Phase Sensitivity Improvement in Correlation-Enhanced Nonlinear Interferometers
Abstract
1. Introduction
2. SU(1,1) Interferometer vs. SU(2) Interferometer
2.1. Input–Output Relations
2.2. Phase Measurement
3. Phase Sensitivity of SU(1,1) Interferometers
3.1. Phase Sensitivity
3.2. Quantum Cramér–Rao Bound
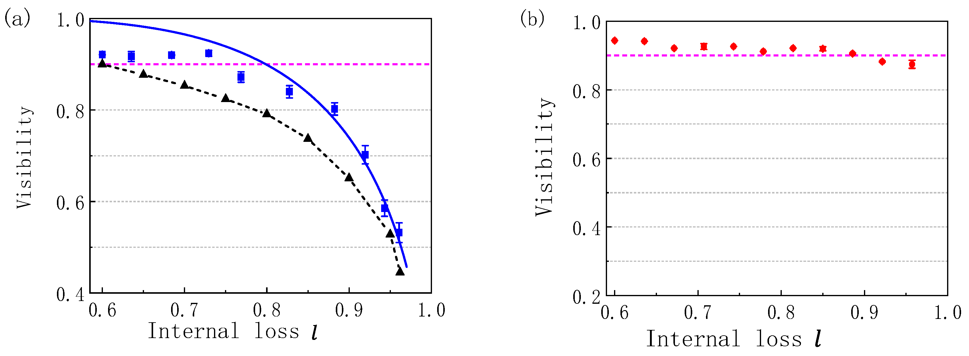
3.3. Signal Enhanced and Noise Reduced by Destructive Quantum Interference
4. Various Types of SU(1,1) Interferometers
4.1. Atomic SU(1,1) Interferometer
4.2. Atom–Light Hybrid SU(1,1) Interferometer
4.3. Deformation of Nonlinear SU(1,1) Interferometers
4.3.1. Truncated SU(1,1) Interferometer
4.3.2. PA + BS Type of SU(1,1) Interferometer
4.3.3. Phase-Sensing Amplified SU(2)-SU(1,1) Hybrid Interferometer
4.3.4. SU(1,1) Interferometer with Feedback and SU(1,1) Interferometer with Multi-Stage
4.3.5. SU(1,1) Interferometer with Nonlinear Phase Shifter
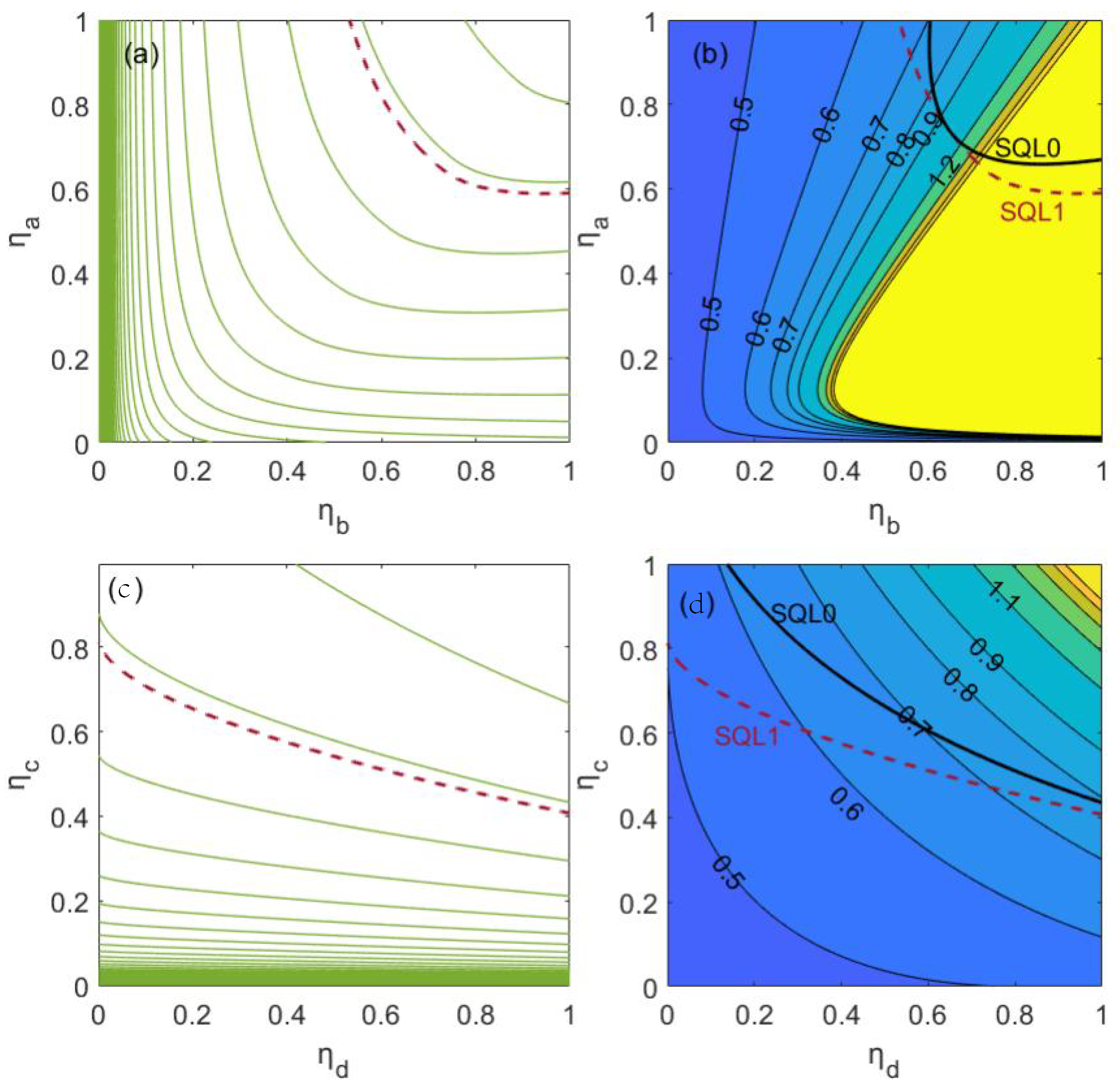
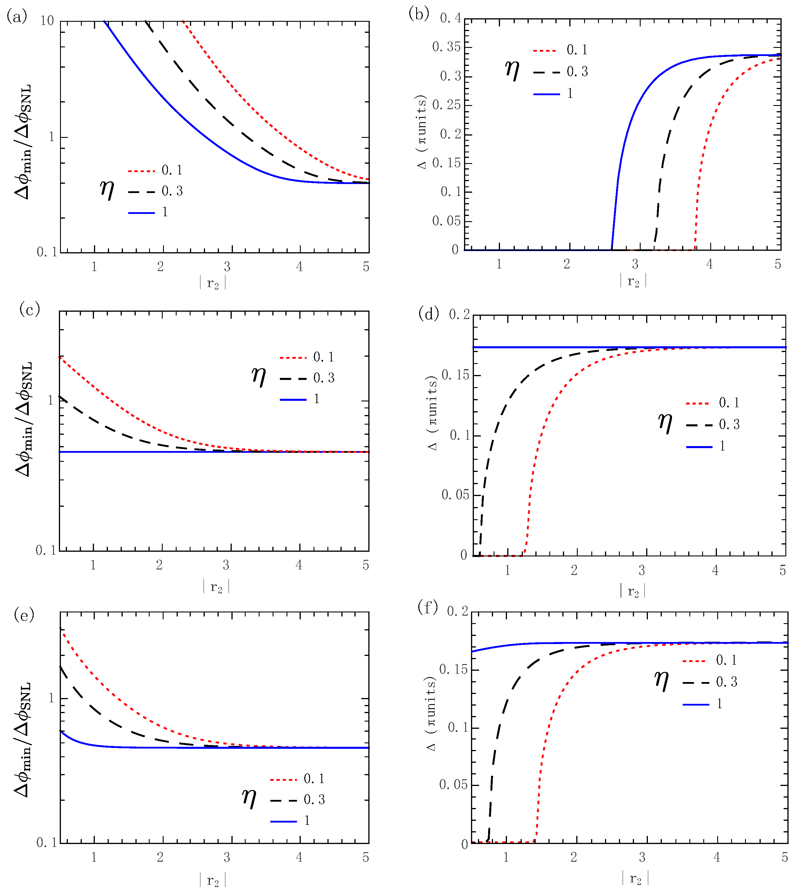
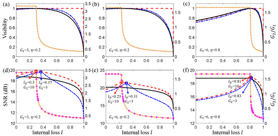
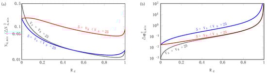
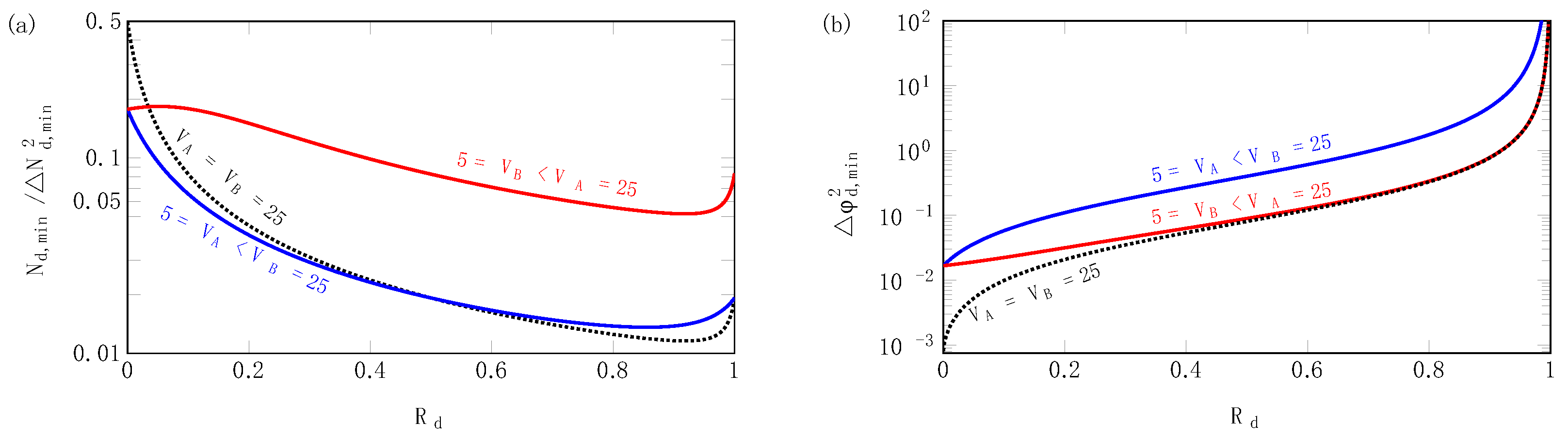
5. Phase Sensitivity Improvement via Gain Unbalance in Lossy Interferometers
5.1. Normal All-Optical SU(1,1) Interferometer
5.2. Atom–Light Hybrid SU(1,1) Interferometer
