Abstract
For a graph , an independent Roman dominating function (IRDF) is a function having the property that: (1) every vertex assigned a value of 0 is adjacent to at least one vertex assigned a value of 2, (2) there are no two adjacent vertices with positive assignments. The weight of an IRDF () is the sum of assignments for all vertices. The minimum weight of an independent Roman dominating function on graph G is the independent Roman domination number, denoted by . In this paper, we prove that the decision problem of minimum IRDF is -complete for chordal bipartite graphs. Then, we research the difference in complexity between the decision problem of RDF and IRDF. Finally, we propose a linear-time algorithm for computing the minimum weight of an independent Roman dominating function in trees.
1. Introduction
In this paper, the independent Roman dominating function we have studied is a variant of the Roman dominating function.
Let G be a simple and undirected graph with sets of vertex and edge . For every vertex , we denote the set is the open neighborhood and the set is the closed neighborhood . In graph G, the degree of a vertex v is denoted by , the minimum degree is denoted by and the maximum degree is denoted by . If , then we call the vertex u is a leaf and its neighbor is a support vertex. If a support vertex is adjacent to at least two leaves, we call it a strong support vertex. If can be partitioned into two disjoint independent sets, we call the graph G a bipartite graph. If every cycle of length at least 6 has a chord in bipartite graph G, then the bipartite graph G is called a chordal bipartite graph. A tree T is an acyclic connected graph. For any positive integer k, we denote the set by . The dihedral group is the symmetry group of a regular polygon with n sides.
For a graph , let be a function, for be a set, and be the ordered partition of V induced by f. The functions and the ordered partitions of V are a correspondence. So, we will write .
The concept of Roman domination in graphs was introduced by Cockayne et al. in 2004 [1]. The definition of Roman dominating function is that a function is a Roman dominating function (RDF) if every vertex assigned a value of 0 is adjacent to at least one vertex assigned a value of 2 [2]. The weight of an RDF is the sum of assignments for all vertices. The minimum weight of a Roman dominating function on G is the Roman domination number, denoted by .
To date, many articles have been published on the topic of Roman domination. Cockayne et al. [2] introduced the properties of Roman dominating functions. Blidia, Chambers et al. [3,4,5,6] researched the bounds on Roman dominating functions and Bermudo et al. [7,8] discovered the relationships with some domination parameters. In terms of algorithm and complexity, Cockayne et al. [2] introduced a linear-time algorithm for computing Roman domination problem on trees. McRae [2] showed the decision problem corresponding to Roman dominating functions (DECIDE-RDF) was -complete for bipartite graphs, split graphs, and planar graphs. Moreover, some linear-time algorithms for the Roman domination problem on bounded treewidth graphs and block graphs were proposed [9]. Liedloff et al. [10] discovered that there were linear-time algorithms for computing the Roman domination number on cographs and interval graphs. Many variants of the Roman domination problem have also been studied in depth by many scholars [11,12,13,14].
The concept of the independent dominating set originated from the chessboard problems. The correlation theory was formalized by Berge [15] in 1962. A set S is independent if there are no connected edges for any two vertices in S. An independent dominating set of G is a set that is both dominating and independent in G. The independent domination number of G, denoted by , is the minimum size of an independent dominating set.
Bound on the independent domination number was established by Berge [16]. Subsequently, the upper bound was improved by Blidia et al. [17]. Moreover, the research of independent dominating problem has also been extended to various special graph classes, for example, claw-free graph [18], bipartite graph [19], regular graph [20]. In terms of complexity, the independent domination problem is -complete even when restricted to bipartite graphs [21], to unit disk graphs [22], or to planar cubic graphs [23]. It was straightforward to calculate the independent domination number of a tree in linear-time [24]. Telle and Proskurowski [25] proved a polynomial-time algorithm for graphs of bounded treewidth and Farber [26] showed the linear-time algorithm of chordal graphs.
