Production of Strange and Charm Hadrons in Pb+Pb Collisions at = 5.02 TeV †
Abstract
1. Introduction
2. The Quark Combination Model
2.1. General Phase Space Structure of QCM in Heavy Ion Collisions
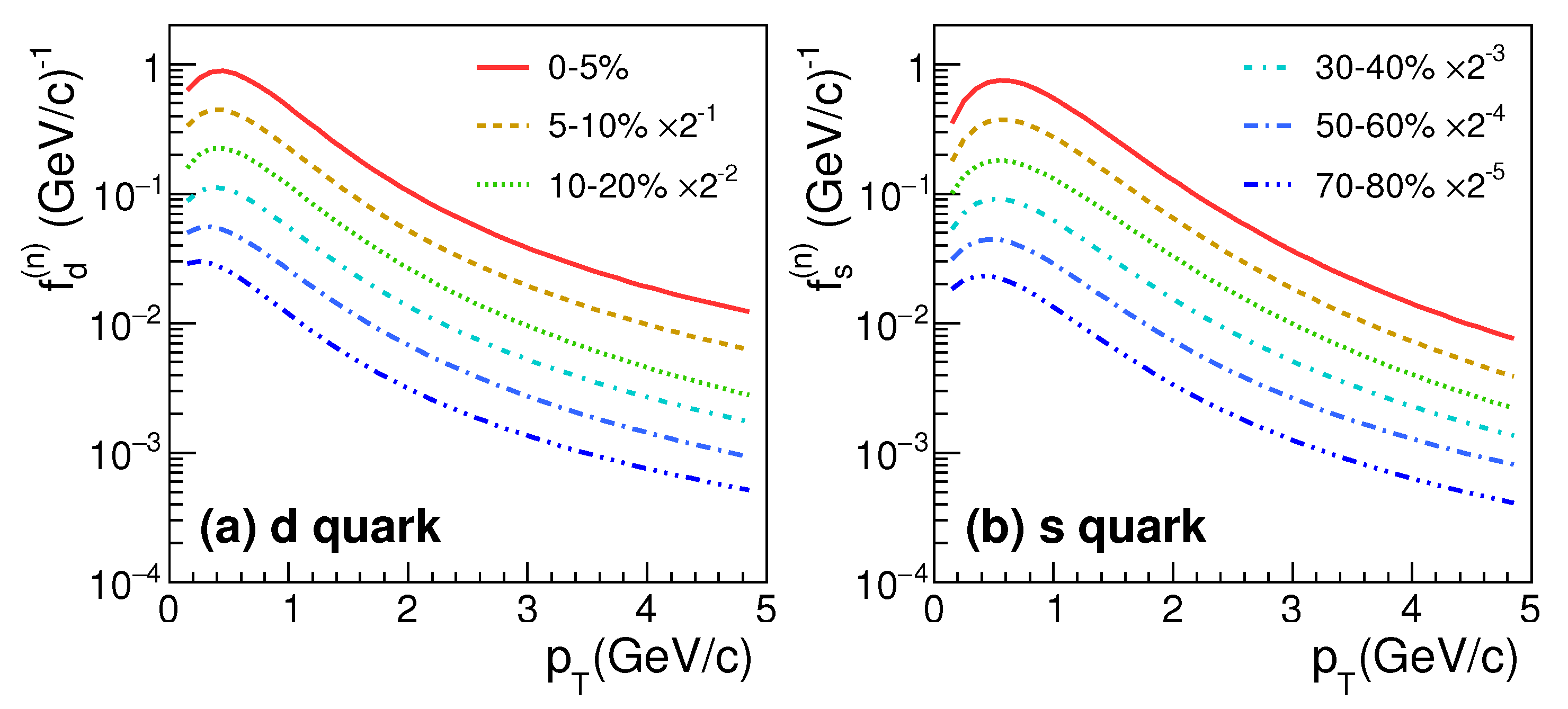
2.2. QCM in Momentum Space with Equal-Velocity Combination
3. Transverse Momentum Spectra and Baryon-to-Meson Ratio for Strange Hadrons
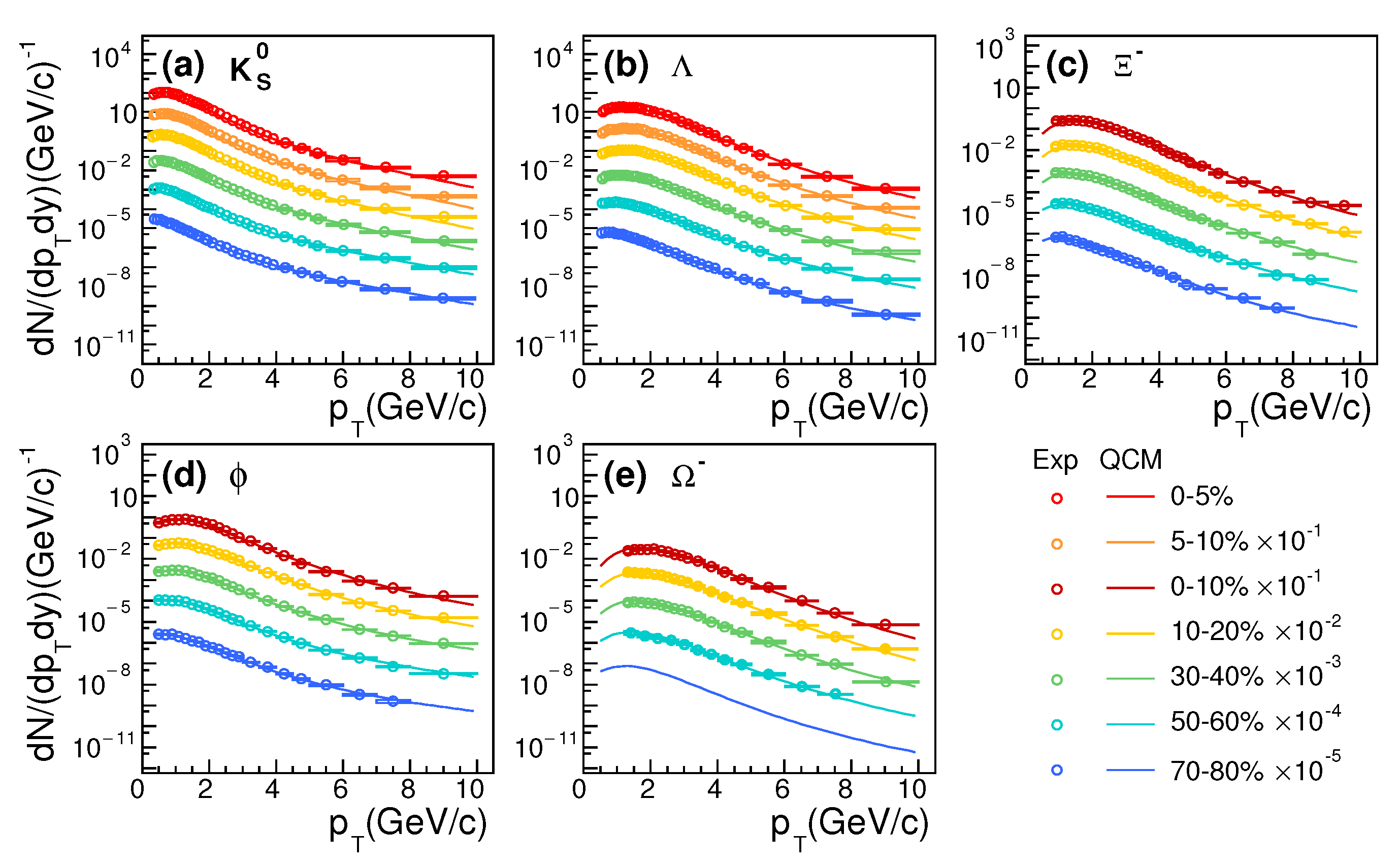
3.1. Transverse Momentum Spectra of Strange Hadrons
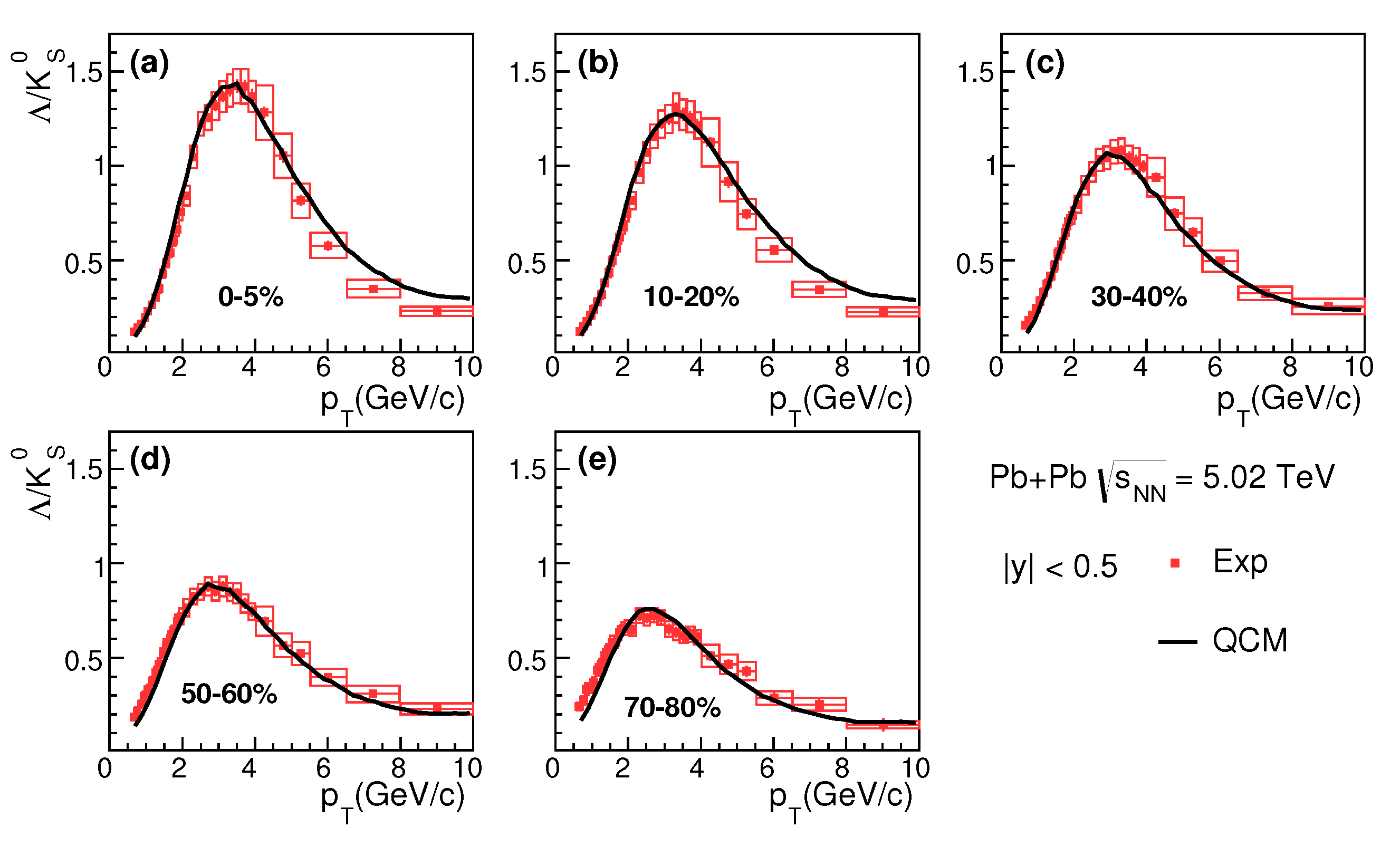
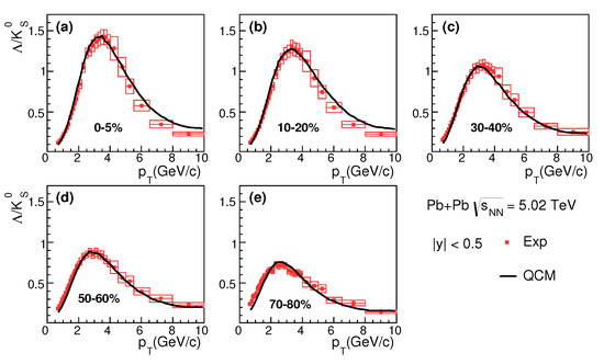
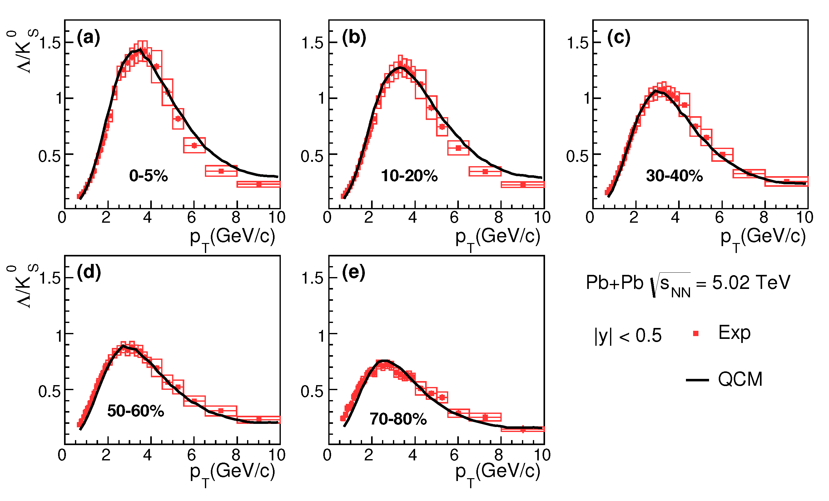
3.2. Baryon-To-Meson Ratio
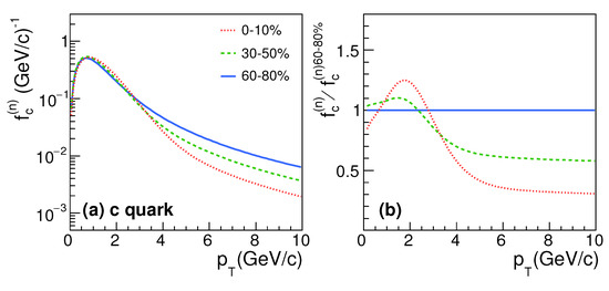
4. Transverse Momentum Spectra, Yield Ratios, and Nuclear Modification Factor for Charm Hadrons
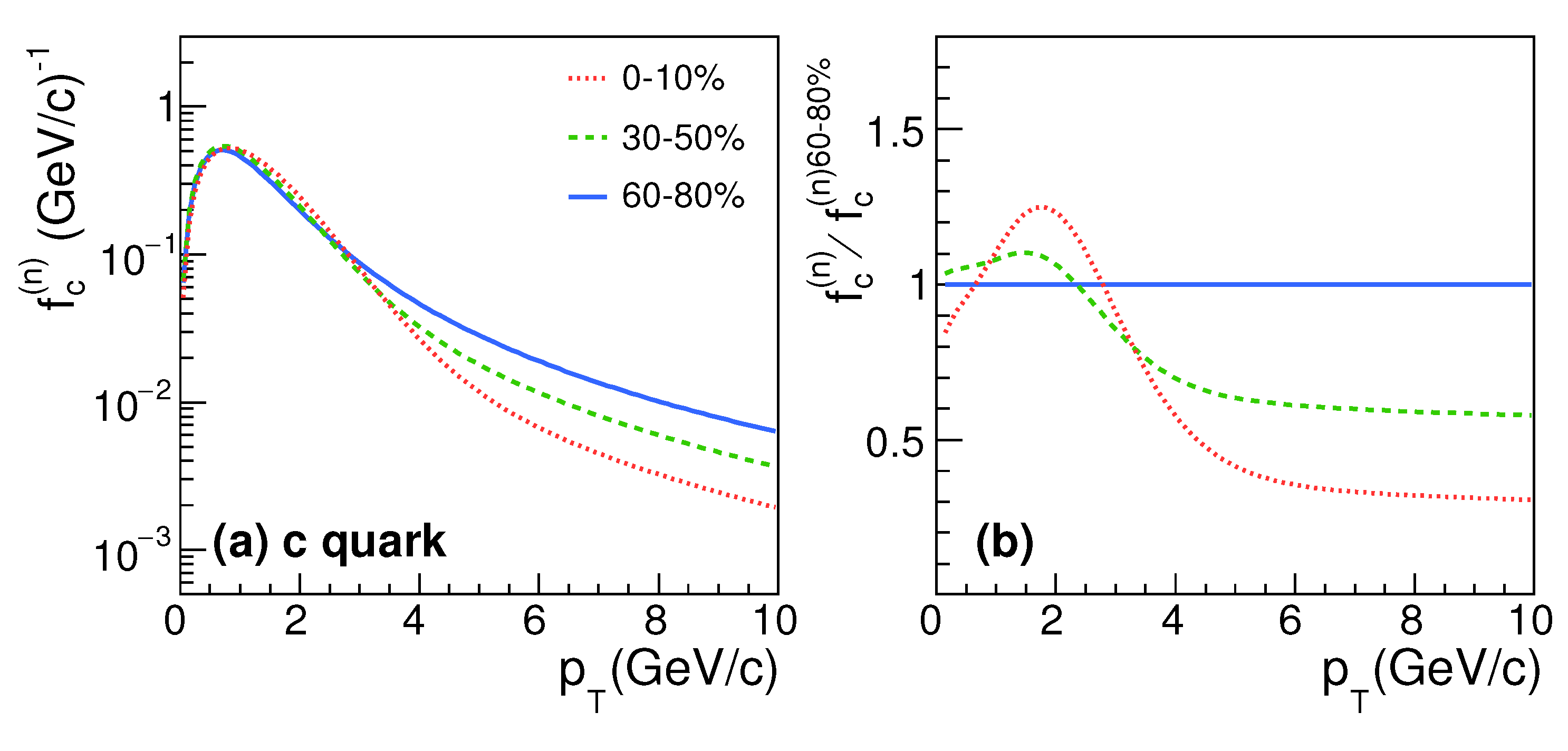
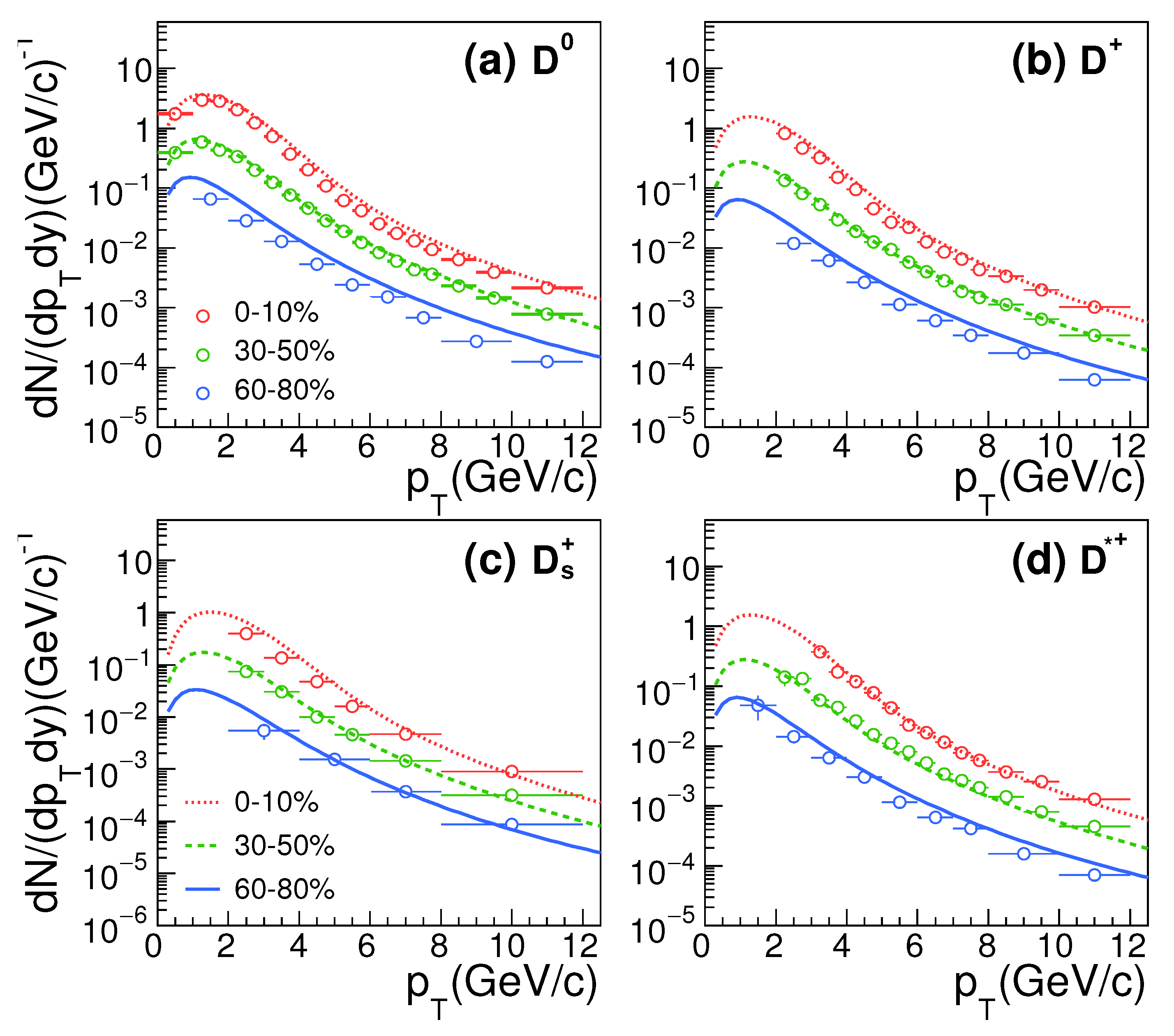
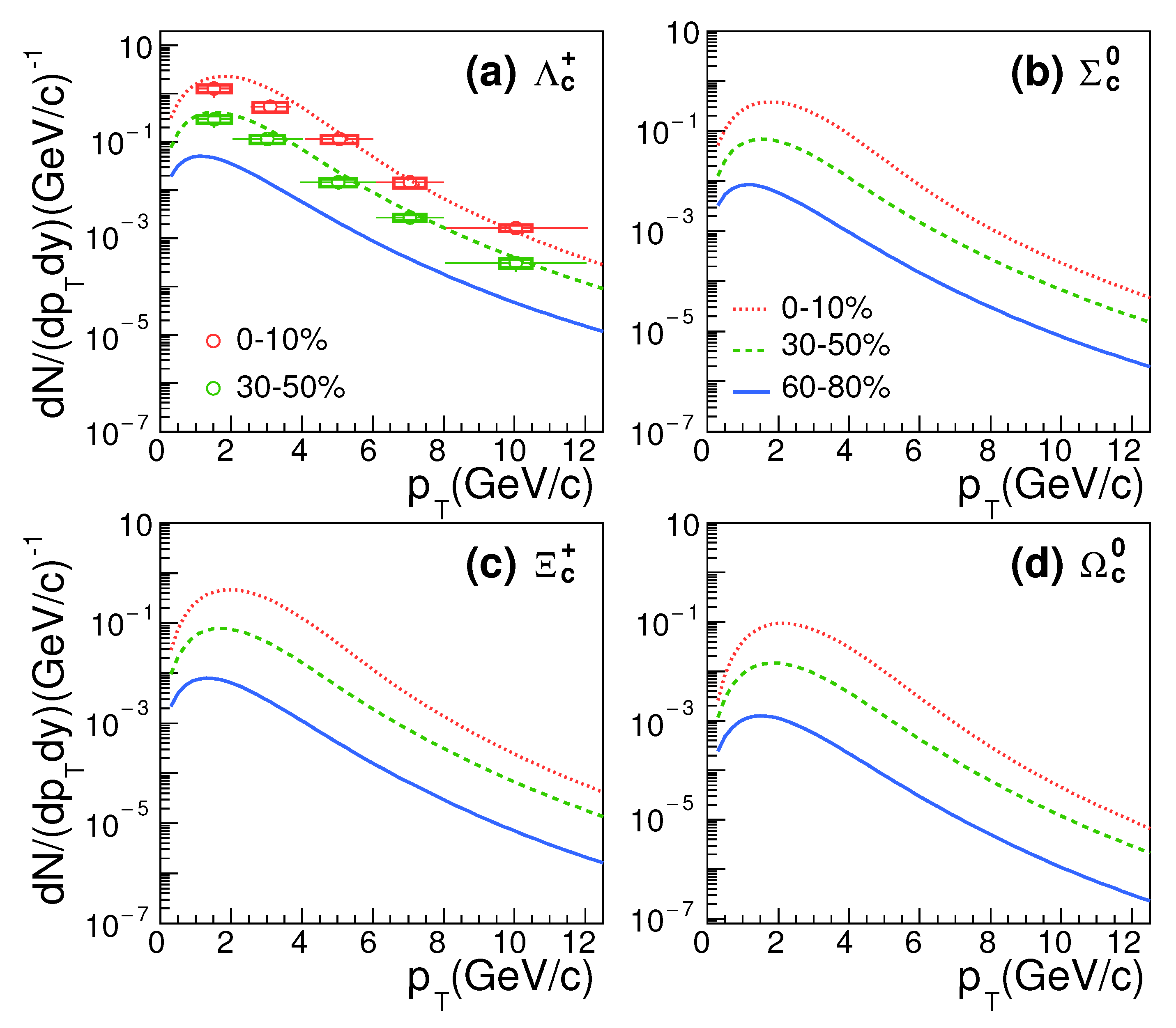
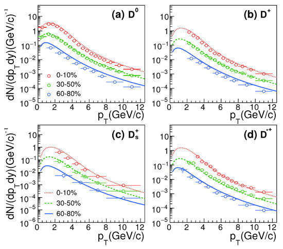
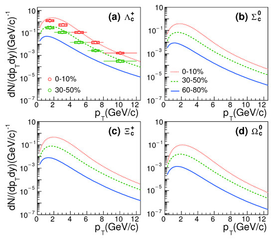
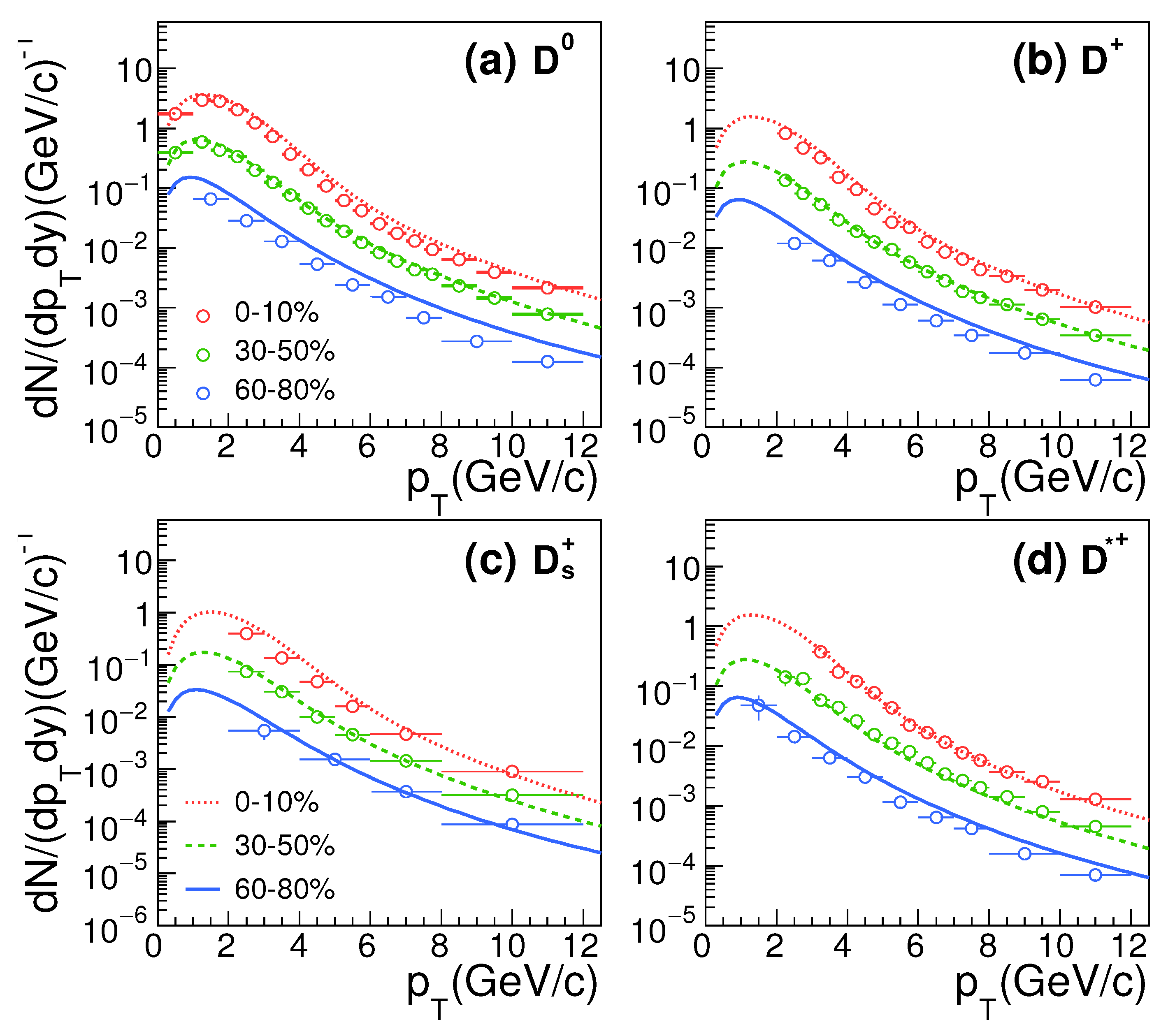
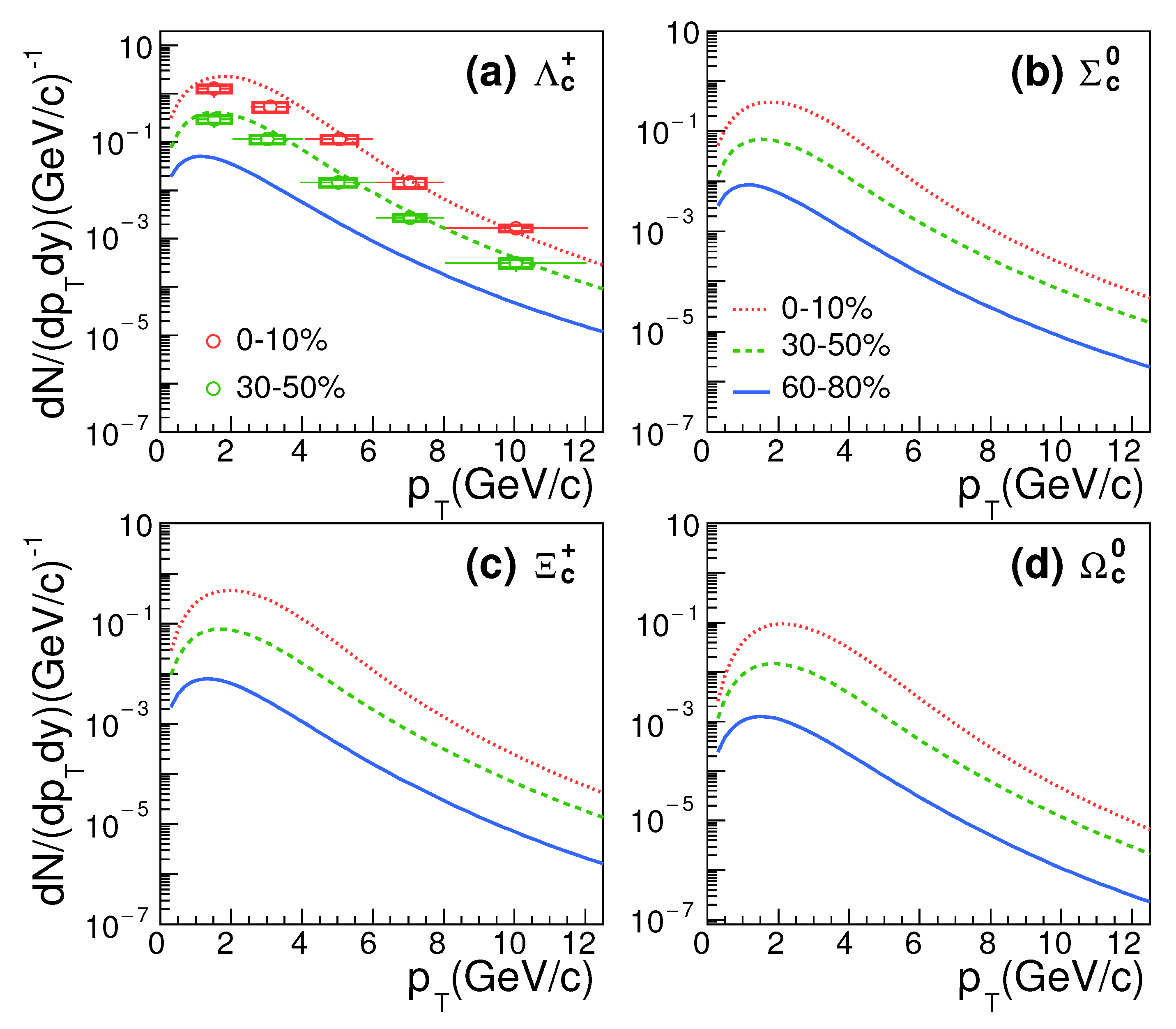
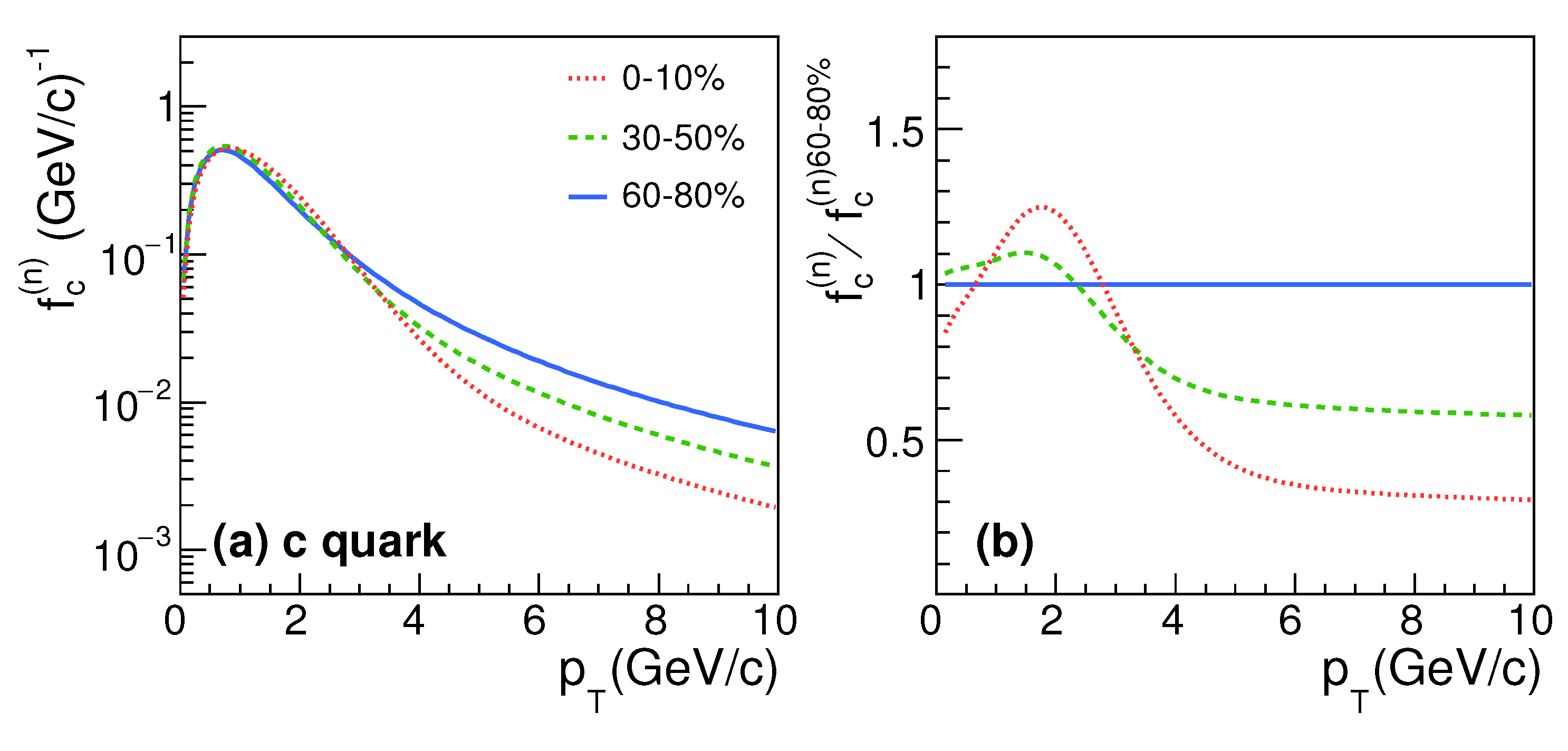
4.1. Transverse Momentum Spectra of Charm Mesons and Baryons
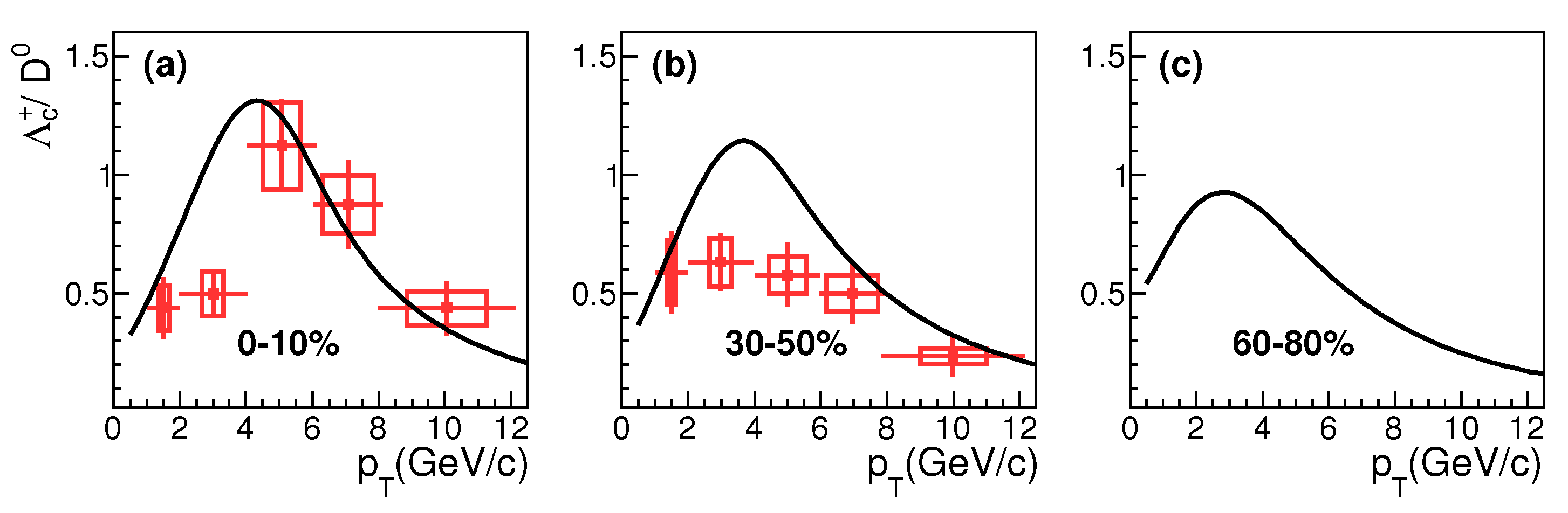
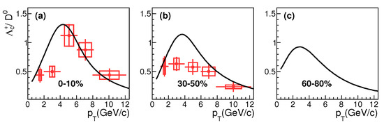
4.2. Yield Ratios for Charm Hadrons
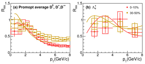
4.3. Nuclear Modification Factor
5. Summary
Author Contributions
Funding
Institutional Review Board Statement
Informed Consent Statement
Data Availability Statement
Acknowledgments
Conflicts of Interest
References
- Shuryak, E.V. Quantum Chromodynamics and the Theory of Superdense Matter. Phys. Rept. 1980, 61, 71–158. [Google Scholar] [CrossRef]
- Braun-Munzinger, P.; Wambach, J. The Phase Diagram of Strongly-Interacting Matter. Rev. Mod. Phys. 2009, 81, 1031–1050. [Google Scholar] [CrossRef]
- Fukushima, K.; Hatsuda, T. The phase diagram of dense QCD. Rept. Prog. Phys. 2011, 74, 014001. [Google Scholar] [CrossRef]
- Borsanyi, S.; Fodor, Z.; Hoelbling, C.; Katz, S.D.; Krieg, S.; Ratti, C.; Szabo, K.K. Is there still any Tc mystery in lattice QCD? Results with physical masses in the continuum limit III. JHEP 2010, 09, 073. [Google Scholar] [CrossRef]
- Bazavov, A.; Bhattacharya, T.; Cheng, M.; DeTar, C.; Ding, H.-T.; Gottlieb, S.; Gupta, R.; Hegde, P.; Heller, U.M.; Karsch, F.; et al. The chiral and deconfinement aspects of the QCD transition. Phys. Rev. D 2012, 85, 054503. [Google Scholar] [CrossRef]
- Ding, H.T.; Karsch, F.; Mukherjee, S. Thermodynamics of strong-interaction matter from Lattice QCD. Int. J. Mod. Phys. E 2015, 24, 1530007. [Google Scholar] [CrossRef]