5.3. SU(2) Nested SU(1,1) Interferometer
6. Outlook
Author Contributions
Funding
Institutional Review Board Statement
Informed Consent Statement
Data Availability Statement
Conflicts of Interest
Abbreviations
| MZI | Mach–Zehnder interferometer |
| SNL | Shot noise limit |
| SQL | Standard quantum limit |
| HL | Heisenberg limit |
| SUI | SU(1,1) interferometer |
| OPA | Optical parametric amplifier |
| FWM | Four-wave mixing |
| PDC | Parametric down-conversion |
| BS | Beam splitter |
| SMD | Spin-mixing dynamics |
| BEC | Bose–Einstein condensate |
| QND | Non-demolition measurement |
| QCRB | Quantum Cramér–Rao bound |
| QFI | Quantum Fisher information |
| IDS | Intensity-difference squeezing |
| ID | Intensity detection |
| HD | Homdyne detection |
| PLO | Photon level operation |
| SNR | Signal-to-noise ration |
Appendix A
References
- Thompson, A.R.; Morgan, J.M.; Swenson, G.W. Interferometry and Synthesis in Radio Astronomy; Wiley: New York, NY, USA, 2017. [Google Scholar]
- Michelson, A.A.; Morley, E.W. On the relative motion of the earth and the luminiferous ether. Am. J. Sci. 1887, 6, 306. [Google Scholar] [CrossRef]
- Advanced LIGO. 2012. Available online: http://www.advancedligo.mit.edu (accessed on 31 July 2022).
