Abstract
We present some new results that deal with the fractional decomposition method (FDM). This method is suitable to handle fractional calculus applications. We also explore exact and approximate solutions to fractional differential equations. The Caputo derivative is used because it allows traditional initial and boundary conditions to be included in the formulation of the problem. This is of great significance for large-scale problems. The study outlines the significant features of the FDM. The relation between the natural transform and Laplace transform is a symmetrical one. Our work can be considered as an alternative to existing techniques, and will have wide applications in science and engineering fields.
1. Introduction
For many years the subject of fractional calculus has been studied by many research scholars. This is an ongoing process and one can recognizes that within the field for this study of fractional calculus new techniques and mechanisms show up, which in turn make it possible, to find important challenging insights and unknown correlations between many areas of physics. Recently, an increase in the interest of scientist in non-local field theories. In order for us to deal with problems in high-energy and particle physics which only up to this point can be done with local field theories, there is a valid reason for these late developments. Fractional derivatives have proven their capability to describe several phenomena associated with memory and after effects due to their non-locality property [1,2]. Such phenomena are commonplace in physical processes, biological structures, and cosmological problems. For example, the fractional rheological models have been employed to test the low applied force frequencies [3,4,5,6]. For this reason, it became necessary to illuminate the solutions of the models that describe these phenomena. Several analytical techniques are presented to achieve their objectives. Actually, all these approaches are accommodation for the existing methods to handle the integer case models, which is natural since the fractional derivative generalizes the classical derivative to an arbitrary order.
Recently, fractional calculus and their applications have been treated by many researchers, see [5,6,7,8,9,10,11,12,13] and the references therein. Even though fractional derivatives have existed as long as their integer order counterparts, only in recent decades have fractional derivative models become exciting new tools in the study of practical problems in disciplines as diverse as physics [14,15,16], finance [14,17], biology [6,7] and hydrology [4,10,18,19]. As fractional derivative models are becoming increasingly popular among the wider scientific community, it becomes the main motivation to study numerical schemes for fractional differential equations. Lately, many techniques have discussed the means of exploring approximate solutions of fractional differential equations, such as finite difference and finite element method (FDFEM) [20], spectral method [21] the fractional sub-equation method [10], the fast and parallel computational methods (FPCM) [15,16], the fractional variation method (FVM) [5], the fractional complex transform (FCT) [22], fractional Laplace method [23] and the fractional Adomian decomposition method (FADM) [19,24]. We will use fractional natural decomposition method (FNDM) to solve FODEs and fractional system of ODEs. The method was proven to converge rapidly, and the existence and uniqueness of the method was proven in [25].
Because of the nonstop needs for another new schemes that exist in the literature, e.g. the Mellin transform, and its relation to transforms namely the Sumudu transform and the Al Zaki transform, we developed a valid mechanism which we called the fractional decomposition method (FDM) to find solutions to fractional nonlinear ODEs and PDEs including systems of FDEs. Our scheme avoids the computational difficulties we usually face in other methods exist in the literature, which usually use linearization, discretization and perturbation schemes. Moreover, we have given detailed proofs to some theorems using the proposed method FDM. Also, we presented some important examples of systems fractional differential equations and showed that the FDM provide solutions, which coincide with the ones done by other researchers. To name one, is the solution of diffusion equation with fractional derivatives. These are appeared in Section 4.
Our work will be presented in the following manner: First, in Section 2, we give the history of the natural transform method, and definitions of fractional derivatives. In Section 3, we present proofs to results related to the natural fractional derivatives. Section 4 is devoted to the applications model of FDEs using the proposed method. In Section 5, we solve fractional systems of ODEs. Finally, our concluding remarks are presented, in Acknowledgment, where we outline what we have accomplished in this research.
2. Related Materials
We explore some definitions and terminologies of the natural transform that will be needed later on in the proofs of our results, (see, for example, [14,17,26]).
Definition 1.