- Adams, J.; Aggarwal, M.M.; Ahammed, Z.; Amonett, J.; Anderson, B.D.; Arkhipkin, D.; Averichev, G.S.; Badyal, S.K.; Bai, Y.; Balewski, J.; et al. Experimental and theoretical challenges in the search for the quark gluon plasma: The STAR Collaboration’s critical assessment of the evidence from RHIC collisions. Nucl. Phys. A 2005, 757, 102–183. [Google Scholar] [CrossRef]
- Adcox, K.; Adler, S.S.; Afanasiev, S.; Aidala, C.; Ajitanand, N.N.; Akiba, Y.; Al-Jamel, A.; Alexander, J.; Amirikas, R.; Aoki, K.; et al. Formation of dense partonic matter in relativistic nucleus-nucleus collisions at RHIC: Experimental evaluation by the PHENIX collaboration. Nucl. Phys. A 2005, 757, 184–283. [Google Scholar] [CrossRef]
- Back, B.B.; Baker, M.D.; Ballintijn, M.; Barton, D.S.; Becker, B.; Betts, R.R.; Bickley, A.A.; Bindel, R.; Budzanowski, A.; Busza, W.; et al. The PHOBOS perspective on discoveries at RHIC. Nucl. Phys. A 2005, 757, 28–101. [Google Scholar] [CrossRef]
- Arsene, I.; Bearden, I.G.; Beavis, D.; Besliu, C.; Budick, B.; Boggild, H.; Chasman, C.; Christensen, C.H.; Christiansen, P.; Cibor, J.; et al. Quark gluon plasma and color glass condensate at RHIC? The Perspective from the BRAHMS experiment. Nucl. Phys. A 2005, 757, 1–27. [Google Scholar] [CrossRef]
- Rafelski, J.; Muller, B. Strangeness Production in the Quark-Gluon Plasma. Phys. Rev. Lett. 1986, 48, 1066, Erratum in Phys. Rev. Lett. 1986, 56, 2334. [Google Scholar] [CrossRef]
- Shor, A. Phi meson production as a probe of the quark gluon plasma. Phys. Rev. Lett. 1985, 54, 1122–1125. [Google Scholar] [CrossRef] [PubMed]
- van Hecke, H.; Sorge, H.; Xu, N. Evidence of early multistrange hadron freezeout in high-energy nuclear collisions. Phys. Rev. Lett. 1998, 81, 5764–5767. [Google Scholar] [CrossRef]
- Matsui, T.; Satz, H. J/ψ Suppression by Quark-Gluon Plasma Formation. Phys. Lett. B 1986, 178, 416–422. [Google Scholar] [CrossRef]
- van Hees, H.; Greco, V.; Rapp, R. Heavy-quark probes of the quark-gluon plasma at RHIC. Phys. Rev. C 2006, 73, 034913. [Google Scholar] [CrossRef]
- Mocsy, A.; Petreczky, P. Color screening melts quarkonium. Phys. Rev. Lett. 2007, 99, 211602. [Google Scholar] [CrossRef]
- He, M.; Fries, R.J.; Rapp, R. Ds-Meson as Quantitative Probe of Diffusion and Hadronization in Nuclear Collisions. Phys. Rev. Lett. 2013, 110, 112301. [Google Scholar] [CrossRef]
- Braun-Munzinger, P.; Koch, V.; Schäfer, T.; Stachel, J. Properties of hot and dense matter from relativistic heavy ion collisions. Phys. Rept. 2016, 621, 76–126. [Google Scholar] [CrossRef]
- Batsouli, S.; Kelly, S.; Gyulassy, M.; Nagle, J.L. Does the charm flow at RHIC? Phys. Lett. B 2003, 557, 26–32. [Google Scholar] [CrossRef]
- Xu, N.; Xu, Z. Transverse dynamics at RHIC. Nucl. Phys. A 2003, 715, 587–590. [Google Scholar] [CrossRef]
- Lin, Z.W.; Molnar, D. Quark coalescence and elliptic flow of charm hadrons. Phys. Rev. C 2003, 68, 044901. [Google Scholar] [CrossRef]