- VIRGO. Available online: http://www.virgo.infn.it/ (accessed on 31 July 2022).
- GEO600. Available online: http://www.geo600.de/ (accessed on 31 July 2022).
- Zehnder, L. Ein neuer interferenzrefraktor. Z. Instrumk. 1891, 11, 275. [Google Scholar]
- Mach, L. Ueber einen interferenzrefraktor. Z. Instrumk. 1892, 12, 89. [Google Scholar]
- Born, M.; Wolf, E. Principles of Optics; Pergamon: Oxford, UK, 1975. [Google Scholar]
- Braunstein, S.L. Quantum limits on precision measurements of phase. Phys. Rev. Lett. 1992, 69, 3598. [Google Scholar] [CrossRef]
- Giovannetti, V.; Lloyd, S.; Maccone, L. Quantum metrology. Phys. Rev. Lett. 2006, 96, 010401. [Google Scholar] [CrossRef] [PubMed]
- Chua, S.S.Y.; Stefszky, M.S.; Mow-Lowry, C.M.; Buchler, B.C.; Dwyer, S.; Shaddock, D.A.; Lam, P.K.; McClelland, D.E. Backscatter tolerant squeezed light source for advanced gravitational-wave detectors. Opt. Lett. 2011, 36, 4680. [Google Scholar] [CrossRef] [PubMed]
- Caves, C.M. Quantum-mechanical noise in an interferometer. Phys. Rev. D 1981, 23, 1693–1703. [Google Scholar] [CrossRef]
- Xiao, M.; Wu, L.A.; Kimble, H.J. Precision measurement beyond the shot-noise limit. Phys. Rev. Lett. 1987, 59, 278. [Google Scholar] [CrossRef]
- Grangier, P.; Slusher, R.E.; Yurke, B.; LaPorta, A. Squeezed-light–enhanced polarization interferometer. Phys. Rev. Lett. 1987, 59, 2153. [Google Scholar] [CrossRef]
- Luis, A. Squeezed coherent states as feasible approximations to phase-optimized states. Phys. Lett. A 2006, 354, 71–78. [Google Scholar] [CrossRef]
- Kolkiran, A.; Agarwal, G.S. Heisenberg limited Sagnac interferometry. Opt. Express 2007, 15, 6798. [Google Scholar] [CrossRef] [PubMed]
- Sciarrino, F.; Vitelli, C.; Martini, F.D.; Glasser, R.; Cable, H.; Dowling, J.P. Experimental sub-Rayleigh resolution by an unseeded high-gain optical parametric amplifier for quantum lithography. Phys. Rev. A 2008, 77, 012324. [Google Scholar] [CrossRef]
- Kok, P.; Lee, H.; Dowling, J.P. Creation of large-photon-number path entanglement conditioned on photodetection. Phys. Rev. A 2002, 65, 052104. [Google Scholar] [CrossRef]
- Giovannetti, V.; Lloyd, S.; Maccone, L. Quantum-enhanced measurements: Beating the standard quantum limit. Science 2004, 306, 1330–1336. [Google Scholar] [CrossRef] [PubMed]
- Boto, A.N.; Kok, P.; Abrams, D.S.; Braunstein, S.L.; Williams, C.P.; Dowling, J.P. Quantum interferometric optical lithography: Exploiting entanglement to beat the diffraction limit. Phys. Rev. Lett. 2000, 85, 2733. [Google Scholar] [CrossRef]
- Agarwal, G.S.; Boyd, R.W.; Nagasako, E.M.; Bentley, S.J. Comment on quantum interferometric optical lithography: Exploiting entanglement to beat the diffraction limit. Phys. Rev. Lett. 2001, 86, 1389. [Google Scholar] [CrossRef]
- Walther, P.; Pan, J.W.; Aspelmeyer, M.; Ursin, R.; Gasparoni, S.; Zeilinger, A. De Broglie wavelength of a non-local four-photon state. Nature 2004, 429, 158. [Google Scholar] [CrossRef]
- Mitchell, M.W.; Lundeen, J.S.; Steinberg, A.M. Super-resolving phase measurements with a multiphoton entangled state. Nature 2004, 429, 161. [Google Scholar] [CrossRef]
- Nagata, T.; Okamoto, R.; O’Brien, J.L.; Sasaki, K.; Takeuchi, S. Beating the standard quantum limit with four-entangled photons. Science 2007, 316, 726. [Google Scholar] [CrossRef]
- Hofmann, H.F.; Ono, T. High-photon-number path entanglement in the interference of spontaneously down-converted photon pairs with coherent laser light. Phys. Rev. A 2007, 76, 031806. [Google Scholar] [CrossRef]
- Resch, K.J.; Pregnell, K.L.; Prevedel, R.; Gilchrist, A.; Pryde, G.J.; O’Brien, J.L.; White, A.G. Time-reversal and super-resolving phase measurements. Phys. Rev. Lett. 2007, 98, 223601. [Google Scholar] [CrossRef] [PubMed]
- Dowling, J.P. Quantum optical metrology–the lowdown on high-N00N states. Contemp. Phys. 2008, 49, 125. [Google Scholar] [CrossRef]
- Gao, Y.; Lee, H. Sub-shot-noise quantum optical interferometry: A comparison of entangled state performance within a unified measurement scheme. J. Mod. Opt. 2008, 55, 3319. [Google Scholar] [CrossRef]
- Huver, S.D.; Wildfeuer, C.F.; Dowling, J.P. Entangled Fock states for robust quantum optical metrology, imaging, and sensing. Phys. Rev. A 2008, 78, 063828. [Google Scholar] [CrossRef]
- Glasser, R.T.; Cable, H.; Dowling, J.P.; Martini, F.D.; Sciarrino, F.; Vitelli, C. Entanglement-seeded, dual, optical parametric amplification: Applications to quantum imaging and metrology. Phys. Rev. A 2008, 78, 012339. [Google Scholar] [CrossRef]
- Vitelli, C.; Spagnolo, N.; Sciarrino, F.; Martini, F.D. Amplification of polarization NOON states. J. Opt. Soc. Am. B 2009, 26, 892. [Google Scholar] [CrossRef]
