Analysis of the Mathematical Modelling of COVID-19 by Using Mild Solution with Delay Caputo Operator
Abstract
1. Introduction
2. Preliminaries
3. Modeling Formulation
4. Existence and Uniqueness Results for the Model
5. Analytical Solution of Model (4)
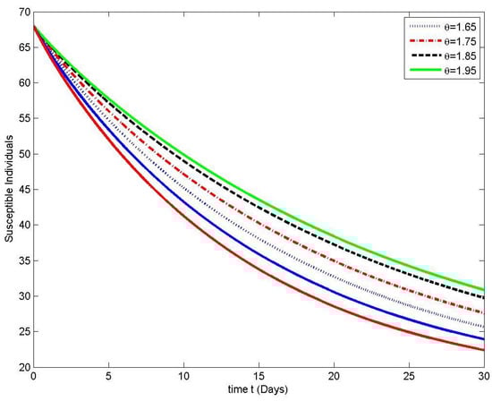
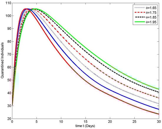
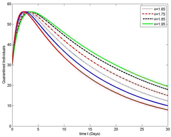
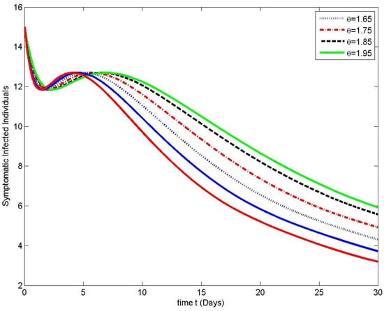
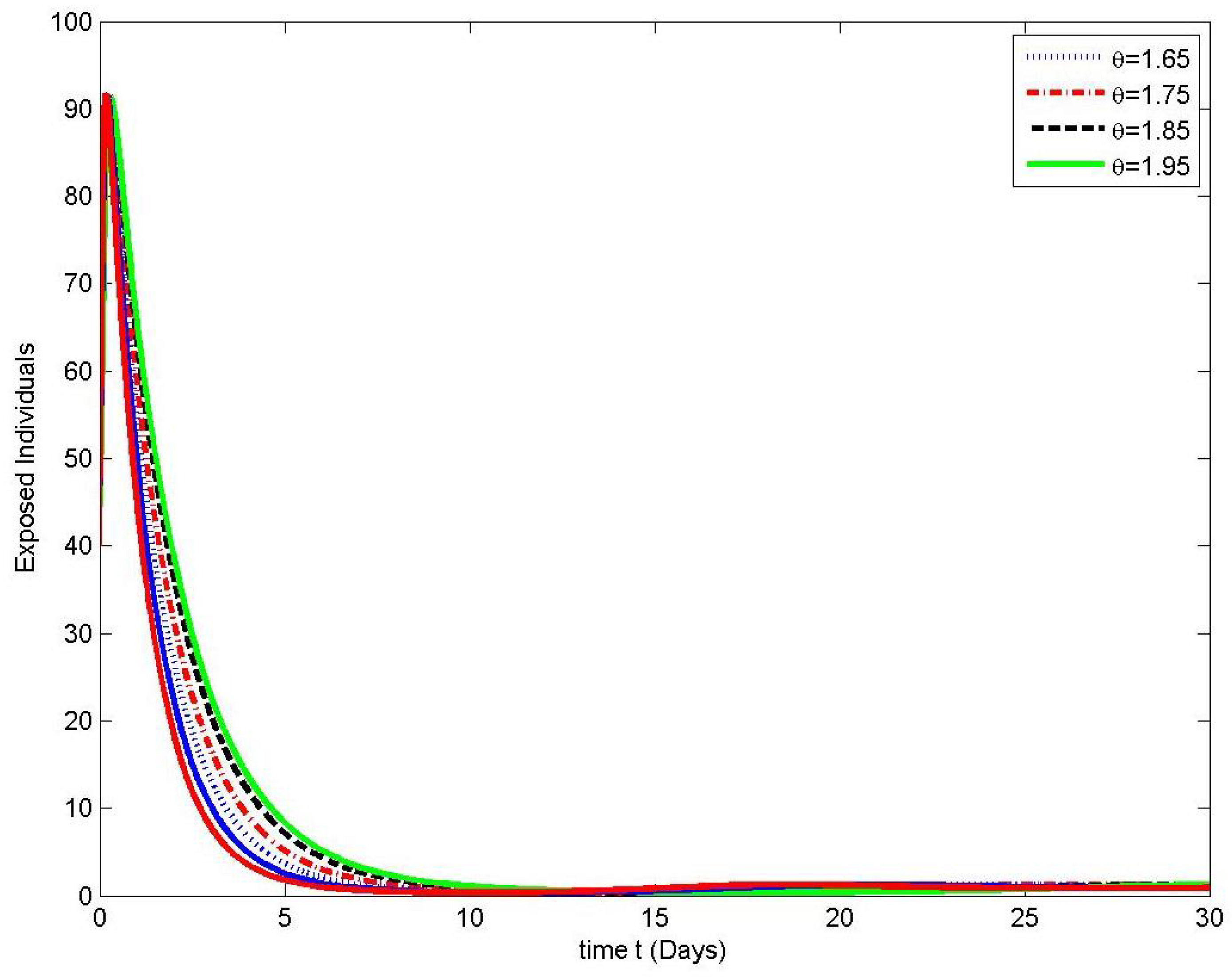
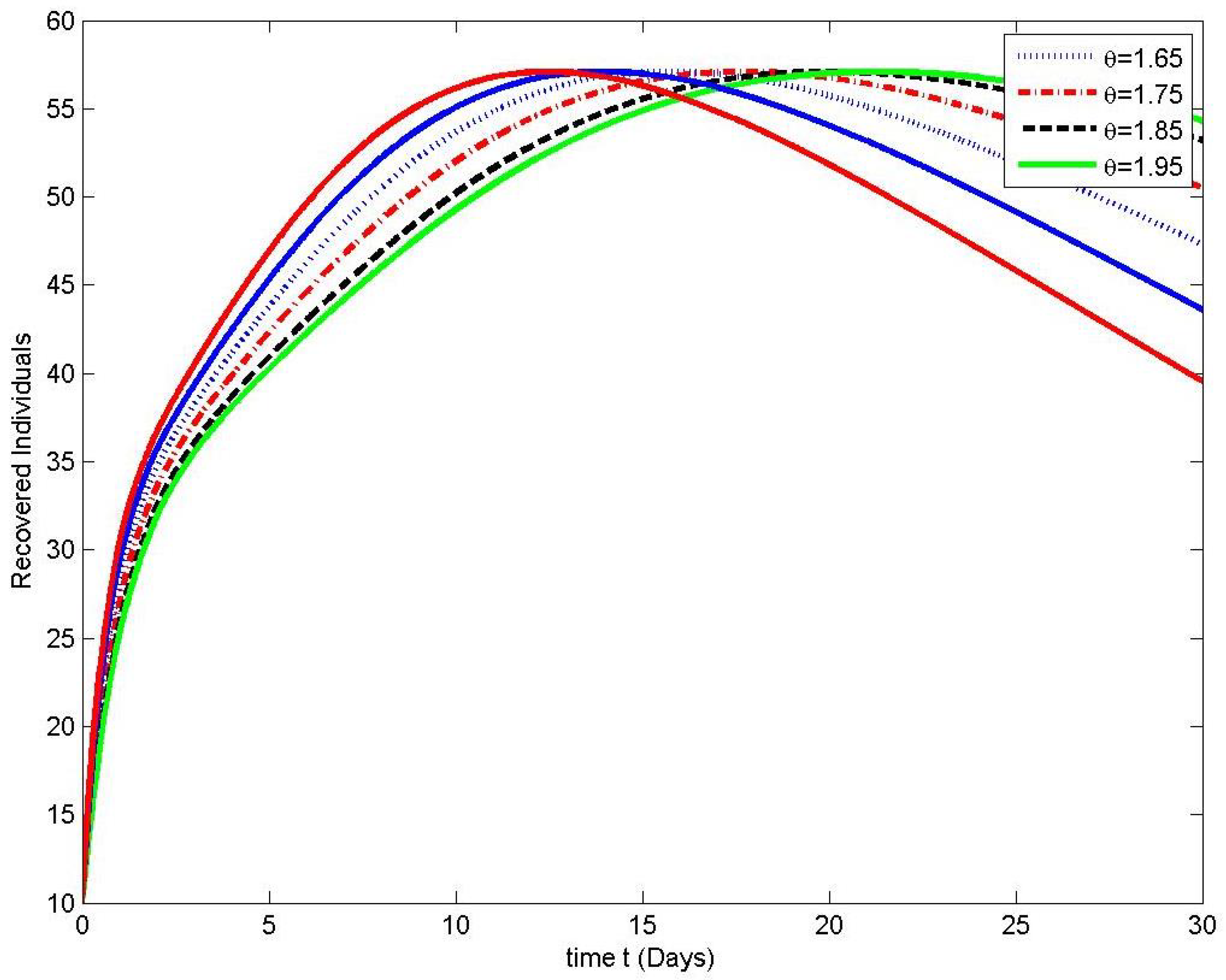
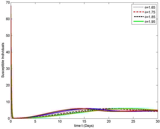
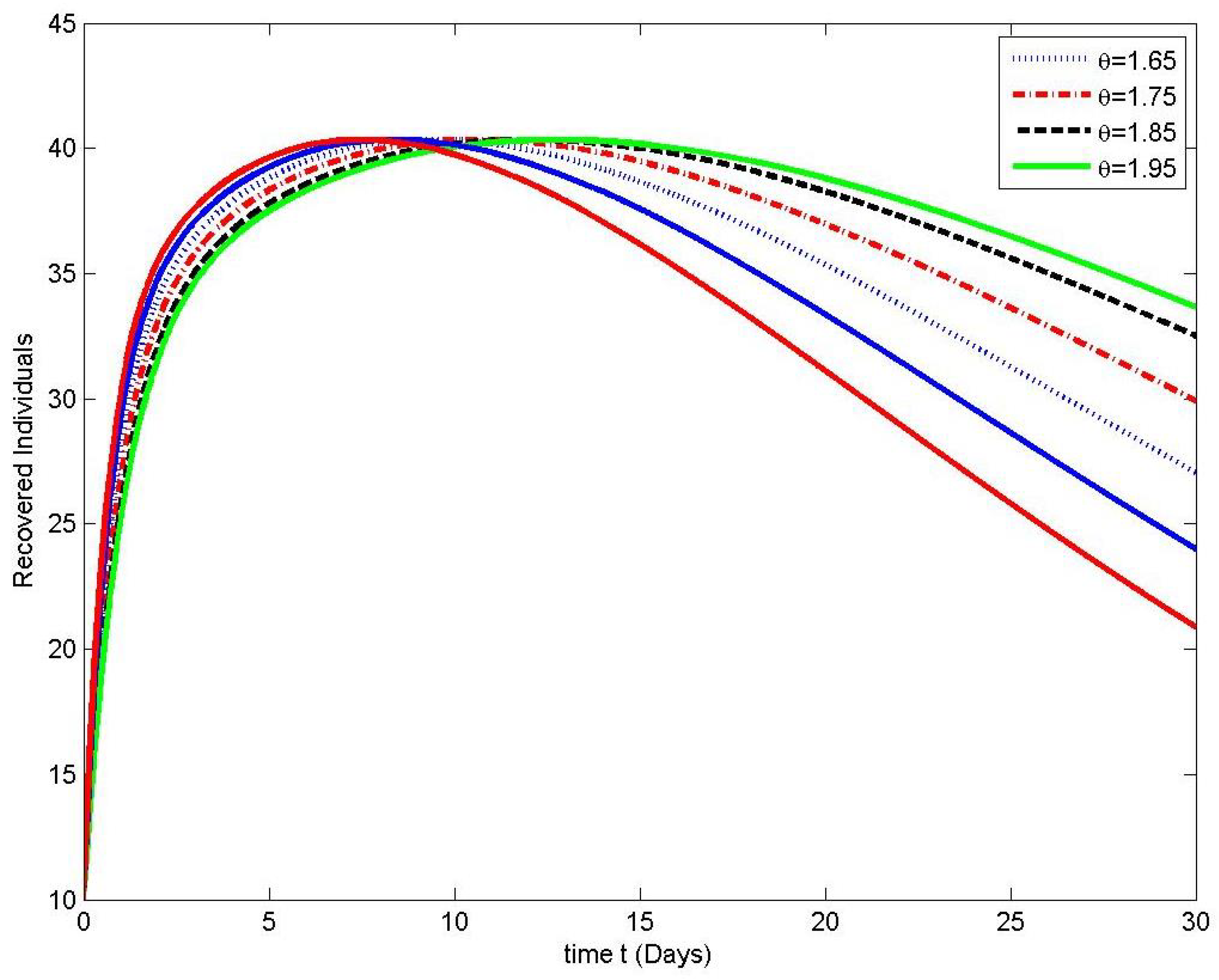
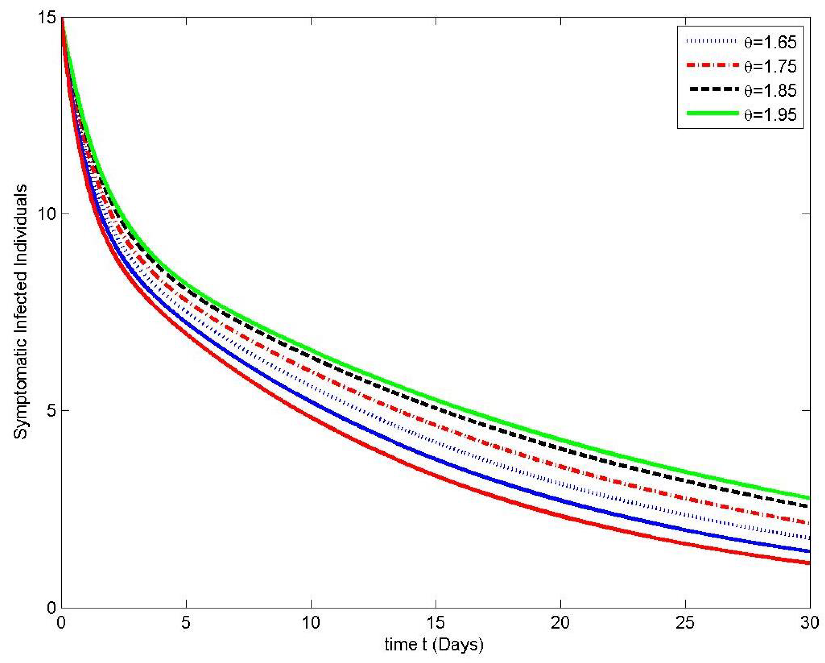
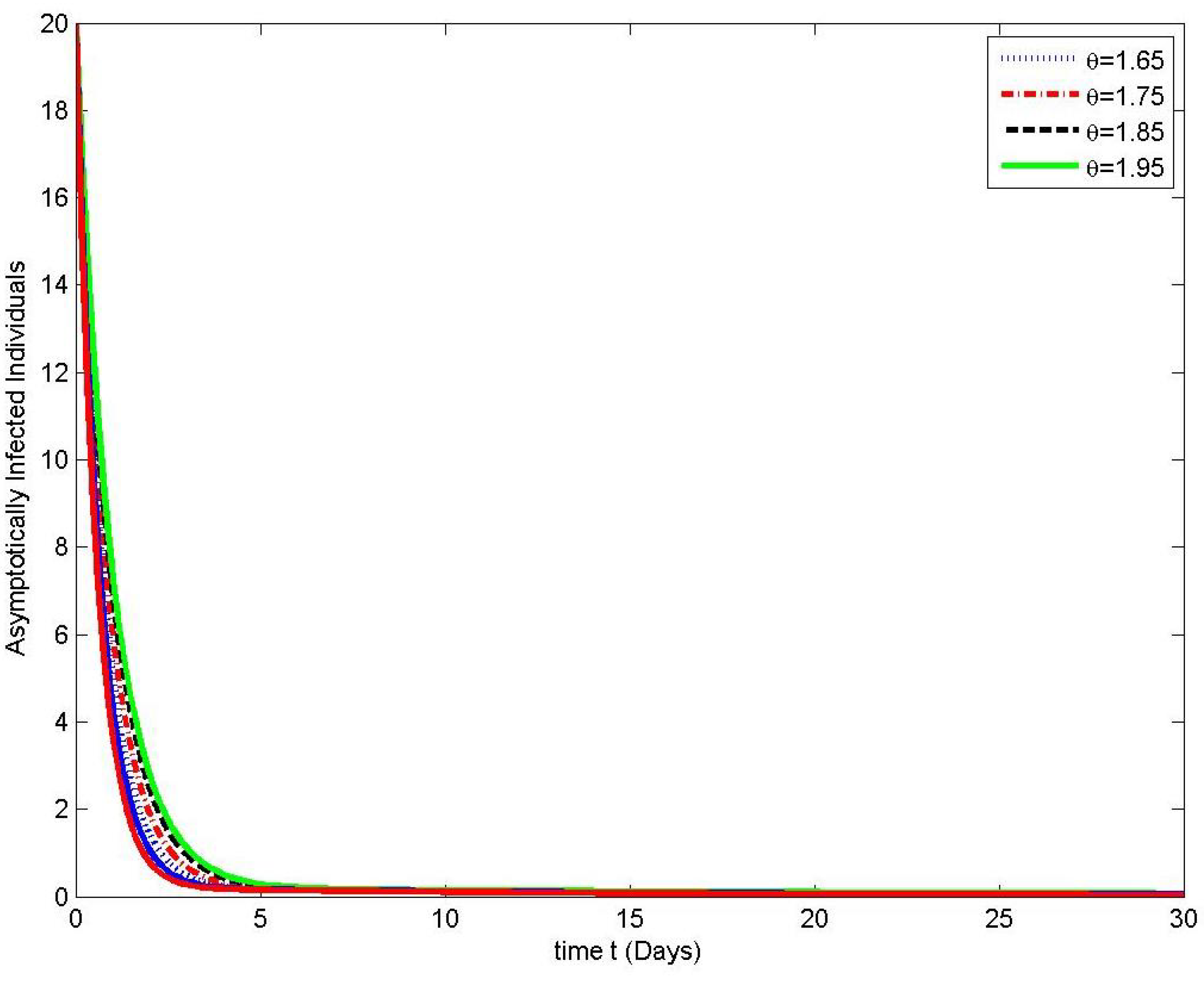
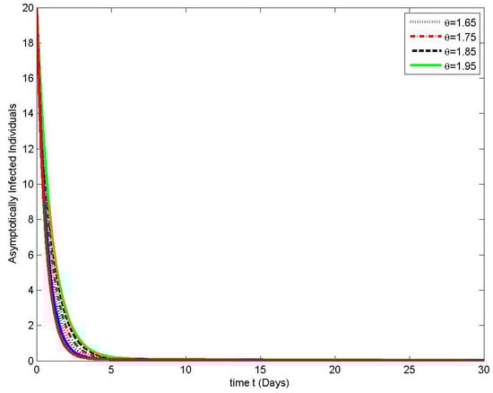
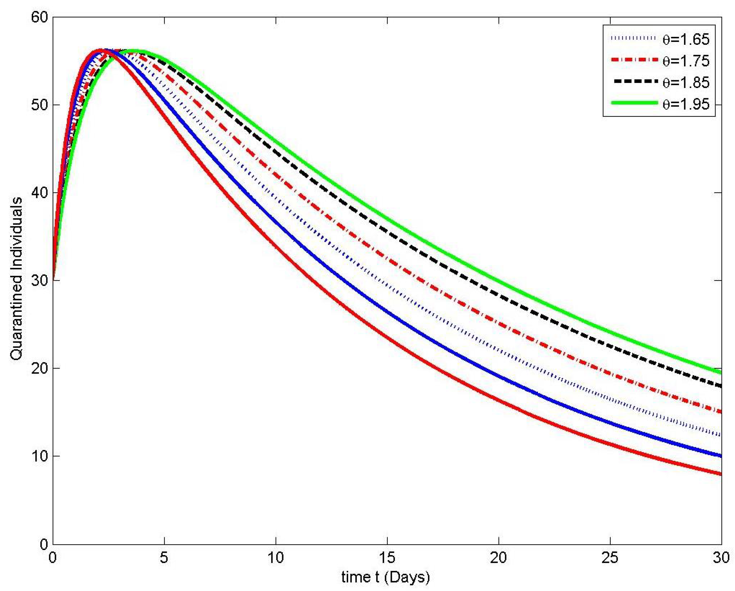
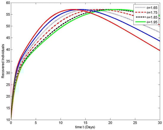
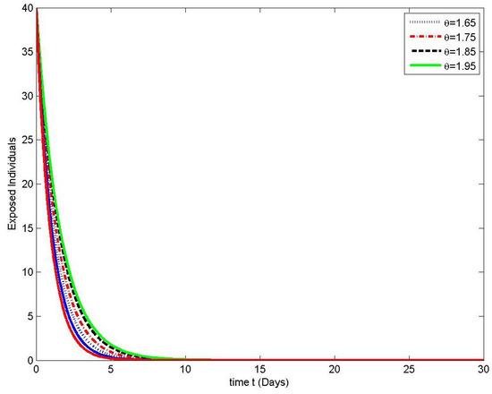
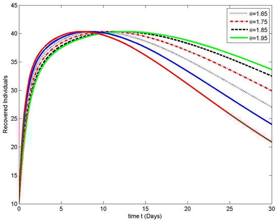
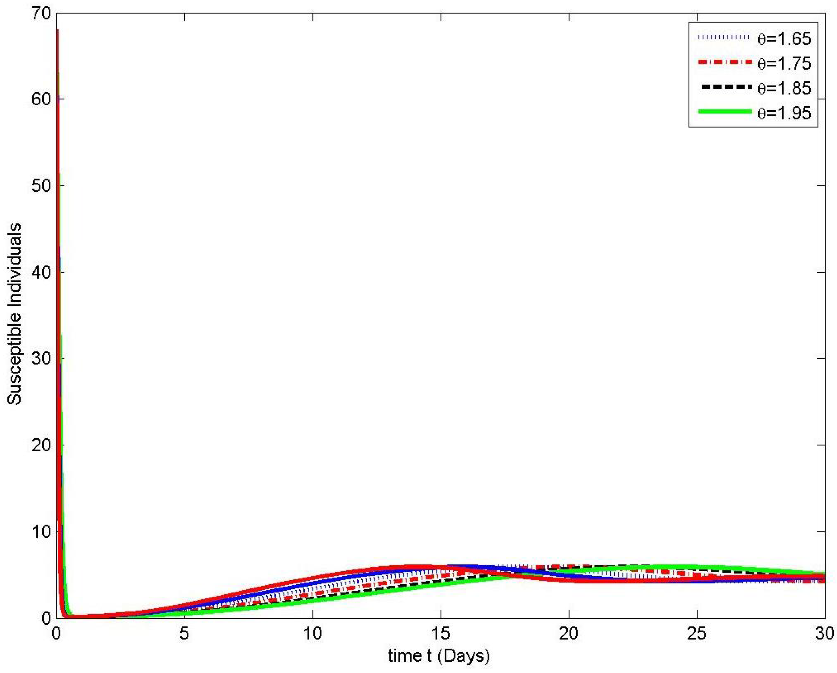
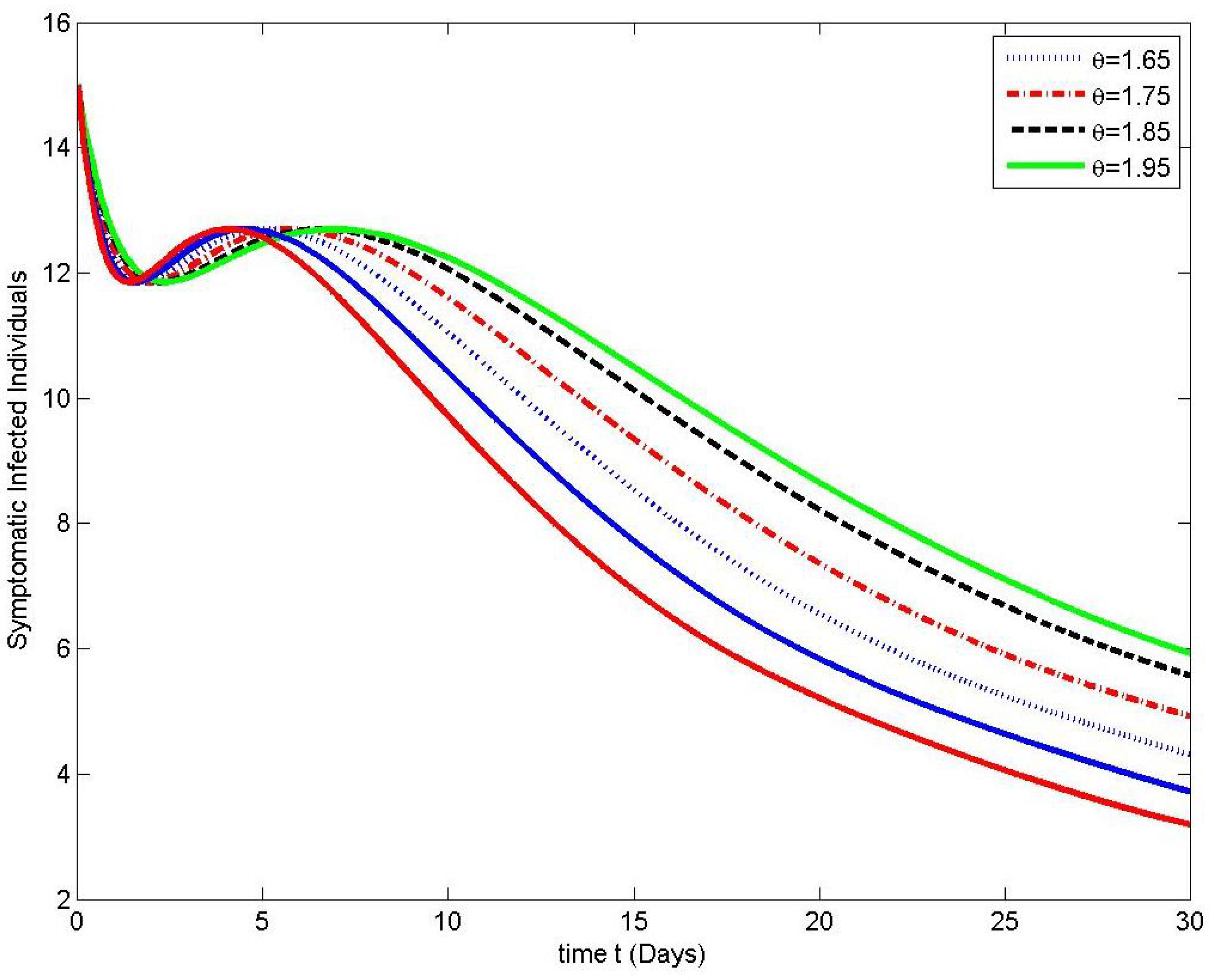
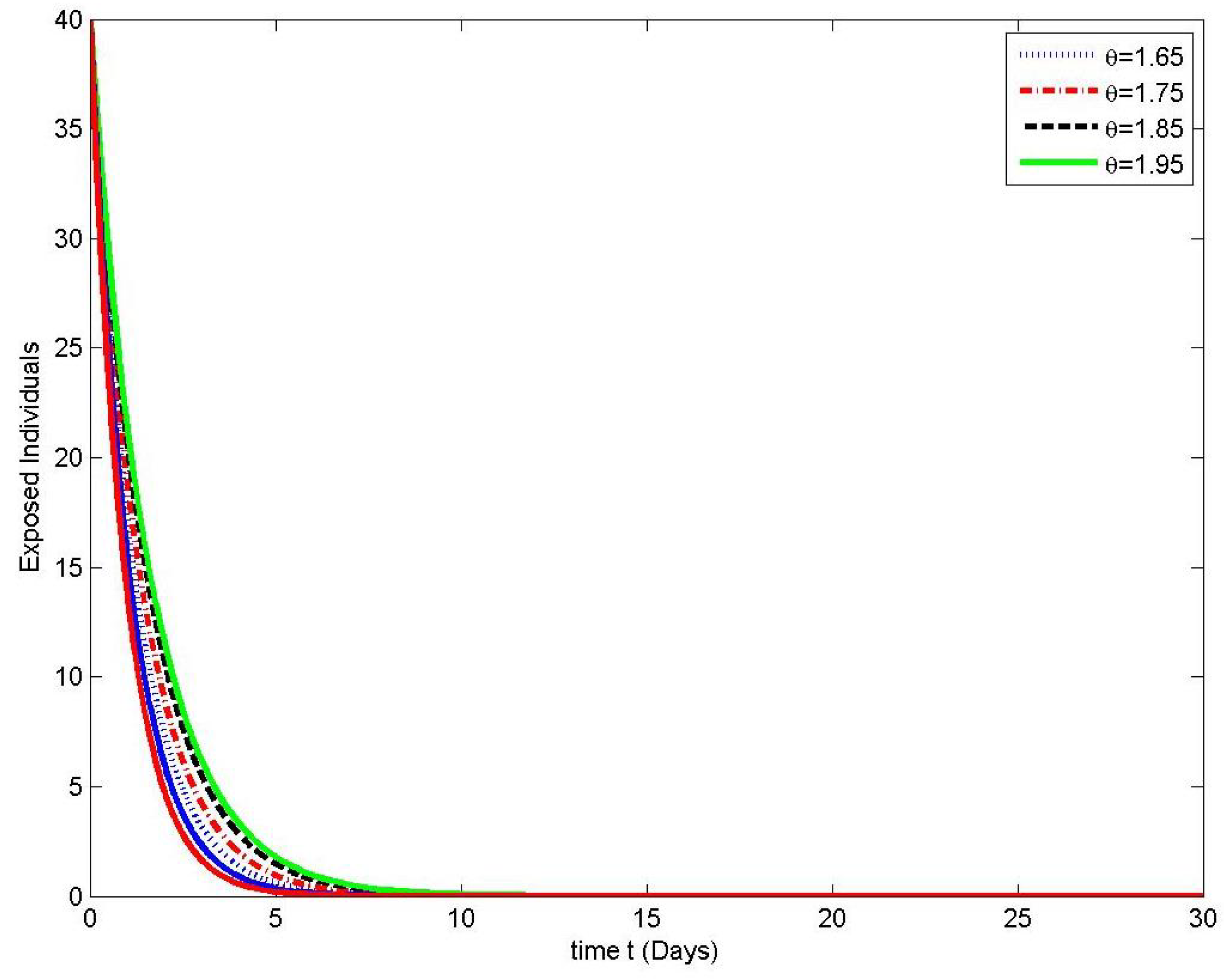
6. Numerical Simulations and Discussion
7. Conclusions
Author Contributions
Funding
Data Availability Statement
Conflicts of Interest
References
- Backer, J.A.; Klinkenberg, D.; Wallinga, J. Incubation period of 2019 novel coronavirus (2019-nCoV) infections among travellers from Wuhan, China, 20–28 January 2020. Eurosurveillance 2020, 25, 2000062. [Google Scholar] [CrossRef] [PubMed]
- Ali Mohamed Abdel-Rahman, M. Academic attitudes toward the role of social media in shaping electronic public opinion about crises an applied study on (corona virus crisis). Inf. Sci. Lett. 2020, 9, 11. [Google Scholar]
