactivity of β-Substituted Fosmidomycin Analogues Targeting 1-Deoxy-D-xylulose-5-phosphate Reductoisomerase. J. Med. Chem. 2015, 58, 2988–3001. [Google Scholar] [CrossRef]
- Kafarski, P. Phosphonopeptides containing free phosphonic groups: Recent advances. RSC Adv. 2020, 10, 25898–25910. [Google Scholar] [CrossRef]
- Blodgett, J.A.V.; Zhang, J.K.; Yu, X.; Metcalf, W.W. Conserved biosynthetic pathways for phosalacine, bialaphos and newlydiscovered phosphonic acid natural products. J. Antibiot. 2016, 69, 15–25. [Google Scholar] [CrossRef]
- Peck, S.C.; van der Donk, W. Phosphonate biosynthesis and catabolism: A treasure trove for unusual enzymology. Curr. Opin. Chem. Biol. 2013, 17, 580–588. [Google Scholar] [CrossRef]
- Walsh, C.T. The Chemical Biology of Phosphorus; RSC: Cambridge, UK, 2020; 546p. [Google Scholar] [CrossRef]
- Rautio, J.; Meanwell, N.A.; Li, D.; Hageman, M.J. The expanding role of prodrugs in contemporary drug design and development. Nat. Rev. Drug Discov. 2018, 17, 559–587. [Google Scholar] [CrossRef]
- Sofosbuvir (Sovaldi)—Treatment—Hepatitis C Online. Available online: www.hepatitisc.uw.edu (accessed on 8 January 2017).
- DiMasi, J.A.; Grabowski, H.G.; Hansen, R.W. Innovation in the pharmaceutical industry: New estimates of R&D costs. J. Health Econ. 2016, 47, 20–33. [Google Scholar] [CrossRef]
- Hecker, S.J.; Erion, M.D. Prodrugs of phosphates and phosphonates. J. Med. Chem. 2008, 51, 2328–2345. [Google Scholar] [CrossRef]
- Wiemer, A.J.; Wiemer, D.F. Prodrugs of phosphonates and phosphates: Crossing the membrane barrier. Top. Curr. Chem. 2015, 360, 115–160. [Google Scholar] [CrossRef] [PubMed]
- Wuts, P.G.M. (Ed.) Protection for the Phosphate Group. In Greene’s Protective Groups in Organic Synthesis; Wiley: Hoboken, NJ, USA, 2014. [Google Scholar]
- Meier, C.; Gorbig, U.; Muller, C.; Balzarini, J. cycloSal-PMEA and cycloAmb-PMEA: Potentially new phosphonate prodrugs based on the cycloSal-pronucleotide approach. J. Med. Chem. 2005, 48, 8079–8086. [Google Scholar] [CrossRef]
- Cundy, K.C. Clinical Pharmacokinetics of the Antiviral Nucleotide Analogues Cidofovir and Adefovir. Clin. Pharmacokinet. 1999, 36, 127–143. [Google Scholar] [CrossRef] [PubMed]
- Vistide (Cidofovir) Dosing, Indications, Interactions, Adverse Effects, and More. Medscape Reference. WebMD. Available online: https://reference.medscape.com/drug/cidofovir-342606 (accessed on 4 February 2014).