Suppose is a real function, where . Then is said to be in the space , where μ is areal number, if with , such that , where , and it is said to be in the space if .
Definition 2.
Let . The fractional derivative of f in the Caputo sense can be defined as
Definition 3.
Refs. [27,28] The two–parameter Mittag–Leffler function is given by
Next, we define the natural transform (N-transform) along with the definition of exponential order function following [23].
Definition 4.
Let be a function piecewise continuous, with bounded variation, locally integrable (i.e., the function is absolutely integrable in any real interval so that ), and of exponential order, then there exists the N-transform of . That is, a function of exponential order is the one that does not “grow faster” than given exponentials, as . Alternatively, there are real constants such that , when t is large and negative (say, for ). In addition, there are real constants such that , when t is large (say, for ). It also has to be true that .
Then, we define the natural transform
where is the N-transform of and s and u are the N-transform variables. Note that one can writes Equation (2) as
Hence,
Remark 1.
Under these conditions, when is analytic, the integral in Equation (2) converges uniformly and absolutely in the complex plane defined by the strip .
Note that one can obtain the Laplace transform and the Sumudu transform if we plug in , and in the above equations, respectively. Hence, the relation between the natural transform and Laplace transform is a symmetry one.
We shall use the well-known gamma function throughout this paper
where .
Important Properties
Here are some of the main properties for the N-transforms which can be found in [26].
Property 1.
.
Property 2.
Property 3.
3. Natural Caputo Fractional Derivatives
Here, we give detailed proofs to some theorems of N-transform of Caputo fractional derivative. The proof of theorem 1 was given in another published paper by the first author.
Caputo Fractional Derivative
For the sake of readers, we give just some of the natural transform properties. For more properties, we direct the reader to see, for example, [15,16,26].
Theorem 1.
If , where . Then, the N-transform of Caputo derivative of is
Theorem 2.
The natural transform of the Caputo derivative for is given by
Proof.
From Equation (5), we have
□
Theorem 3.
(a) The natural transform of the Caputo derivative for with is given by
- (b)
- The natural transform of the Caputo derivative for with , and is
Proof.
First note that .
Case 1. . From Equation (5), we have
Case 2. , and
We get from Equation (5),
□
Theorem 4.
The natural transform of the Caputo derivative for is
with
Theorem 5.
The natural transform of the Caputo derivative for is
Proof.
First note that . Then, we get
□
Theorem 6.
The Caputo Fractional Natural Transform of is
Proof.
First note that
□
Applications of FDM for Fractional ODEs and PDEs
Here we employ the new scheme to solve two non-linear fractional ODEs and we present solution to the diffusion fractional differential equations. Finally, we develop numerical tables for these examples for multiple values of and t.
Methodology of FDM
Consider the general nonlinear (FODE)
where and , and along with initial condition
where is the Caputo derivative for , L is the linear differential operator and F represents the nonlinear part. Also is the non-homogeneous part, and is defined and continuous.
We can conclude by applying Theorem 1 to Equation (6)
Substituting Equation (7) into Equation (8) and then taking , one can conclude
where is arising from the non-homogeneous part together with the initial condition. Assuming a solution exist of as follows
But the nonlinear part in our problem is
where the Adomian polynomials of are computed using
Thus, Equation (12) can be reduced to
The rest of Adomian polynomials can be obtained likewise. Substituting Equation (11) into Equation (9), one arrives at
One can arrive, with the help of Equation (14), at
Eventually, we have the general recursion formula as
Hence, our approximate solution is of the form
Test Problems
Example 1.
Consider the nonlinear FDE in the form
together with condition
Applying Theorem 1 to Equation (17), one arrives at
Taking the N-transform inverse of Equation (19) one concludes
Suppose a solution exist for and the nonlinear term is given as
Note here,
Likewise,
Thus, the approximate solution for becomes
If we choose , then Equation (23) becomes
Figure 1.
These are solutions for example 1 for distinct values of υ.
Table 1.