- Din, A.; Li, Y.; Khan, T.; Zaman, G. Mathematical analysis of spread and control of the novel corona virus (COVID-19) in China. Chaos Solitons Fractals 2020, 141, 110286. [Google Scholar] [CrossRef]
- Silva, P.C.L.; Batista, P.V.C.; Lima, H.S.; Alves, M.A.; Guimarães, F.G.; Silva, R.C.P. COVID-ABS: An agent-based model of COVID-19 epidemic to simulate health and economic effects of social distancing interventions. Chaos Solitons Fractals 2020, 139, 110088. [Google Scholar] [CrossRef]
- Abdulwasaa, M.A.; Abdo, M.S.; Shah, K.; Nofal, T.A.; Panchal, S.K.; Kawale, S.V.; Abdel-Aty, A. Fractal-fractional mathematical modeling and forecasting of new cases and deaths of COVID-19 epidemic outbreaks in India. Results Phys. 2021, 20, 103702. [Google Scholar] [CrossRef]
- Shahzad, M.; Abdel-Aty, A.-H.; Attia, R.A.M.; Khoshnaw, S.H.A.; Aldila, D.; Ali, M.; Sultan, F. Dynamics models for identifying the key transmission parameters of the COVID-19 disease. Alex. Eng. J. 2021, 60, 757–765. [Google Scholar] [CrossRef]
- Ameen, I.G.; Ali, H.M.; Alharthi, M.R.; Abdel-Aty, A.-H.; Elshehabey, H.M. Investigation of the dynamics of COVID-19 with a fractional mathematical model: A comparative study with actual data. Results Phys. 2021, 23, 103976. [Google Scholar] [CrossRef] [PubMed]
- Ahmad, S.; Owyed, S.; Abdel-Aty, A.; Mahmoud, E.E.; Shah, K.; Alrabaiah, H. Mathematical analysis of COVID-19 via new mathematical model. Chaos Solitons Fractals 2021, 143, 110585. [Google Scholar]
- Peter, O.J.; Shaikh, A.S.; Ibrahim, M.O.; Nisar, K.S.; Baleanu, D.; Khan, I.; Abioye, A.I. Analysis and dynamics of fractional order mathematical model of COVID-19 in Nigeria using atangana-baleanu operator. Comput. Mater. Contin. 2021, 66, 1823–1848. [Google Scholar] [CrossRef]
