Analysis of the Fractional Differential Equations Using Two Different Methods
Abstract
1. Introduction
- We present new results on the numerical simulation for the considered equation.
- We apply two effective numerical methods to obtain these new accurate results.
- The convergence analysis that confirms the theoretical parts of both methods is discussed.
2. Basic Definitions
Notations
- (i)
- We will writeto denote the collection of all absolutely continuous functions on
- (ii)
- We write CCF to mean a completely continuous function.
3. The Fictitious Time Integration Method (FTIM)
4. The Application of RKHSM
4.1. Methodology for RKHSM
- in which denotes the adjoint of and where is given by (27).
- The countable set is dense in
- is a function system in and the following shows the way that we can construct it:
- is the orthogonalization coefficients which are defined bywhere
Remarks
- 1.
- We have
- 2.
- is a Hilbert space. Then, we deduce
4.2. Convergence Analysis
- (i)
- From (70), we know
- (ii)
- To prove this, let us take the limits in (70)
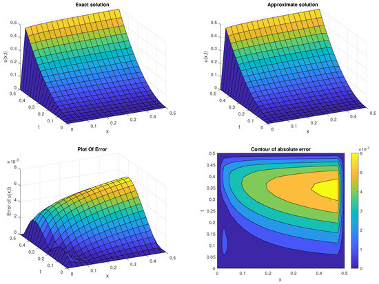
5. Numerical Experiments
- Step 1: Setting
- Step 2: Setting
- Step 3: Calculating the orthogonalization coefficients using (60);
- Step 4: Setting
- Step 5: Choosing an initial guess
- Step 6: Setting
- Step 7: Setting
- Step 8:
- Step 9: If set Go to step 7. Else stop, Where and n is the grid points’ number.
6. Conclusions
Author Contributions
Funding
Data Availability Statement
Acknowledgments
Conflicts of Interest
References
- Liouville, J. Mémoire sur quelques questions de géométrie et de mécanique, et sur un nouveau genre de calcul pour résoudre ces questions. JEC Polytech. 1832, 13, 1–69. [Google Scholar]
- Riemann, G.F.B. Versuch Einer Allgemeinen Auffassung der Integration und Differentiation; Gesammelte Mathematische Werke: Leipzig, Germany, 1896. [Google Scholar]
- Caputo, M. Elasticita e Dissipazione; Zanichelli: Bologna, Italy, 1969. [Google Scholar]
- Miller, K.S.; Ross, B. An Introduction to Fractional Calculus and Fractional Diffrential Equations; Wiley: New York, NY, USA, 1993. [Google Scholar]
- Podlubny, I. Fractional Diffrential Equations; Academic Press: New York, NY, USA, 1999. [Google Scholar]
- Singh, H.; Kumar, D.; Baleanu, D. Methods of Mathematical Modelling: Fractional Diffrential Equations; CRC Press Taylor & Francis Group: New York, NY, USA, 2019. [Google Scholar]
- Baleanu, D.; Guvenc, Z.B.; Tenreiro Machado, J.A. New Trends in Nanotechnology and Fractional Calculus Applications; Springer: Dordrecht, The Netherlands, 2010. [Google Scholar]
- Atangana, A.; Alkahtani, B.T. Analysis of non-homogenous heat model with new trend of derivative with fractional order. Chaos Solit. Fract. 2016, 89, 566–571. [Google Scholar]
- Kumar, D.; Singh, J.; Tanwar, K.; Baleanu, D. A new fractional exothermic reactions model having constant heat source in porous media with power, exponential and Mittag-Leffler laws. Int. Heat Mass Transf. 2019, 138, 1222–1227. [Google Scholar] [CrossRef]
- Baleanu, D.; Wu, G.C.; Zeng, S.D. Chaos analysis and asymptotic stability of generalized Caputo fractional diffrential equations. Chaos Solit. Fract. 2017, 102, 99–105. [Google Scholar] [CrossRef]