- Moore, G.D.; Teaney, D. How much do heavy quarks thermalize in a heavy ion collision? Phys. Rev. C 2005, 71, 064904. [Google Scholar] [CrossRef]
- Abelev, B.I.; Aggarwal, M.M.; Ahammed, Z.; Anderson, B.D.; Arkhipkin, D.; Averichev, G.S.; Bai, Y.; Balewski, J.; Barannikova, O.; Barnby, L.S.; et al. Measurements of phi meson production in relativistic heavy-ion collisions at RHIC. Phys. Rev. C 2009, 79, 064903. [Google Scholar] [CrossRef]
- Adamczyk, L.; Adkins, J.K.; Agakishiev, G.; Aggarwal, M.M.; Ahammed, Z.; Alekseev, I.; Alford, J.; Aparin, A.; Arkhipkin, D.; Aschenauer, E.C.; et al. Probing parton dynamics of QCD matter with Ω and ϕ production. Phys. Rev. C 2016, 93, 021903. [Google Scholar] [CrossRef]
- Abelev, B.B.; Adam, J.; Adamova, D.; Adare, A.M.; Aggarwal, M.M.; Rinella, G.A.; Agnello, M.; Agocs, A.G.; Agostinelli, A.; Ahammed, Z.; et al. Multi-strange baryon production at mid-rapidity in Pb-Pb collisions at = 2.76 TeV. Phys. Lett. B 2014, 728, 216–227, Erratum in Phys. Lett. B 2014, 734, 409–410. [Google Scholar] [CrossRef]
- Adler, S.S.; Afanasiev, S.; Aidala, C.; Ajitanand, N.N.; Akiba, Y.; Alexander, J.; Amirikas, R.; Aphecetche, L.; Aronson, S.H.; Averbeck, R.; et al. Centrality dependence of charm production from single electrons measurement in Au + Au collisions at s(NN)**(1/2) = 200-GeV. Phys. Rev. Lett. 2005, 94, 082301. [Google Scholar] [CrossRef] [PubMed]
- Adams, J.; Aggarwal, M.M.; Ahammed, Z.; Amonett, J.; Anderson, B.D.; Arkhipkin, D.; Averichev, G.S.; Badyal, S.K.; Bai, Y.; Balewski, J.; et al. Open charm yields in d + Au collisions at s(NN)**(1/2) = 200-GeV. Phys. Rev. Lett. 2005, 94, 062301. [Google Scholar] [CrossRef]
- Abelev, B.; Adam, J.; Adamova, D.; Adare, A.M.; Aggarwal, M.; Rinella, G.A.; Agocs, A.G.; Agostinelli, A.; Salazar, S.A.; Ahammed, Z.; et al. Measurement of charm production at central rapidity in proton-proton collisions at = 2.76 TeV. JHEP 2012, 7, 191. [Google Scholar] [CrossRef]
- Abelev, B.; Adam, J.; Adamova, D.; Adare, A.M.; Aggarwal, M.; Rinella, G.A.; Agocs, A.G.; Agostinelli, A.; Salazar, S.A.; Ahammed, Z.; et al. Suppression of high transverse momentum D mesons in central Pb-Pb collisions at = 2.76 TeV. JHEP 2012, 9, 112. [Google Scholar] [CrossRef]
- Adam, J.; Adamczyk, L.; Adams, J.; Adkins, K.; Agakishiev, G.; Aggarwal, M.; Ahammed, Z.; Alekseev, I.; Anderson, D.; Aoyama, R.; et al. Centrality and transverse momentum dependence of D0-meson production at mid-rapidity in Au+Au collisions at = 200 GeV. Phys. Rev. C 2019, 99, 034908. [Google Scholar] [CrossRef]
