Modified Fractional Difference Operators Defined Using Mittag-Leffler Kernels
Abstract
:1. Introduction
2. Preliminary Tools
2.1. Riemann–Liouville Fractional Sums and Mittag-Leffler Functions
2.2. Discrete Laplace Transformation
3. Discrete Atangana–Baleanu and the Modified Atangana–Baleanu of the Liouville–Caputo Fractional Differences
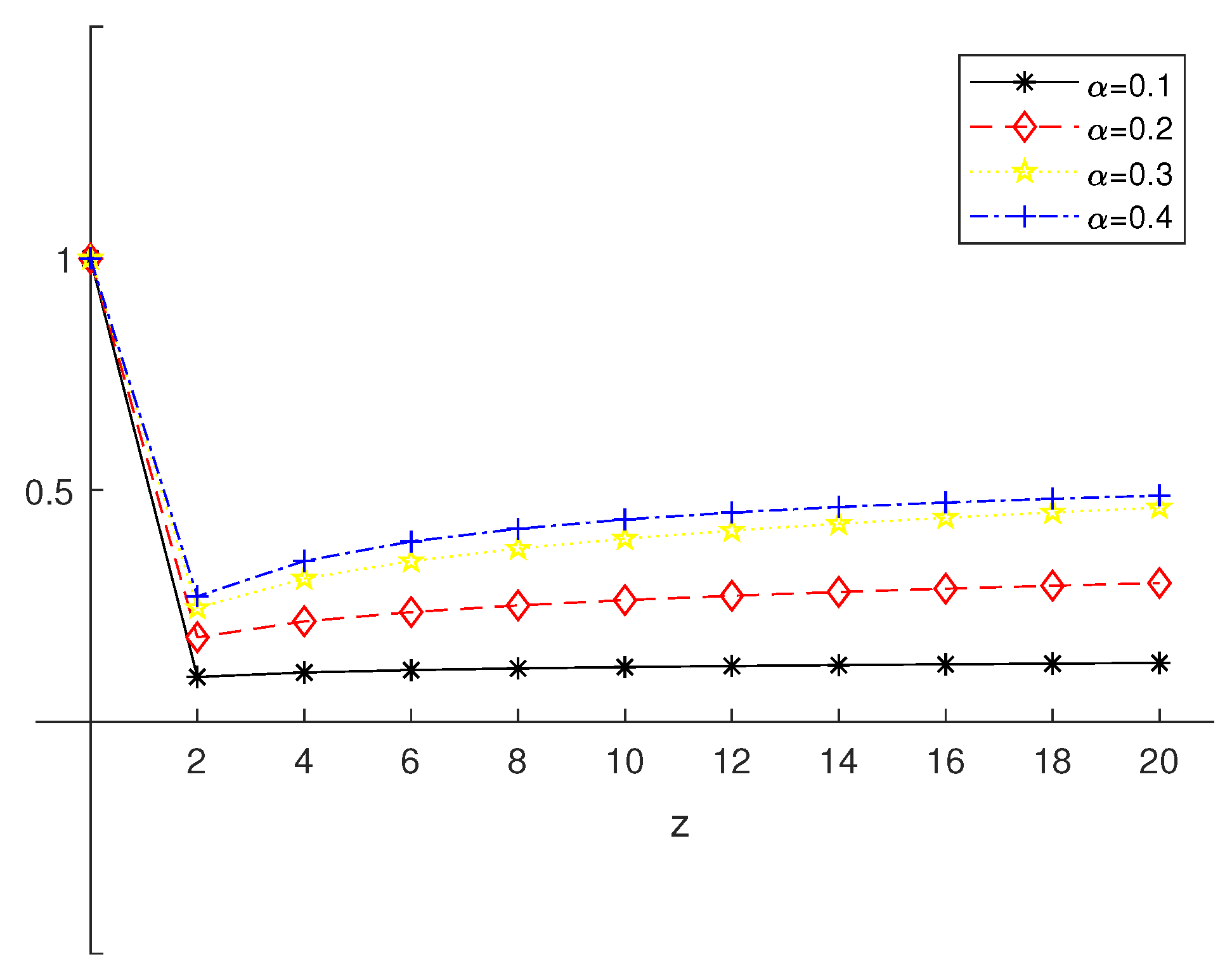
4. Applications
5. Concluding Remarks
Author Contributions
Funding
Institutional Review Board Statement
Informed Consent Statement
Data Availability Statement
Conflicts of Interest
References
- Leibniz, G.W. Letter from Hanover, Germany to G.F.A. L’Hospital, September 30, 1695. Math. Schriften 1849. reprinted in Olns Verl. 1962, 2, 301–302. [Google Scholar]
- Wang, G.; Wazwaz, A. On the modified Gardner type equation and its time fractional form. Chaos Solit. Fract. 2022, 155, 111694. [Google Scholar] [CrossRef]
- Miller, K.S.; Ross, B. An Introduction to the Fractional Calculus and Fractional Differential Equations; John Wiley & Sons: New York, NY, USA, 1993. [Google Scholar]
- Kilbas, A.A.; Srivastava, H.M.; Trujillo, J.J. Theory and Applications of Fractional Differential Equations; Elsevier: Amsterdam, The Netherlands, 2006. [Google Scholar]
- Wang, G.; Wazwaz, A. A new (3 + 1)-dimensional KDV equation and MKDV equation with their corresponding fractional forms. Fractals 2022, 30, 2250081. [Google Scholar] [CrossRef]
- Wang, G. Symmetry analysis, analytical solutions and conservation laws of a generalized KdV-Burgers–Kuramoto equation and its fractional version. Fractals 2021, 29, 2150101. [Google Scholar] [CrossRef]
- Podlubny, I. Fractional Differential Equations; Academic Press: New York, NY, USA, 1999. [Google Scholar]
- Srivastava, H.M. Fractional-order derivatives and integrals: Introductory overview and recent developments. Kyungpook Math. J. 2020, 60, 73–116. [Google Scholar]
- Baleanu, D.; Diethelm, K.; Scalas, E.; Trujillo, J.J. Fractional Calculus: Models and Numerical Methods; World Scientific Publishing Company: Singapore, 2017. [Google Scholar]
- Wang, G. A new (3 + 1)-dimensional Schrödinger equation: Derivation, soliton solutions and conservation laws. Nonlinear Dyn. 2021, 104, 1595–1602. [Google Scholar] [CrossRef]
- Abel, N.H. Oplosning af et Par Opgaver ved Hjelp af Bestemte Integraler. Magazin for Aturvidenskaberne. Aargang I, Bind 2, Christiania. 1823, pp. 55–68. Available online: https://abelprisen.no/sites/default/files/2021-04/Magazin_for_Naturvidenskaberne_oplosning_av_et_par1_opt.pdf (accessed on 26 June 2022).
- Liouville, J. Memoire sur quelques questions de geometries et de mecanique, et sur un nouveau genre de calcul pourr esoundre ces questions. J. Écol. Polytech. 1832, 13, 1–69. [Google Scholar]
- Caputo, M. Linear models of dissipation whose Q is almost frequency independent—II. Geophys. J. Int. 1967, 13, 529–539. [Google Scholar] [CrossRef]
- Dzherbashian, M.M.; Nersesian, A.B. Fractional derivatives and Cauchy problem for differential equations of fractional order. Izv. AN Armenian SSR Ser. Math. 1968, 3, 1. [Google Scholar] [CrossRef]
- Boltzmann, S. Zur Theorie der elastischen Nachwirkung. Sitzber. Akad. Wiss. Wien Math. Naturw. Kl. 1874, 70, 275, reprinted in Pogg. Ann. Phys. 1876, 7, 624. [Google Scholar]
