Approximation of the Riesz–Caputo Derivative by Cubic Splines
Abstract
:1. Introduction
2. Materials and Methods
2.1. Fractional Boundary Value Problems
2.2. The Cubic B-Spline Basis on Finite Intervals
2.3. Approximation of the Riesz–Caputo Derivative
2.4. The Collocation Method
3. Numerical Results
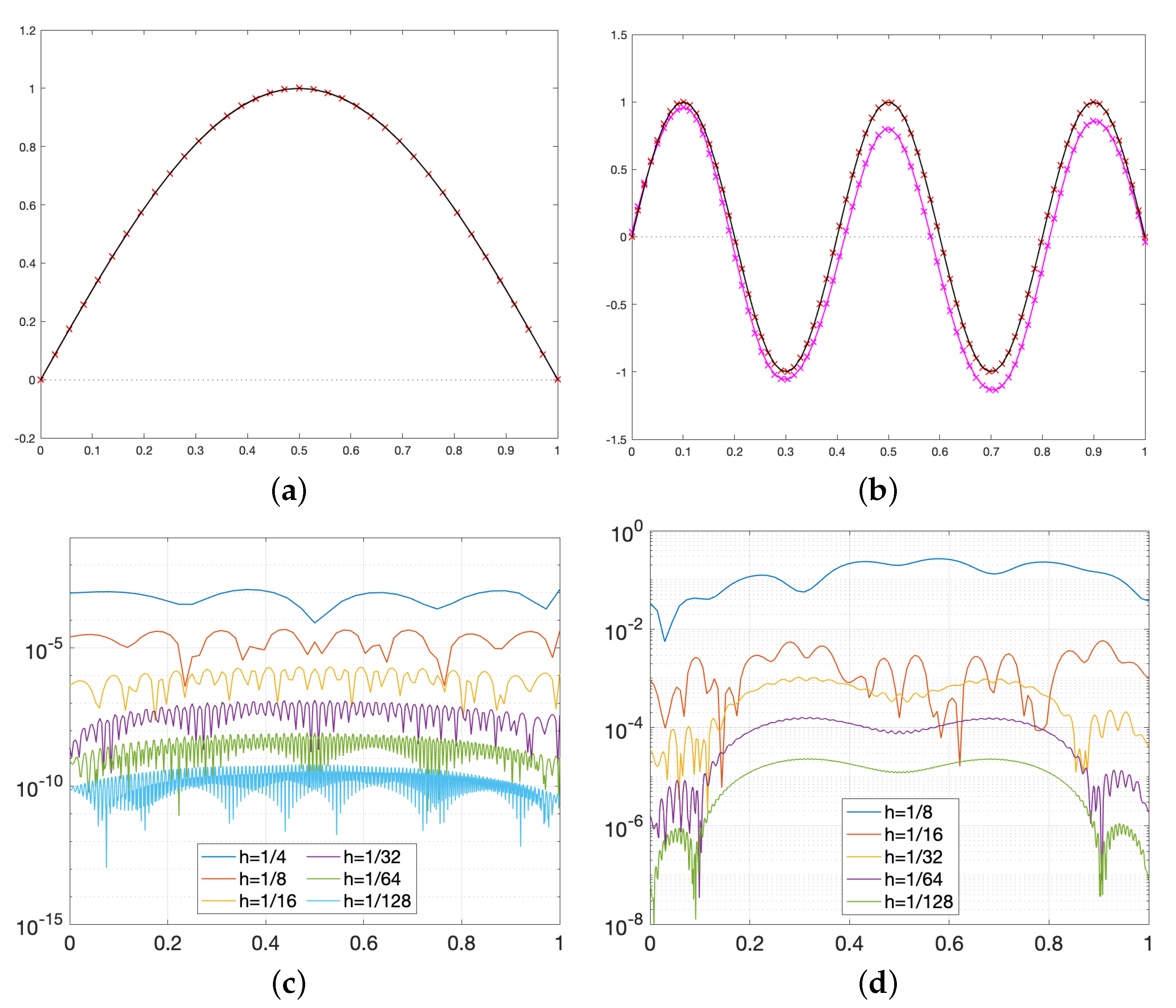
3.1. Example 1
3.2. Example 2
3.3. Example 3
3.4. Example 4
4. Discussion and Conclusions
Author Contributions
Funding
Conflicts of Interest
Appendix A
Appendix B
Appendix C
- Example 1.
- ,
- Example 2.
- ,where
- Example 3.
- ,wherewhere is the generalized hypergeometric function.
- Example 4.
- ,wherewith , .is the Euler Gamma function and is the incomplete Gamma function.