- Veeresha, P.; Prakasha, D.G.; Baskonus, H.M. New numerical surfaces to the mathematical model of cancer chemotherapy effct in Caputo fractional derivatives. Chaos 2019, 29, 013119. [Google Scholar] [CrossRef]
- Gao, W.; Veeresha, P.; Baskonus, H.M.; Prakasha, D.G.; Kumar, P. A new study of unreported cases of 2019-nCOV epidemic outbreaks. Chaos Solit. Fract. 2020, 138, 109929. [Google Scholar] [CrossRef]
- Kumar, D.; Singh, J.; Baleanu, D. On the analysis of vibration equation involving a fractional derivative with Mittag-Leffler law. Math. Meth. Appl. Sci. 2020, 43, 443–457. [Google Scholar] [CrossRef]
- Veeresha, P.; Prakasha, D.G.; Baleanu, D. Analysis of fractional Swift-Hohenberg equation using a novel computational technique. Math. Meth. Appl. Sci. 2020, 43, 1970–1987. [Google Scholar] [CrossRef]
- Caputo, M.; Fabrizio, M. A new defiition of fractional derivative without singular kernel. Prog. Fract. Diffr. Appl. 2015, 1, 73–85. [Google Scholar]
- Cao, Q.-H.; Dai, C.-Q. Symmetric and anti-symmetric solitons of the fractional second- and third-order nonlinear Schrödinger equation. Chin. Phys. Lett. 2021, 38, 090501. [Google Scholar] [CrossRef]
- Chen, C.; Jiang, Y.-L.; Wang, X.-T. Lie symmetry analysis of the time fractional generalized KdV equations with variable coefficients. Symmetry 2019, 11, 1281. [Google Scholar] [CrossRef]
- Wang, Q. Numerical solution for fractional KdV-Burgers equation by Adomian decomposition method. Appl. Math. Comput. 2006, 182, 1048–1055. [Google Scholar]
- Nagy, A.M. Numerical solution of time fractional nonlinear Klein-Gordon equation using Sinc Chebyshev collocation method. Appl. Math. Comput. 2017, 310, 139–148. [Google Scholar] [CrossRef]
- Parto-Haghighi, M.; Akinlar, M.A.; Chu, Y. New numerical solutions of fractional-order Korteweg-de Vries equation. Results Phys. 2020, 19, 103326. [Google Scholar]
- Inc, M.; Partohaghighi, M.; Akinlar, M.A.; Agarwal, P.; Chu, Y.-M. New solutions of fractional-order Burger-Huxley equation. Results Phys. 2020, 18, 103290. [Google Scholar] [CrossRef]
- Hashemi, M.S.; Baleanu, D.; Parto-Haghighi, M. A lie group approach to solve the fractional Poisson equation. Rom. J. Phys. 2015, 60, 1289–1297. [Google Scholar]
- Akgül, A.; Ahmad, H. Reproducing kernel method for Fangzhu’s oscillator for water collection from air. Math. Meth. Appl. Sci. 2020, 1–10. [Google Scholar] [CrossRef]
- Ahmad, H.; Akgül, A.; Khan, T.A.; Stanimirović, P.S.; Chu, Y.-M. New perspective on the conventional solutions of the nonlinear time-fractional partial differential equations. Complexity 2020, 2020, 8829017. [Google Scholar] [CrossRef]
- Inc, M.; Khan, M.N.; Ahmad, I.; Yao, S.W.; Ahmad, H.; Thounthong, P. Analysing time-fractional exotic options via efficient local meshless method. Results Phys. 2020, 19, 103385. [Google Scholar] [CrossRef]
- Ahmad, I.; Khan, M.N.; Inc, M.; Ahmad, H.; Nisar, K.S. Numerical simulation of simulate an anomalous solute transport model via local meshless method. Alex. Eng. J. 2020, 59, 2827–2838. [Google Scholar] [CrossRef]
- Hussain, M.; Haq, S. Weighted meshless spectral method for the solutions of multi-term time fractional advection-diffusion problems arising in heat and mass transfer. Int. J. Heat Mass Transf. 2019, 129, 1305–1316. [Google Scholar] [CrossRef]
