A Modified Van Der Pol Oscillator Model for the Unsteady Lift Produced by a Flapping Flat Plate for Different Positions of the Rotation Axis
Abstract
:1. Introduction
2. Reduced-Order Model
3. ROM for the Added Mass Lift Coefficient (Clma)
3.1. Reformulation of the Clma Equation
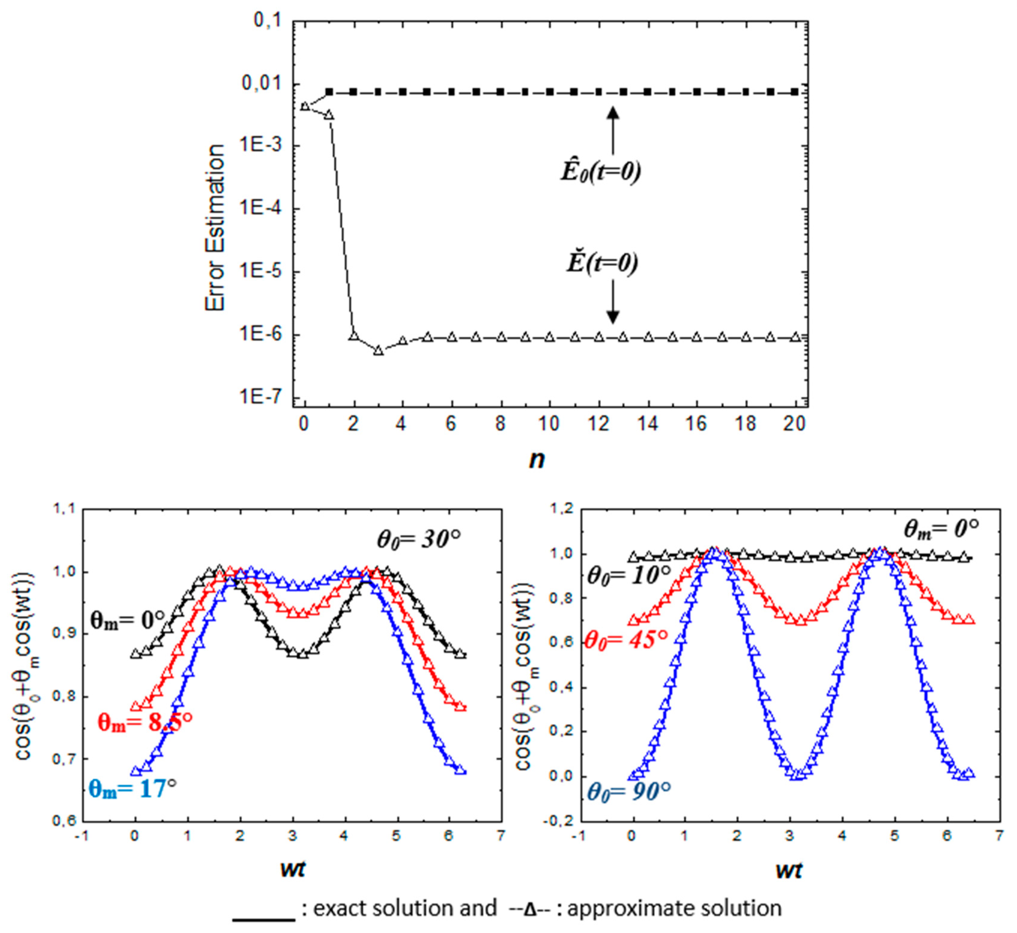
3.2. Validation of the ROM with the RK4 Method
4. CFD Study
4.1. Numerical Model
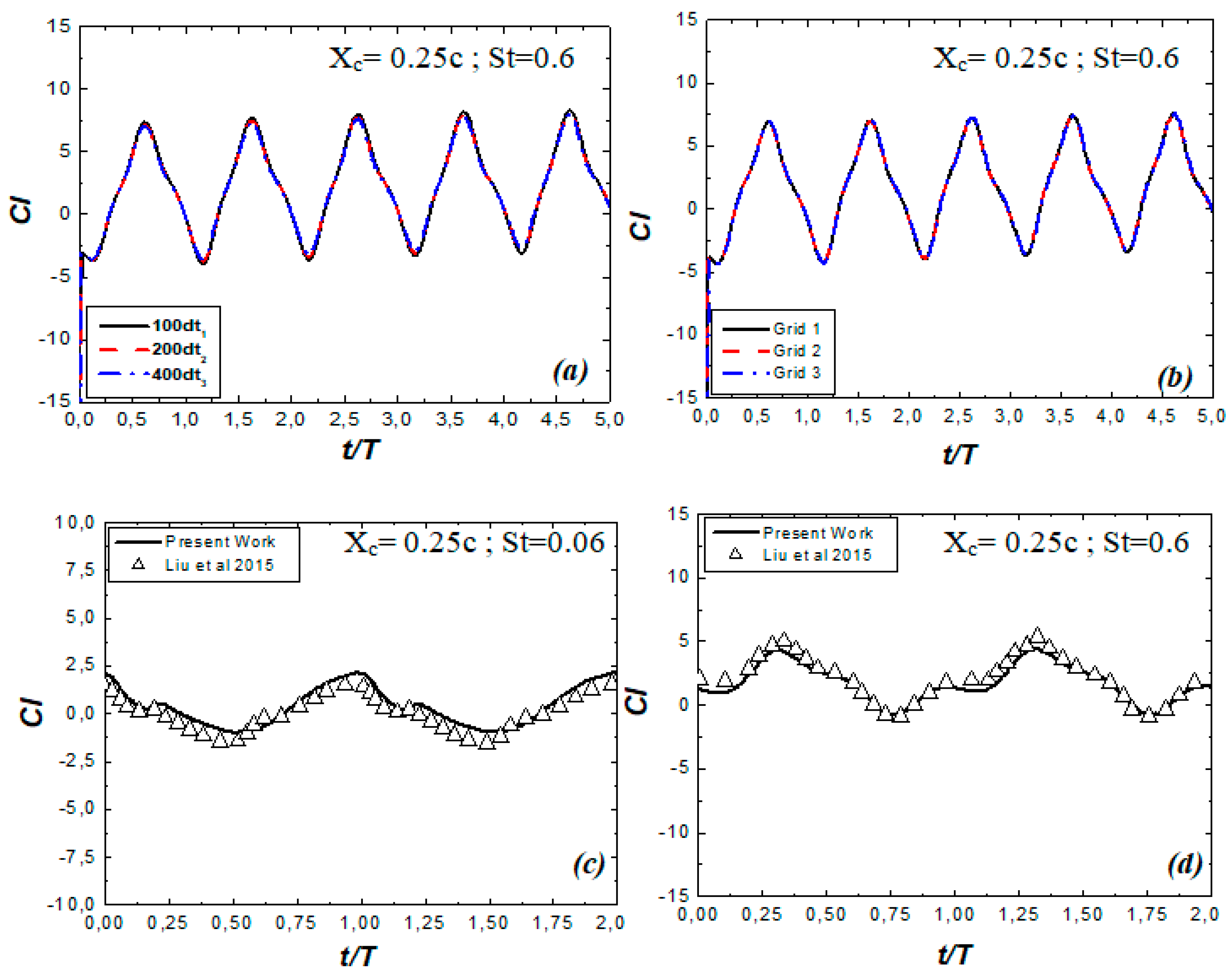
4.2. Validation of the CFD Results
4.3. Results and Discussion
5. Conclusions
Author Contributions
Funding
Data Availability Statement
Conflicts of Interest
Appendix A
Appendix B
References
- Hafien, C.; Bourehla, A.; Bouzayane, M. Passive Separation Control on a Symmetric Airfoil via Elastic-Layer. J. Appl. Fluid Mech. 2016, 9, 2569–2580. [Google Scholar] [CrossRef]
- Rodriguez-Eguia, I.; Errasti, I.; Fernandez-Gamiz, U.; Blanco, J.M.; Zulueta, E.; Saenz-Aguirre, A.A. A Parametric Study of Trailing Edge Flap Implementation on Three Different Airfoils Through an Artificial Neuronal Network. Symmetry 2020, 12, 828. [Google Scholar] [CrossRef]
- Stevens, P.R.R.J.; Babinsky, H.; Manar, F.; Mancini, P.; Jones, A.R.; Nakata, T.; Phillips, N.; Bomphrey, R.J.; Gozukara, A.C.; Granlund, K.O.; et al. Experiments and Computations on the Lift of Accelerating Flat Plates at Incidence. AIAA J. 2017, 55, 3255–3265. [Google Scholar] [CrossRef]
- Chen, Y.H.; Skote, M. Study of lift enhancing mechanisms via comparison of two distinct flapping patterns in the dragonfly Sympetrum flaveolum. Phys. Fluids 2015, 27, 033604. [Google Scholar] [CrossRef]
- Dickinson, M.H.; Lehmann, F.O.; Sane, S.P. Wing Rotation and the Aerodynamic Basis of Insect Flight. Science 1999, 284, 1954–1960. [Google Scholar] [CrossRef] [PubMed]
- Ho, S.; Nassef, H.; Pornsinsirirak, N.; Tai, Y.C.; Ho, C.M. Unsteady aerodynamics and flow control for flapping wing flyers. Prog. Aerosp. Sci. 2003, 39, 635–681. [Google Scholar] [CrossRef]
- Maybury, W.J.; Lehmann, F.O. The fluid dynamics of flight control by kinematic phase lag variation between two robotic insect wings. J. Exp. Biol. 2004, 207, 4707–4726. [Google Scholar] [CrossRef] [PubMed] [Green Version]