- Podlubny, I. Fractional Differential Equations, Mathematics in Science and Engineering; Academic Press: San Diego, CA, USA, 1999; p. 340. [Google Scholar]
- Kilbas, A.A.; Srivastava, H.M.; Trujillo, J.J. Theory and Applications of Fractional Differential Equations; Elsevier: Amsterdam, The Netherlands, 2006; Volume 204. [Google Scholar]
- Caputo, M.; Fabrizio, M. On the singular kernels for fractional derivatives. Some applications to partial differential equations. Prog. Fract. Differ. Appl. 2021, 7, 79–82. [Google Scholar] [CrossRef]
- Caputo, M.; Fabrizio, M. A new definition of fractional derivative without singular kernel. Prog. Fract. Differ. Appl. 2015, 1, 73–85. [Google Scholar]
- Caputo, M.; Fabrizio, M. Applications of new time and spatial fractional derivatives with exponential kernels. Prog. Fract. Differ. Appl. 2016, 2, 1–11. [Google Scholar] [CrossRef]
- Toledo-Hernandez, R.; Rico-Ramirez, V.; Iglesias-Silva, G.A.; Diwekar, U.M. A fractional calculus approach to the dynamic optimization of biological reactive systems. Part I: Fractional models for biological reactions. Chem. Eng. Sci. 2014, 117, 217–228. [Google Scholar] [CrossRef]
- Korpinar, Z. On numerical solutions for the Caputo-Fabrizio fractional heat-like equation. Therm. Sci. 2018, 22 (Suppl. 1), 87–95. [Google Scholar] [CrossRef]
- Kiymaz, O. An algorithm for solving initial value problems using Laplace Adomian decomposition method. Appl. Math. Sci. 2009, 3, 1453–1459. [Google Scholar]
- Avinash, N.; Xavier, G.B.A.; Alsinai, A.; Ahmed, H.; Sherine, V.R.; Chellamani, P. Dynamics of COVID-19 Using SEIQR Epidemic Model. J. Math. 2022, 2022, 2138165. [Google Scholar] [CrossRef]