- Acharya, S.; Acosta, F.T.; Adamová, D.; Adolfsson, J.; Aggarwal, M.M.; Rinella, G.A.; Agnello, M.; Agrawal, N.; Ahammed, Z.; Ahn, S.U.; et al. Measurement of D0, D+, D*+ and Ds+ production in Pb-Pb collisions at = 5.02 TeV. JHEP 2018, 10, 174. [Google Scholar] [CrossRef]
- Radhakrishnan, S. Measurements of open charm production in Au+Au collisions at = 200GeV with the STAR experiment at RHIC. Nucl. Phys. A 2019, 982, 659–662. [Google Scholar] [CrossRef]
- Zhou, L. Measurements of Λc+ and Ds+ productions in Au+Au collisions at = 200 GeV from STAR. Nucl. Phys. A 2017, 967, 620–623. [Google Scholar] [CrossRef]
- Acharya, S.; Adamová, D.; Adhya, S.P.; Adler, A.; Adolfsson, J.; Aggarwal, M.M.; Rinella, G.A.; Agnello, M.; Agrawal, N.; Ahammed, Z.; et al. Measurement of prompt D0, D+, D*+, and DS+ production in p–Pb collisions at = 5.02 TeV. JHEP 2019, 12, 092. [Google Scholar] [CrossRef]
- Acharya, S.; Acosta, F.T.; Adamova, D.; Adhya, S.P.; Adler, A.; Adolfsson, J.; Aggarwal, M.M.; Rinella, G.A.; Agnello, M.; Agrawal, N.; et al. Λc+ production in Pb-Pb collisions at = 5.02 TeV. Phys. Lett. B 2019, 793, 212–223. [Google Scholar] [CrossRef]
- Acharya, S.; Acosta, F.T.; Adamová, D.; Adolfsson, J.; Aggarwal, M.M.; Rinella, G.A.; Agnello, M.; Agrawal, N.; Ahammed, Z.; Ahn, S.U.; et al. Λc+ production in pp collisions at = 7 TeV and in p-Pb collisions at = 5.02 TeV. JHEP 2018, 04, 108. [Google Scholar] [CrossRef]
- Adams, J.; Aggarwal, M.M.; Ahammed, Z.; Amonett, J.; Anderson, B.D.; Anderson, M.; Arkhipkin, D.; Averichev, G.S.; Bai, Y.; Balewski, J.; et al. Scaling Properties of Hyperon Production in Au+Au Collisions at s**(1/2) = 200-GeV. Phys. Rev. Lett. 2007, 98, 062301. [Google Scholar] [CrossRef]
- Adams, J.; Aggarwal, M.M.; Ahammed, Z.; Amonett, J.; Anderson, B.D.; Anderson, M.; Arkhipkin, D.; Averichev, G.S.; Bai, Y.; Balewski, J.; et al. Bulk Properties of the Medium Produced in Relativistic Heavy-Ion Collisions from the Beam Energy Scan Program. Phys. Rev. C 2017, 96, 044904. [Google Scholar] [CrossRef]
- Adam, J.; Adamczyk, L.; Adams, J.; Adkins, K.; Agakishiev, G.; Aggarwal, M.; Ahammed, Z.; Alekseev, I.; Anderson, D.; Aoyama, R.; et al. Strange hadron production in Au+Au collisions at = 7.7, 11.5, 19.6, 27, and 39 GeV. Phys. Rev. C 2020, 102, 034909. [Google Scholar] [CrossRef]
- Acharya, S.; Adamova, D.; Adler, A.; Adolfsson, J.; Rinella, G.A.; Agnello, M.; Agrawal, N.; Ahammed, Z.; Ahmad, S.; Ahn, S.U.; et al. Production of K*(892)0 and ϕ(1020) in pp and Pb-Pb collisions at = 5.02 TeV. Phys. Rev. C 2022, 106, 034907. [Google Scholar] [CrossRef]
- Abelev, B.I.; Aggarwal, M.M.; Ahammed, Z.; Anderson, B.D.; Anderson, M.; Arkhipkin, D.; Averichev, G.S.; Bai, Y.; Balewski, J.; Barannikova, O.; et al. Identified baryon and meson distributions at large transverse momenta from Au+Au collisions at s(NN)**(1/2) = 200-GeV. Phys. Rev. Lett. 2006, 97, 152301. [Google Scholar] [CrossRef]