- Prabhakar, T.R. A singular integral equation with a generalized Mittag Leffler function in the kernel. Yokohama Math. J. 1971, 19, 7–15. [Google Scholar]
- Kilbas, A.A.; Saigo, M.; Saxena, R.K. Generalized Mittag-Leffler function and generalized fractional calculus operators. Integral Transform. Spec. Funct. 2004, 15, 31–49. [Google Scholar] [CrossRef]
- Fernandez, A.; Baleanu, D.; Srivastava, H.M. Series representations for fractional-calculus operators involving generalised Mittag-Leffler functions. Commun. Nonlinear Sci. Numer. Simul. 2019, 67, 517–527. [Google Scholar] [CrossRef] [Green Version]
- Al-Refai, M.; Baleanu, D. On an extension of the operator with Mittag-Leffler kernel. Fractals 2022, 30, 2240129. [Google Scholar] [CrossRef]
- Atangana, A.; Baleanu, D. New fractional derivatives with non-local and non-singular kernel: Theory and application to heat transfer model. Thermal Sci. 2016, 20, 763–769. [Google Scholar] [CrossRef] [Green Version]
- Wright, E.M. The asymptotic expansion of integral functions defined by Taylor series—I. Philos. Trans. Ro. Soc. Lond. Ser. A Math. Phys. Sci. 1940, 238, 423–451. [Google Scholar]
- Srivastava, H.M. Some parametric and argument variations of the operators of fractional calculus and related special functions and integral transformations. J. Nonlinear Convex Anal. 2021, 22, 1501–1520. [Google Scholar]
- Srivastava, H.M. An introductory overview of fractional-calculus operators based upon the Fox-Wright and related higher transcendental functions. J. Adv. Eng. Comput. 2021, 5, 135–166. [Google Scholar] [CrossRef]
- Srivastava, H.M. Some families of Mittag-Leffler type functions and associated operators of fractional calculus. TWMS J. Pure Appl. Math. 2016, 7, 123–145. [Google Scholar]
- Srivastava, H.M. A survey of some recent developments on higher transcendental functions of analytic number theory and applied mathematics. Symmetry 2021, 13, 2294. [Google Scholar] [CrossRef]
- Goodrich, C.; Peterson, A.C. Discrete Fractional Calculus; Springer: Berlin/Heidelberg, Germany, 2015. [Google Scholar]
- Atici, F.; Eloe, P. A transform method in discrete fractional calculus. Int. J. Differ. Equ. 2007, 2, 165–176. [Google Scholar]
- Atici, F.; Sengul, S. Modeling with fractional difference equations. J. Math. Anal. Appl. 2010, 369, 1–9. [Google Scholar] [CrossRef] [Green Version]
- Wu, G.-C.; Baleanu, D.; Xie, H.-P. Riesz Riemann-Liouville difference on discrete domains. Chaos 2016, 26, 084308. [Google Scholar] [CrossRef] [PubMed]
- Abdeljawad, T.; Baleanu, D. Discrete fractional differences with nonsingular discrete Mittag-Leffler kernels. Adv. Differ. Equ. 2016, 2016, 232. [Google Scholar] [CrossRef] [Green Version]
- Mohammed, P.O.; Goodrich, C.S.; Hamasalh, F.K.; Kashuri, A.; Hamed, Y.S. On positivity and monotonicity analysis for discrete fractional operators with discrete Mittag-Leffler kernel. Math. Meth. Appl. Sci. 2022, 45, 6391–6410. [Google Scholar] [CrossRef]
- Abdeljawad, T. Dual identities in fractional difference calculus within Riemann. Adv. Differ. Equ. 2017, 2017, 36. [Google Scholar] [CrossRef] [Green Version]