- Chellamani, P.; Julietraja, K.; Alsinai, A.; Ahmed, H. A Fuzzy Fractional Order Approach to SIDARTHE Epidemic Model for COVID-19. Complexity 2022, 2022, 5468696. [Google Scholar] [CrossRef]
- Shaikh, A.; Tassaddiq, A.; Nisar, K.S.; Baleanu, D. Analysis of differential equations involving Caputo–Fabrizio fractional operator and its applications to reaction–diffusion equations. Adv. Differ. Equ. 2019, 2019, 178. [Google Scholar] [CrossRef]
- Baleanu, D.; Mohammadi, H.; Rezapour, S. Analysis of the model of HIV-1 infection of CD4+ CD4+ T-cell with a new approach of fractional derivative. Adv. Differ. Equ. 2020, 2020, 71. [Google Scholar] [CrossRef]
- Baleanu, D.; Jajarmi, A.; Mohammadi, H.; Rezapour, S. A new study on the mathematical modelling of human liver with Caputo–Fabrizio fractional derivative. Chaos Solitons Fractals 2020, 134, 109705. [Google Scholar] [CrossRef]
- Alshabanat, A.; Jleli, M.; Kumar, S.; Samet, B. Generalization of Caputo-Fabrizio fractional derivative and applications to electrical circuits. Front. Phys. 2020, 8, 64. [Google Scholar] [CrossRef]
- Baleanu, D.; Rezapour, S.; Saberpour, Z. On fractional integro-differential inclusions via the extended fractional Caputo–Fabrizio derivation. Bound. Value Probl. 2019, 2019, 79. [Google Scholar] [CrossRef]
- Qiao, H.; Liu, Z.; Cheng, A. Two unconditionally stable difference schemes for time distributed-order differential equation based on Caputo–Fabrizio fractional derivative. Adv. Differ. Equ. 2020, 2020, 36. [Google Scholar] [CrossRef]
- Al Sawoor, A. Stability analysis of fractional-order linear neutral delay differential–algebraic system described by the Caputo–Fabrizio derivative. Adv. Differ. Equ. 2020, 2020, 531. [Google Scholar] [CrossRef]