The independent Roman domination we studied in this paper is a variant of independent domination and Roman domination. An independent Roman dominating function (IRDF) is a function having the property that: (1) every vertex assigned a value of 0 is adjacent to at least one vertex assigned a value of 2, (2) there are no two adjacent vertices with positive assignments. The weight of an IRDF () is the sum of assignments for all vertices. The minimum weight of an independent Roman dominating function on graph G is the independent Roman domination number, denoted by .
1.1. Related Work
Cockayne et al. [2] put forward relevant concepts and conjectures, and proposed some open questions. Adabi et al. [27] studied the relations with independent domination, Roman domination and obtained some properties and bounds. Rad et al. [28] improved some previous bounds which were proposed by Adabi et al. [27]. Chellali et al. proposed a strong equivalence relationship between independent Roman domination numbers and Roman domination numbers on Trees [29]. In the private communication between Cockayne et al. and BMcRae [2], they proposed about the decision problem corresponding to independent Roman dominating functions is -complete, even when restricted to bipartite graphs. Wu et al. [30] conducted an in-depth study of independent Roman domination for stable and vertex-critical graphs.
1.2. Our Results
In this paper, we study the complexity and algorithmic aspects of independent Roman domination in graphs. Firstly, we show that the decision problem corresponding to independent Roman dominating functions (DECIDE-IRDF) is -complete, even when restricted to chordal bipartite graphs. Secondly, we discuss the complexity difference between DECIDE-RDF and DECIDE-IRDF by portraying a special graph class where one problem can be solved in polynomial time and the other is -complete. Finally, we present a linear-time algorithm for computing the independent Roman domination number in trees.
The rest of the paper is organized as follows. In Section 2, we show that the decision problem of IRDF is -complete for chordal bipartite graphs. In Section 3, we give a characterization of the difference in complexity between the decision problems of RDF and IRDF. In Section 4, we propose a linear-time algorithm for computing the independent Roman domination number in trees. In Section 5, we conclude the paper.
2. DECIDE-IRDF Is NP-Complete for Chordal Bipartite Graphs
In this section, we show that the decision problem of IRDF is -complete for chordal bipartite graphs. Firstly, the independent Roman domination problem () is an problem, since we can check whether a function f is an IRDF and the weight of f at most k in polynomial time. Secondly, our goal is to transform any instance of into an instance G of . Let and be an arbitrary of .
Construction 1.
For each corresponding in C, we build a circle with four sides and add an edge from any one vertex of to . Let be the another three vertices different from of . Let . Now to obtain a graph G, we add edges if (see Figure 1). Set . Clearly, G is a chordal bipartite graph.
Figure 1.
Construction example.
Lemma 1.
If the instance of has a solution , there exists an independent Roman dominating function with weight in graph G.
Proof.
Suppose that the instance of has a solution . We construct an independent Roman dominating function f on G of weight k. For every , assign the 2 to if and 0 to if . If we assign the 2 to , let and . If we assign the 0 to , let and . Finally, assign 0 to the remaining vertices of G. Since exists, its cardinality is precisely q, the number of ’s with value 2 is q, having disjoint neighborhoods in , where every has one neighbor be assigned 2. Hence, it is straightforward to see that f is an independent Roman dominating function with weight . □
Claim 1.
Let be the subgraph of G induced by the vertices of , and let be an IRDF on with minimum weight, then:
We give all the assignment possibilities of the subgraph on independent Roman dominating function f and show them in Figure 2 with symmetrical Figure 2 and Figure 3.
Figure 2.
assignment possibilities.
Figure 3.
A construction example of graph.
Claim 2.
For a graph G which has an independent Roman function f with weight at most k, the will not be assigned a value of 1.
Proof.
We suppose that there exists a t satisfies . By Claim 1, this implies that . Now, we can define a new IRDF as , and otherwise. It is clear that g is an IRDF on graph G and . Therefore, we can replace all cases where is assigned 1. □
Claim 3.
For a graph G which has an independent Roman domination function f with weight at most k, .
Proof.
Conversely, we suppose that for some . We have , thus for each which exists the edge with the , let . By Claims 1 and 2, we know that if , we have and if , we have . Then, we discuss the rest of the vertices in X except . □
- Case 1.
- No vertex can be dominated by assigned to 2.According the assumption, we know for each .It implying that for each and for each .Since , a contradiction we have .