- Boixo, S.; Datta, A.; Flammia, S.T.; Shaji, A.; Bagan, E.; Caves, C.M. Quantum-limited metrology with product states. Phys. Rev. A 2008, 77, 012317. [Google Scholar] [CrossRef]
- Estève, J.; Gross, C.; Weller, A.; Giovanazzi, S.; Oberthaler, M.K. Squeezing and entanglement in a Bose–Einstein condensate. Nature 2008, 455, 1216. [Google Scholar]
- Boixo, S.; Datta, A.; Davis, M.J.; Shaji, A.; Tacla, A.B.; Caves, C.M. Quantum-limited metrology and Bose-Einstein condensates. Phys. Rev. A 2009, 80, 032103. [Google Scholar] [CrossRef]
- Lewis-Swan, R.J.; Barberena, D.; Muniz, J.A.; Cline, J.R.K.; Young, D.; Thompson, J.K.; Rey, A.M. Protocol for precise field sensing in the optical domain with cold atoms in a cavity. Phys. Rev. Lett. 2020, 124, 193602. [Google Scholar] [CrossRef]
- You, C.; Hong, M.; Bierhorst, P.; Lita, A.; Glancy, S.; Kolthammer, S.; Knill, E.; Nam, S.W.; Mirin, R.; Magana-Loaiza, O.; et al. Scalable multiphoton quantum metrology with neither pre- nor post-selected measurements. Appl. Phys. Rev. 2021, 8, 041406. [Google Scholar] [CrossRef]
- Wang, X.; Chen, L.; Li, W.; Huang, H.L.; Liu, C.; Chen, C.; Luo, Y.H.; Su, Z.E.; Wu, D.; Li, Z.D.; et al. Experimental ten-photon entanglement. Phys. Rev. Lett. 2016, 117, 210502. [Google Scholar] [CrossRef] [PubMed]
- Yurke, B.; McCall, S.L.; Klauder, J.R. SU (2) and SU (1, 1) interferometers. Phys. Rev. A 1986, 33, 4033. [Google Scholar] [CrossRef] [PubMed]
- Chekhova, M.V.; Ou, Z.Y. Nonlinear interferometers in quantum optics. Adv. Opt. Photonics 2016, 8, 104. [Google Scholar] [CrossRef]
- Luo, K.H.; Santandrea, M.; Stefszky, M.; Sperling, J.; Massaro, M.; Ferreri, A.; Sharapova, P.R.; Herrmann, H.; Silberhorn, C. Quantum optical coherence: From linear to nonlinear interferometers. Phys. Rev. A 2021, 104, 043707. [Google Scholar] [CrossRef]
- Hudelist, F.; Kong, J.; Liu, C.J.; Jing, J.T.; Ou, Z.Y.; Zhang, W.P. Quantum metrology with parametric amplifier based photon correlation interferometers. Nat. Commun. 2014, 5, 3049. [Google Scholar] [CrossRef]
- Anderson, B.E.; Gupta, P.; Schmittberger, B.L.; Horrom, T.; Hermann-Avigliano, C.; Jones, K.M.; Lett, P.D. Phase sensing beyond the standard quantum limit with a variation on the SU(1,1) interferometer. Optica 2017, 4, 752. [Google Scholar] [CrossRef]
- Manceau, M.; Leuchs, G.; Khalili, F.; Chekhova, M. Detection loss tolerant supersensitive phase measurement with an SU(1,1) interferometer. Phys. Rev. Lett. 2017, 119, 223604. [Google Scholar] [CrossRef]
- Frascella, G.; Mikhailov, E.E.; Takanashi, N.; Zakharov, R.V.; Tikhonova, O.V.; Chekhova, M.V. Wide-field SU(1,1) interferometer. Optica 2019, 6, 1233. [Google Scholar] [CrossRef]
- Huo, N.; Cui, L.; Zhang, Y.X.; Zhao, W.; Guo, X.S.; Ou, Z.Y.; Li, X.Y. Measurement-dependent erasure of distinguishability for the observation of interference in an unbalanced SU(1,1) interferometer. PRX Quantum 2022, 3, 020313. [Google Scholar] [CrossRef]
- Lemieux, S.; Manceau, M.; Sharapova, P.R.; Tikhonova, O.V.; Boyd, R.W.; Leuchs, G.; Chekhova, M.V. Engineering the frequency spectrum of bright squeezed vacuum via group velocity dispersion in an SU(1, 1) interferometer. Phys. Rev. Lett. 2016, 117, 183601. [Google Scholar] [CrossRef] [PubMed]
- Li, J.; Liu, Y.; Cui, L.; Huo, N.; Assad, S.M.; Li, X.Y.; Ou, Z.Y. Joint measurement of multiple noncommuting parameters. Phys. Rev. A 2018, 97, 052127. [Google Scholar] [CrossRef]
- Xin, J.; Lu, X.M.; Li, X.M.; Li, G.L. Optimal phase point for SU(1,1) interferometer. J. Opt. Soc. Am. B 2019, 36, 2824. [Google Scholar] [CrossRef]
- Linnemann, D.; Strobel, H.; Muessel, W.; Schulz, J.; Lewis-Swan, R.J.; Kheruntsyan, K.V.; Oberthaler, M.K. Quantum-enhanced sensing based on time reversal of nonlinear dynamics. Phys. Rev. Lett. 2016, 117, 013001. [Google Scholar] [CrossRef]
- Gross, C.; Zibold, T.; Nicklas, E.; Estève, J.; Oberthaler, M.K. Nonlinear atom interferometer surpasses classical precision limit. Nature 2010, 464, 1165. [Google Scholar] [CrossRef]
- Liu, Q.; Wu, L.N.; Cao, J.H.; Mao, T.W.; Li, X.W.; Guo, S.F.; Tey, M.K.; You, L. Nonlinear interferometry beyond classical limit enabled by cyclic dynamics. Nat. Phys. 2022, 18, 167. [Google Scholar] [CrossRef]
- Wrubel, J.P.; Schwettmann, A.; Fahey, D.P.; Glassman, Z.; Pechkis, H.K.; Griffin, P.F.; Barnett, R.; Tiesinga, E.; Lett, P.D. Spinor Bose-Einstein-condensate phase-sensitive amplifier for SU(1,1) interferometry. Phys. Rev. A 2018, 98, 023620. [Google Scholar] [CrossRef]
- Szigeti, S.S.; Lewis-Swan, R.J.; Haine, S.A. Pumped-up SU(1,1) interferometry. Phys. Rev. Lett. 2017, 118, 150401. [Google Scholar] [CrossRef]
