Low-Complexity Constrained Recursive Kernel Risk-Sensitive Loss Algorithm
Abstract
:1. Introduction
2. CRKRSL Algorithm
2.1. Notations
2.2. KRSL Loss
2.3. Constrained KRSL Loss
2.4. Proposed CRKRSL Algorithm
- A1 is independent identically distributed (i.i.d), generated from a multivariate Gaussian distribution with covariance matrix ;
- A2 is zero mean, i.i.d, and independent with , satisfying ;
- A3 the error is uncorrelated with .
| Algorithm 1: The CRKRSL Algorithm. |
| Input: |
| Data pair , . |
| Initialization: |
| Choose step-size ; kernel width ; risk-sensitive ; initial iterative length L; |
| training size ; |
| initial weight . |
| for |
| end |
| for |
| end |
3. Stability Analysis
4. Results and Discussion
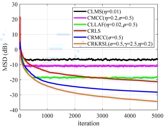
4.1. Low-Dimensional Input
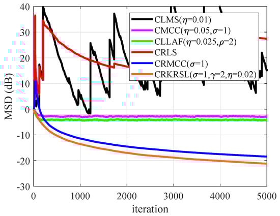
4.2. High-Dimensional Input
5. Conclusions
Author Contributions
Funding
Institutional Review Board Statement
Informed Consent Statement
Data Availability Statement
Conflicts of Interest
References
- De Campos, M.L.R.; Werner, S.; Apolinário, J.A. Constrained adaptive filters. In Adaptive Antenna Arrays: Trends and Applications; Springer: New York, NY, USA, 2004; pp. 46–64. [Google Scholar]
- Frost, O. An algorithm for linearly constrained adaptive array processing. Proc. IEEE 1972, 60, 926–935. [Google Scholar] [CrossRef]
- Li, J.; Stoica, P. Robust Adaptive Beamforming; John Wiley & Sons: New York, NY, USA, 2005. [Google Scholar]
- Diniz, P.S. Adaptive Filtering: Algorithms and Practical Implementation; Springer: Cham, Switzerland, 1997. [Google Scholar]
- Wu, Q.; Li, Y.; Xue, W. A kernel recursive maximum versoria-like criterion algorithm for nonlinear channel equalization. Symmetry 2019, 11, 1067. [Google Scholar] [CrossRef] [Green Version]
- Verdu, S. Multiuser Detection; Cambridge University Press: Cambridge, UK, 1998. [Google Scholar]
- Arablouei, R.; Doğançay, K.; Werner, S. On the mean-square performance of the constrained LMS algorithm. Signal Process. 2015, 117, 192–197. [Google Scholar] [CrossRef] [Green Version]
- Resende, L.S.; Romano, J.M.T.; Bellanger, M.G. A fast least-squares algorithm for linearly constrained adaptive filtering. IEEE Trans. Signal Process. 1996, 44, 1168–1174. [Google Scholar] [CrossRef]
- Arablouei, R.; Doğançay, K. Performance analysis of linear-equality-constrained least-squares estimation. IEEE Trans. Signal Process. 2015, 63, 3762–3769. [Google Scholar] [CrossRef] [Green Version]
- Arablouei, R.; Doğançay, K. Reduced-complexity constrained recursive least-squares adaptive filtering algorithm. IEEE Trans. Signal Process. 2012, 60, 6687–6692. [Google Scholar] [CrossRef]
- Werner, S.; Apolinário, J.A.; de Campos, M.L.R.; Diniz, P. Low-complexity constrained affine-projection algorithms. IEEE Trans. Signal Process. 2005, 53, 4545–4555. [Google Scholar] [CrossRef]
- Apolinário, J.A., Jr.; de Campos, M.L.R.; Bernal, O.C.P. The constrained conjugate gradient algorithm. IEEE Signal Process. Lett. 2000, 12, 351–354. [Google Scholar] [CrossRef]
- De Campos, M.L.R.; Werner, S.; Apolinário, J.A. Constrained adaptation algorithms employing Householder transformation. IEEE Trans. Signal Process. 2002, 9, 2187–2195. [Google Scholar] [CrossRef]
- Arablouei, R.; Doğançay, K. Linearly-constrained recursive total least-squares algorithm. IEEE Signal Process. Lett. 2012, 12, 821–824. [Google Scholar] [CrossRef]
- Haykin, S. Adaptive Filter Theory; Prentice-Hall: Upper Saddle River, NJ, USA, 2002. [Google Scholar]
- Liu, W.; Pokharel, P.P.; Príncipe, J.C. Correntropy: Properties and applications in non-Gaussian signal processing. IEEE Trans. Signal Process. 2007, 55, 5286–5298. [Google Scholar] [CrossRef]
- Li, Y.; Wang, Y.; Sun, L. A proportionate normalized maximum correntropy criterion algorithm with correntropy induced metric constraint for identifying sparse systems. Symmetry 2018, 10, 683. [Google Scholar] [CrossRef] [Green Version]
- Chen, B.; Xing, L.; Zhao, H.; Zheng, N.; Príncipe, J.C. Generalized correntropy for robust adaptive filtering. IEEE Trans. Signal Process. 2016, 64, 3376–3387. [Google Scholar] [CrossRef] [Green Version]
- Erdogmus, D.; Príncipe, J.C. An error-entropy minimization algorithm for supervised training of nonlinear adaptive systems. IEEE Trans. Signal Process. 2002, 50, 1780–1786. [Google Scholar] [CrossRef] [Green Version]