- Case 2.
- There exist some vertices be dominated by assigned to 2. Considering the following subcases.
- Subcase 2.1.
- Except for vertex , the other vertices can be fully dominated by assigned to 2.Hence, for each .The number of equals .When other vertices in Y are assigned a value of 0, the sum of the weights of graph G is the smallest.We have , this contradicts our known.
- Subcase 2.2.
- There exist some vertices not be dominated by assigned to 2.We assume m equals the number of vertices which and we have .We let represent vertices in set X whose assignments are greater than 0.Hence, .Combining these three formulas, we have a contradiction .
Combining the above two situations, we prove that for each .
Lemma 2.
If there exists an independent Roman dominating function with weight in graph G, the instance of has a solution .
Proof.
Suppose that G has an independent Roman function with weight at most k. Among all such functions let . Clearly, by Claims 2 and 3, we have or 0 for each and for each .
Moreover, each is dominated by its adjacent , so the number of vertices which equals p and . Since , combining the above two inequalities, we have . Consequently, is an exact cover for C.
By Lemmas 1 and 2, we have reached the final conclusion. □
Theorem 1.
The decision problem of IRDF is -complete for chordal bipartite graphs.
3. Complexity Difference between Roman Domination and Independent Roman Domination
Before that, many scholars have conducted in-depth research on the complexity of decision problems for different graph classes. However, from the overall perspective, we hope that through the research on the complexity differences, we can make more effective decisions when constructing models for practical problems in life.
Therefore, we want to find some special graph classes in which one problem is solvable in polynomial time, whereas the other one is -complete. Next, we describe the difference in complexity between Roman domination and independent Roman domination by defining two special graph classes and . On any graph, the Roman domination problem is solvable in polynomial time and the independent Roman domination problem is -complete. However, on any graph, the independent Roman domination problem is solvable in polynomial time and the Roman domination problem is -complete.
Firstly, we define that is constructed from G, which means that the original vertices and edges on graph G are not changed, but only changed into by adding a specific structure.
Construction 2.
Let graph G have n vertices. For any vertex in graph G, we define some corresponding vertex sets and edge sets.
- .
- .
- .
- (a)
- For any vertex in the graph G, add the set of vertices .
- (b)
- For any vertex in the graph G, add the set of edges .
On the basis of graph G, the new graph formed according to the above construction methods is called graph. See Figure 3.
Lemma 3.
Let be a graph which is constructed from graph , we have .
Proof.
For any vertex , let be a subgraph of which is induced by the set of vertices . It is clear that for any IRDF f of , we have . Therefore we can infer that . Let a function with the property that for each , and otherwise. It is clear that g is an IRDF on and . So we have . This implies that . □
Lemma 4.
Let be a graph which is constructed from graph . Then, graph G has a Roman domination function where the weight at most k if and only if graph has a Roman domination function where the weight at most .
Proof.
(Necessity:) Since G has a Roman domination function with weight at most k, we can define as follows: for each ,
- , .
- .
- otherwise.
It is clear that is a Roman domination function on , and the weight of at most .
(Sufficiency:) We assume that function is a Roman domination function on with minimum weight and . □
Claim 4.
for each .
Proof.
We suppose that there exists a t satisfying . We have . Now, we can define a new RDF as , , and otherwise. It is clear that is a Roman domination function on graph and . There is a contradiction with our assumption that the weight of is minimum. The conclusion is proved. □
Claim 5.
Let be the subgraph of induced by the vertex set , then for each .
Proof.
Without loss of generality, we assume that . There is no vertex that connects all the other vertices on , so does not make all the vertices on under dominated, this is a contradiction. Therefore, for each . □
Now, we proceed to prove Lemma 4. Firstly, we define a function satisfying that for each , if and , let ; otherwise.
Since function is a Roman domination function on graph , it implies that g is a Roman domination function on graph G. By Claims 4 and 5, we have . By the known condition , we come to conclusion . The conclusion of Lemma 4 is proved.
For general graphs, the decision problem of RDF is -complete, by Lemma 4, we know that for graphs the decision problem of RDF is -complete.