- De Gascun, C.F.; Carr, M. Human polyomavirus reactivation: Disease pathogenesis and treatment approaches. Clin. Dev. Immunol. 2013, 2013, 373579. [Google Scholar] [CrossRef]
- Brodfuehrer, P.R.; Howell, H.G.; Sapino, C., Jr.; Vemishetti, P. A practical synthesis of (S)-HPMPC. Tetrahedron Lett. 1994, 35, 3243. [Google Scholar] [CrossRef]
- Florescu, D.F.; Keck, M.A. Development of CMX001 (Brincidofovir) for the treatment of serious diseases or conditions caused by dsDNA viruses. Expert Rev. Anti-Infect. Ther. 2014, 12, 1171–1178. [Google Scholar] [CrossRef]
- Birnkrant, D. Brincidofovir: NDA Approval—Animal Efficacy; Center for Drug Evaluation and Research. U.S. Food and Drug Administration: Silver Spring, MD, USA, 2021. [Google Scholar]
- Meier, C.; Lorey, M.; De Clercq, E.; Balzarini, J. cycloSal-2, 3dideoxy-2,3-didehydrothymidine monophosphate (cycloSal-d4TMP): Synthesis and antiviral evaluation of a new d4TMP delivery system. J. Med. Chem. 1998, 41, 1417–1427. [Google Scholar] [CrossRef]
- Lebeau, I.; Andrei, G.; Dal Pozzo, F. Activities of alkoxvalkyl esters of cidofovir (CDV), cyclic CDV, and (S)-9-(3-hydroxy-2-phosphonylmethoxypropyl)adenine against orthopoxviruses in cell monolayers and in organotypic cultures. Antimicrob. Agents Chemother. 2006, 50, 2525–2529. [Google Scholar] [CrossRef]
- Bischofberger, N.; Hitchcock, M.J.M.; Chen, M.S. 1-((S)-2-hydroxy-2-oxo-1,4,2-dioxaphosphorinan-5-yl)methyl cytosine, an intracellular prodrug for (S)-1-(3-hydroxy-2-phosphonylmethoxypropyl)cytosine with improved therapeutic index in vivo. Antimicrob. Agents Chemother. 1994, 38, 2387–2391. [Google Scholar] [CrossRef]
- Eriksson, U.; Peterson, L.W.; Kashemirov, B.A. Serine peptide phosphoester prodrugs of cyclic cidofovir: Synthesis, transport, and antiviral activity. Mol. Pharm. 2008, 5, 598–609. [Google Scholar] [CrossRef]
- Peterson, L.W.; Sala-Rabanal, M.; Krylov, I.S.; Serpi, M.; Kashemirov, B.A.; McKenna, C.E. Serine side chain-linked peptidomimetic conjugates of cyclic HPMPC and HPMPA: Synthesis and interaction with hPEPT1. Mol. Pharm. 2010, 7, 2349–2361. [Google Scholar] [CrossRef] [PubMed]
- Zalcharova, V.M.; Serpi, M.; Krylov, I.S. Tyrosine-based 1-(S) 3-Hydroxy-2-(phosphonomethoxy)propyl cytosine and -adenine ((S)-HPMPC and (S)-HPMPA) prodrugs: Synthesis, stability, antiviral activity, and in vivo transport studies. J. Med. Chem. 2011, 54, 5680–5693. [Google Scholar] [CrossRef]
- Keith, K.A.; Wan, W.B.; Ciesla, S.L.; Beadle, J.R.; Hostetler, K.Y.; Kern, E.R. Inhibitory activity of alkoxyalkyl and alkyl esters of cidofovir and cyclic cidofovir against orthopoxvirus replication in vitro. Antimicrob. Agents Chemother. 2004, 48, 1869–1871. [Google Scholar] [CrossRef] [PubMed]
- Krecmerova, M.; Holy, A.; Andrei, G. Synthesis of Ester Prodrugs of 9-(S)- 3-Hydroxy-2-(phosphonomethoxy)propyl -2,6-diaminopurine (HPMPDAP) as anti-poxvirus agents. J. Med. Chem. 2010, 53, 6825–6837. [Google Scholar] [CrossRef]
- Nack, T.; Dinis de Oliveira, T.; Weber, S.; Schols, D.; Balzarini, J.; Meier, C. γ-Ketobenzyl-Modified Nucleoside Triphosphate Prodrugs as Potential Antivirals. J. Med. Chem. 2020, 63, 13745–13761. [Google Scholar] [CrossRef]
- Morales, E.H.R.; Roman, C.A.; Thomann, J.O.; Meier, C. Linear synthesis of chiral cycloSal pronucleotides. Eur. J. Med. Chem. 2011, 23, 4397–4408. [Google Scholar] [CrossRef]
- Rios Morales, E.H.; Balzarini, J.; Meier, C. Stereoselective synthesis and antiviral activity of methyl-substituted cycloSal-pronucleotides. J. Med. Chem. 2012, 55, 7245–7252. [Google Scholar] [CrossRef] [PubMed]