- Adare, A.; Afanasiev, S.; Aidala, C.; Ajitanand, N.N.; Akiba, Y.; Al-Bataineh, H.; Alexander, J.; Al-Jamel, A.; Aoki, K.; Aphecetche, L.; et al. Scaling properties of azimuthal anisotropy in Au+Au and Cu+Cu collisions at s(NN) = 200-GeV. Phys. Rev. Lett. 2007, 98, 162301. [Google Scholar] [CrossRef] [PubMed]
- Blume, C.; Markert, C. Strange hadron production in heavy ion collisions from SPS to RHIC. Prog. Part. Nucl. Phys. 2011, 66, 834–879. [Google Scholar] [CrossRef]
- Abelev, B.B.; Adam, J.; Adamova, D.; Aggarwal, M.M.; Rinella, G.A.; Agnello, M.; Agostinelli, A.; Agrawal, N.; Ahammed, Z.; Ahmad, N.; et al. Production of charged pions, kaons and protons at large transverse momenta in pp and Pb–Pb collisions at = 2.76 TeV. Phys. Lett. B 2014, 736, 196–207. [Google Scholar] [CrossRef]
- Kolb, P.F.; Heinz, U.W.; Huovinen, P.; Eskola, K.J.; Tuominen, K. Centrality dependence of multiplicity, transverse energy, and elliptic flow from hydrodynamics. Nucl. Phys. A 2001, 696, 197–215. [Google Scholar] [CrossRef]
- Shen, C.; Heinz, U.; Huovinen, P.; Song, H. Systematic parameter study of hadron spectra and elliptic flow from viscous hydrodynamic simulations of Au+Au collisions at = 200 GeV. Phys. Rev. C 2010, 82, 054904. [Google Scholar] [CrossRef]
- Andronic, A.; Braun-Munzinger, P.; Redlich, K.; Stachel, J. Charmonium and open charm production in nuclear collisions at SPS/FAIR energies and the possible influence of a hot hadronic medium. Phys. Lett. B 2008, 659, 149–155. [Google Scholar] [CrossRef]
- Kuznetsova, I.; Rafelski, J. heavy-flavor hadrons in statistical hadronization of strangeness-rich QGP. Eur. Phys. J. C 2007, 51, 113–133. [Google Scholar] [CrossRef][Green Version]
- Andronic, A.; Arleo, F.; Arnaldi, R.; Beraudo, A.; Bruna, E.; Caffarri, D.; Valle, Z.C.D.; Contreras, J.G.; Dahms, T.; Dainese, A.; et al. Heavy-flavour and quarkonium production in the LHC era: From proton–proton to heavy-ion collisions. Eur. Phys. J. C 2016, 76, 107. [Google Scholar] [CrossRef]
- Greco, V.; Ko, C.M.; Lévai, P. Parton coalescence and anti-proton/pion anomaly at RHIC. Phys. Rev. Lett. 2003, 90, 202302. [Google Scholar] [CrossRef]
- Fries, R.J.; Müller, B.; Nonaka, C.; Bass, S.A. Hadronization in heavy ion collisions: Recombination and fragmentation of partons. Phys. Rev. Lett. 2003, 90, 202303. [Google Scholar] [CrossRef] [PubMed]
- Hwa, R.C.; Yang, C.B. Scaling behavior at high p(T) and the p/pi ratio. Phys. Rev. 2003, C67, 034902. [Google Scholar] [CrossRef]
- Shao, F.l.; Xie, Q.b.; Wang, Q. Production rates for hadrons, pentaquarks Theta+ and Theta*++, and di-baryon (Omega Omega)(0+) in relativistic heavy ion collisions by a quark combination model. Phys. Rev. C 2005, 71, 044903. [Google Scholar] [CrossRef]