Numerical Values for example 1 for different values of υ, CT = 10 min.
Example 2.
Let us consider one model of the time fractional diffusion as
together with initial condition
Employ first Theorem 1 to Equation (24) to see that
Taking the N-transform inverse of Equation (26), we arrive at
Suppose that our solution for is
One sees from Equations (27) and (28), that Equation (26) becomes
Looking at Equation (29), one can get
We follow this direction to obtain
Finally, with the help of Equation (29), one can easily explore the rest of the iterations
Likewise,
Our approximate solution for is now of the form
Therefore, our exact solution is
Substitute in Equation (30) to conclude
This is indeed the intended solution for Equation (24) which exists through out the literature (see Table 2).
Table 2.
Numerical results for Example 2 for distinct values for υ, CT = 10 min.
Remark 2.
Figure 2, Figure 3, Figure 4 and Figure 5 show that the solution peak is high, and one can see that the peak of the solutions of the diffusion equation becomes more and more smooth as the fractional factor υ increases.
Figure 2.
Exact solutions for example 2 with .
Figure 3.
Exact solutions for example 2 with .
Figure 4.
Exact solutions for example 2 with .
Figure 5.
Exact solutions for example 2 with .
4. Fractional Systems of Ordinary Differential Equations
Next, let us examine two models of systems of FDEs. Then, we present numerical values in tables for some values of t. We only used 5th order approximate solutions for the two functions.
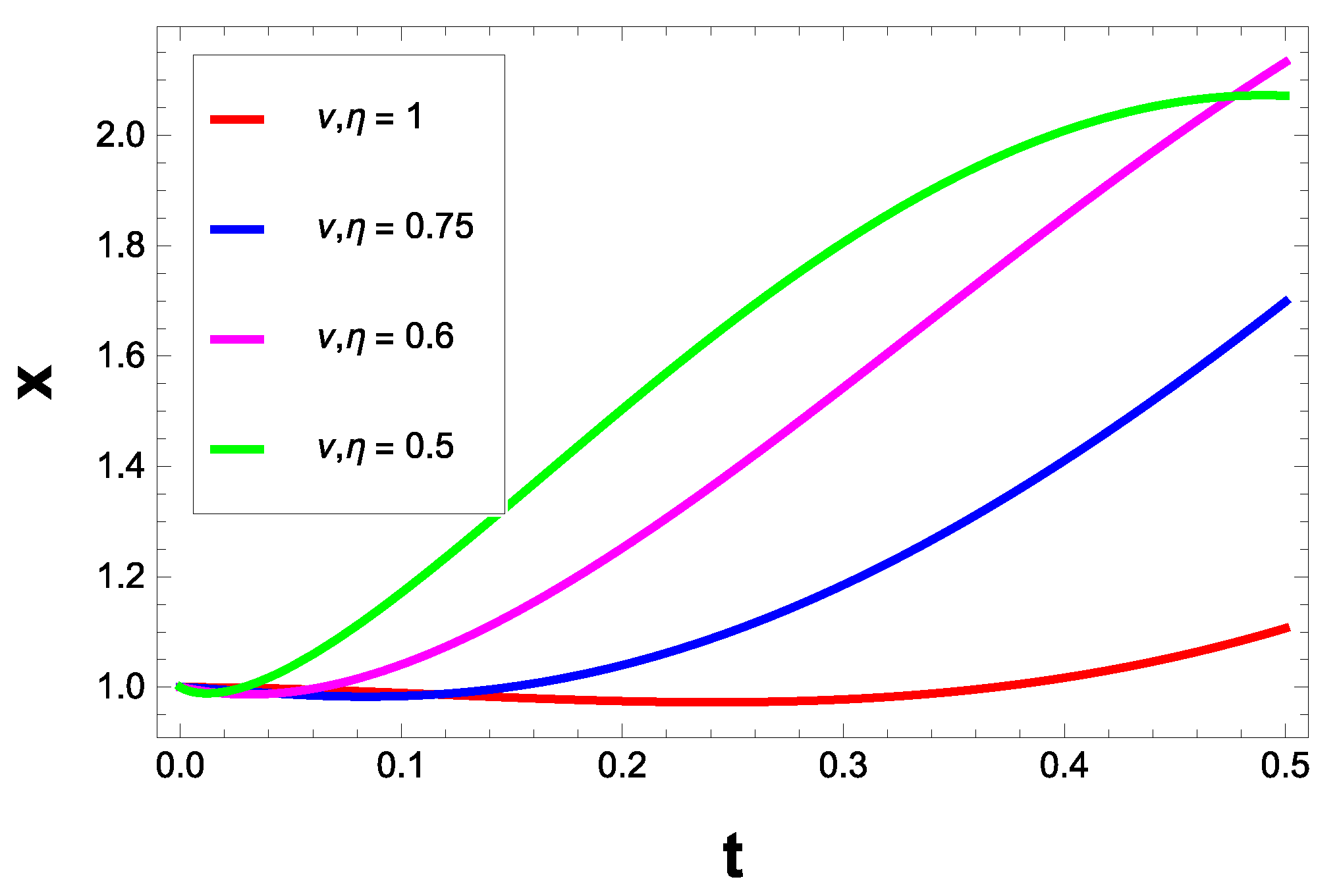
Example 3.
Given the system of LFDE in the form (see Figure 6 and Figure 7 and Table 3)
together with value conditions
Figure 6.
Approximate solutions for example 3 with some values of .
Figure 7.
Approximate solutions for example 3 with some values of .
Table 3.
The numerical values for with some values for υ and η, CT = 10 min.
Applying the natural transform of Equations (32) and (33), one concludes
Using the on Equation (34) we arrive at
Suppose our solutions are of the forms
Then we get,
Likewise,
We proceed in a similar way to get
Finally, the approximate solutions for these functions are
Thus,
Note that when , then the exact solutions are
Example 4.
Suppose we are given a system of LFDE (see Figure 8 and Figure 9 and Table 4)
together with two value conditions
Figure 8.
Approximate solutions for Example 4 with some values of .