References
- Hilfer, R. Applications of Fractional Calculus in Physics; World Scientific: Singapore, 2000. [Google Scholar]
- Zaslavsky, G.M. Chaos, fractional kinetics, and anomalous transport. Phys. Rep. 2002, 371, 461–580. [Google Scholar] [CrossRef]
- Agrawal, O.P. A general formulation and solution scheme for fractional optimal control problems. Nonlinear Dyn. 2004, 38, 323–337. [Google Scholar] [CrossRef]
- Kilbas, A.A.; Srivastava, H.M.; Trujillo, J.J. Theory and Applications of Fractional Differential Equations; Elsevier Science: Amsterdam, The Netherlands, 2006. [Google Scholar]
- Magin, R.L. Fractional Calculus in Bioengineering; Begell House: Danbury, CT, USA, 2006. [Google Scholar]
- Mainardi, F. Fractional Calculus and Waves in Linear Viscoelasticity: An Introduction to Mathematical Models; World Scientific: Singapore, 2010. [Google Scholar]
- Baleanu, D.; Diethelm, K.; Scalas, E.; Trujillo, J.J. Fractional Calculus: Models and Numerical Methods; World Scientific: Singapore, 2016. [Google Scholar]
- Tarasov, V.E. On History of Mathematical Economics: Application of Fractional Calculus. Mathematics 2019, 7, 509. [Google Scholar] [CrossRef] [Green Version]
- Mainardi, F. On the advent of fractional calculus in econophysics via continuous-time random walk. Mathematics 2020, 8, 641. [Google Scholar] [CrossRef] [Green Version]
- Metzler, R.; Klafter, J. The random walk’s guide to anomalous diffusion: A fractional dynamics approach. Phys. Rep. 2000, 339, 1–77. [Google Scholar] [CrossRef]
- Pandey, R.K.; Singh, O.P.; Baranwal, V.K. An analytic algorithm for the space–time fractional advection–dispersion equation. Comput. Phys. Commun. 2011, 182, 1134–1144. [Google Scholar] [CrossRef]
- Pellegrino, E.; Pezza, L.; Pitolli, F. Quasi-interpolant operators and the solution of fractional differential problems. In Proceedings of the Approximation Theory XVI, Nashville, TN, USA, 19–22 May 2019; Fasshauer, G.E., Neamtu, M., Schumaker, L.L., Eds.; Springer: Cham, Switzerland, 2020. [Google Scholar]
- Pitolli, F. On the numerical solution of fractional boundary value problems by a spline quasi-interpolant operator. Axioms 2020, 9, 61. [Google Scholar] [CrossRef]
- Ciesielski, M.; Leszczynski, J. Numerical solutions of a boundary value problem for the anomalous diffusion equation with the Riesz fractional derivative. In Proceedings of the 16th International Conference on Computer Methods in Mechanics, Cz˛estochowa, Poland, 21–24 June 2006. [Google Scholar]
- Meerschaert, M.M.; Tadjeran, C. Finite difference approximations for two-sided space-fractional partial differential equations. Appl. Numer. Math. 2006, 56, 80–90. [Google Scholar] [CrossRef]
- Yang, Q.; Liu, F.; Turner, I. Numerical methods for fractional partial differential equations with Riesz space fractional derivatives. Appl. Math. Model. 2010, 34, 200–218. [Google Scholar] [CrossRef] [Green Version]
- Hu, Y.; Li, C.; Li, H. The finite difference method for Caputo-type parabolic equation with fractional Laplacian: One-dimension case. Chaos Solitons Fractals 2017, 102, 319–326. [Google Scholar] [CrossRef]
- Burrage, K.; Hale, N.; Kay, D. An efficient implicit FEM scheme for fractional-in-space reaction-diffusion equations. SIAM J. Sci. Comput. 2012, 34, A2145–A2172. [Google Scholar] [CrossRef] [Green Version]
- Xu, Q.; Hesthaven, J.S. Discontinuous Galerkin method for fractional convection-diffusion equations. SIAM J. Numer. Anal. 2014, 52, 405–423. [Google Scholar] [CrossRef] [Green Version]
- Feng, L.; Zhuang, P.; Liu, F.; Turner, I.; Gu, Y. Finite element method for space-time fractional diffusion equation. Numer. Algorithms 2016, 72, 749–767. [Google Scholar] [CrossRef] [Green Version]
- Li, X.; Xu, C. Existence and uniqueness of the weak solution of the space-time fractional diffusion equation and a spectral method approximation. Commun. Comput. Phys. 2010, 8, 1016. [Google Scholar]
- Mao, Z.; Chen, S.; Shen, J. Efficient and accurate spectral method using generalized Jacobi functions for solving Riesz fractional differential equations. Appl. Numer. Math. 2016, 106, 165–181. [Google Scholar] [CrossRef]
- Mao, Z.; Karniadakis, G.E. A spectral method (of exponential convergence) for singular solutions of the diffusion equation with general two-sided fractional derivative. SIAM J. Numer. Anal. 2018, 56, 24–49. [Google Scholar] [CrossRef]