- Greco, V.; Ko, C.M.; Rapp, R. Quark coalescence for charmed mesons in ultrarelativistic heavy ion collisions. Phys. Lett. B 2004, 595, 202–208. [Google Scholar] [CrossRef]
- Oh, Y.; Ko, C.M.; Lee, S.H.; Yasui, S. Heavy baryon/meson ratios in relativistic heavy ion collisions. Phys. Rev. C 2009, 79, 044905. [Google Scholar] [CrossRef]
- Liu, Y.; Greiner, C.; Kostyuk, A. Bc meson enhancement and the momentum dependence in Pb + Pb collisions at energies available at the CERN Large Hadron Collider. Phys. Rev. C 2013, 87, 014910. [Google Scholar] [CrossRef]
- Lee, S.H.; Ohnishi, K.; Yasui, S.; Yoo, I.K.; Ko, C.M. Lambda(c) enhancement from strongly coupled quark-gluon plasma. Phys. Rev. Lett. 2008, 100, 222301. [Google Scholar] [CrossRef]
- He, M.; Fries, R.J.; Rapp, R. Heavy-Quark Diffusion and Hadronization in Quark-Gluon Plasma. Phys. Rev. C 2012, 86, 014903. [Google Scholar] [CrossRef]
- Plumari, S.; Minissale, V.; Das, S.K.; Coci, G.; Greco, V. Charmed Hadrons from Coalescence plus Fragmentation in relativistic nucleus-nucleus collisions at RHIC and LHC. Eur. Phys. J. C 2018, 78, 348. [Google Scholar] [CrossRef]
- Zhao, J.; Shi, S.; Xu, N.; Zhuang, P. Sequential Coalescence with Charm Conservation in High Energy Nuclear Collisions. arXiv 2018, arXiv:1805.10858. [Google Scholar]
- Cho, S.; Sun, K.J.; Ko, C.M.; Lee, S.H.; Oh, Y. Charmed hadron production in an improved quark coalescence model. Phys. Rev. C 2020, 101, 024909. [Google Scholar] [CrossRef]
- Wang, R.q.; Song, J.; Shao, F.l. Yield correlations and pT dependence of charm hadrons in Pb + Pb collisions at = 2.76 TeV. Phys. Rev. C 2015, 91, 014909. [Google Scholar] [CrossRef]
- He, M.; Fries, R.J.; Rapp, R. heavy-flavor at the Large Hadron Collider in a Strong Coupling Approach. Phys. Lett. B 2014, 735, 445–450. [Google Scholar] [CrossRef]
- Molnar, D.; Voloshin, S.A. Elliptic flow at large transverse momenta from quark coalescence. Phys. Rev. Lett. 2003, 91, 092301. [Google Scholar] [CrossRef]
- Xie, Q.B.; Mo, W.C.; Li, Y.F. THE COMBINATION RULE OF QUARKS IN E+ E- ANNIHILATION. (IN CHINESE). HEPNP 1984, 8, 642–647. [Google Scholar]
- Xie, Q.B.; Liu, X.M. Quark Production Rule in e+e−→ Two Jets. Phys. Rev. D 1988, 38, 2169–2177. [Google Scholar] [CrossRef]
- Xie, Q.B. Quark combination rule and correlations between baryons. In Proceedings of the 19th International Symposium on Multiparticle Dynamics: New Data and Theoretical Trends, Arles, France, 13–17 June 1988. [Google Scholar]
- Chen, C.J.; Ma, W.J.; Xie, Q.B. THE NEAREST CORRELATION IN RAPIDITY AND THE MULTIPLICITY DISTRIBUTION IN E+ E- ANNIHILATION. J. Phys. G 1988, 14, 1339–1344. [Google Scholar] [CrossRef]