- Wolf, S.; Warnecke, S.; Ehrit, J.; Freiberger, F.; Gerardy-Schahn, R.; Meier, C. Chemical synthesis and enzymatic testing of CMP-sialic acid derivatives. Chembiochem 2012, 13, 2605–2615. [Google Scholar] [CrossRef]
- Huchting, J.; Ruthenbeck, A.; Meier, C. Synthesis of cycloSal-(glycopyranosyl-6)-phosphates as activated sugar phosphates. Eur. J. Org. Chem. 2013, 2013, 6907–6916. [Google Scholar] [CrossRef]
- Erion, M.D.; van Poelje, P.D.; Mackenna, D.A.; Colby, T.J.; Montag, A.C.; Fujitaki, J.M.; Linemeyer, D.L.; Bullough, D.A. Liver-targeted drug delivery using HepDirect prodrugs. J. Pharmacol. Exp. Ther. 2005, 312, 554–560. [Google Scholar] [CrossRef] [PubMed]
- Boyer, S.H.; Sun, Z.; Jiang, H.; Esterbrook, J.; Gomez-Galeno, J.E.; Craigo, W.; Reddy, K.R.; Ugarkar, B.G.; MacKenna, D.A.; Erion, M.D. Synthesis and characterization of a novel livertargeted prodrug of cytosine-1-beta-D-arabinofuranoside monophosphate for the treatment of hepatocellular carcinoma. J. Med. Chem. 2006, 49, 7711–7720. [Google Scholar] [CrossRef]
- Meier, C.; Lorey, M.; De Clercq, E.; Balzarini, J. Cyclic saligenyl phosphotriesters of 20,30-dideoxy-20,30-didehydrothymidine (d4T)—A new pro-nucleotide approach. Bioorg. Med. Chem. Lett. 1997, 7, 99–104. [Google Scholar] [CrossRef]
- Erion, M.D.; Reddy, K.R.; Boyer, S.H.; Matelich, M.C.; Gomez-Galeno, J.; Lemus, R.H.; Ugarkar, B.G.; Colby, T.J.; Schanzer, J.; Van Poelje, P.D. Design, synthesis, and characterization of a series of cytochrome P(450) 3A-activated prodrugs (HepDirect prodrugs) useful for targeting phosph(on)ate-based drugs to the liver. J. Am. Chem. Soc. 2004, 126, 5154–5163. [Google Scholar] [CrossRef]
- Worek, F.; Wille, T.; Koller, M.; Thiermann, H. Toxicology of organophosphorus compounds in view of an increasing terrorist threat. Arch Toxicol. 2016, 90, 2131–2145. [Google Scholar] [CrossRef]
- Reddy, K.R.; Matelich, M.C.; Ugarkar, B.G.; Gómez-Galeno, J.E.; DaRe, J.; Ollis, K.; Sun, Z.; Craigo, W.; Colby, T.J.; Fujitaki, J.M.; et al. Pradefovir: A prodrug that targets adefovir to the liver for the treatment of hepatitis B. J. Med. Chem. 2008, 51, 666–676. [Google Scholar] [CrossRef]
- Ding, Y.; Zhang, H.; Li, X. Safety, pharmacokinetics and pharmacogenetics of a single ascending dose of pradefovir, a novel liver-targeting, anti-hepatitis B virus drug, in healthy Chinese subjects. Hepatol. Int. 2017, 11, 390–400. [Google Scholar] [CrossRef]
- Erion, M.D.; Cable, E.E.; Ito, B.R. Targeting thyroid hormone receptor-beta agonists to the liver reduces cholesterol and triglycerides and improves the therapeutic index. Proc. Natl. Acad. Sci. USA 2007, 104, 15490–15495. [Google Scholar] [CrossRef]
- Boyer, S.H.; Jiang, H.; Jacintho, J.D. Synthesis and biological evaluation of a series of liver-selective phosphonic acid thyroid hormone receptor agonists and their prodrugs. J. Med. Chem. 2008, 51, 7075–7093. [Google Scholar] [CrossRef]
- Tsukada, T.; Tamaki, K.; Tanaka, J. A prodrug approach towards the development of tricyclic-based FBPase inhibitors. Bioorg. Med. Chem. Lett. 2010, 20, 2938–2941. [Google Scholar] [CrossRef] [PubMed]
- Wei, Y.; Qiu, G.; Lei, B.; Qin, L.; Chu, H.; Lu, Y.; Zhu, G.; Gao, Q.; Huang, Q.; Qian, G.; et al. Oral Delivery of Propofol with Methoxymethylphosphonic Acid as the Delivery Vehicle. J. Med. Chem. 2017, 60, 8580–8590. [Google Scholar] [CrossRef] [PubMed]
