Abstract
We investigate an extension of the Standard Model with one additional triplet of scalar bosons. Altogether, the model contains four Higgs bosons. We analyze the associated production of the doubly charged scalar with the Standard Model gauge bosons and the remaining Higgs bosons of the model, which are: the light (SM) and heavy neutral scalars and a singly charged scalar. We estimate, in the context of the present (HL–LHC) and future (FCC–hh) hadron colliders, the most promising processes in which a single produced doubly charged Higgs boson is involved.
1. Introduction
Experimental evidence of the Higgs boson’s existence, found at the Large Hadron Collider (LHC) [1,2], was a quantum leap in particle physics history. Nevertheless, questions related to the minimal Higgs sector are still open. From this point of view, extensions of the Standard Model can be realized in two ways: directly, by introducing additional multiplets, or indirectly, by extending the gauge group (e.g., left right symmetric models [3,4,5,6,7,8]). In the first scenario, many Beyond the Standard Model (BSM) theories assume the existence of additional Higgs bosons [9,10]. In the context of hadron colliders, doubly charged Higgs bosons [11,12,13] are especially attractive propositions; they lead to a production of same-charged leptons. In various BSM theories, they can occur at a significantly high rate. Thus, the Higgs sector with the Higgs triplet can lead to a discovery of new physics effects. In a general outline, triplet representations depend on the hypercharge [13,14,15,16]. In this paper, we will focus on the Higgs Triplet Model (HTM), which extends the standard Higgs sector by adding one scalar triplet () with hypercharge [10,13]. The importance of investigation processes involving is due to two facts. First, the triplet vacuum expectation value (VEV) is very small, whereas mass can be at the level of a few hundred GeV. Such masses of scalars can be probed at the hadron colliders. Second, processes involving lead to the lepton flavor violation (LFV) as well as lepton number violating (LNV) processes, which can also be probed at hadron colliders. In addition, the model provides tiny masses of neutrinos by generating Majorana mass terms via the Type-II seesaw mechanism. Therefore, neutrino oscillation experiments put severe constraints on both the VEV of the triplet scalar and Yukawa couplings.
The doubly charged Higgs bosons can be produced in pairs or as single events associated with gauge bosons and/or singly charged and neutral scalars. Amid the most important production channels at hadron colliders, it is worth mentioning the Drell-Yan processes via s-channel or exchange [17,18,19], the vector boson fusion process [20,21] or the gluon fusion process [22,23,24]. Pair production of doubly charged scalar and its signature as multi-leptons has been widely studied in the literature [25,26,27,28,29,30,31,32,33,34,35,36,37,38].
Searches of the charged scalars at the LHC show no significant excess from the SM backgrounds, thus lower bounds are put on their masses. The ATLAS collaboration set the lower bound on the mass of doubly charged scalar in the range of 770–870 GeV, assuming 100% branching ratios of leptonic modes [39] with TeV. Recently, ATLAS has searched the decay of doubly charged scalar into gauge bosons with multileptons in final states and established the lower bound on doubly charged scalar as 350 GeV (pair production) and 230 GeV [40]. The CMS collaboration has also provided lower bounds that vary between 396–712 GeV for a pair production (assuming 100% branching ratios of leptons) and 479–746 GeV for an associated production, depending on the decay channel bounds [41] with TeV. In this paper, we analyze the associated production of the doubly charged scalar with other scalars of the HTM model and/or SM gauge bosons. All relevant phenomenological constraints on the non-standard neutral and charged Higgs scalar parameters connected with HTM are taken into account. Among those worth mentioning are neutrino oscillations, low energy experiments, the bound on the parameter, limits on HTM contributions to and lepton LFV processes, as well as limits on HTM parameters coming from collider and scatterings. We will present results obtained for HL–LHC TeV [42,43] and FCC-hh TeV [44,45,46,47,48] proton-proton collision energies.
2. The Higgs Triplet Model Phenomenological Constraints
To extend the Standard Model, one additional triplet is introduced. Depending on the triplet hypercharge Y, this triplet contains neutral, singly and/or doubly charged scalar fields. In our case, since we are interested in the doubly charged Higgs production, we chose the and convention (where is the third component of the izospin). So the scalar sector contains one doublet and the mentioned triplet:
The linear combination of neutral, charged and doubly charged fields of the above multiplets creates the physical states h (associated with the SM Higgs boson and mass around 125 GeV), H (heavy neutral boson), and singly and doubly charged scalar particles (see Appendix A.1) and one pseudoscalar.
The entire Lagrangian can be found in [49] and is built from its kinetic potential and Yukawa parts. The scalar potential and the exact formulas for the scalar particles’ masses can be found in the Appendix A.1.