- Yuan, Z.; Nie, Y.; Liu, F.; Turner, I.; Zhang, G.; Gu, Y. An advanced numerical modeling for Riesz space fractional advection–dispersion equations by a meshfree approach. Appl. Math. Model. 2016, 40, 7816–7829. [Google Scholar] [CrossRef]
- Burkardt, J.; Wu, Y.; Zhang, Y. A unified meshfree pseudospectral method for solving both classical and fractional PDEs. SIAM J. Sci. Comput. 2021, 43, A1389–A1411. [Google Scholar] [CrossRef]
- Zahra, W.K.; Elkholy, S.M. Quadratic spline solution for boundary value problem of fractional order. Numer. Algorithms 2012, 59, 373–391. [Google Scholar] [CrossRef]
- Liu, J.; Fu, H.; Chai, X.; Sun, Y.; Guo, H. Stability and convergence analysis of the quadratic spline collocation method for time-dependent fractional diffusion equations. Appl. Math. Comput. 2019, 346, 633–648. [Google Scholar] [CrossRef]
- Mazza, M.; Donatelli, M.; Manni, C.; Speleers, H. On the matrices in B-spline collocation methods for Riesz fractional equations and their spectral properties. arXiv 2021, arXiv:2106.14834. [Google Scholar]
- Podlubny, I. Fractional Differential Equations: An Introduction to Fractional Derivatives, Fractional Differential Equations, to Methods of Their Solution and Some of Their Applications; Academic Press: Cambridge, MA, USA, 1999. [Google Scholar]
- Chen, F.; Baleanu, D.; Wu, G.C. Existence results of fractional differential equations with Riesz–Caputo derivative. Eur. Phys. J. Spec. Top. 2017, 226, 3411–3425. [Google Scholar] [CrossRef]
- Samko, S.; Kilbas, A.A.; Marichev, O. Fractional Integrals and Derivatives. Theory and Applications; Gordon and Breach: London, UK, 1993. [Google Scholar]
- Diethelm, K. The Analysis of Fractional Differential Equations: An Application-Oriented Exposition using Differential Operators of Caputo Type; Springer Science & Business Media: Berlin, Germany, 2010. [Google Scholar]
- Agrawal, O.P. Fractional variational calculus in terms of Riesz fractional derivatives. J. Phys. A Math. Theor. 2007, 40, 6287. [Google Scholar] [CrossRef]
- de Boor, C. A Practical Guide to Splines; Springer: New York, NY, USA, 2001. [Google Scholar]
- Schumaker, L. Spline Functions: Basic Theory; Cambridge University Press: Cambridge, UK, 2007. [Google Scholar]
- Pitolli, F. Optimal B-spline bases for the numerical solution of fractional differential problems. Axioms 2018, 7, 46. [Google Scholar] [CrossRef] [Green Version]
- Pitolli, F. A collocation method for the numerical solution of nonlinear fractional dynamical systems. Algorithms 2019, 12, 156. [Google Scholar] [CrossRef] [Green Version]
- Pezza, L.; Pitolli, F. A fractional spline collocation-Galerkin method for the time-fractional diffusion equation. Commun. Appl. Ind. Math. 2018, 9, 104–120. [Google Scholar] [CrossRef] [Green Version]






| 0.25 | 0.5 | 0.75 | |
|---|---|---|---|
| 0.3 | 0.6 | 0.9 | 1.2 | 1.5 | 1.8 | |
|---|---|---|---|---|---|---|
| 0.4 | 0.8 | 1.2 | 1.6 | |
|---|---|---|---|---|
| 0.4 | 0.8 | 1.2 | 1.6 | |
|---|---|---|---|---|
| 0.25 | 0.75 | 1.25 | 1.75 | |
|---|---|---|---|---|
Publisher’s Note: MDPI stays neutral with regard to jurisdictional claims in published maps and institutional affiliations. |
© 2022 by the authors. Licensee MDPI, Basel, Switzerland. This article is an open access article distributed under the terms and conditions of the Creative Commons Attribution (CC BY) license (https://creativecommons.org/licenses/by/4.0/).
Share and Cite
Pitolli, F.; Sorgentone, C.; Pellegrino, E. Approximation of the Riesz–Caputo Derivative by Cubic Splines. Algorithms 2022, 15, 69. https://doi.org/10.3390/a15020069
Pitolli F, Sorgentone C, Pellegrino E. Approximation of the Riesz–Caputo Derivative by Cubic Splines. Algorithms. 2022; 15(2):69. https://doi.org/10.3390/a15020069
Chicago/Turabian StylePitolli, Francesca, Chiara Sorgentone, and Enza Pellegrino. 2022. "Approximation of the Riesz–Caputo Derivative by Cubic Splines" Algorithms 15, no. 2: 69. https://doi.org/10.3390/a15020069
APA StylePitolli, F., Sorgentone, C., & Pellegrino, E. (2022). Approximation of the Riesz–Caputo Derivative by Cubic Splines. Algorithms, 15(2), 69. https://doi.org/10.3390/a15020069