- Sane, S.P.; Dickinson, M.H. The aerodynamic effects of wing rotation and a revised quasi-steady model of flapping flight. J. Exp. Biol. 2002, 205, 1087–1096. [Google Scholar] [CrossRef] [PubMed]
- Yang, L.J.; Hsiao, F.Y.; Tang, W.T.; Huang, I.C. 3D Flapping Trajectory of a Micro-Air-Vehicle and its Application to Unsteady Flow Simulation. Int. J. Adv. Robot. Syst. 2013, 10, 264. [Google Scholar] [CrossRef]
- Liu, L.; Sun, M. The added mass forces in insect flapping wings. J. Theor. Biol. 2018, 437, 45–50. [Google Scholar] [CrossRef] [PubMed]
- Wang, S.; Zhang, X.; Guowei, H.; Tianshu, L. A lift formula applied to low-Reynolds-number unsteady flows. Phys. Fluids 2013, 25, 093605. [Google Scholar] [CrossRef] [Green Version]
- Xu, M.; Wei, M.; Yang, T.; Lee, Y.S. An embedded boundary approach for the simulation of a flexible flapping wing at different density ratio. Eur. J. Mech. B/Fluids 2016, 55, 146–156. [Google Scholar] [CrossRef]
- Berman, G.J.; Wang, Z.J. Energy-minimizing kinematics in hovering insect flight. J. Fluid Mech. 2007, 582, 153–168. [Google Scholar] [CrossRef] [Green Version]
- Ellington, C.P.; Van den Berg, C.; Willmott, A.P.; Thomas, A.L.R. Leading-edge vortices in insect flight. Nature 1996, 384, 626–630. [Google Scholar] [CrossRef]
- Whitney, J.P.; Wood, R.J. Aeromechanics of passive rotation in flapping flight. J. Fluid Mech. 2010, 660, 197–220. [Google Scholar] [CrossRef] [Green Version]
- Minotti, F.O. Unsteady two-dimensional theory of a flapping wing. Phys. Rev. E 2002, 66, 051907. [Google Scholar] [CrossRef]
- Sunada, S.; Kawachi, K.; Matsumoto, A.; Sakaguchi, A. Unsteady forces on a two-dimensional wing in plunging and pitching motions. AIAA J. 2001, 39, 1230–1239. [Google Scholar] [CrossRef]
- Zbikowski, R. On aerodynamic modelling of an insect-like flapping wing in hover for micro air vehicles. Philos. Trans. R. Soc. A 2002, 360, 273–290. [Google Scholar] [CrossRef] [PubMed]
- Sedov, L.I. Two-Dimensional Problems in Fuild Dynamics and Aero-Dynamics; Interscience: New York, NY, USA, 1965; pp. 20–30. [Google Scholar]
