The Value of the Early-Time Lieb-Robinson Correlation Function for Qubit Arrays
Abstract
1. Introduction
2. Lieb-Robinson Correlation Function for a Regular Linear Array
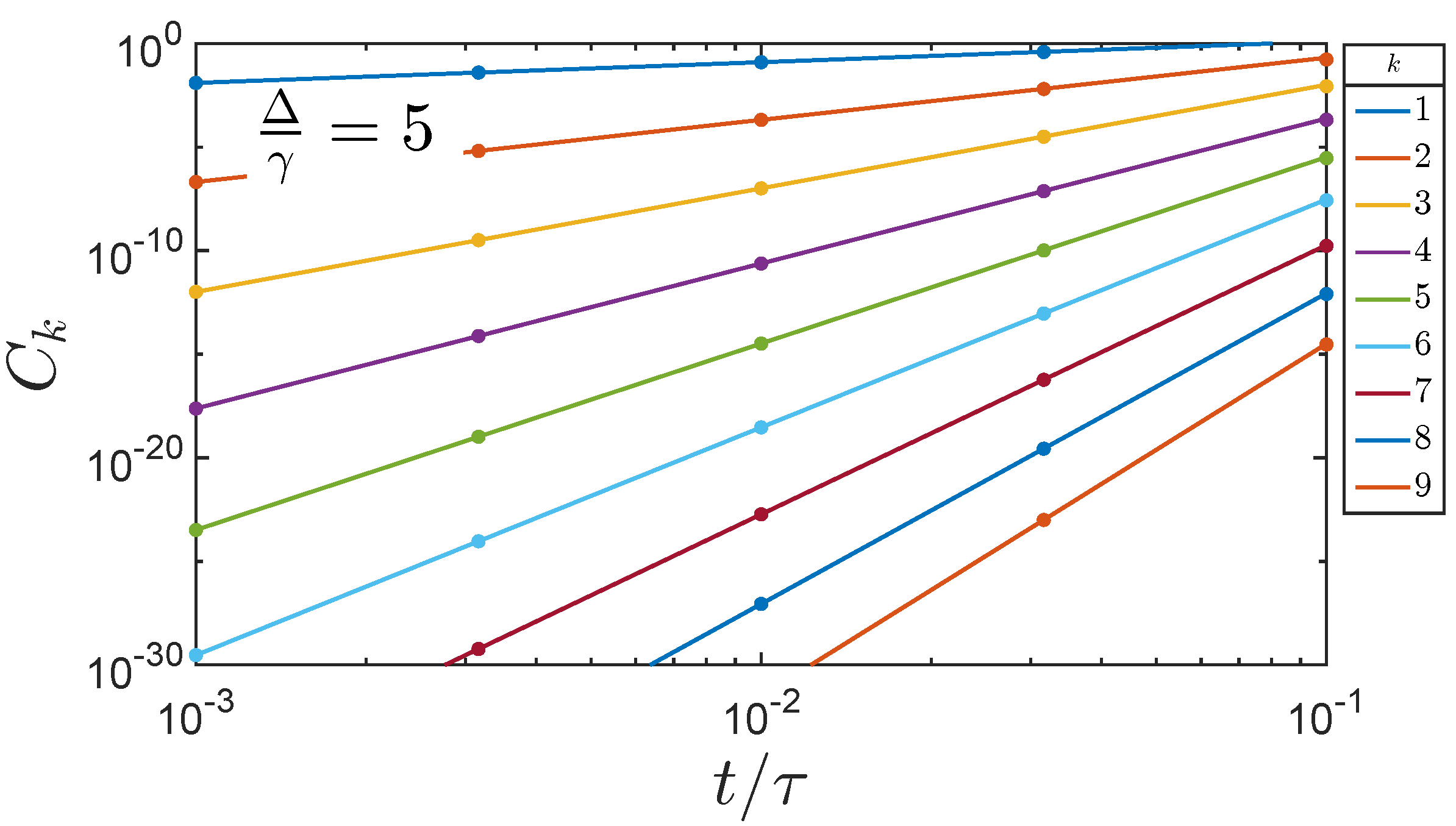
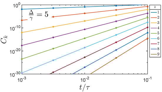
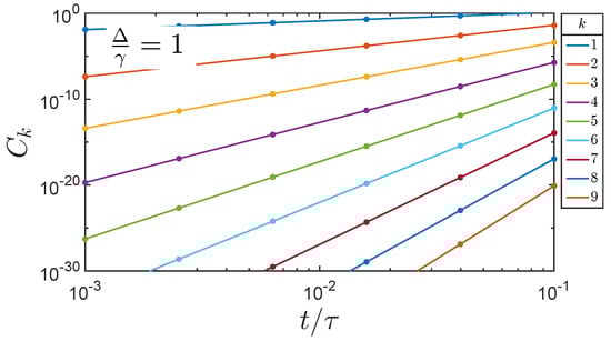
2.1. Direct Numerical Calculation
2.2. Analytic Solution for Early-Time Behavior
2.3. Asymptotic Behavior
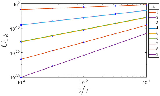
3. Correlation Function for an Arbitrary Qubit Array
4. Correlation Function for 2D and 3D Regular Lattices
5. Discussion
Author Contributions
Funding
Data Availability Statement
Conflicts of Interest
References
- Tsomokos, D.I.; Hartmann, M.J.; Huelga, S.F.; Plenio, M.B. Entanglement dynamics in chains of qubits withnoise and disorder. New J. Phys. 2007, 9, 79. [Google Scholar] [CrossRef]
- Horodecki, R.; Horodecki, P.; Horodecki, M.; Horodecki, K. Quantum entanglement. Rev. Mod. Phys. 2009, 81, 865–942. [Google Scholar] [CrossRef]
- Amico, L.; Fazio, R.; Osterloh, A.; Vedral, V. Entanglement in many-body systems. Rev. Mod. Phys. 2008, 80, 517–576. [Google Scholar] [CrossRef]
- Lieb, E.; Robinson, D. The finite group velocity of quantum spin systems. Commun. Math. Phys. 1972, 28, 251–257. [Google Scholar] [CrossRef]
- Hastings, M.B. Locality in Quantum and Markov Dynamics on Lattices and Networks. Phys. Rev. Lett. 2004, 93, 140402. [Google Scholar] [CrossRef] [PubMed]
- Nachtergaele, B.; Ogata, Y.; Sims, R. Propagation of Correlations in Quantum Lattice Systems. J. Stat. Phys. 2006, 124, 1–13. [Google Scholar] [CrossRef]
- Prémont-Schwarz, I.; Hnybida, J. Lieb-Robinson bounds on the speed of information propagation. Phys. Rev. A 2010, 81, 062107. [Google Scholar] [CrossRef]
- Prémont-Schwarz, I.; Hamma, A.; Klich, I.; Markopoulou-Kalamara, F. Lieb-Robinson bounds for commutator-bounded operators. Phys. Rev. A 2010, 81, 040102. [Google Scholar] [CrossRef]
- Nachtergaele, B.; Sims, R. Lieb-Robinson bounds in quantum many-body physics. Contemp. Math 2010, 529, 141–176. [Google Scholar]
- Edwards, E.E.; Korenblit, S.; Kim, K.; Islam, R.; Chang, M.S.; Freericks, J.K.; Lin, G.D.; Duan, L.M.; Monroe, C. Quantum simulation and phase diagram of the transverse-field Ising model with three atomic spins. Phys. Rev. B 2010, 82, 060412. [Google Scholar] [CrossRef]
- Them, K. Towards experimental tests and applications of Lieb-Robinson bounds. Phys. Rev. A 2014, 89, 022126. [Google Scholar] [CrossRef]