Figure 9.
Approximate solutions for Example 4 with some values of .
Table 4.
The results obtained for with different values of υ and η, CT = 10 min.
Apply natural transform to Equations (38) and (39), to get
Moreover, applying on Equation (40)
Suppose our approximate solutions are given as
Likewise,
We proceed as before to obtain
Finally, the approximate solutions for these functions are as follows
It follows that,
Note that when , then the exact solutions are
5. Discussion and Conclusions
Many techniques were used, prior to this work, to handle FDEs. In this work, we have implemented an efficient integral transform method called the Fractional Decomposition Method (FDM) and given detailed proofs to some theorems using the proposed method. We have successfully employed the FDM to obtain exact solutions for the diffusion fractional differential equation and analytical solutions for nonlinear fractional ODE including approximate solutions to two systems of fractional ODE. The FDM reduces the computational difficulties currently exist in the literature. The FDM has self-efficient properties, which help in solving some application with fractional derivatives problems. Our numerical results show that the FDM is a valid and easy scheme for obtaining exact and approximate solutions to fractional differential equation problems. It is proven that the FDM can be implemented without discretization, linearization and perturbation methods used in solving fractional differential equation applications. Thus, it is considered as another option to existing schemes and can be used for wide applications. The FDM has been implemented to many linear and nonlinear FDEs and we have not faced any difficulties when using the new mechanism. Our aim, in the future, is to explore more properties to help solve applications of the FDM, test reasonable series, which converge very fast, and employ it to other fractional integral equation applications.
Finally, the numerical results showed that the new scheme is accurate and efficient. We were able to explore solutions to physical models when . The next step for our research is to further apply the new scheme to other FDEs that arise in other areas of scientific fields. Earlier works [4,6,14,21] have developed efficient techniques but specialized only for usage on solving specific type of problems, but our FNDM expands their applicability since it is so general.