- Gabbrielli, M.; Pezzé, L.; Smerzi, A. Spin-mixing interferometry with BoseEinstein condensates. Phys. Rev. Lett. 2015, 115, 163002. [Google Scholar] [CrossRef]
- Pezzé, L.; Smerzi, A.; Oberthaler, M.K.; Schmied, R.; Treutlein, P. Quantum metrology with nonclassical states of atomic ensembles. Rev. Mod. Phys. 2018, 90, 035005. [Google Scholar] [CrossRef]
- Chen, B.; Qiu, C.; Chen, S.; Guo, J.; Chen, L.Q.; Ou, Z.Y.; Zhang, W.P. Atom-light hybrid interferometer. Phys. Rev. Lett. 2015, 115, 043602. [Google Scholar] [CrossRef] [PubMed]
- Qiu, C.; Chen, S.Y.; Chen, L.Q.; Chen, B.; Guo, J.; Ou, Z.Y.; Zhang, W.P. Atom-light superposition oscillation and Ramsey-like atom-light interferometer. Optica 2016, 3, 775–780. [Google Scholar] [CrossRef]
- Ma, H.M.; Li, D.; Yuan, C.H.; Chen, L.Q.; Ou, Z.Y.; Zhang, W.P. SU(1,1)-type light-atom-correlated interferometer. Phys. Rev. A 2015, 92, 023847. [Google Scholar] [CrossRef]
- Feng, X.T.; Yuan, C.H.; Chen, L.Q.; Chen, J.F.; Zhang, K.Y.; Zhang, W.P. Quantum metrology with atom and light correlation. Acta Phys. Sin. 2018, 67, 164204. [Google Scholar] [CrossRef]
- Chen, Z.D.; Yuan, C.H.; Ma, H.M.; Li, D.; Chen, L.Q.; Ou, Z.Y.; Zhang, W.P. Effects of losses in the atom-light hybrid SU(1,1) interferometer. Opt. Express 2016, 24, 17766. [Google Scholar] [CrossRef]
- Chen, S.Y.; Chen, L.Q.; Ou, Z.Y.; Zhang, W.P. Quantum non-demolition measurement of photon number with atom-light interferometers. Opt. Express 2017, 25, 31827. [Google Scholar] [CrossRef]
- Jiao, G.F.; Zhang, K.; Chen, L.Q.; Yuan, C.H.; Zhang, W.P. Quantum non-demolition measurement based on an SU(1,1)-SU(2)-concatenated atom-light hybrid interferometer. Photonics Res. 2022, 10, 475. [Google Scholar] [CrossRef]
- Giovannetti, V.; Lloyd, S.; Maccone, L. Advances in quantum metrology. Nat. Photonics 2011, 5, 222–229. [Google Scholar] [CrossRef]
- Polino, E.; Valeri, M.; Spagnolo, N.; Sciarrino, F. Photonic quantum metrology. AVS Quantum Sci. 2020, 2, 024703. [Google Scholar] [CrossRef]
- Tóth, G.; Apellaniz, I. Quantum metrology from a quantum information science perspective. J. Phys. A Math. Theor. 2014, 47, 424006. [Google Scholar] [CrossRef]
- Liu, J.; Liu, W.; Li, S.; Wei, D.; Gao, H.; Li, F. Enhancement of the angular rotation measurement sensitivity based on SU(2) and SU(1,1) interferometers. Photonics Res. 2017, 5, 617. [Google Scholar] [CrossRef]
- Wang, Y.X.; Li, S.Z.; Hu, Y.Y.; Zhang, M.M.; Liu, J. Improvement of angular rotation measurement resolution and sensitivity based on an SU(1,1) interferometer with intensity sum detection. J. Phys. Commun. 2022, 6, 035004. [Google Scholar] [CrossRef]
- Zou, X.Y.; Wang, L.J.; Mandel, L. Induced coherence and indistinguishability in optical interference. Phys. Rev. Lett. 1991, 67, 318. [Google Scholar] [CrossRef] [PubMed]
- Wang, L.J.; Zou, X.Y.; Mandel, L. Induced coherence without induced emission. Phys. Rev. A 1991, 44, 4614. [Google Scholar] [CrossRef]
- Vergyris, P.; Babin, C.; Nold, R.; Gouzien1, E.; Herrmann, H.; Silberhorn, C.; Alibart, O.; Tanzilli, S.; Kaiser, F. Two-photon phase-sensing with single-photon detection. Appl. Phys. Lett. 2020, 117, 024001. [Google Scholar] [CrossRef]
- Lemos, G.B.; Lahiri, M.; Ramelow, S.; Lapkiewicz, R.; Plick, W. Quantum imaging and metrology with undetected photons: Tutorial. J. Opt. Soc. Am. B 2022, 39, 2200–2228. [Google Scholar] [CrossRef]
- Ou, Z.Y.; Li, X.Y. Quantum SU(1,1) interferometers: Basic principles and applications. APL Photonics 2020, 5, 080902. [Google Scholar] [CrossRef]
- Sun, S.T.; Ding, Y.X.; Liu, W.M. Progress in quantum precision measurements based on linear and nonlinear interferometers. Acta Phys. Sin. 2022, 71, 13. [Google Scholar] [CrossRef]
- Plick, W.N.; Dowling, J.P.; Agarwal, G.S. Coherent-light-boosted, sub-shot noise, quantum interferometry. New J. Phys. 2010, 12, 083014. [Google Scholar] [CrossRef]
- Liu, S.H.; Lou, Y.B.; Xin, J.; Jing, J.T. Quantum enhancement of phase sensitivity for the bright-seeded SU(1,1) interferometer with direct intensity detection. Phys. Rev. Appl. 2018, 10, 064046. [Google Scholar] [CrossRef]
- Du, W.; Jia, J.; Chen, J.F.; OU, Z.Y.; Zhang, W.P. Absolute sensitivity of phase measurement in an SU(1,1) type interferometer. Opt. Lett. 2018, 43, 1051. [Google Scholar] [CrossRef] [PubMed]
- Wang, S.; Zhang, J.D. SU(1,1) interferometry with parity measurement. J. Opt. Soc. Am. B 2021, 38, 2687. [Google Scholar] [CrossRef]
- Wang, F.; Zhong, W.; Zhou, L.; Sheng, Y.B. The phase sensitivities for different phase-shift configurations in an SU(1,1) interferometer. Commun. Theor. Phys. 2019, 71, 1435. [Google Scholar] [CrossRef]