- Foss-Feig, M.; Gong, Z.X.; Clark, C.W.; Gorshkov, A.V. Nearly Linear Light Cones in Long-Range Interacting Quantum Systems. Phys. Rev. Lett. 2015, 114, 157201. [Google Scholar] [CrossRef]
- Bru, J.B.; de Siqueira Pedra, W. Lieb-Robinson Bounds for Multi-Commutators and Applications to Response Theory; Springer: Cham, Switzerland, 2016; Volume 13. [Google Scholar]
- Tran, M.C.; Guo, A.Y.; Su, Y.; Garrison, J.R.; Eldredge, Z.; Foss-Feig, M.; Childs, A.M.; Gorshkov, A.V. Locality and Digital Quantum Simulation of Power-Law Interactions. Phys. Rev. X 2019, 9, 031006. [Google Scholar] [CrossRef]
- Wang, Z.; Hazzard, K.R.A. Tightening the Lieb-Robinson Bound in Locally Interacting Systems. PRX Quantum 2020, 1, 010303. [Google Scholar] [CrossRef]
- Chen, C.F.; Lucas, A. Optimal Frobenius light cone in spin chains with power-law interactions. Phys. Rev. A 2021, 104, 062420. [Google Scholar] [CrossRef]
- Childs, A.M.; Su, Y.; Tran, M.C.; Wiebe, N.; Zhu, S. Theory of Trotter Error with Commutator Scaling. Phys. Rev. X 2021, 11, 011020. [Google Scholar] [CrossRef]
- Else, D.V.; Machado, F.; Nayak, C.; Yao, N.Y. Improved Lieb-Robinson bound for many-body Hamiltonians with power-law interactions. Phys. Rev. A 2020, 101, 022333. [Google Scholar] [CrossRef]
- Tran, M.C.; Chen, C.F.; Ehrenberg, A.; Guo, A.Y.; Deshpande, A.; Hong, Y.; Gong, Z.X.; Gorshkov, A.V.; Lucas, A. Hierarchy of Linear Light Cones with Long-Range Interactions. Phys. Rev. X 2020, 10. [Google Scholar] [CrossRef]
- Wilming, H.; Werner, A.H. Lieb-Robinson bounds imply locality of interactions. Phys. Rev. B 2022, 105, 125101. [Google Scholar] [CrossRef]
- Bravyi, S.; Hastings, M.B.; Verstraete, F. Lieb-Robinson Bounds and the Generation of Correlations and Topological Quantum Order. Phys. Rev. Lett. 2006, 97, 050401. [Google Scholar] [CrossRef]
- Kastner, M. Entanglement-enhanced spreading of correlations. New. J. Phys. 2015, 17, 123024. [Google Scholar] [CrossRef]
- Chessa, S.; Fanizza, M.; Giovannetti, V. Quantum-capacity bounds in spin-network communication channels. Phys. Rev. A 2019, 100, 032311. [Google Scholar] [CrossRef]
- Schneider, J.T.; Despres, J.; Thomson, S.J.; Tagliacozzo, L.; Sanchez-Palencia, L. Spreading of correlations and entanglement in the long-range transverse Ising chain. Phys. Rev. Res. 2021, 3, L012022. [Google Scholar] [CrossRef]
- Luitz, D.J.; Bar Lev, Y. Information propagation in isolated quantum systems. Phys. Rev. B 2017, 96, 020406. [Google Scholar] [CrossRef]