- Ellington, C.P. The aerodynamics of hovering insect flight. IV. aerodynamic mechanisms. Philos. Trans. R. Soc. B Biol. Sci. 1984, 305, 79–113. [Google Scholar]
- Fung, Y.C. An Introduction to the Theory of Aeroelasticity; Dover: New York, NY, USA, 1993. [Google Scholar]
- Liu, T.; Wang, S.; Zhang, X.; He, G. Unsteady Thin-Airfoil Theory Revisited: Application of a Simple Lift Formula. AIAA J. 2015, 53, 1492–1502. [Google Scholar] [CrossRef]
- Brunton, S.; Rowley, C.W.; Williams, D. Reduced-order unsteady aerodynamic models at low Reynolds numbers. J. Fluid Mech. 2013, 724, 203–233. [Google Scholar] [CrossRef]
- Akhtar, I.; Borggaard, J.; Hay, A. Shape Sensitivity Analysis in Flow Models Using a Finite-Difference Approach. Math. Probl. Eng. 2010, 2010, 209780. [Google Scholar] [CrossRef] [Green Version]
- Sirovich, L. Turbulence and the Dynamics of Coherent Structures. Q. Appl. Math. 1987, 45, 561–571. [Google Scholar] [CrossRef] [Green Version]
- Hartlen, R.; Currie, I. Lift-oscillator model of vortex-induced vibration. J. Eng. Mech. Div. 1970, 96, 577–591. [Google Scholar] [CrossRef]
- Marzouk, O.A.; Nayfeh, A.H.; Akhtar, I.; Arafat, H.N. Modeling Steady-State and Transient Forces on a Cylinder. J. Vib. Control 2007, 13, 1065–1091. [Google Scholar] [CrossRef] [Green Version]
- Akhtar, I.; Marzouk, O.A.; Nayfeh, A.H. A van der Pol–Duffing Oscillator Model of Hydrodynamic Forces on Canonical Structures. J. Comput. Nonlinear Dyn. 2009, 4, 041006. [Google Scholar] [CrossRef]
- Venkataraman, D.; Bottaro, A.; Govindarajan, R. A minimal model for flow control on an aerofoil using a poro-elastic coating. J. Fluids Struct. 2014, 47, 150–164. [Google Scholar] [CrossRef]
- Khalid, M.S.U.; Akhtar, I. Nonlinear Reduced-Order Models for Aerodynamic Lift of Oscillating Airfoils. J. Comput. Nonlinear Dyn. 2017, 12, 051019. [Google Scholar] [CrossRef]
- Hafien, C.; Ben Mbarek, T. Reduce d order model for the lift coefficient of an airfoil equipped with extrados and/or trailing edge flexible flaps. Comput. Fluids 2019, 180, 82–95. [Google Scholar] [CrossRef]