In this work, we assume that the non-standard scalar particles’ masses are degenerated. This choice is justified since the constraints from the unitarity, T-parameter and [50,51] process limit the mass gap between the , and to a few dozens of GeV [52,53].
Other constraints on the model parameters come from the low and high energy processes after the Yukawa part of the Lagrangian:
This leads to the − − and − − vertices (see Appendix A.2). Therefore, this interaction provides contributions to several lepton flavor violating processes, for example, the , , conversion. Besides, there are also contributions to a few standard model lepton scatterings and that are mediated by heavy charged scalars. These phenomenological constraints in the context of HTM have been analysed in detail in the literature [37]. Studies in [10,36,53,54] point out that production strongly depends on neutrino oscillations, LHC and SM processes and low-energy lepton flavour violating data. It appears that the VEV of is very small. Due to neutrino oscillation data, the minimal value is constrained to be at the (sub)electronvolt level, and due to theoretical constraints combined with low-energy neutral and charged processes, the upper limit cannot exceed a gigaelectronovolt value. In this work, we take eV and GeV as reference values.
3. Results
Let us first analyse the production and processes at hadron colliders where a single boson and SM gauge bosons or other Higgs scalars of the HTM model are simultaneously produced. We use the CTEQ6L1 Parton Distribution Functions (PDF) [55,56] and basic MadGraph cuts. In Table 1, we present production rates for eleven non-vanishing processes. Other processes with two neutral bosons production, such as, for example, , are forbidden by the charge conservation principle. For the reader’s convenience, the most promising processes are given in blue. Corresponding Feynman diagrams, which contribute to the processes shown in Table 1, are presented in the Appendix A.3. In this work, calculations have been performed using the MadGraph [57] and Pythia [58,59] programs. The UFO files were generated using FeynRules [60] and were built on our model file [37,53,61], based on the default Standard Model implementation.
Table 1.
Cross section for a production of a single boson with associated SM gauge bosons and other HTM scalars at the colliders in and processes. Cross sections are calculated for TeV (100 TeV) and are given in pb. Charged scalar masses are degenerated, GeV.
The dominant process associated with a single production is . The expected cross sections for the given Higgs boson masses are for , and pb for . With assumed luminosity for HL–LHC [43] and for FCC–hh [47], it converts to a total number of ∼300 and ∼ events at HL–LHC and FCC–hh, respectively.
The following ‘blue’ processes in Table 1 are connected with processes. The processes that provide negligible cross sections can be understood by analysing individual Feynman vertices; see the Appendix A.3 and Table 2. As we can see in Table 2, many vertices are proportional to VEV , which, as explained in Section 1 and Section 2, is at the level of (sub)eV-GeV.
Table 2.
Couplings for the non standard scalars: (charged, top table) and H (neutral, bottom table).
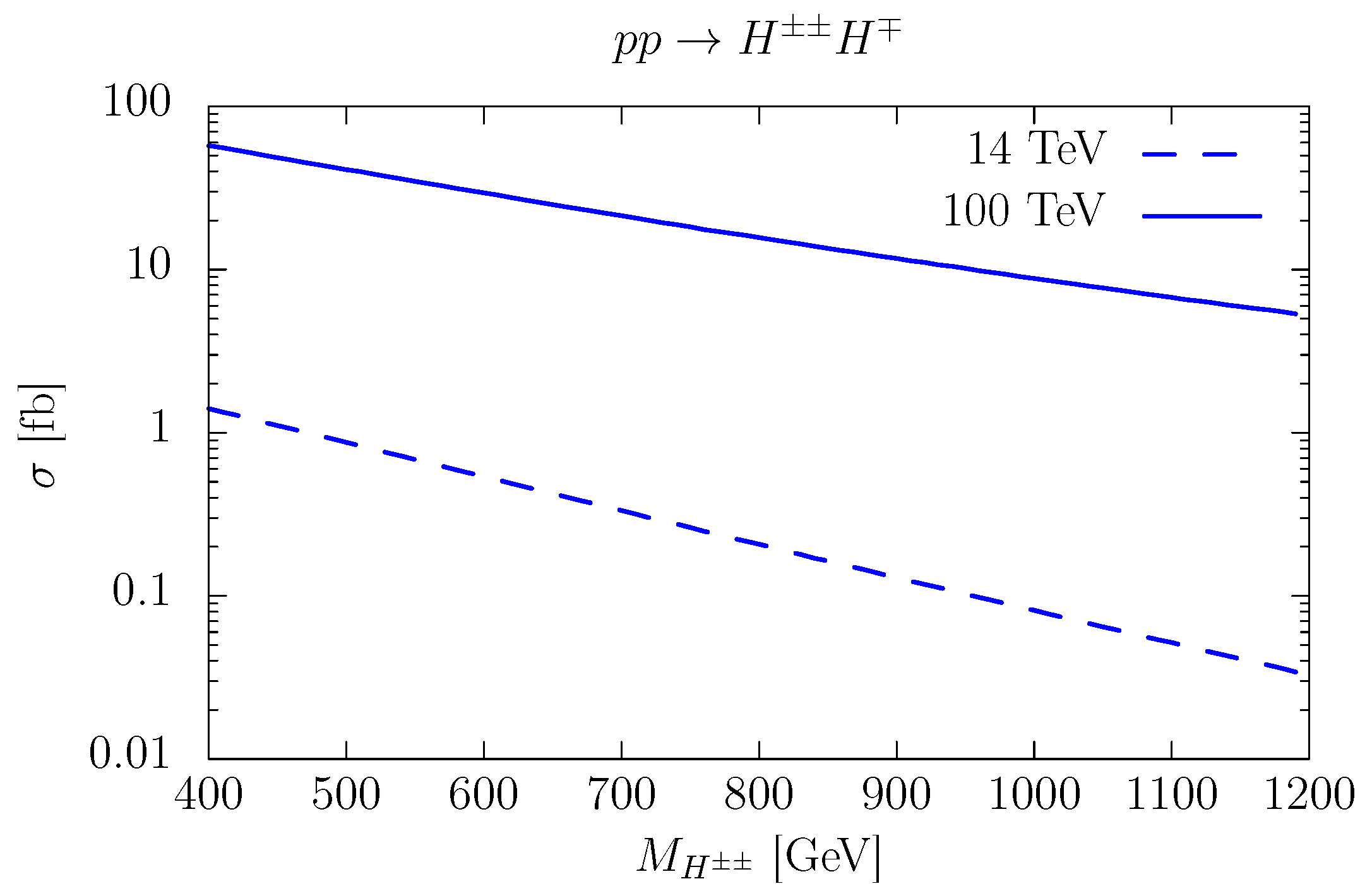