- Hémery, K.; Pollmann, F.; Luitz, D.J. Matrix product states approaches to operator spreading in ergodic quantum systems. Phys. Rev. B 2019, 100, 104303. [Google Scholar] [CrossRef]
- Luitz, D.J.; Bar Lev, Y. Emergent locality in systems with power-law interactions. Phys. Rev. A 2019, 99, 010105. [Google Scholar] [CrossRef]
- Colmenarez, L.; Luitz, D.J. Lieb-Robinson bounds and out-of-time order correlators in a long-range spin chain. Phys. Rev. Res. 2020, 2, 043047. [Google Scholar] [CrossRef]
- King, A.D.; Nisoli, C.; Dahl, E.D.; Poulin-Lamarre, G.; Lopez-Bezanilla, A. Qubit spin ice. Science 2021, 373, 576–580. [Google Scholar] [CrossRef]
- King, A.D.; Suzuki, S.; Raymond, J.; Zucca, A.; Lanting, T.; Altomare, F.; Berkley, A.J.; Ejtemaee, S.; Hoskinson, E.; Huang, S.; et al. Coherent quantum annealing in a programmable 2000 qubit Ising chain. Nat. Phys. 2022. [Google Scholar] [CrossRef]
- Al-Mohy, A.H.; Higham, N.J. A New Scaling and Squaring Algorithm for the Matrix Exponential. SIAM J. Matrix Anal. Appl. 2010, 31, 970–989. [Google Scholar] [CrossRef]
- Chessa, S.; Giovannetti, V. Time-polynomial Lieb-Robinson bounds for finite-range spin-network models. Phys. Rev. A 2019, 100, 052309. [Google Scholar] [CrossRef]
- Jaeken, J.; Cottenier, S. Solving the Christoffel equation: Phase and group velocities. Comput. Phys. Commun. 2016, 207. [Google Scholar] [CrossRef]












Publisher’s Note: MDPI stays neutral with regard to jurisdictional claims in published maps and institutional affiliations. |
© 2022 by the authors. Licensee MDPI, Basel, Switzerland. This article is an open access article distributed under the terms and conditions of the Creative Commons Attribution (CC BY) license (https://creativecommons.org/licenses/by/4.0/).
Share and Cite
Mahoney, B.J.; Lent, C.S. The Value of the Early-Time Lieb-Robinson Correlation Function for Qubit Arrays. Symmetry 2022, 14, 2253. https://doi.org/10.3390/sym14112253
Mahoney BJ, Lent CS. The Value of the Early-Time Lieb-Robinson Correlation Function for Qubit Arrays. Symmetry. 2022; 14(11):2253. https://doi.org/10.3390/sym14112253
Chicago/Turabian StyleMahoney, Brendan J., and Craig S. Lent. 2022. "The Value of the Early-Time Lieb-Robinson Correlation Function for Qubit Arrays" Symmetry 14, no. 11: 2253. https://doi.org/10.3390/sym14112253
APA StyleMahoney, B. J., & Lent, C. S. (2022). The Value of the Early-Time Lieb-Robinson Correlation Function for Qubit Arrays. Symmetry, 14(11), 2253. https://doi.org/10.3390/sym14112253