- Fang, H.P.; Xie, Q.B.; Lai, X.P. RAPIDITY DISTRIBUTION AND BARYON-ANTI-BARYON CORRELATIONS IN E+ E- —> TWO JET EVENTS. (IN CHINESE). HEPNP 1989, 13, 518–525. [Google Scholar]
- Liang, Z.T.; Xie, Q.B. Baryon anti-baryon flavor correlations in e+ e- annihilation. Phys. Rev. D 1991, 43, 751–759. [Google Scholar] [CrossRef]
- Shao, C.E.; Song, J.; Shao, F.L.; Xie, Q.B. Hadron production by quark combination in central Pb+Pb collisions at s(NN)**(1/2) = 17.3-GeV. Phys. Rev. 2009, C80, 014909. [Google Scholar] [CrossRef]
- Song, J.; Shao, F.L. Baryon-antibaryon production asymmetry in relativistic heavy ion collisions. Phys. Rev. C 2013, 88, 027901. [Google Scholar] [CrossRef]
- Song, J.; Gou, X.R.; Shao, F.L.; Liang, Z.T. Quark number scaling of hadronic pT spectra and constituent quark degree of freedom in p-Pb collisions at = 5.02 TeV. Phys. Lett. 2017, B774, 516–521. [Google Scholar] [CrossRef]
- Gou, X.R.; Shao, F.L.; Wang, R.Q.; Li, H.H.; Song, J. New insights into hadron production mechanism from pT spectra in pp collisions at = 7 TeV. Phys. Rev. 2017, D96, 094010. [Google Scholar] [CrossRef]
- Wang, R.Q.; Song, J.; Shao, F.L.; Liang, Z.T. Charmed hadron production via equal-velocity quark combination in ultrarelativistic heavy ion collisions. Phys. Rev. C 2020, 101, 054903. [Google Scholar] [CrossRef]
- Song, J.; Shao, F.L.; Liang, Z.T. Quark number scaling of pT spectra for Ω and ϕ in relativistic heavy-ion collisions. Phys. Rev. C 2020, 102, 014911. [Google Scholar] [CrossRef]
- Li, H.H.; Shao, F.L.; Song, J. Production of light-flavor and single-charmed hadrons in pp collisions at = 5.02 TeV in an equal-velocity quark combination model. Chin. Phys. C 2021, 45, 113105. [Google Scholar] [CrossRef]
- Song, J.; Li, H.H.; Shao, F.L. Signals of quark combination at hadronization in pp collisions at = 200 GeV. Phys. Rev. D 2022, 105, 074027. [Google Scholar] [CrossRef]
- Song, J.; Li, H.H.; Shao, F.L. New feature of low pT charm quark hadronization in pp collisions at = 7 TeV. Eur. Phys. J. C 2018, 78, 344. [Google Scholar] [CrossRef]
- Li, H.H.; Shao, F.L.; Song, J.; Wang, R.Q. Production of single-charm hadrons by quark combination mechanism in p-Pb collisions at = 5.02 TeV. Phys. Rev. 2018, C97, 064915. [Google Scholar] [CrossRef]
- Acharya, S.; Adamova, D.; Adler, A.; Adolfsson, J.; Rinella, G.A.; Agnello, M.; Agrawal, N.; Ahammed, Z.; Ahmad, S.; Ahn, S.U.; et al. Measurement of Prompt D0, Λc+, and Σc0,++(2455) Production in Proton–Proton Collisions at s = 13 TeV. Phys. Rev. Lett. 2022, 128, 012001. [Google Scholar] [CrossRef]
- First measurement of Λc+ production down to pT = 0 in pp and p-Pb collisions at = 5.02 TeV. arXiv 2022, arXiv:2211.14032.