- Guo, L.L.; Yu, Y.F.; Zhang, Z.M. Improving the phase sensitivity of an SU(1,1) interferometer with photon-added squeezed vacuum light. Opt. Express 2018, 26, 29099. [Google Scholar] [CrossRef] [PubMed]
- Xu, Y.; Chang, S.K.; Liu, C.J.; Hu, L.Y.; Liu, S.Q. Phase estimation of an SU(1,1) interferometer with a coherent superposition squeezed vacuum in a realistic case. Opt. Express 2022, 30, 38178. [Google Scholar] [CrossRef]
- Ma, X.P.; You, C.L.; Adhikari, S.; Matekole, E.S.; Glasser, R.T.; Lee, H.; Dowling, J.P. Sub-shot-noise-limited phase estimation via SU(1,1) interferometer with thermal states. Opt. Express 2018, 26, 18492. [Google Scholar] [CrossRef]
- Hu, X.Y.; Wei, C.P.; Yu, Y.F.; Zhang, Z.M. Enhanced phase sensitivity of an SU(1,1) interferometer with displaced squeezed vacuum light. Front. Phys. 2016, 11, 114203. [Google Scholar] [CrossRef]
- Adhikari, S.; Bhusal, N.; You, C.; Lee, H.; Dowling, J.P. Phase estimation in an SU(1,1) interferometer with displaced squeezed states. OSA Contin. 2018, 1, 438. [Google Scholar] [CrossRef]
- Wang, S.; Zhang, J.D.; Xu, X.X. Quantum-enhanced SU(1,1) interferometry via a Fock state and an arbitrary state. Opt. Commun. 2022, 505, 127592. [Google Scholar] [CrossRef]
- Ou, Z.Y. Enhancement of the phase-measurement sensitivity beyond the standard quantum limit by a nonlinear interferometer. Phys. Rev. A 2012, 85, 023815. [Google Scholar] [CrossRef]
- Li, D.; Yuan, C.H.; Ou, Z.Y.; Zhang, W.P. The phase sensitivity of an SU(1,1) interferometer with coherent and squeezed-vacuum light. New J. Phys. 2014, 16, 073020. [Google Scholar] [CrossRef]
- Marino, A.M.; Trejo, N.V.C.; Lett, P.D. Effect of losses on the performance of an SU(1, 1) interferometer. Phys. Rev. A 2012, 86, 023844. [Google Scholar] [CrossRef]
- Jing, J.T.; Liu, C.J.; Zhou, Z.F.; Ou, Z.Y.; Zhang, W.P. Realization of a nonlinear interferometer with parametric amplifiers. Appl. Phys. Lett. 2011, 99, 011110. [Google Scholar] [CrossRef]
- Li, D.; Yuan, C.H.; Yao, Y.; Jiang, W.; Li, M.; Zhang, W.P. Effects of loss on the phase sensitivity with parity detection in an SU(1, 1) interferometer. J. Opt. Soc. Am. B 2018, 35, 1080. [Google Scholar] [CrossRef]
- Anderson, B.E.; Schmittberger, B.L.; Gupta, P.; Jones, K.M.; Lett, P.D. Optimal phase measurements with bright- and vacuum-seeded SU(1,1) interferometers. Phys. Rev. A 2017, 95, 063843. [Google Scholar] [CrossRef]
- Gupta, P.; Schmittberger, B.L.; Anderson, B.E.; Jones, K.M.; Lett, P.D. Optimized phase sensing in a truncated SU(1,1) interferometer. Opt. Express 2018, 26, 391. [Google Scholar] [CrossRef]
- Pooser, R.C.; Savino, N.; Batson, E.; Beckey, J.L.; Garcia, J.; Lawrie, B.J. Truncated nonlinear interferometry for quantum-enhanced atomic force microscopy. Phys. Rev. Lett. 2020, 124, 230504. [Google Scholar] [CrossRef]
- Prajapati, N.; Novikova, I. Polarization-based truncated SU(1,1) interferometer based on four-wave mixing in Rb vapor. Opt. Lett. 2019, 44, 5921. [Google Scholar] [CrossRef]
- Kong, J.; Ou, Z.Y.; Zhang, W.P. Phase-measurement sensitivity beyond the standard quantum limit in an inter ferometer consisting of a parametric amplifier and a beam splitter. Phys. Rev. A 2013, 87, 023825. [Google Scholar] [CrossRef]
- Zhang, J.D.; You, C.; Li, C.; Wang, S. Phase sensitivity approaching the quantum Cramer-Rao bound in a modified SU(1,1) interferometer. Phys. Rev. A 2021, 103, 032617. [Google Scholar] [CrossRef]
- Zhang, J.D.; Jin, C.F.; Zhang, Z.J.; Cen, L.Z.; Hu, J.Y.; Zhao, Y. Super-sensitive angular displacement estimation via an SU(1,1)-SU(2) hybrid interferometer. Opt. Express 2018, 26, 33080. [Google Scholar] [CrossRef] [PubMed]
- Jiao, G.F.; Zhang, K.Y.; Chen, L.Q.; Zhang, W.P.; Yuan, C.H. Nonlinear phase estimation enhanced by an actively correlated Mach-Zehnder interferometer. Phys. Rev. A 2020, 102, 033520. [Google Scholar] [CrossRef]
- Jiao, G.F.; Wang, Q.; Yu, Z.F.; Chen, L.Q.; Zhang, W.P.; Yuan, C.H. Effects of losses on the sensitivity of an actively correlated Mach-Zehnder interferometer. Phys. Rev. A 2021, 104, 013725. [Google Scholar] [CrossRef]
- Du, W.; Kong, J.; Bao, G.Z.; Yang, P.Y.; Jia, J.; Ming, S.; Yuan, C.H.; Chen, J.F.; Ou, Z.Y.; Mitchell, M.W.; et al. SU(2)-in-SU(1,1) nested interferometer for high sensitivity, loss-tolerant quantum metrology. Phys. Rev. Lett. 2022, 128, 033601. [Google Scholar] [CrossRef] [PubMed]
- Du, W.; Chen, J.F.; Ou, Z.Y.; Zhang, W.P. Quantum dense metrology by an SU(2)-in-SU(1,1) nested interferometer. Appl. Phys. Lett. 2020, 117, 024003. [Google Scholar] [CrossRef]