- Ucar, E.; Özdemir, N.; Altun, E. Fractional order model of immune cells influenced by cancer cells. Math. Model. Nat. Phenom. 2019, 14, 308. [Google Scholar] [CrossRef]
- Moore, E.J.; Sirisubtawee, S.; Koonprasert, S. A Caputo–Fabrizio fractional differential equation model for HIV/AIDS with treatment compartment. Adv. Differ. Equ. 2019, 2019, 200. [Google Scholar] [CrossRef]
- Shah, K.; Alqudah, M.A.; Jarad, F.; Abdeljawad, T. Semi-analytical study of Pine Wilt Disease model with convex rate under Caputo–Febrizio fractional order derivative. Chaos Solitons Fractals 2020, 135, 109754. [Google Scholar] [CrossRef]
- Bedi, P.; Khan, A.; Kumar, A.; Abdeljawad, T. Computational Study Of Fractional-Order Vector Borne Diseases Model. Fractals 2022, 30, 2240149. [Google Scholar] [CrossRef]
- Amita Devi, A.; Kumar, A.; Abdeljawad, T. Numerical approximation of fractional order transmission of worms in wireless sensor network in sense of Caputo operator. Prog. Fract. Differ. Appl. 2022, 1, 1–15. [Google Scholar]
- Mehmood, Y.; Shafqat, R.; Sarris, I.E.; Bilal, M.; Sajid, T.; Akhtar, T. Numerical Investigation of MWCNT and SWCNT Fluid Flow along with the Activation Energy Effects over Quartic Auto Catalytic Endothermic and Exothermic Chemical Reactions. Mathematics 2022, 10, 4636. [Google Scholar] [CrossRef]
- Niazi, A.U.K.; He, J.; Shafqat, R.; Ahmed, B. Existence, Uniqueness, and E q–Ulam-Type Stability of Fuzzy Fractional Differential Equation. Fractal Fract. 2021, 5, 66. [Google Scholar] [CrossRef]