In Figure 1, the mass dependence of the cross section is given. As we can see, it depends strongly on the doubly charged Higgs boson mass. Note that in Table 1, results are given for GeV. However, as discussed in the Introduction and in [37], smaller masses of heavy Higgs bosons are still possible, so signal predictions given for processes in Table 1 can be even larger.
Figure 1.
Cross section for process as a function of . In the calculations, is taken to be 1000 GeV.
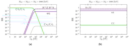
Concerning the decay modes of the HTM Higgs bosons, in the case of doubly charged Higgs boson , we discussed the decay channels in detail in Section 5.2 of our previous work [37]. Here, we initiate a similar analysis for singly charged and heavy neutral scalar bosons H. First, possible decay modes of and H with corresponding strengths of interactions (couplings) are given in Table 2.
As one can find in Table 2, singly charged scalar coupling can break the lepton number () and lepton flavour number (). These couplings also contribute to muon , which was discussed in the Appendix of [37].
As we mentioned in Section 2, the triplet VEV is bounded from below due to the LFV processes and from the top because of the parameter constrain. From Table 2 we can see that decay depends on , as well as the doubly charged scalar decay modes (see Figure 11 in [37]). Due to the assumed scalar’s mass degeneration, decays to the non-standard scalars are not considered, even though those might be significant as off-shell processes and are worth discussion in future studies.
Since and decays depend on the triplet VEV, to examine different decay modes, we choose two values; = 50 eV and = 0.5 GeV. We assume degenerated mass scenario . For = 50 eV, the doubly charged scalar decays dominantly to a pair of leptons, and decays to a charged lepton and an (anti)neutrino. Branching ratios for particular flavours depend on the neutrino mass hierarchy and mixing angles. In the second case, GeV, decays to a gauge boson pair . Regarding the singly charged scalar , the situation is a bit more complicated as shown in Figure 2. For clarity, we present the dominant decay channels for and in Table 3. Other possible final states are negligible.
Figure 2.
Branching ratios for (charged, a) and H (neutral, b) Higgs boson decays in HTM.
Table 3.
Dominant decays of and for different values of triplet VEV, = 50 eV and = 0.5 GeV.
The final state for the above processes depends on the SM and heavy scalar particles’ decays. For the purpose of this work, we chose the least complicated case—the process. As one can see in Table 3, decay modes depend on the triplet VEV. Moreover, in the same table we presented the simplified relationship between the scalar-leptons couplings and triplet and doublet VEVs. In the Table 4 we present the cross section for the intermediate states and corresponding background. In the Appendix A.2, we demonstrate more exact formulas. Those vertices depend on the PMNS matrix—on neutrino mixing parameters and mass hierarchy. Because decay to a pair depends strongly on the neutrino parameters, we decided to follow the convention adopted in [37] and find the parameter space where decay to same flavour lepton is most probable. That means:
Table 4.