Author Contributions
Conceptualization, M.S.A. and S.A.M.; methodology, I.K.A., M.S.A.; software, I.K.A., M.S.A. and S.A.M.; validation, I.K.A., M.S.A. and S.A.M.; formal analysis, I.K.A., M.S.A. and S.A.M.; investigation, I.K.A., M.S.A. and S.A.M.; resources, M.S.A. and S.A.M.; data curation, M.S.A. and S.A.M.; writing—original draft preparation, I.K.A., M.S.A. and S.A.M.; writing—review and editing, M.S.A. and S.A.M.; visualization, I.K.A., M.S.A. and S.A.M.; supervision, I.K.A., M.S.A. All authors have read and agreed to the published version of the manuscript.
Funding
This research received no external funding.
Institutional Review Board Statement
Not applicable.
Informed Consent Statement
Not applicable.
Data Availability Statement
Not applicable.
Acknowledgments
The authors would like to thank anonymous referees for carefully reading the manuscript and for their valuable comments and suggestions, which helped us to considerably improve the manuscript.
Conflicts of Interest
The authors declare no conflict of interest.
References
- Roberts, M. Signals and Systems: Analysis Using Transform Methods and Matlab, 2nd ed.; McGraw-Hill: New York, NY, USA, 2003. [Google Scholar]
- Ortigueira, M.D.; Valério, D. Fractional Signals and Systems; Walter de Gruyter GmbH & Co KG: Berlin, Germany, 2020. [Google Scholar]
- Nigmatullin, R.R. To the theoretical explanation of the “universal response”. Phys. Status Solidi B 1984, 123, 739–745. [Google Scholar] [CrossRef]
- Coussot, C.; Kalyanam, S.; Yapp, R.; Insana, M.F. Fractional derivative models for ultrasonic characterization of polymer and breast tissue viscoelasticity. IEEE Trans. Ultrason. Ferroelectr. Freq. Control 2009, 56, 715–726. [Google Scholar] [CrossRef] [PubMed]
- Noeiaghdam, S.; Sidorov, D. Caputo-Fabrizio fractional derivative to solve the fractional model of energy supply-demand system. Math. Model. Eng. Probl. 2020, 7, 359–367. [Google Scholar] [CrossRef]
- Djordjević, V.D.; Jarić, J.; Fabry, B.; Fredberg, J.J.; Stamenović, D. Fractional derivatives embody essential features of cell rheological behavior. Ann. Biomed. Eng. 2003, 31, 692–699. [Google Scholar] [CrossRef] [PubMed]
- Noeiaghdam, S.; Sidorov, D.; Wazwaz, A.M.; Sidorov, N.; Sizikov, V. The Numerical Validation of the Adomian Decomposition Method for Solving Volterra Integral Equation with Discontinuous Kernels Using the CESTAC Method. Mathematics 2021, 9, 260. [Google Scholar] [CrossRef]
- Adomian, G. A new approach to nonlinear partial differential equations. J. Math. Anal. Appl. 1984, 102, 420–434. [Google Scholar] [CrossRef]
- Ghosh, U.; Sarkar, S.; Das, S. Solution of system of linear fractional differential equations with modified derivative of Jumarie type. arXiv 2015, arXiv:1510.00385. [Google Scholar]
- Guo, S.; Mei, L.; Li, Y.; Sun, Y. The improved fractional sub-equation method and its applications to the space–time fractional differential equations in fluid mechanics. Phys. Lett. A 2012, 376, 407–411. [Google Scholar] [CrossRef]
- Argyros, I.K. Iterative Methods and Their Dynamics with Applications: A Contemporary Study; CRC Press: Boca Raton, FL, USA, 2017. [Google Scholar]
- Anastassiou, G.A.; Argyros, I.K. Intelligent Numerical Methods: Applications to Fractional Calculus; Springer International Publishing: Berlin/Heidelberg, Germany, 2016. [Google Scholar]