- Iqbal, N.; Niazi, A.U.K.; Shafqat, R.; Zaland, S. Existence and uniqueness of mild solution for fractional-order controlled fuzzy evolution equation. J. Funct. Spaces 2021, 2021. [Google Scholar] [CrossRef]
- Shafqat, R.; Niazi, A.U.K.; Jeelani, M.B.; Alharthi, N.H. Existence and Uniqueness of Mild Solution Where α∈(1,2) for Fuzzy Fractional Evolution Equations with Uncertainty. Fractal Fract. 2022, 6, 65. [Google Scholar] [CrossRef]
- Alnahdi, A.S.; Shafqat, R.; Niazi, A.U.K.; Jeelani, M.B. Pattern formation induced by fuzzy fractional-order model of COVID-19. Axioms 2022, 11, 313. [Google Scholar] [CrossRef]
- Khan, A.; Shafqat, R.; Niazi, A.U.K. Existence Results of Fuzzy Delay Impulsive Fractional Differential Equation by Fixed Point Theory Approach. J. Funct. Spaces 2022, 2022, 4123949. [Google Scholar] [CrossRef]
- Abuasbeh, K.; Shafqat, R.; Niazi, A.U.K.; Awadalla, M. Nonlocal fuzzy fractional stochastic evolution equations with fractional Brownian motion of order (1, 2). Aims Math. 2022, 7, 19344–19358. [Google Scholar] [CrossRef]
- Abuasbeh, K.; Shafqat, R.; Niazi, A.U.K.; Awadalla, M. Local and global existence and uniqueness of solution for class of fuzzy fractional functional evolution equation. J. Funct. Spaces 2022, 2022, 7512754. [Google Scholar] [CrossRef]
- Abuasbeh, K.; Shafqat, R.; Niazi, A.U.K.; Awadalla, M. Local and global existence and uniqueness of solution for time-fractional fuzzy Navier–Stokes equations. Fractal Fract. 2022, 6, 330. [Google Scholar] [CrossRef]
- ur Rahman, M.; Ahmad, S.; Matoog, R.T.; Alshehri, N.A.; Khan, T. Study on the mathematical modelling of COVID-19 with Caputo-Fabrizio operator. Chaos Solitons Fractals 2021, 150, 111121. [Google Scholar] [CrossRef]