Singly and doubly charged scalar production with primary decays to the SM particles for CM energy 14 TeV (100 TeV).
- to maximize the signal: (inverted neutrino mass hierarchy), , ,
- to maximize the signal: eV (normal neutrino mass hierarchy), , ,
where , are Majorana phases in the PMNS matrix (see Equation (A9)) and other neutrino parameters are taken from nu-fit.org (accessed on 2 July 2021) [62].
In Table 4, we present the above process with primary scalar particles and Standard Model particles. As one can see, for eV, the possible final state is . In Table 5, we present the results after using the following cuts:
Table 5.
Results from Table 4 for eV, after cuts. Centre mass energy: TeV.
- Lepton identification criteria: transverse momentum GeV, pseudorapidity ;
- Hard cuts: GeV, GeV, GeV;
- Detector efficiency for electron (muon): 70% (90%);
- Lepton–lepton separation: ;
- Z-veto—the invariant mass of any same flavour and opposite charge lepton should satisfy the condition: .
The signal after the above cuts for eV is still negligible in comparison to the background. However, we are planning to repeat the above studies for GeV, since that case looks much more promising.
4. Summary and Outlook
Observation of the Higgs boson opens up possibilities for other charged and neutral scalars to be detected at present and future colliders. In this paper, we studied the associated production of a doubly charged scalar within the Higgs triplet model at the colliders and with a centre of mass energy of 14 (HL–LHC) and 100 TeV (FCC–hh). We analysed all the associated processes of with gauge and scalar bosons and found that five of them are worth further study. We found that the largest cross section is for the process. Our preliminary studies show that the background signals for the considered processes are substantial, and a more detailed analysis of kinematic conditions and appropriate distributions or choice of final states, which can enhance new physics signals over the SM background, are needed and will be undertaken in the near future.
Further, we analyzed the dominant decay modes of singly charged and heavy neutral scalars within the model. The final state’s signature at the hadron colliders will depend strongly on HTM VEV; we discuss possible decay scenarios for eV and GeV. For eV, the dominant decay modes are leptonic, while for GeV the dominant modes involve SM gauge bosons. Scenarios with off-shell, non-standard scalar decays will also be compelling to explore.
We have examined the eV. Even though applied cuts slightly improved the significance, the result is still very low compared to the background. We are planning to repeat the detailed studies with appropriate cuts for GeV, which seems to be more attractive in comparison to the background.
As an outlook similar to the work in [37], for a case of doubly charged Higgs boson pair production at hadron colliders, we should consider how HTM signals—where a single Higgs boson is involved—can be discriminated from other models, including scalars, notably the Left–Right Symmetric Models [21,52,63,64,65,66].
Author Contributions
Conceptualization, M.K.; methodology, B.D., M.K. and T.S.; software, B.D. and M.K.; validation, B.D. and T.S.; formal analysis, B.D. and T.S.; investigation, B.D. and M.K.; resources, B.D. and T.S.; writing—original draft preparation, B.D. and T.S.; writing—review and editing, B.D. and M.K.; supervision, B.D. and M.K.; project administration, B.D. All authors have read and agreed to the published version of the manuscript.
Funding
This research was funded by COST (European Cooperation in Science and Technology) Action CA16201 PARTICLEFACE and partly by the Polish National Science Center (NCN) under grant 2015/17/N/ST2/04067 and the research activities co-financed by the funds granted under the Research Excellence Initiative of the University of Silesia in Katowice.
Institutional Review Board Statement
Not applicable.
Informed Consent Statement
Not applicable.
Data Availability Statement
Not applicable.
Acknowledgments
We thank Janusz Gluza for useful remarks and discussions.
Conflicts of Interest
The authors declare no conflict of interest.
Abbreviations
The following abbreviations are used in this manuscript:
| BSM | Beyond Standard Model |
| HTM | Higgs Triplet Model |
| LFV | Lepton Flavour Violation |
| LNV | Lepton Number Violation |
| SM | Standard Model |
| VEV | Vacuum Expectation Value |
Appendix A
Appendix A.1. The Scalar Potential of the Model
The scalar potential can be expressed as [49]:
where indicates SM doublet, , and are real dimensionless couplings. The and can be expressed as functions of model parameters together with triplet and doublet VEV’s (, ):
Physical states are obtained by a rotation of the triplet and doublet fields. Here, we are presenting that dependence in a simplified way:
where and are functions of the scalar potential parameters and multiplets VEV’s. The exact formulas can be found in [49] and in the Appendix of [37]. In this paper, only the approximation for : [53], is presented. The physical states masses are as follows:
Appendix A.2. Scalar-Leptons Couplings
Here we present the exact formulas for the and vertices, derived from the Yukawa Lagrangiang for the scalar triplet (see Equation (2)):
where is the Yukawa coupling, and from the neutrino mass diagonalisation we obtain [37] the following formula. means neutrino mass and is the Pontecorvo– Maki–Nakagawa–Sakata matrix, parametrised as in the Equation (A9) (, denote / ).