- Príncipe, J.C. Information Theoretic Learning: Renyi’s Entropy and Kernel Perspectives; Springer: New York, NY, USA, 2010. [Google Scholar]
- Peng, S.; Chen, B.; Sun, L.; Ser, W.; Lin, Z. Constrained maximum correntropy adaptive filtering. Signal Process. 2017, 140, 116–126. [Google Scholar] [CrossRef] [Green Version]
- Bhattacharjee, S.S.; Shaikh, M.A.; Kumar, K.; George, N.V. Robust constrained generalized correntropy and maximum versoria criterion adaptive filters. IEEE Trans. Circuits Syst. II Express Briefs 2021, 68, 3002–3006. [Google Scholar] [CrossRef]
- Peng, S.; Ser, W.; Chen, B.; Sun, L.; Lin, Z. Robust constrained adaptive filtering under minimum error entropy criterion. IEEE Trans. Circuits Syst. II Express Briefs 2018, 65, 1119–1123. [Google Scholar] [CrossRef]
- Wang, Z.; Zhao, H.; Zeng, X. Constrained least mean M-estimation adaptive filtering algorithm. IEEE Trans. Circuits Syst. II Express Briefs 2021, 68, 1507–1511. [Google Scholar] [CrossRef]
- Liang, T.; Li, Y.; Zakharov, Y.V.; Xue, W.; Qi, J. Constrained least lncosh adaptive filtering algorithm. Signal Process. 2021, 183, 108044. [Google Scholar] [CrossRef]
- Qian, G.; Ning, X.; Wang, S. Recursive constrained maximum correntropy criterion algorithm for adaptive filtering. IEEE Trans. Circuits Syst. II Express Briefs 2020, 67, 2229–2233. [Google Scholar] [CrossRef]
- Chen, B.; Xing, L.; Xu, B.; Zhao, H.; Zheng, N.; Príncipe, J.C. Kernel risk-sensitive loss: Definition, properties and application to robust adaptive filtering. IEEE Trans. Signal Process. 2017, 65, 2888–2901. [Google Scholar] [CrossRef] [Green Version]
- Qian, G.; Dong, F.; Wang, S. Robust constrained minimum mixture kernel risk-sensitive loss algorithm for adaptive filtering. Digit. Signal Process. 2020, 107, 102859. [Google Scholar] [CrossRef]
- Qian, G.; Wang, S.; Wang, L.; Duan, S. Convergence analysis of a fixed point algorithm under maximum complex correntropy criterion. IEEE Signal Process. Lett. 2018, 25, 1830–1834. [Google Scholar] [CrossRef]
- Liu, W.; Príncipe, J.C.; Haykin, S. Kernel Adaptive Filtering: A Comprehensive Introduction; Wiley: Hoboken, NJ, USA, 2011. [Google Scholar]
- Zhang, X.-D. Matrix Analysis and Applications; Cambridge University Press: Cambridge, UK, 2017. [Google Scholar]
- Sayed, A.H. Adaptive Filters; John Wiley & Sons: Hoboken, NJ, USA, 2008. [Google Scholar]
- Isserlis, L. On a formula for the product-moment coefficient of any order of a normal frequency distribution in any number of variables. Biometrika 1918, 12, 134–139. [Google Scholar] [CrossRef] [Green Version]
- Zhang, Q.; Feng, W.; Iu, H.H.C.; Wang, S. Adaptive filters with robust augmented space linear model: A weighted k-NN method. IEEE Trans. Signal Process. 2021, 69, 6448–6461. [Google Scholar] [CrossRef]








| Algorithm | Consumed Time (s) | Steady-State MSD (dB) |
|---|---|---|
| CLMS | − | |
| CMCC | − | |
| CLLAF | − | |
| CRLS | − | |
| CRMCC | − | |
| CRKRSL | − |
| Algorithms | Computational Complexity |
|---|---|
| CLMS | |
| CMCC | |
| CLLAF | |
| CRLS | |
| CRMCC | |
| CRKRSL |
| Algorithm | Consumed Time (s) | Steady-State MSD (dB) |
|---|---|---|
| CLMS | ||
| CMCC | ||
| CLLAF | ||
| CRLS | ||
| CRMCC | ||
| CRKRSL |
Publisher’s Note: MDPI stays neutral with regard to jurisdictional claims in published maps and institutional affiliations. |
© 2022 by the authors. Licensee MDPI, Basel, Switzerland. This article is an open access article distributed under the terms and conditions of the Creative Commons Attribution (CC BY) license (https://creativecommons.org/licenses/by/4.0/).
Share and Cite
Xiang, S.; Zhao, C.; Gao, Z.; Yan, D. Low-Complexity Constrained Recursive Kernel Risk-Sensitive Loss Algorithm. Symmetry 2022, 14, 877. https://doi.org/10.3390/sym14050877
Xiang S, Zhao C, Gao Z, Yan D. Low-Complexity Constrained Recursive Kernel Risk-Sensitive Loss Algorithm. Symmetry. 2022; 14(5):877. https://doi.org/10.3390/sym14050877
Chicago/Turabian StyleXiang, Shunling, Chunzhe Zhao, Zilin Gao, and Dongfang Yan. 2022. "Low-Complexity Constrained Recursive Kernel Risk-Sensitive Loss Algorithm" Symmetry 14, no. 5: 877. https://doi.org/10.3390/sym14050877
APA StyleXiang, S., Zhao, C., Gao, Z., & Yan, D. (2022). Low-Complexity Constrained Recursive Kernel Risk-Sensitive Loss Algorithm. Symmetry, 14(5), 877. https://doi.org/10.3390/sym14050877