- Podlubny, I. Fractional differential equations. Math. Sci. Eng. 1999, 198, 41–119. [Google Scholar]
- Mainardi, F.; Paradisi, P.; Gorenflo, R. Probability distributions generated by fractional diffusion equations. arXiv 2007, arXiv:0704.0320. [Google Scholar]
- Otrocol, D.; Ilea, V. Ulam stability for a delay differential equation. Open Math. 2013, 11, 1296–1303. [Google Scholar] [CrossRef]
- Travis, C.C.; Webb, G.F. Cosine families and abstract nonlinear second order differential equations. Acta Math. Hung. 1978, 32, 75–96. [Google Scholar] [CrossRef]













| Parameter | Parameters Description |
|---|---|
| Transfer ratio from susceptible people to quarantine | |
| Contact ratio between susceptible people and exposed individuals | |
| Mortality ratio due to coronavirus in symptomatic infected people class | |
| Ratio of transfer of exposed people to quarantine | |
| Ratio of transfer of exposed people from exposed class to symptomatic infected people class | |
| Ratio of quarantined people to asymptomatic infected people class | |
| Natural mortality | |
| Ratio of transfer of quarantined people to symptomatic infected people class | |
| Ratio of transfer of exposed people to asymptomatic infected people class | |
| ∧ | Recruitment (natality) ratio |
| Recovery ratio of asymptomatic infected people | |
| Recovery ratio of symptomatic infected people |
| Parameters Description | Numerical Value |
|---|---|
| ∧ | |
| 0.000761 | |
| 0.2516 | |
| 0.00073 | |
| 0.01 | |
| 0.00039 | |
| 0.00404720925 | |
| 0.009567816 | |
| 0.09871 | |
| 5.7341 | |
| 1.6728 |
| Parameters Description | Numerical Value |
|---|---|
| ∧ | |
| 0.000761 | |