Appendix A.3. Feynman Diagrams
Below, we list the most relevant diagrams which contribute to the processes considered in the work, in which one doubly charged Higgs boson is present (so those marked with blue in Table 1). We keep the same numeration as in the mentioned table, so we had chosen the processes , , , and .


Figure A1.
Feynman diagrams for singly and doubly charged scalars production in collision, associated with other spin 0 particles (gauge and scalar bosons).
Figure A1.
Feynman diagrams for singly and doubly charged scalars production in collision, associated with other spin 0 particles (gauge and scalar bosons).



References
- Aad, G.; Abajyan, T.; Abbott, B.; Abdallah, J.; Khalek, S.A.; Abdelalim, A.A.; Aben, R.; Abi, B.; Abolins, M.; AbouZeid, O.S.; et al. Observation of a new particle in the search for the Standard Model Higgs boson with the ATLAS detector at the LHC. Phys. Lett. 2012, B716, 1–29. [Google Scholar] [CrossRef]
- Chatrchyan, S.; Khachatryan, V.; Sirunyan, A.M.; Tumasyan, A.; Adam, W.; Aguilo, E.; Bergauer, T.; Dragicevic, M.; Erö, J.; Fabjan, C.; et al. Observation of a New Boson at a Mass of 125 GeV with the CMS Experiment at the LHC. Phys. Lett. 2012, B716, 30–61. [Google Scholar] [CrossRef]
- Mohapatra, R.N.; Pati, J.C. A Natural Left-Right Symmetry. Phys. Rev. 1975, D11, 2558. [Google Scholar] [CrossRef]
- Senjanovic, G.; Mohapatra, R.N. Exact Left-Right Symmetry and Spontaneous Violation of Parity. Phys. Rev. 1975, D12, 1502. [Google Scholar] [CrossRef]
- Mohapatra, R.N.; Senjanović, G. Neutrino Mass and Spontaneous Parity Nonconservation. Phys. Rev. Lett. 1980, 44, 912–915. [Google Scholar] [CrossRef]
- Deshpande, N.G.; Gunion, J.F.; Kayser, B.; Olness, F. Left-right-symmetric electroweak models with triplet Higgs field. Phys. Rev. D 1991, 44, 837–858. [Google Scholar] [CrossRef] [PubMed]
- Duka, P.; Gluza, J.; Zralek, M. Quantization and renormalization of the manifest left-right symmetric model of electroweak interactions. Ann. Phys. 2000, 280, 336–408. [Google Scholar] [CrossRef]
- Barenboim, G.; Gorbahn, M.; Nierste, U.; Raidal, M. Higgs sector of the minimal left-right symmetric model. Phys. Rev. 2002, D65, 095003. [Google Scholar] [CrossRef]
- Gunion, J.F.; Haber, H.E.; Kane, G.L.; Dawson, S. The Higgs Hunter’s Guide; CRC Press: Boca Raton, FL, USA, 2000; Volume 80. [Google Scholar]
- Chun, E.J.; Lee, K.Y.; Park, S.C. Testing Higgs triplet model and neutrino mass patterns. Phys. Lett. 2003, B566, 142–151. [Google Scholar] [CrossRef]
- Pati, J.C.; Salam, A. Lepton Number as the Fourth Color. Phys. Rev. D 1974, 10, 275–289, Erratum in 1975, 11, 703. [Google Scholar] [CrossRef]
- Georgi, H.; Machacek, M. Doubly charged Higgs bosons. Nucl. Phys. B 1985, 262, 463–477. [Google Scholar] [CrossRef]
- Gunion, J.F.; Vega, R.; Wudka, J. Higgs triplets in the standard model. Phys. Rev. D 1990, 42, 1673–1691. [Google Scholar] [CrossRef] [PubMed]
- Gunion, J.F.; Grifols, J.; Mendez, A.; Kayser, B.; Olness, F. Higgs bosons in left-right-symmetric models. Phys. Rev. D 1989, 40, 1546–1561. [Google Scholar] [CrossRef] [PubMed]
- Vega, R.; Dicus, D.A. Doubly charged Higgs and W+W+ production. Nucl. Phys. B 1990, 329, 533–546. [Google Scholar] [CrossRef]