- Liao, D.Z.; Xin, J.; Jing, J.T. Nonlinear interferometer based on two-port feedback nondegenerate optical parametric amplification. Opt. Commun. 2021, 496, 127137. [Google Scholar] [CrossRef]
- Chang, S.K.; Ye, W.; Zhang, H.; Hu, L.Y.; Huang, J.H.; Liu, S.Q. Improvement of phase sensitivity in an SU(1,1) interferometer via a phase shift induced by a Kerr medium. Phys. Rev. A 2022, 105, 033704. [Google Scholar] [CrossRef]
- Seth, O.; Li, X.; Xiong, H.; Luo, J.; Huang, Y. Improving the phase sensitivity of an SU(1, 1) interferometer via a nonlinear phase encoding. J. Phys. B At. Mol. Opt. Phys. 2020, 53, 205503. [Google Scholar] [CrossRef]
- Xin, J.; Wang, H.; Jing, J. The effect of losses on the quantum-noise cancellation in the SU(1, 1) interferometer. Appl. Phys. Lett. 2016, 109, 051107. [Google Scholar] [CrossRef]
- Manceau, M.; Khalili, F.; Chekhova, M. Improving the phase super-sensitivity of squeezing-assisted interferometers by squeeze factor unbalancing. New J. Phys. 2017, 19, 013014. [Google Scholar] [CrossRef]
- Giese, E.; Lemieux, S.; Manceau, M.; Fickler, R.; Boyd, R.W. Phase sensitivity of gain-unbalanced nonlinear interferometers. Phys. Rev. A 2017, 96, 053863. [Google Scholar] [CrossRef]
- Zhang, J.D.; Wang, S. Tolerance-enhanced SU(1,1) interferometers using asymmetric gain. Chin. Phys. B 2022, in press. [CrossRef]
- Yu, Z.F.; Fang, B.; Liu, P.; Chen, S.Y.; Bao, G.Z.; Yuan, C.H.; Chen, L.Q. Sensing the performance enhancement via asymmetric gain optimization in the atom-light hybrid interferometer. Opt. Express 2022, 30, 11514. [Google Scholar] [CrossRef] [PubMed]
- Campos, R.A.; Saleh, B.E.A.; Teich, M.C. Quantum-mechanical lossless beam splitter: SU (2) symmetry and photon statistics. Phys. Rev. A 1989, 40, 1371. [Google Scholar] [CrossRef]
- Ou, Z.Y. Fundamental quantum limit in precision phase measurement. Phys. Rev. A 1997, 55, 2598. [Google Scholar] [CrossRef]
- McCormick, C.F.; Marino, A.M.; Boyer, V.; Lett, P.D. Strong low-frequency quantum correlations from a four-wave-mixing amplifier. Phys. Rev. A 2008, 78, 043816. [Google Scholar] [CrossRef]
- Kong, J.; Jing, J.T.; Wang, H.L.; Hudelist, F.; Liu, C.J.; Zhang, W.P. Experimental investigation of the visibility dependence in a nonlinear interferometer using parametric amplifiers. Appl. Phys. Lett. 2013, 102, 011130. [Google Scholar] [CrossRef]
- Wang, Q.; Fang, Y.; Ma, X.; Li, D. Phase sensitivity of an SU(1,1) interferometer via product detection. EPJ Quantum Technol. 2021, 8, 21. [Google Scholar] [CrossRef]
- Li, D.; Gard, B.T.; Gao, Y.; Yuan, C.H.; Zhang, W.P.; Lee, H.; Dowling, J.P. Phase sensitivity at the Heisenberg limit in an SU(1,1) interferometer via parity detection. Phys. Rev. A 2016, 94, 063840. [Google Scholar] [CrossRef]
- Anisimov, P.M.; Raterman, G.M.; Chiruvelli, A.; Plick, W.N.; Huver, S.D.; Lee, H.; Dowling, J.P. Quantum metrology with two-mode squeezed vacuum: Parity detection beats the Heisenberg limit. Phys. Rev. Lett. 2010, 104, 103602. [Google Scholar] [CrossRef]
- Leibfried, D.; DeMarco, B.; Meyer, V.; Rowe, M.; Ben-Kish, A.; Britton, J.; Itano, W.M.; Jelenković, B.; Langer, C.; Rosenband, T.; et al. Trapped-ion quantum simulator: Experimental application to nonlinear interferometers. Phys. Rev. Lett. 2002, 89, 247901. [Google Scholar] [CrossRef] [PubMed]
- Braunstein, S.L.; Caves, C.M. Statistical distance and the geometry of quantum states. Phys. Rev. Lett. 1994, 72, 3439. [Google Scholar] [CrossRef] [PubMed]
- Kong, J.; Hudelist, F.; Ou, Z.Y.; Zhang, W.P. Cancellation of internal quantum noise of an amplifier by quantum correlation. Phys. Rev. Lett. 2013, 111, 033608. [Google Scholar] [CrossRef] [PubMed]
- Zuo, X.J.; Yan, Z.H.; Feng, Y.N.; Ma, J.X.; Jia, X.J.; Xie, C.D.; Peng, K.C. Quantum interferometer combining squeezing and parametric amplification. Phys. Rev. Lett. 2020, 124, 173602. [Google Scholar] [CrossRef] [PubMed]
- Barzanjeh, S.; DiVincenzo, D.P.; Terhal, B.M. Dispersive qubit measurement by interferometry with parametric amplifiers. Phys. Rev. B 2014, 90, 134515. [Google Scholar] [CrossRef]
- Guo, X.; Liu, N.; Liu, Y.; Li, X.Y.; Ou, Z.Y. Generation of continuous variable quantum entanglement using a fiber optical parametric amplifier. Opt. Lett. 2016, 41, 653. [Google Scholar] [CrossRef]
- Liu, S.S.; Lou, Y.B.; Jing, J.T. Interference-induced quantum squeezing enhancement in a two-beam phase-sensitive amplifier. Phys. Rev. Lett. 2019, 123, 113602. [Google Scholar] [CrossRef]
- Pan, X.; Chen, H.; Wei, T.; Zhang, J.; Marino, A.M.; Treps, N.; Glasser, R.T.; Jing, J. Experimental realization of a feedback optical parametric amplifier with four-wave mixing. Phys. Rev. B 2018, 97, 161115(R). [Google Scholar] [CrossRef]