| 0.2516 | |
| 0.700 | |
| 0.01 | |
| 0.00039 | |
| 0.00404720925 | |
| 0.009567816 | |
| 0.09871 | |
| 5.7341 | |
| 1.6728 |
Disclaimer/Publisher’s Note: The statements, opinions and data contained in all publications are solely those of the individual author(s) and contributor(s) and not of MDPI and/or the editor(s). MDPI and/or the editor(s) disclaim responsibility for any injury to people or property resulting from any ideas, methods, instructions or products referred to in the content. |
© 2023 by the authors. Licensee MDPI, Basel, Switzerland. This article is an open access article distributed under the terms and conditions of the Creative Commons Attribution (CC BY) license (https://creativecommons.org/licenses/by/4.0/).
Share and Cite
Abuasbeh, K.; Shafqat, R.; Alsinai, A.; Awadalla, M. Analysis of the Mathematical Modelling of COVID-19 by Using Mild Solution with Delay Caputo Operator. Symmetry 2023, 15, 286. https://doi.org/10.3390/sym15020286
Abuasbeh K, Shafqat R, Alsinai A, Awadalla M. Analysis of the Mathematical Modelling of COVID-19 by Using Mild Solution with Delay Caputo Operator. Symmetry. 2023; 15(2):286. https://doi.org/10.3390/sym15020286
Chicago/Turabian StyleAbuasbeh, Kinda, Ramsha Shafqat, Ammar Alsinai, and Muath Awadalla. 2023. "Analysis of the Mathematical Modelling of COVID-19 by Using Mild Solution with Delay Caputo Operator" Symmetry 15, no. 2: 286. https://doi.org/10.3390/sym15020286
APA StyleAbuasbeh, K., Shafqat, R., Alsinai, A., & Awadalla, M. (2023). Analysis of the Mathematical Modelling of COVID-19 by Using Mild Solution with Delay Caputo Operator. Symmetry, 15(2), 286. https://doi.org/10.3390/sym15020286