By Lemmas 3 and 4, we came to the final conclusion.
Theorem 2.
In graphs, the independent Roman domination problem is solvable in polynomial time and the Roman domination problem is -complete.
Below, we introduce another special graph, the graph.
Construction 3.
Let graph G have n vertices. For any vertex in graph G, we define some corresponding vertex sets and edge sets.
- .
- .
- .
- (a)
- For any vertex in the graph G, add the set of vertices .
- (b)
- For any vertex in the graph G, add the set of edges .
On the basis of graph G, the new graph formed according to the above construction methods is called graph. See Figure 4.
Figure 4.
A construction example of graph.
Lemma 5.
Let be a graph which is constructed from graph , we have .
Proof.
Now, we define a function satisfying that for each ,
- , .
- .
- otherwise.
It is clear that function f is a Roman domination function on graph , and the weight of f is . So we have . □
Claim 6.
Let be a graph which is constructed from graph . We have .
Proof.
Let be the subgraph of graph which is induced by the vertex set for each . We assume that there exists a Roman domination function on graph and . It can infer that there exists a t satisfying for subgraph . It is obvious that and ; otherwise it contradicts that is a Roman domination function. So we can infer that .
This contradicts the assumption . So we have Therefore, Claim 6 is proved.
By Claim 6, we have . This implies that . Therefore, the Lemma 5 is proved. □
Lemma 6.
Let be a graph which is constructed from graph . Then, graph G has an independent Roman domination function where the weight at most k if and only if graph has an independent Roman domination function where the weight at most .
Proof.
Let be the subgraph of graph which is induced by the vertex set for each .
(Necessity:) We assume that graph G has an independent Roman domination function g and . Next, we define a function that satisfies the following conditions:
- (1): if , let , and for .
- (2): if , let , and for .
- (3): if , let , and for .
It is obvious that is an independent Roman domination function on graph . Since we know that , by (1)–(3), we have . Therefore, function is an independent Roman domination function on graph and . We have completed the proof of the necessity.
(Sufficiency:) We assume that has an independent Roman domination function and the weight at most . Now, we define a function is an independent Roman domination function which has the minimum weight. It is clear that . □
Lemma 7
([27]). For any graph G of order n, .
Claim 7.
Proof.
Through the proof of necessity, we know that given an independent Roman domination function which the weight at most k on graph G, we can find an independent Roman domination function on graph which the weight at most . By Lemma 7, we know that for any graph G of order n, . Therefore, we can get an independent Roman domination function on which the weight at most . We have the fact that is the independent Roman domination function with the minimum weight, so . □
Claim 8.
for each .
Proof.
Conversely, we assume that there exists a t satisfying that .
If , for each , , it is easy to prove that there is a contradiction with is an IRDF.
If , this implies that for each . Since , we can infer that . It contradicts the conclusion of Claim 7. Hence, the conclusion is proven. □
Claim 9.
for each .
Proof.
Conversely, we assume that there exists a t satisfying that . We can know that the neighbor of must be assigned 0 for which . This is a contradiction by Claim 8. Hence, the conclusion is proven. □
Claim 10.
for each .
Proof.
It can be verified that for each ; otherwise it would contradict the known fact that is an independent Roman domination function on graph . Futher, by Claim 8, we know that . Therefore, we have
.
We now return to prove the sufficiency part of Lemma 6. Define as for each . We want to show that f is an independent Roman domination function on graph G. We know that . From Claim 9, we have that . Hence, does not dominated by . So we can infer that f is an independent Roman domination function on graph G. According to the known condition and Claim 10, we deduce that .
For general graphs, the decision problem of IRDF is -complete [2], by Lemma 6, we know that for graphs the decision problem of IRDF is -complete.
By Lemmas 5 and 6, we have reached the final conclusion. □
Theorem 3.
In graphs, the Roman domination problem is solvable in polynomial time and the independent Roman domination problem is -complete.
4. A Linear Algorithm for Independent Roman Domination in Trees
In this section, we propose a linear-time algorithm for computing the independent Roman dominating number in trees. Let similarly represent the independent Roman domination number of graph G.