- Chapman, H.; Kernan, M.; Prisbe, E.; Rohloff, J.; Sparacino, M.; Terhorst, T.; Yu, R. Practical synthesis, separation, and stereochemical assignment of the pmpa pro-drug GS-7340. Nucleosides Nucleotides Nucleic Acids 2001, 20, 621–628. [Google Scholar] [CrossRef] [PubMed]
- Sofia, M.J.; Bao, D.; Chang, W.; Du, J.; Nagarathnam, D.; Rachakonda, S.; Reddy, P.G.; Ross, B.S.; Wang, P.; Zhang, H.R.; et al. Discovery of a β-D-20 -Deoxy-20 -r-fluoro-20 -β-C-methyluridine Nucleotide Prodrug (PSI-7977) for the Treatment of Hepatitis C Virus. J. Med. Chem. 2010, 53, 7202–7218. [Google Scholar] [CrossRef] [PubMed]
- Warnecke, S.; Meier, C. Synthesis of Nucleoside Di- and Triphosphates and Dinucleoside Polyphosphates with cycloSal-Nucleotides. J. Org. Chem. 2009, 74, 3024–3030. [Google Scholar] [CrossRef] [PubMed]
- Balzarini, J.; Aquaro, S.; Knispel, T.; Rampazzo, C.; Bianchi, V.; Perno, C.-F.; De Clercq, E.; Meier, C. Cyclosaligenyl-2′,3′-didehydro-2′, 3′-dideoxythymidine monophosphate: Efficient intracellular delivery of d4TMP. Mol. Pharmacol. 2000, 58, 928–935. [Google Scholar] [CrossRef]
- Ford, A.; Mullins, N.D.; Balzarini, J.; Maguire, A.R. Synthesis and Evaluation of Prodrugs of α-Carboxy Nucleoside Phosphonates. J. Org. Chem. 2022, 87, 14793–14808. [Google Scholar] [CrossRef]
- Cho, A.; Zhang, L.; Xu, J.; Leem, R.; Butler, T.; Metobo, S.; Aktoudianakis, V.; Lew, W.; Ye, H.; Clarke, M. Discovery of the first C-nucleoside HCV polymerase inhibitor (GS-6620) with demonstrated antiviral response in HCV infected patients. J. Med. Chem. 2014, 57, 1812–1825. [Google Scholar] [CrossRef]
- Arbelo Roman, C.; Wasserthal, P.; Balzarini, J.; Meier, C. Diastereoselective synthesis of (aryloxy)phosphoramidate prodrugs. Eur. J. Org. Chem. 2011, 2011, 4899–4909. [Google Scholar] [CrossRef]
- Arbelo Roman, C.; Balzarini, J.; Meier, C. Diastereoselective synthesis of aryloxy phosphoramidate prodrugs of 3’-deoxy-2’,3’-didehydrothymidine monophosphate. J. Med. Chem. 2010, 53, 7675–7681. [Google Scholar] [CrossRef]
- Heidel, K.M.; Dowd, C.S. Phosphonate prodrugs: An overview and recent advances. Future Med. Chem. 2019, 11, 1625–1643. [Google Scholar] [CrossRef]
- Rudge, E.S.; Alex, H.Y.; Leeper, F.J. Prodrugs of pyrophosphates and bisphosphonates: Disguising phosphorus Oxyanions. RSC Med. Chem. 2022, 13, 375–391. [Google Scholar] [CrossRef] [PubMed]
- Krečmerová, M.; Majer, P.; Rais, R.; Slusher, B.S. Phosphonates and Phosphonate Prodrugs in Medicinal Chemistry: Past Successes and Future Prospects. Front. Chem. 2022, 10, 889737. [Google Scholar] [CrossRef] [PubMed]
- Pertusati, F.; Pileggi, E.; Richards, J.; Wootton, M.; Van Leemputte, T.; Persoons, L.; De Coster, D.; Villanueva, X.; Daelemans, D.; Steenackers, H.; et al. Drug repurposing: Phosphate prodrugs of anticancer and antiviral FDA-approved nucleosides as novel antimicrobials. J. Antimicrob. Chemother. 2020, 75, 2864–2878. [Google Scholar] [CrossRef] [PubMed]
Disclaimer/Publisher’s Note: The statements, opinions and data contained in all publications are solely those of the individual author(s) and contributor(s) and not of MDPI and/or the editor(s). MDPI and/or the editor(s) disclaim responsibility for any injury to people or property resulting from any ideas, methods, instructions or products referred to in the content. |
© 2023 by the authors. Licensee MDPI, Basel, Switzerland. This article is an open access article distributed under the terms and conditions of the Creative Commons Attribution (CC BY) license (https://creativecommons.org/licenses/by/4.0/).

