- Abdeljawad, T.; Baleanu, D. Monotonicity results for fractional difference operators with discrete exponential kernels. Adv. Differ. Equ. 2017, 2017, 78. [Google Scholar] [CrossRef] [Green Version]
- Mohammed, P.O.; Abdeljawad, T.; Hamasalh, F.K. On Riemann-Liouville and Caputo fractional forward difference monotonicity analysis. Mathematics 2021, 9, 1303. [Google Scholar] [CrossRef]
- Goodrich, C.S.; Lyons, B. Positivity and monotonicity results for triple sequential fractional differences via convolution. Analysis 2020, 40, 89–103. [Google Scholar] [CrossRef]
- Goodrich, C.S.; Lizama, C. Positivity, monotonicity, and convexity for convolution operators. Discrete Contin. Dyn. Syst. 2020, 40, 4961–4983. [Google Scholar] [CrossRef]
- Abdeljawad, T. On delta and nabla Caputo fractional differences and dual identities. Discret. Dyn. Nat. Soc. 2013, 2013, 12. [Google Scholar] [CrossRef]
- Abdeljawad, T. Fractional operators with generalized Mittag-Leffler kernels and their differintegrals. Chaos 2019, 29, 023102. [Google Scholar] [CrossRef]
- Abdeljawad, T.; Fernandez, A. On a new class of fractional difference-sum operators with discrete Mittag-Leffler kernels. Mathematics 2019, 7, 772. [Google Scholar] [CrossRef] [Green Version]
- Abdeljawad, T. Different type kernel h-fractional differences and their fractional h–sums. Chaos Solit. Fract. 2018, 116, 146–156. [Google Scholar] [CrossRef]
- Mohammed, P.O.; Goodrich, C.S.; Brzo, A.B.; Hamed, Y.S. New classifications of monotonicity investigation for discrete operators with Mittag-Leffler kernel. Math. Biosci. Eng. 2022, 19, 4062–4074. [Google Scholar] [CrossRef]
- Abdeljawad, T.; Baleanu, D. Monotonicity analysis of a nabla discrete fractional operator with discrete Mittag-Leffler kernel. Chaos Solitons Fract. 2017, 116, 1–5. [Google Scholar] [CrossRef]
- Abdeljawad, T. Fractional difference operators with discrete generalized Mittag-Leffler kernels. Chaos Solitons Fract. 2019, 126, 315–324. [Google Scholar] [CrossRef]

Publisher’s Note: MDPI stays neutral with regard to jurisdictional claims in published maps and institutional affiliations. |
© 2022 by the authors. Licensee MDPI, Basel, Switzerland. This article is an open access article distributed under the terms and conditions of the Creative Commons Attribution (CC BY) license (https://creativecommons.org/licenses/by/4.0/).
Share and Cite
Mohammed, P.O.; Srivastava, H.M.; Baleanu, D.; Abualnaja, K.M. Modified Fractional Difference Operators Defined Using Mittag-Leffler Kernels. Symmetry 2022, 14, 1519. https://doi.org/10.3390/sym14081519
Mohammed PO, Srivastava HM, Baleanu D, Abualnaja KM. Modified Fractional Difference Operators Defined Using Mittag-Leffler Kernels. Symmetry. 2022; 14(8):1519. https://doi.org/10.3390/sym14081519
Chicago/Turabian StyleMohammed, Pshtiwan Othman, Hari Mohan Srivastava, Dumitru Baleanu, and Khadijah M. Abualnaja. 2022. "Modified Fractional Difference Operators Defined Using Mittag-Leffler Kernels" Symmetry 14, no. 8: 1519. https://doi.org/10.3390/sym14081519
APA StyleMohammed, P. O., Srivastava, H. M., Baleanu, D., & Abualnaja, K. M. (2022). Modified Fractional Difference Operators Defined Using Mittag-Leffler Kernels. Symmetry, 14(8), 1519. https://doi.org/10.3390/sym14081519