Let u be a special vertex of graph G, and an independent Roman domination function with minimum weight on graph G satisfy that . So it is useful to consider the following three domination problems.
f is an IRDF of G and
f is an IRDF of G and
f is an IRDF of G and
Lemma 8.
For any graph G with a specific vertex u, we have
is an IRDF of .
Note that since an IRDF f of G and is also an IRDF of
Theorem 4.
Suppose that graph G contains special vertices u and graph H contains special vertices v, and graph I is obtained by adding a new edge to the disjoint union of graph G and H. Therefore, the following equations are true.
- (1)
- (2)
- (3)
- (4)
- =
Proof. (1) We can conclude from the fact that f is an IRDF of I with if and only if where g is an IRDF of G with and h is an IRDF of H with , g is an IRDF of G with and h is an IRDF of H with , or g is an IRDF of and h is an IRDF of H with .
(2) We can conclude from the fact that f is an IRDF of I with if and only if where g is an IRDF of G with and h is an IRDF of H with .
(3) We can conclude from the fact that f is an IRDF of I with if and only if where g is an IRDF of G with and h is an IRDF of .
(4) We can conclude from the fact that f is an IRDF of if and only if where g is an IRDF of and h is an IRDF of H. □
Lemma 8 and Theorem 4 give the following dynamic programming algorithm for the independent Roman domination problem in trees (See Algorithm 1). The tree ordering in the algorithm refers to any traversal order of the tree, and pre-order, in-order, and post-order traversal are possible.
| Algorithm 1 Independent Roman Domination |
Input: A tree T with a tree ordering . Output: the Independent Roman domination number of T.
|
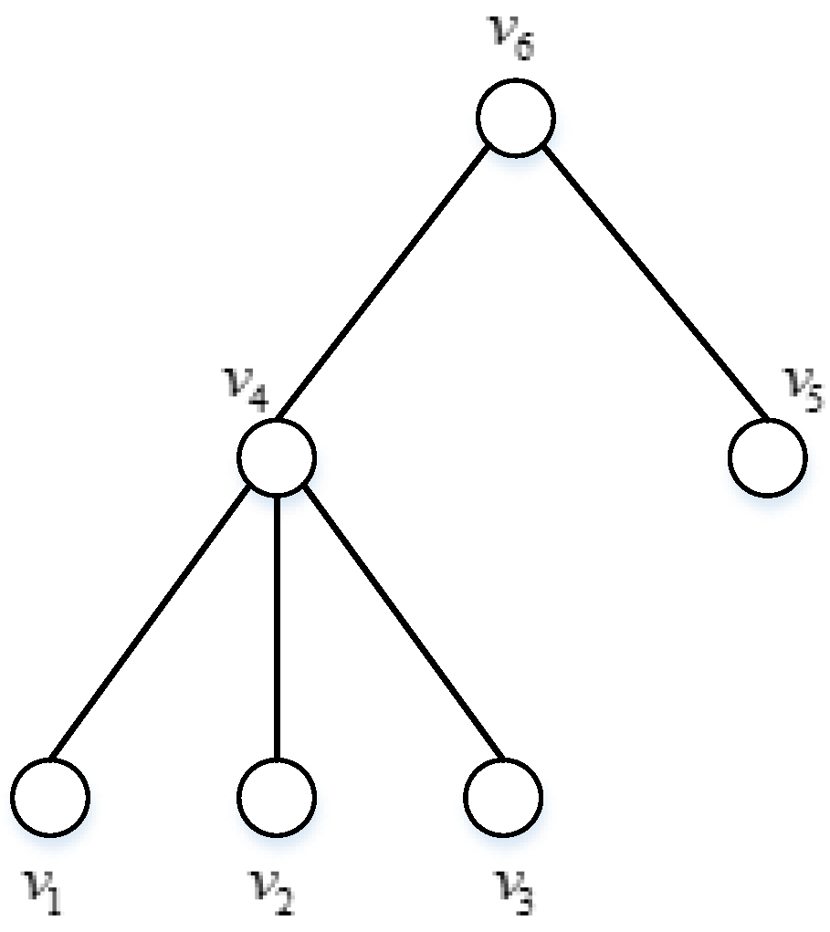
Below, we take Figure 5 as an example to show the changes in the values of intermediate parameters during the execution of each step of the algorithm in the form of a table (See Table 1, Table 2, Table 3, Table 4, Table 5 and Table 6). We take the result of the post-order traversal as the tree order.