- Huitu, K.; Maalampi, J.; Pietila, A.; Raidal, M. Doubly charged Higgs at LHC. Nucl. Phys. 1997, B487, 27–42. [Google Scholar] [CrossRef]
- Barger, V.D.; Baer, H.; Keung, W.Y.; Phillips, R.J.N. Decays of Weak Vector Bosons and T Quarks Into Doubly Charged Higgs Scalars. Phys. Rev. D 1982, 26, 218. [Google Scholar] [CrossRef]
- Muhlleitner, M.; Spira, M. A Note on doubly charged Higgs pair production at hadron colliders. Phys. Rev. D 2003, 68, 117701. [Google Scholar] [CrossRef]
- Primulando, R.; Julio, J.; Uttayarat, P. Scalar phenomenology in type-II seesaw model. JHEP 2019, 8, 24. [Google Scholar] [CrossRef]
- Dutta, B.; Eusebi, R.; Gao, Y.; Ghosh, T.; Kamon, T. Exploring the doubly charged Higgs boson of the left-right symmetric model using vector boson fusionlike events at the LHC. Phys. Rev. D 2014, 90, 055015. [Google Scholar] [CrossRef]
- Bambhaniya, G.; Chakrabortty, J.; Gluza, J.; Jelinski, T.; Szafron, R. Search for doubly charged Higgs bosons through vector boson fusion at the LHC and beyond. Phys. Rev. D 2015, 92, 015016. [Google Scholar] [CrossRef]
- Hessler, A.G.; Ibarra, A.; Molinaro, E.; Vogl, S. Impact of the Higgs boson on the production of exotic particles at the LHC. Phys. Rev. D 2015, 91, 115004. [Google Scholar] [CrossRef]
- Han, T.; Mukhopadhyaya, B.; Si, Z.; Wang, K. Pair production of doubly-charged scalars: Neutrino mass constraints and signals at the LHC. Phys. Rev. D 2007, 76, 075013. [Google Scholar] [CrossRef]
- Drees, M.; Godbole, R.M.; Nowakowski, M.; Rindani, S.D. gamma gamma processes at high-energy p p colliders. Phys. Rev. D 1994, 50, 2335–2338. [Google Scholar] [CrossRef] [PubMed]
- Akeroyd, A.G.; Aoki, M. Single and pair production of doubly charged Higgs bosons at hadron colliders. Phys. Rev. D 2005, 72, 035011. [Google Scholar] [CrossRef]
- Akeroyd, A.G.; Aoki, M.; Sugiyama, H. Probing Majorana Phases and Neutrino Mass Spectrum in the Higgs Triplet Model at the CERN LHC. Phys. Rev. D 2008, 77, 075010. [Google Scholar] [CrossRef]
- Akeroyd, A.G.; Sugiyama, H. Production of doubly charged scalars from the decay of singly charged scalars in the Higgs Triplet Model. Phys. Rev. D 2011, 84, 035010. [Google Scholar] [CrossRef]
- Alloul, A.; Frank, M.; Fuks, B.; Rausch de Traubenberg, M. Doubly-charged particles at the Large Hadron Collider. Phys. Rev. D 2013, 88, 075004. [Google Scholar] [CrossRef]
- Li, T. Type II Seesaw and tau lepton at the HL-LHC, HE-LHC and FCC-hh. JHEP 2018, 9, 79. [Google Scholar] [CrossRef]
- Dev, P.S.B.; Ramsey-Musolf, M.J.; Zhang, Y. Doubly-Charged Scalars in the Type-II Seesaw Mechanism: Fundamental Symmetry Tests and High-Energy Searches. Phys. Rev. 2018, D98, 055013. [Google Scholar] [CrossRef]
- Crivellin, A.; Ghezzi, M.; Panizzi, L.; Pruna, G.M.; Signer, A. Low- and high-energy phenomenology of a doubly charged scalar. Phys. Rev. D 2019, 99, 035004. [Google Scholar] [CrossRef]
- Du, Y.; Dunbrack, A.; Ramsey-Musolf, M.J.; Yu, J.H. Type-II Seesaw Scalar Triplet Model at a 100 TeV pp Collider: Discovery and Higgs Portal Coupling Determination. JHEP 2019, 1, 101. [Google Scholar] [CrossRef]
- Antusch, S.; Fischer, O.; Hammad, A.; Scherb, C. Low scale type II seesaw: Present constraints and prospects for displaced vertex searches. JHEP 2019, 2, 157. [Google Scholar] [CrossRef]