- Samko, S.G.; Kilbas, A.A.; Marichev, O.I. Fractional Integrals and Derivatives; Translated from the 1987 Russian Original; Gordon and Breach Science Publishers: New York, NY, USA, 1987. [Google Scholar]
- Podlubny, I. Fractional Differential Equations; Academic Press: San Diego, CA, USA, 1999. [Google Scholar]
- Jian, S.; Zhang, J.; Zhang, Q.; Zhang, Z. Fast evaluation of the Caputo fractional derivative and its applications to fractional diffusion equations. Commun. Comput. Phys. 2017, 21, 650–678. [Google Scholar] [CrossRef]
- Gu, X.-M.; Wu, S.-L. A parallel-in-time iterative algorithm for Volterra partial integro-differential problems with the weakly singular kernel. J. Comput. Phys. 2020, 13, 109576. [Google Scholar] [CrossRef]
- Mainardi, F. Fractional calculus. In Fractals and Fractional Calculus in Continuum Mechanics; Springer: Vienna, Austria, 1997. [Google Scholar]
- Sevimlican, A. An approximation to solution of space and time fractional telegraph equations by He’s variational iteration method. Math. Probl. Eng. 2010, 2010, 290631. [Google Scholar] [CrossRef]
- Hu, Y.; Luo, Y.; Lu, Z. Analytical solution of the linear fractional differential equation by Adomian decomposition method. J. Comput. Appl. Math. 2008, 215, 220–229. [Google Scholar] [CrossRef]
- Liu, Y.; Du, Y.; Li, H.; He, S.; Gao, W. Finite difference/finite element method for a nonlinear time-fractional fourth-order reaction–diffusion problem. Comput. Math. Appl. 2015, 70, 573–591. [Google Scholar] [CrossRef]
- Rybakov, K.; Yushchenko, A. Spectral method for solving linear Caputo fractional stochastic differential equations. In IOP Conference Series: Materials Science and Engineering; IOP Publishing: Bristol, UK, 2020; Volume 1, p. 012077. [Google Scholar]
- Li, Z.B.; He, J.H. Fractional complex transform for fractional differential equations. Math. Comput. Appl. 2010, 15, 970–973. [Google Scholar] [CrossRef]
- Ortigueira, M.D.; Machado, J.T. Revisiting the 1D and 2D Laplace transforms. Mathematics 2020, 8, 1330. [Google Scholar] [CrossRef]
- Momani, S.; Shawagfeh, N. Decomposition method for solving fractional Riccati differential equations. Appl. Math. Comput. 2006, 182, 1083–1092. [Google Scholar] [CrossRef]
- Eltayeb, H.; Abdalla, Y.T.; Bachar, I.; Khabir, M.H. Fractional telegraph equation and its solution by natural transform decomposition method. Symmetry 2019, 11, 334. [Google Scholar] [CrossRef]
- Belgacem, F.B.; Silambarasan, R. Maxwell’s equations by means of the natural transform. Math. Eng. Sci. Aerosp. 2012, 3, 313–323. [Google Scholar]
- Mittag–Leffler, G.M. Sur la Nouvelle Fonction Sur la Nouvelle Fonction; Eα (x), Comptes Rendus de l Académie des Sciences: Paris, France, 1903; pp. 554–558. [Google Scholar]
- Gorenflo, R.; Kilbas, A.A.; Mainardi, F.; Rogosin, S.V. Mittag–Leffler Functions, Related Topics and Applications; Springer: Berlin, Germeny, 2014. [Google Scholar]
Publisher’s Note: MDPI stays neutral with regard to jurisdictional claims in published maps and institutional affiliations. |
© 2021 by the authors. Licensee MDPI, Basel, Switzerland. This article is an open access article distributed under the terms and conditions of the Creative Commons Attribution (CC BY) license (https://creativecommons.org/licenses/by/4.0/).