Figure 5.
example.
Table 1.
Initial state.
Table 2.
i = 1.
Table 3.
i = 2.
Table 4.
i = 3.
Table 5.
i = 4.
Table 6.
i = 5.
It can be seen from Table 6, . Therefore, the independent Roman domination number of this tree is 3.
5. Conclusions
In this paper, we research the decision problem IRDF corresponding to independent Roman dominating functions is -complete, even when restricted to chordal bipartite graphs. We prove the complexity difference between DECIDE-RDF and DECIDE-IRDF. At the same time, we also propose a linear-time algorithm for computing the independent Roman domination number in trees. We believe that linear-time algorithms on block graphs and interval graphs are also possible, and we will continue to study this aspect in the future.
Author Contributions
Z.S. and P.W. contributed to the supervision, methodology, validation, project administration, and formal analysis. Z.D., H.J. and X.L. contributed to the investigation, resources, and some computations and wrote the initial draft of the paper, which was investigated and approved by Z.S. and Z.D. wrote the final draft. All authors have read and agreed to the published version of the manuscript.
Funding
This research received no external funding.
Institutional Review Board Statement
Not applicable.
Informed Consent Statement
Not applicable.
Data Availability Statement
Not applicable.
Conflicts of Interest
The authors declare no conflict of interest.
References
- Stewart, I. Defend the Roman Empire! Sci. Am. 1999, 281, 136–138. [Google Scholar] [CrossRef]
- Cockayne, E.J.; Dreyer, P.A.; Hedetniemi, S.M.; Hedetniemi, S.T. Roman domination in graphs. Discret. Math. 2004, 278, 11–22. [Google Scholar] [CrossRef]
- Blidia, M.; Bouchou, A.; Chellali, M. Extremal Graphs for a Bound on the Roman Domination Number. Discuss. Math. Graph Theory 2020, 40, 771–785. [Google Scholar] [CrossRef]
- Chambers, E.W.; Kinnersley, B.; Prince, N.; West, D.B. Extremal problems for roman domination. Siam J. Discret. Math. 2009, 23, 1575–1586. [Google Scholar] [CrossRef]
- Liu, C.; Chang, G. Roman Domination On 2-Connected Graphs. Siam J. Discret. Math. 2012, 26, 193–205. [Google Scholar] [CrossRef]
- Liu, C.H.; Chang, G.J. Upper bounds on Roman domination numbers of graphs. Discret. Math. 2012, 312, 1386–1391. [Google Scholar] [CrossRef]
- Xing, H.M.; Chen, X.; Chen, X.G. A note on Roman domination in graphs. Discret. Math. 2006, 306, 3338–3340. [Google Scholar] [CrossRef]
- Bermudo, S.; Fernau, H.; Sigarreta, J. The Differential And The Roman Domination Number Of A Graph. Appl. Anal. Discret. Math. 2014, 8, 155–171. [Google Scholar] [CrossRef]
- Fernau, H. Roman domination: A parameterized perspective. Int. J. Comput. Math. 2008, 85, 25–38. [Google Scholar] [CrossRef]
- Liedloff, M.; Kloks, T.; Liu, J.; Peng, S.L. Efficient algorithms for Roman domination on some classes of graphs. Discret. Appl. Math. 2008, 156, 3400–3415. [Google Scholar] [CrossRef]
- Ahangar, H.A.; Álvarez, M.; Chellali, M.; Sheikholeslami, S.M.; Valenzuela-Tripodoro, J.C. Triple Roman domination in graphs. Appl. Math. Comput. 2021, 391, 125444. [Google Scholar]
- Ahangar, H.A.; Amjadi, J.; Chellali, M.; Nazari-Moghaddam, S.; Sheikholeslami, S.M. Total Roman reinforcement in graphs. Discuss. Math. Graph Theory 2019, 39. [Google Scholar] [CrossRef]