- de Melo, T.B.; Queiroz, F.S.; Villamizar, Y. Doubly Charged Scalar at the High-Luminosity and High-Energy LHC. Int. J. Mod. Phys. A 2019, 34, 1950157. [Google Scholar] [CrossRef]
- Padhan, R.; Das, D.; Mitra, M.; Kumar Nayak, A. Probing doubly and singly charged Higgs bosons at the pp collider HE-LHC. Phys. Rev. D 2020, 101, 075050. [Google Scholar] [CrossRef]
- Fuks, B.; Nemevsek, M.; Ruiz, R. Doubly Charged Higgs Boson Production at Hadron Colliders. Phys. Rev. D 2020, 101, 075022. [Google Scholar] [CrossRef]
- Gluza, J.; Kordiaczyńska, M.; Srivastava, T. Discriminating the HTM and MLRSM models in collider studies via doubly charged Higgs boson pair production and the subsequent leptonic decays. Chin. Phys. C 2021. accept. [Google Scholar]
- Yang, X.H.; Yang, Z.J. Doubly Charged Higgs Production at Future ep Colliders. arXiv 2021, arXiv:2103.11412. [Google Scholar]
- Aaboud, M.; Aad, G.; Abbott, B.; Abeloos, B.; Abidi, S.H.; AbouZeid, O.S.; Abraham, N.L.; Abramowicz, H.; Abreu, H.; Abreu, R.; et al. Search for doubly charged Higgs boson production in multi-lepton final states with the ATLAS detector using proton-proton collisions at . arXiv 2017, arXiv:1710.09748. [Google Scholar] [CrossRef]
- Aad, G.; Abbott, B.; Abbott, D.C.; Abud, A.A.; Abeling, K.; Abhayasinghe, D.K.; Abidi, S.H.; Abouzeid, O.; Abraham, N.; Abramowicz, H.; et al. Search for doubly and singly charged Higgs bosons decaying into vector bosons in multi-lepton final states with the ATLAS detector using proton-proton collisions at . arXiv 2021, arXiv:2101.11961. [Google Scholar]
- A Search for Doubly-Charged Higgs Boson Production in Three and Four Lepton Final States at . 2017. Available online: http://cds.cern.ch/record/2242956 (accessed on 2 July 2021).
- High-Luminosity LHC, CERN. Available online: https://home.cern/science/accelerators/high-luminosity-lhc (accessed on 2 July 2021).
- Ellis, R.K.; Sozzi, M.; Nisati, A.; D’Onofrio, M.; Siklér, F.; Schulte, D.; D’Hondt, J.; Jaeckel, J.; McCullough, M.; Wiedemann, U.; et al. Physics Briefing Book: Input for the European Strategy for Particle Physics Update 2020. arXiv 2019, arXiv:1910.11775. [Google Scholar]
- Contino, R.; Curtin, D.; Katz, A.; Mangano, M.L.; Panico, G.; Ramsey-Musolf, M.J.; Zanderighi, G.; Anastasiou, C.; Astill, W.; Bambhaniya, G.; et al. Physics at a 100 TeV pp collider: Higgs and EW symmetry breaking studies. CERN Yellow Rep. 2017, 3, 255–440. [Google Scholar] [CrossRef]
- Contino, R.; Curtin, D.; Katz, A.; Mangano, M.L.; Panico, G.; Ramsey-Musolf, M.J.; Zanderighi, G.; Anastasiou, C.; Astill, W.; Bambhaniya, G.; et al. Physics at a 100 TeV pp collider: Beyond the Standard Model phenomena. CERN Yellow Rep. 2017, 3, 441–634. [Google Scholar] [CrossRef]
- Abada, A.; Abbrescia, M.; AbdusSalam, S.S.; Abdyukhanov, I.; Fernandez, J.A.; Abramov, A.; Aburaia, M.; Acar, A.O.; Adzic, P.R.; Agrawal, P.; et al. FCC Physics Opportunities. Eur. Phys. J. 2019, C79, 474. [Google Scholar] [CrossRef]
- FCC Collaboration. FCC-hh: The Hadron Collider: Future Circular Collider Conceptual Design Report Volume 3. Eur. Phys. J. ST 2019, 228, 755–1107. [Google Scholar] [CrossRef]
- FCC—Future Circular Collider, Conceptual Design Report. Available online: https://fcc-cdr.web.cern.ch/ (accessed on 2 July 2021).