- Zhong, Y.; Jing, J. Enhancement of tripartite quantum correlation by coherent feedback control. Phys. Rev. A 2020, 101, 023813. [Google Scholar] [CrossRef]
- Xin, J.; Pan, X.; Lu, X.M.; Kong, J.; Li, G.; Li, X. Entanglement enhancement from a two-port feedback optical parametric amplifier. Phys. Rev. Appl. 2020, 14, 024015. [Google Scholar] [CrossRef]
- Li, J.M.; Su, J.; Cui, L.; Xie, T.Q.; Ou, Z.Y.; Li, X.Y. Generation of pure-state single photons with high heralding efficiency by using a three-stage nonlinear interferometer. Appl. Phys. Lett. 2020, 116, 204002. [Google Scholar] [CrossRef]
- Ma, M.Y.; Cui, L.; Li, X.Y. Engineering the spectral profile of photon pairs by using multi-stage nonlinear interferometers. Chin. Opt. Lett. 2021, 19, 052702. [Google Scholar] [CrossRef]
- Cui, L.; Su, J.; Li, J.M.; Liu, Y.H.; Li, X.Y.; Ou, Z.Y. Quantum state engineering by nonlinear quantum interference. Phys. Rev. A 2020, 102, 033718. [Google Scholar] [CrossRef]
- Riazi, A.; Chen, C.; Zhu, E.Y.; Gladyshev, A.V.; Kazansky, P.G.; Sipe, J.E.; Qian, L. Biphoton shaping with cascaded entangled-photon sources. Npj Quantum Inf. 2019, 5, 77. [Google Scholar] [CrossRef]
- Paterova, A.V.; Krivitsky, L.A. Nonlinear interference in crystal superlattices. Light Sci. Appl. 2020, 9, 82. [Google Scholar] [CrossRef]
- Xin, J. Phase sensitivity enhancement for the SU(1,1) interferometer using photon level operations. Opt. Express 2021, 29, 43970. [Google Scholar] [CrossRef]
- Kim, T.; Ha, Y.; Shin, J.; Kim, H.; Park, G.; Kim, K.; Noh, T.G.; Hong, C.K. Effect of the detector efficiency on the phase sensitivity in a Mach-Zehnder interferometer. Phys. Rev. A 1999, 60, 708. [Google Scholar] [CrossRef]
- Aasi, J.; Abadie, J.; Abbott, B.P.; Abbott, R.; Abbott, T.D.; Abernathy, M.R.; Adams, C.; Adams, T.; Addesso, P.; Adhikari, R.X.; et al. Enhanced sensitivity of the LIGO gravitational wave detector by using squeezed states of light. Nat. Photonics 2013, 7, 613. [Google Scholar] [CrossRef]
- Lemos, G.; Borish, V.; Cole, G.; Ramelow, S.; Lapkiewicz, R.; Zeilinger, A. Quantum imaging with undetected photons. Nature 2014, 512, 409–412. [Google Scholar] [CrossRef]
- Kviatkovsky, I.; Chrzanowski, H.; Avery, E.; Bartolomaeus, H.; Ramelow, S. Microscopy with undetected photons in the midinfrared. Sci. Adv. 2020, 6, eabd0264. [Google Scholar] [CrossRef]
- Paterova, A.; Maniam, S.; Yang, H.; Grenci, G.; Krivitsky, L. Hyperspectral infrared microscopy with visible light. Sci. Adv. 2020, 6, eabd0460. [Google Scholar] [CrossRef] [PubMed]
- Kalashnikov, D.; Paterova, A.; Kulik, S.; Krivitsky, L. Infrared spectroscopy with visible light. Nat. Photonics 2016, 10, 98–101. [Google Scholar] [CrossRef]
- Kuznetsov, K.; Malkova, E.; Zakharov, R.; Tikhonova, O.; Kitaeva, G. Nonlinear interference in the strongly nondegenerate regime and Schmidt mode analysis. Phys. Rev. A 2020, 101, 053843. [Google Scholar] [CrossRef]
- Paterova, A.; Yang, H.; An, C.; Kalashnikov, D.; Krivitsky, L. Polarization effects in nonlinear interference of down-converted photons. Opt. Express 2019, 27, 2589–2603. [Google Scholar] [CrossRef] [PubMed]










| Input States | Product | Intensity | Parity | Homodyne | QCRB |
|---|---|---|---|---|---|
| Not available | |||||
| a | |||||
| b | |||||
| c | |||||
| d | Not available |
Publisher’s Note: MDPI stays neutral with regard to jurisdictional claims in published maps and institutional affiliations. |
© 2022 by the authors. Licensee MDPI, Basel, Switzerland. This article is an open access article distributed under the terms and conditions of the Creative Commons Attribution (CC BY) license (https://creativecommons.org/licenses/by/4.0/).
Share and Cite
Liang, X.; Yu, Z.; Yuan, C.-H.; Zhang, W.; Chen, L. Phase Sensitivity Improvement in Correlation-Enhanced Nonlinear Interferometers. Symmetry 2022, 14, 2684. https://doi.org/10.3390/sym14122684
Liang X, Yu Z, Yuan C-H, Zhang W, Chen L. Phase Sensitivity Improvement in Correlation-Enhanced Nonlinear Interferometers. Symmetry. 2022; 14(12):2684. https://doi.org/10.3390/sym14122684
Chicago/Turabian StyleLiang, Xinyun, Zhifei Yu, Chun-Hua Yuan, Weiping Zhang, and Liqing Chen. 2022. "Phase Sensitivity Improvement in Correlation-Enhanced Nonlinear Interferometers" Symmetry 14, no. 12: 2684. https://doi.org/10.3390/sym14122684
APA StyleLiang, X., Yu, Z., Yuan, C.-H., Zhang, W., & Chen, L. (2022). Phase Sensitivity Improvement in Correlation-Enhanced Nonlinear Interferometers. Symmetry, 14(12), 2684. https://doi.org/10.3390/sym14122684