- Ahangar, H.A.; Chellali, M.; Sheikholeslami, S.; Valenzuela-Tripodoro, J. Maximal double Roman domination in graphs. Appl. Math. Comput. 2022, 414, 126662. [Google Scholar]
- Liu, C. A note on domination number in maximal outerplanar graphs. Discret. Appl. Math. 2021, 293, 90–94. [Google Scholar] [CrossRef]
- Berge, C. Theory of Graphs and Its Applications [Russian Translation]; IL: Moscow, Russia, 1962; pp. 150–152. [Google Scholar]
- Berge, C. Graphs and Hypergraphs; North-Holland Mathematical Library: Hong Kong, China, 1973; Volume 6, pp. 3–528. [Google Scholar]
- Blidia, M.; Chellali, M.; Maffray, F. Extremal graphs for a new upper bound on domination parameters in graphs. Discret. Math. 2006, 306, 2314–2326. [Google Scholar] [CrossRef][Green Version]
- Bollobás, B.; Cockayne, E.J. Graph-theoretic parameters concerning domination, independence, and irredundance. J. Graph Theory 1979, 3, 241–249. [Google Scholar] [CrossRef]
- Ma, D.X.; Chen, X.G. A note on connected bipartite graphs having independent domination number half their order. Appl. Math. Lett. 2004, 17, 959–962. [Google Scholar] [CrossRef]
- Rosenfeld, M. Independent sets in regular graphs. Isr. J. Math. 1964, 2, 262–272. [Google Scholar] [CrossRef]
- Corneil, D.G.; Perl, Y. Clustering and domination in perfect graphs. Discret. Appl. Math. 1984, 9, 27–39. [Google Scholar] [CrossRef]
- Clark, B.N.; Colbourn, C.J.; Johnson, D.S. Unit disk graphs. Discret. Math. 1990, 86, 165–177. [Google Scholar] [CrossRef]
- Manlove, D.F. On the algorithmic complexity of twelve covering and independence parameters of graphs. Discret. Appl. Math. 1999, 91, 155–175. [Google Scholar] [CrossRef]
- Beyer, T.; Proskurowski, A.; Hedetniemi, S.; Mitchell, S. Independent domination in trees. Congr. Numer 1977, 19, 3. [Google Scholar]
- Telle, J.A.; Proskurowski, A. Algorithms for vertex partitioning problems on partial k-trees. SIAM J. Discret. Math. 1997, 10, 529–550. [Google Scholar] [CrossRef]
- Farber, M. Independent domination in chordal graphs. Oper. Res. Lett. 1982, 1, 134–138. [Google Scholar] [CrossRef]
- Rad, N.J.; Targhi, E.E.; Adabi, M.; Moradi, M.S. Properties of independent Roman domination in graphs. Australas. J. Comb. 2012, 52, 11–18. [Google Scholar]
- Rad, N.J. Note on the Independent Roman Domination Number of a Graph. J. Comb. Math. Comb. Comput. 2015, 95, 119–125. [Google Scholar]
- Chellali, M.; Rad, N.J. Strong Equality Between the Roman Domination and Independent Roman Domination Numbers in Trees. Discuss. Math. Graph Theory 2013, 33, 337–346. [Google Scholar] [CrossRef]
- Wu, P.; Shao, Z.; Zhu, E.; Jiang, H.; Nazari-Moghaddam, S.; Sheikholeslami, S.M. Independent Roman Domination Stable and Vertex-Critical Graphs. IEEE Access 2018, 6, 74737–74746. [Google Scholar] [CrossRef]
Publisher’s Note: MDPI stays neutral with regard to jurisdictional claims in published maps and institutional affiliations. |
© 2022 by the authors. Licensee MDPI, Basel, Switzerland. This article is an open access article distributed under the terms and conditions of the Creative Commons Attribution (CC BY) license (https://creativecommons.org/licenses/by/4.0/).