- Ahmad, I.; Ahmad, H.; Inc, M.; Yao, S.-W.; Almohsen, B. Application of local meshless method for the solution of two term time fractional-order multi-dimensional PDE arising in heat and mass transfer. Therm. Sci. 2020, 24, 95–105. [Google Scholar] [CrossRef]
- Pitolli, F.; Sorgentone, C.; Pellegrino, E. Approximation of the Riesz-Caputo derivative by cubic splines. Algorithms 2022, 15, 69. Available online: https://www.mdpi.com/1999-4893/15/2/69 (accessed on 15 February 2022). [CrossRef]
- Izadi, M.; Srivastava, H.M. A discretization approach for the nonlinear fractional logistic equation. Entropy 2020, 22, 1328. Available online: https://www.mdpi.com/1099-4300/22/11/1328 (accessed on 16 November 2020). [CrossRef]
- Shymanskyi, V.; Sokolovskyy, Y. Finite element calculation of the linear elasticity problem for biomaterials with fractal structure. Open Bioinform. J. 2021, 14, 114–122. [Google Scholar] [CrossRef]
- Priya, G.S.; Prakash, P.; Nieto, J.J.; Kayar, Z. Higher-order numerical scheme for the fractional heat equation with Dirichlet and Neumann boundary conditions. Numer. Heat Transf. 2013, 63, 540–559. [Google Scholar] [CrossRef]
- Mehmet, Y.; Necati, O. Numerical inverse Laplace homotopy technique for fractional heat equations. Therm. Sci. 2018, 22, 185–194. [Google Scholar]
- Chen, Y.-W. A highly accurate backward-forward algorithm for multi-dimensional backward heat conduction problems in fictitious time domains. Int. J. Heat Mass Transf. 2018, 120, 499–514. [Google Scholar] [CrossRef]
- Partohaghighi, M.; Akinlar, M.A.; Weber, G.W. New solutions of hyperbolic telegraph equation. J. Dyn. Games 2021, 8, 129–138. [Google Scholar]
- Partohaghighi, M.; Bayram, M.; Baleanu, D. On numerical solution of the time fractional advection-diffusion equation involving Atangana-Baleanu-Caputo derivative. Open Phys. 2019, 17, 816–822. [Google Scholar] [CrossRef]
- Chen, Y.-W.; Liu, C.-S.; Chang, Y.-S.; Chang, J.-R. Constraint-type fictitious time integration method for solving non-linear multi-dimensional elliptic partial differential equations. J. Mar. Sci. Technol. 2020, 28, 168–178. [Google Scholar]
- Chen, Y.-W. High order implicit and explicit Lie-group schemes for solving backward heat conduction problems. Int. J. Heat Mass Transf. 2016, 101, 1016–1029. [Google Scholar] [CrossRef]
- Liu, C.S. Cone of non-linear dynamical system and group preserving schemes. Int. J. Non Linear Mech. 2021, 36, 1047–1068. [Google Scholar] [CrossRef]
- Akgül, E.K. A novel method for the space and time fractional Bloch-torrey equations. Therm. Sci. 2018, 22, S253–S258. [Google Scholar] [CrossRef]
- Akgül, A. A novel method for a fractional derivative with non-local and non-singular kernel. Chaos Solit. Fract. 2018, 114, 478–482. [Google Scholar] [CrossRef]
- Hemati, F.; Ghasemi, M.; Khoshsiar Ghaziani, R. Numerical solution of the multiterm time-fractional diffusion equation based on reproducing kernel theory. Numer. Methods Partial Differ. Equ. 2021, 37, 44–68. [Google Scholar] [CrossRef]