- Arhrib, A.; Benbrik, R.; Chabab, M.; Moultaka, G.; Peyranere, M.C.; Rahili, L.; Ramadan, J. The Higgs Potential in the Type II Seesaw Model. Phys. Rev. 2011, D84, 095005. [Google Scholar] [CrossRef]
- Akeroyd, A.G.; Moretti, S. Enhancement of H to gamma gamma from doubly charged scalars in the Higgs Triplet Model. Phys. Rev. 2012, D86, 035015. [Google Scholar] [CrossRef]
- Chun, E.J.; Lee, H.M.; Sharma, P. Vacuum Stability, Perturbativity, EWPD and Higgs-to-diphoton rate in Type II Seesaw Models. JHEP 2012, 11, 106. [Google Scholar] [CrossRef]
- Gluza, J.; Kordiaczyńska, M.; Srivastava, T. Doubly Charged Higgs Bosons and Spontaneous Symmetry Breaking at eV and TeV Scales. Symmetry 2020, 12, 153. [Google Scholar] [CrossRef]
- Das, D.; Santamaria, A. Updated scalar sector constraints in Higgs triplet model. Phys. Rev. 2016, D94, 015015. [Google Scholar] [CrossRef]
- Cai, Y.; Han, T.; Li, T.; Ruiz, R. Lepton Number Violation: Seesaw Models and Their Collider Tests. Front. Phys. 2018, 6, 40. [Google Scholar] [CrossRef]
- Pumplin, J.; Stump, D.R.; Huston, J.; Lai, H.L.; Nadolsky, P.; Tung, W.K. New generation of parton distributions with uncertainties from global QCD analysis. JHEP 2002, 7, 012. [Google Scholar] [CrossRef]
- Hou, T.J.; Gao, J.; Hobbs, T.J.; Xie, K.; Dulat, S.; Guzzi, M.; Huston, J.; Nadolsky, P.; Pumplin, J.; Schmidt, C.; et al. New CTEQ global analysis of quantum chromodynamics with high-precision data from the LHC. arXiv 2019, arXiv:1912.10053. [Google Scholar]
- Alwall, J.; Frederix, R.; Frixione, S.; Hirschi, V.; Maltoni, F.; Mattelaer, O.; Shao, H.-S.; Stelzer, T.; Torrielli, P.; Zaro, M. The automated computation of tree-level and next-to-leading order differential cross section, and their maching to parton shower simulations. JHEP 2014, 7, 79. [Google Scholar] [CrossRef]
- Sjostrand, T.; Mrenna, S.; Skands, P.Z. A Brief Introduction to PYTHIA 8.1. Comput. Phys. Commun. 2008, 178, 852–867. [Google Scholar] [CrossRef]
- Sjostrand, T.; Mrenna, S.; Skands, P.Z. PYTHIA 6.4 Physics and Manual. JHEP 2006, 5, 26. [Google Scholar] [CrossRef]
- Alloul, A.; Christensen, N.D.; Degrange, C.; Duhr, C.; Fuks, B. FeynRules 2.0—A complete toolbox for tree-level phenomenology. Comput. Phys. Commun. 2014, 185, 2250–2300. [Google Scholar] [CrossRef]
- Gluza, J.; Zralek, M. Feynman rules for Majorana neutrino interactions. Phys. Rev. D 1992, 45, 1693–1700. [Google Scholar] [CrossRef] [PubMed]
- Esteban, I.; Gonzalez-Garcia, M.C.; Hernandez-Cabezudo, A.; Maltoni, M.; Schwetz, T. Global analysis of three-flavour neutrino oscillations: Synergies and tensions in the determination of θ23, δCP, and the mass ordering. JHEP 2019, 1, 106. [Google Scholar] [CrossRef]
- Chakrabortty, J.; Gluza, J.; Sevillano, R.; Szafron, R. Left-Right Symmetry at LHC and Precise 1-Loop Low Energy Data. JHEP 2012, 7, 38. [Google Scholar] [CrossRef]
- Bambhaniya, G.; Chakrabortty, J.; Gluza, J.; Kordiaczyńska, M.; Szafron, R. Left-Right Symmetry and the Charged Higgs Bosons at the LHC. JHEP 2014, 5, 33. [Google Scholar] [CrossRef]
- Bambhaniya, G.; Chakrabortty, J.; Gluza, J.; Jeliński, T.; Kordiaczynska, M. Lowest limits on the doubly charged Higgs boson masses in the minimal left-right symmetric model. Phys. Rev. 2014, D90, 095003. [Google Scholar] [CrossRef]
- Chakrabortty, J.; Gluza, J.; Jelinski, T.; Srivastava, T. Theoretical constraints on masses of heavy particles in Left-Right Symmetric Models. Phys. Lett. 2016, B759, 361–368. [Google Scholar] [CrossRef]
Publisher’s Note: MDPI stays neutral with regard to jurisdictional claims in published maps and institutional affiliations. |
© 2021 by the authors. Licensee MDPI, Basel, Switzerland. This article is an open access article distributed under the terms and conditions of the Creative Commons Attribution (CC BY) license (https://creativecommons.org/licenses/by/4.0/).