- Moon, F.C. Applied Dynamics: With Applications to Multibody and Mechatronic Systems; Wiley: Hoboken, NJ, USA, 1998. [Google Scholar]
- Nayfeh, A.H.; Owis, F.; Hajj, M.R. A model for the coupled lift and drag on a circular cylinder. In Proceedings of the DETC03, ASME 2003 Design Engineering Technical Conferences and Computers and Information in Engineering Conference, Chicago, IL, USA, 2–6 September 2003. [Google Scholar]
- Richard, H. Rand Lecture Notes on Nonlinear Vibrations; Department of Theoretical and Applied Mechanics, Cornell University: Ithaca, NY, USA, 2005. [Google Scholar]
- Venkataraman, D. Flow Control Using a Porous, Compliant Coating of Feather-like Actuators. Ph.D. Thesis, Department of Civil, Chemical and Environmental Engineering, University of Genova, Genoa, Italy, 19 March 2013. [Google Scholar]
- von Kármán, T.; Sears, W.R. Airfoil Theory for Non-Uniform Motion. J. Aeronaut. Sci. 1938, 5, 379–390. [Google Scholar] [CrossRef]
- Weis-Fogh, T. Quick estimates of flight fitness in hovering animals, including novel mechanisms for lift production. J. Exp. Biol. 1973, 59, 169–230. [Google Scholar] [CrossRef]
- Sane, S.P.; Dickinson, M.H. The control of flight force by a flapping wing: Lift and drag production. J. Exp. Biol. 2001, 204, 2607–2626. [Google Scholar] [CrossRef] [PubMed]
- Wang, Q.; Goosen, H.; van Keulen, F. A predictive quasi-steady model of aerodynamic loads on flapping wings. J. Fluid Mech. 2016, 800, 688–719. [Google Scholar] [CrossRef] [Green Version]
- Zakaria, M.Y.; Pereira, D.A.; Ragab, S.A.; Hajj, M.R.; Marques, F.D. An Experimental Study of Added Mass on a Plunging Airfoil Oscillating with High Frequencies at High Angles of Attack. In Proceedings of the 33rd AIAA Applied Aerodynamics Conference, Dallas, TX, USA, 22–26 June 2015. [Google Scholar] [CrossRef]









| Case | α1 | α2 | α3 | β2 | β3 | Existence of Limit Cycle |
|---|---|---|---|---|---|---|
| 1 | 1 | 0 | 0 | −1 | 0 | No |
| 2 | 1 | 0 | 0 | 0 | −1 | No |
| 3 | 0 | 1 | 0 | −1 | 0 | Yes |