- Attia, N.; Akgül, A.; Seba, D.; Nour, A. Reproducing kernel Hilbert space method for the numerical solutions of fractional cancer tumor models. Math. Meth. Appl. Sci. 2020, 1–22. [Google Scholar] [CrossRef]
- Abu Arqub, O.; Shawagfeh, N. Solving optimal control problems of Fredholm constraint optimality via the reproducing kernel Hilbert space method with error estimates and convergence analysis. Math. Methods Appl. Sci. 2021, 44, 7915–7932. [Google Scholar] [CrossRef]
- Abu Arqub, O.; Shawagfeh, N. Application of reproducing kernel algorithm for solving Dirichlet time-fractional diffusion-Gordon types equations in porous media. J. Porous Media 2019, 22, 411–434. [Google Scholar] [CrossRef]
- Djennadi, S.; Shawagfeh, N.; Abu Arqub, O. A numerical algorithm in reproducing kernel-based approach for solving the inverse source problem of the time-space fractional diffusion equation. Partial Differ. Equ. Appl. Math. 2021, 4, 100164. [Google Scholar] [CrossRef]
- Abu Arqub, O. Reproducing kernel algorithm for the analytical-numerical solutions of nonlinear systems of singular periodic boundary value problems. Math. Prob. Eng. 2015, 2015, 518406. [Google Scholar] [CrossRef]
- Cui, M.; Lin, Y. Nonlinear Numerical Analysis in the Reproducing Kernel Space; Nova Science Publishers Inc.: New York, NY, USA, 2009. [Google Scholar]

| RKHSM-Absolute Error | |||
|---|---|---|---|
| (x,t) | |||
| (0.1, 0.1) | |||
| (0.3, 0.3) | |||
| (0.5, 0.5) | |||
| (0.7, 0.7) | |||
| (0.9,0.9) | |||
| (x, t) | Approximate | Exact | Absolute Error |
|---|---|---|---|
| (0.1, 0.1) | 0.0215 | 0.0213 | |
| (0.2, 0.2) | 0.0893 | 0.0864 | |
| (0.3, 0.3) | 0.2016 | 0.1960 | |
| (0.4, 0.4) | 0.3133 | 0.3076 | |
| (0.5, 0.5) | 0.4958 | 0.4958 |
Disclaimer/Publisher’s Note: The statements, opinions and data contained in all publications are solely those of the individual author(s) and contributor(s) and not of MDPI and/or the editor(s). MDPI and/or the editor(s) disclaim responsibility for any injury to people or property resulting from any ideas, methods, instructions or products referred to in the content. |
© 2022 by the authors. Licensee MDPI, Basel, Switzerland. This article is an open access article distributed under the terms and conditions of the Creative Commons Attribution (CC BY) license (https://creativecommons.org/licenses/by/4.0/).
Share and Cite
Partohaghighi, M.; Akgül, A.; Akgül, E.K.; Attia, N.; De la Sen, M.; Bayram, M. Analysis of the Fractional Differential Equations Using Two Different Methods. Symmetry 2023, 15, 65. https://doi.org/10.3390/sym15010065
Partohaghighi M, Akgül A, Akgül EK, Attia N, De la Sen M, Bayram M. Analysis of the Fractional Differential Equations Using Two Different Methods. Symmetry. 2023; 15(1):65. https://doi.org/10.3390/sym15010065
Chicago/Turabian StylePartohaghighi, Mohammad, Ali Akgül, Esra Karatas Akgül, Nourhane Attia, Manuel De la Sen, and Mustafa Bayram. 2023. "Analysis of the Fractional Differential Equations Using Two Different Methods" Symmetry 15, no. 1: 65. https://doi.org/10.3390/sym15010065
APA StylePartohaghighi, M., Akgül, A., Akgül, E. K., Attia, N., De la Sen, M., & Bayram, M. (2023). Analysis of the Fractional Differential Equations Using Two Different Methods. Symmetry, 15(1), 65. https://doi.org/10.3390/sym15010065