- Acharya, S.; Adamova, D.; Adler, A.; Adolfsson, J.; Rinella, G.A.; Agnello, M.; Agrawal, N.; Ahammed, Z.; Ahmad, S.; Ahn, S.U.; et al. Inclusive heavy-flavour production at central and forward rapidity in Xe-Xe collisions at = 5.44 TeV. Phys. Lett. B 2021, 819, 136437. [Google Scholar] [CrossRef]
- Acharya, S.; Adamová, D.; Adler, A.; Adolfsson, J.; Rinella, G.A.; Agnello, M.; Agrawal, N.; Ahammed, Z.; Ahmad, S.; Ahn, S.U.; et al. Prompt D0, D+, and D*+ production in Pb–Pb collisions at = 5.02 TeV. JHEP 2022, 1, 174. [Google Scholar] [CrossRef]
- Acharya, S.; Adamova, D.; Adler, A.; Adolfsson, J.; Rinella, G.A.; Agnello, M.; Agrawal, N.; Ahammed, Z.; Ahmad, S.; Ahn, S.U.; et al. Measurement of prompt Ds+-meson production and azimuthal anisotropy in Pb–Pb collisions at = 5.02TeV. Phys. Lett. B 2022, 827, 136986. [Google Scholar] [CrossRef]
- Acharya, S.; Adamova, D.; Adler, A.; Adolfsson, J.; Rinella, G.A.; Agnello, M.; Agrawal, N.; Ahammed, Z.; Ahmad, S.; Ahn, S.U.; et al. Constraining hadronization mechanisms with Λc+/D0 production ratios in Pb-Pb collisions at = 5.02 TeV. arXiv 2021, arXiv:2112.08156. [Google Scholar]
- Yang, Y.g.; Song, J.; Shao, F.l.; Liang, Z.t.; Wang, Q. Statistical method in quark combination model. Chin. Phys. C 2020, 44, 034103. [Google Scholar] [CrossRef]
- Wang, Q.; Xie, Q.B. Production percentages of excited baryons in e+ e- annihilation. J. Phys. G 1995, 21, 897–904. [Google Scholar] [CrossRef]
- Wang, R.q.; Shao, F.l.; Song, J.; Xie, Q.b.; Liang, Z.t. Hadron Yield Correlation in Combination Models in High Energy AA Collisions. Phys. Rev. C 2012, 86, 054906. [Google Scholar] [CrossRef]
- Liang, Z.T.; Wang, X.N. Spin alignment of vector mesons in non-central A+A collisions. Phys. Lett. B 2005, 629, 20–26. [Google Scholar] [CrossRef]
- Yang, Y.G.; Fang, R.H.; Wang, Q.; Wang, X.N. Quark coalescence model for polarized vector mesons and baryons. Phys. Rev. C 2018, 97, 034917. [Google Scholar] [CrossRef]
- Sheng, X.L.; Oliva, L.; Wang, Q. What can we learn from the global spin alignment of ϕ mesons in heavy-ion collisions? Phys. Rev. D 2022, 101, 096005. [Google Scholar] [CrossRef]
- Sheng, X.L.; Oliva, L.; Liang, Z.T.; Wang, Q.; Wang, X.N. Spin alignment of vector mesons in heavy-ion collisions. arXiv 2022, arXiv:2205.15689. [Google Scholar]
- Wiedemann, U.A.; Scotto, P.; Heinz, U.W. Transverse momentum dependence of Hanbury-Brown-Twiss correlation radii. Phys. Rev. C 1996, 53, 918–931. [Google Scholar] [CrossRef] [PubMed]
- Retiere, F.; Lisa, M.A. Observable implications of geometrical and dynamical aspects of freeze out in heavy ion collisions. Phys. Rev. C 2004, 70, 044907. [Google Scholar] [CrossRef]
- Tanabashi, M.; Hagiwara, K.; Hikasa, K.; Nakamura, K.; Sumino, Y.; Takahashi, F.; Tanaka, J.; Agashe, K.; Aielli, G.; Amsler, C.; et al. Review of Particle Physics. Phys. Rev. D 2018, 98, 030001. [Google Scholar] [CrossRef]
- Acharya, S.; Adamova, D.; Adler, A.; Adolfsson, J.; Aggarwal, M.M.; Rinella, G.A.; Agnello, M.; Agrawal, N.; Ahammed, Z.; Ahmad, S.; et al. Evidence of rescattering effect in Pb-Pb collisions at the LHC through production of K*(892)0 and ϕ(1020) mesons. Phys. Lett. B 2020, 802, 135225. [Google Scholar] [CrossRef]
- Kalinak, P. Strangeness production in Pb-Pb collisions with ALICE at the LHC. PoS 2017, EPS-HEP2017, 168. [Google Scholar] [CrossRef][Green Version]
- Greco, V.; Ko, C.M.; Lévai, P. Parton coalescence at RHIC. Phys. Rev. C 2003, 68, 034904. [Google Scholar] [CrossRef]
- Fries, R.J.; Muller, B.; Nonaka, C.; Bass, S.A. Hadron production in heavy ion collisions: Fragmentation and recombination from a dense parton phase. Phys. Rev. C 2003, 68, 044902. [Google Scholar] [CrossRef]
- Scardina, F.; Das, S.K.; Minissale, V.; Plumari, S.; Greco, V. Estimating the charm quark diffusion coefficient and thermalization time from D meson spectra at energies available at the BNL Relativistic Heavy Ion Collider and the CERN Large Hadron Collider. Phys. Rev. C 2017, 96, 044905. [Google Scholar] [CrossRef]









| Centrality | ||
|---|---|---|
| 0–5% | 840 | 370 |
| 5–10% | 686 | 302 |
| 10–20% | 516 | 227 |
| 30–40% | 267 | 115 |
| 50–60% | 97 | 40 |
| 70–80% | 27 | 10 |
| Centrality | 0–10% | 30–50% | 60–80% |
|---|---|---|---|
| (GeV/c) | 0.0051 | 0.10 | 0.63 |
| 0.5 | 1.0 | 1.5 | |
| (GeV) | 0.46 | 0.38 | 0.34 |
| 3.10 | 3.00 | 2.95 | |
| (GeV) | 0.6 | 0.6 | 0.7 |
| 23.07 | 3.90 | 0.417 |
| Hadron | 0–10% | 30–50% | 60–80% | |||||
|---|---|---|---|---|---|---|---|---|
| Data | QCM | Data | QCM | Data | QCM | |||
| 8.438 | 1.436 | — | 0.157 | |||||
| 3.563 | 0.606 | — | 0.0665 | |||||
| 3.600 | 0.613 | — | 0.0672 | |||||
| 2.417 | 0.395 | — | 0.0368 | |||||
| — | 5.983 | — | 1.026 | — | 0.115 | |||
| — | 0.997 | — | 0.171 | — | 0.0192 | |||
| — | 0.997 | — | 0.171 | — | 0.0192 | |||
| — | 1.211 | — | 0.199 | — | 0.0189 | |||
| — | 1.211 | — | 0.199 | — | 0.0189 | |||
| — | 0.246 | — | 0.0386 | — | 0.00311 | |||
Disclaimer/Publisher’s Note: The statements, opinions and data contained in all publications are solely those of the individual author(s) and contributor(s) and not of MDPI and/or the editor(s). MDPI and/or the editor(s) disclaim responsibility for any injury to people or property resulting from any ideas, methods, instructions or products referred to in the content. |
© 2023 by the authors. Licensee MDPI, Basel, Switzerland. This article is an open access article distributed under the terms and conditions of the Creative Commons Attribution (CC BY) license (https://creativecommons.org/licenses/by/4.0/).
Share and Cite
Chang, W.-B.; Wang, R.-Q.; Song, J.; Shao, F.-L.; Wang, Q.; Liang, Z.-T. Production of Strange and Charm Hadrons in Pb+Pb Collisions at = 5.02 TeV. Symmetry 2023, 15, 400. https://doi.org/10.3390/sym15020400
Chang W-B, Wang R-Q, Song J, Shao F-L, Wang Q, Liang Z-T. Production of Strange and Charm Hadrons in Pb+Pb Collisions at = 5.02 TeV. Symmetry. 2023; 15(2):400. https://doi.org/10.3390/sym15020400
Chicago/Turabian StyleChang, Wen-Bin, Rui-Qin Wang, Jun Song, Feng-Lan Shao, Qun Wang, and Zuo-Tang Liang. 2023. "Production of Strange and Charm Hadrons in Pb+Pb Collisions at = 5.02 TeV" Symmetry 15, no. 2: 400. https://doi.org/10.3390/sym15020400
APA StyleChang, W.-B., Wang, R.-Q., Song, J., Shao, F.-L., Wang, Q., & Liang, Z.-T. (2023). Production of Strange and Charm Hadrons in Pb+Pb Collisions at = 5.02 TeV. Symmetry, 15(2), 400. https://doi.org/10.3390/sym15020400