| 4 | 0 | 1 | 0 | 0 | −1 | Limit cycle exists only for initial conditions with ∂x/∂t negative or zero. |
| 5 | 0 | 0 | 1 | −1 | 0 | No |
| 6 | 0 | 0 | 1 | 0 | −1 | Yes |
| Clma0 | Am1,s | Am1,c | Am2,s | Am2,c | Am3,s | Am3,c |
| −0.253 | −5.309 | 5.1752 | 0.2422 | −0.2536 | 0.184 | −0.1926 |
| Clma0 | Am1 | Am2 | Am3 | ϕm1 | ϕm2 | ϕm3 |
| −0.253 | 7.41405 | −0.3506 | −0.2663 | π − 0.7726 | 2π − 0.808 | 2π − 0.808 |
| Xc/c | Cl0 | A1 | A2 | A3 | ϕ1 | ϕ2 | ϕ3 |
|---|---|---|---|---|---|---|---|
| 0.25 | 2.03178 | 4.62199 | 0.55519 | 0.70305 | 3.94 = π + 0.798 | 1.46075 | 1.97423 |
| 0.425 | 1.78581 | 1.69849 | 0.48224 | 0.59702 | 4.903 = π + 1.761 | 2.465 | 2.537 |
| 0.65 | 1.6568 | 4.29421 | 0.56994 | 0.72215 | 6.493 = 2π + 0.2153 | 2.9754 | 2.821 |
Publisher’s Note: MDPI stays neutral with regard to jurisdictional claims in published maps and institutional affiliations. |
© 2022 by the authors. Licensee MDPI, Basel, Switzerland. This article is an open access article distributed under the terms and conditions of the Creative Commons Attribution (CC BY) license (https://creativecommons.org/licenses/by/4.0/).
Share and Cite
Hafien, C.; Messaoudi, A. A Modified Van Der Pol Oscillator Model for the Unsteady Lift Produced by a Flapping Flat Plate for Different Positions of the Rotation Axis. Symmetry 2022, 14, 88. https://doi.org/10.3390/sym14010088
Hafien C, Messaoudi A. A Modified Van Der Pol Oscillator Model for the Unsteady Lift Produced by a Flapping Flat Plate for Different Positions of the Rotation Axis. Symmetry. 2022; 14(1):88. https://doi.org/10.3390/sym14010088
Chicago/Turabian StyleHafien, Chedhli, and Abdellatif Messaoudi. 2022. "A Modified Van Der Pol Oscillator Model for the Unsteady Lift Produced by a Flapping Flat Plate for Different Positions of the Rotation Axis" Symmetry 14, no. 1: 88. https://doi.org/10.3390/sym14010088
APA StyleHafien, C., & Messaoudi, A. (2022). A Modified Van Der Pol Oscillator Model for the Unsteady Lift Produced by a Flapping Flat Plate for Different Positions of the Rotation Axis. Symmetry, 14(1), 88. https://doi.org/10.3390/sym14010088
