Abstract
For a simple graph G with no isolated edges and at most, one isolated vertex, a labeling of positive integers to the edges of G is called irregular if the weights of the vertices, defined as , are all different. The irregularity strength of a graph G is known as the maximal integer k, minimized over all irregular labelings, and is set to ∞ if no such labeling exists. In this paper, we determine the exact value of the irregularity strength and the modular irregularity strength of fan graphs.
Keywords:
irregular labeling; modular irregular labeling; irregularity strength; modular irregularity strength; fan graph MSC:
05C78; 05C70
1. Introduction
It is well-known that a simple graph of an order of at least two must contain a pair of vertices with the same degree. However, a multigraph can be irregular, that is, each vertex can have a different degree. By Frieze et al. in [1], a natural question would be: What is the least number of edges we would need to add to a graph in order to convert a simple graph into an irregular multigraph?
Motivated by this question, Chartrand et al. in [2] introduced an edge k-labeling of a graph G (i.e., a mapping that assigns numbers to the edges of G) with the property that the weights of the vertices are all different. The weight of a vertex is defined as , where denotes the set of neighbors of v in G. Such labelings were called irregular assignments. Note that as the induced vertex weights are all distinct and the only edges of a graph are labeled with the numbers this assignment can also be called vertex irregular edge k-labeling. The irregularity strength of a graph G is known as the maximal integer k, minimized over all irregular assignments. This means that the irregularity strength of a graph G is the minimum k for which a graph admits an irregular assignment using the number k as the largest edge label. If no such labeling of G exists, then . Clearly, the irregularity strength is finite only for graphs that contain, at most, one isolated vertex and no isolated edges. To view the irregularity strength via the degree-based problem, this graph invariant is connected to the maximal number of edges joining any pair of vertices in an irregular multigraph corresponding to the given graph G.
The lower bound of the irregularity strength is given in [2] in the form
where denotes the number of vertices of degree i and is the maximum degree of the graph G. For d-regular graphs of order n, the lower bound (1) reduces to
Faudree and Lehel in [3] showed that if G is a d-regular graph of order n, , then , and they conjectured that there exists an absolute constant C such that . For general graphs with no component of order at most 2, it is known that , see [4,5]. This upper bound was gradually improved by Cuckler and Lazebnik in [6], Przybyło in [7], Kalkowski, Karonski, and Pfender in [8], and recently by Majerski and Przybyło in [9]. Other interesting results on the irregularity strength can be found in [1,10].
The exact value of the irregularity strength of particular families of graphs are known, where among them are paths, complete graphs [2], cycles, most of the complete bipartite graphs, Turan graphs [11], generalized Petersen graphs [12], circulant graphs [13], and trees [14]. For more results, see [15].
A natural modification of an irregular assignment is a modular irregular assignment introduced in [16]. Edge k-labeling of positive integers to the edges of a graph G of order n is called a modular irregular assignment of G if the weight function defined by
is bijective and is called as the modular weight of the vertex v, where is the group of integers modulo n. The modular irregularity strength, , is defined as the minimum k for which G has a modular irregular assignment. If there is no such labeling for the graph G, then the value of is defined as ∞.
In [16], a lower bound of the modular irregularity strength is established, and the exact values of this parameter for certain families of graphs, namely paths, cycles, stars, triangular graphs, and gear graphs are determined.
A fan graph , is a graph obtained by joining all vertices of path on n vertices to a further vertex, called the centre. Thus, contains vertices, say, , w, and edges, say, , , and , .
In this paper, we determine the exact value of the irregularity strength and the modular irregularity strength of fan graphs of order . The rest of the article is organized as follows. First we deal with the irregularity strength of fan graphs. We describe a desired labeling scheme that proves the exact value of the irregularity strength of fan graphs. We describe a labeling scheme with symmetrical distribution of even weights and odd weights of vertices . We use this symmetrical distribution of the weights to prove that the weight of the centre w is always greater than the weights of . It proves that the labeling scheme is a desired vertex irregular edge labeling that proves the exact value of the irregularity strength of fan graphs. Next, by modifications of this irregular assignment we obtain labelings that imply the results for the modular irregularity strength of fan graphs.
2. Results
2.1. Fan Graphs—The Irregularity Strength
The main result of this subsection is the following theorem.
Theorem 1.
Let , , be a fan graph on vertices. Then,
To prove the above-mentioned result, we present several lemmas. The first lemma gives a lower bound for the irregularity strength for the fan graphs.
Lemma 1.
Let , , be a fan graph on vertices. Then,
Proof.
According to the general lower bound (1), we have that the irregularity strength for the fan graphs for . However, we can improve this bound. If we consider only vertices , , and assume that an edge labeling is the irregular assignment of with , then the smallest weight of each considered vertex is at least 2, and the largest weight admits the value at least , and at most . Thus, . This implies
□
For , we define the edge labeling in the following way:
Now we prove that the above-defined labeling is an -labeling, and that the vertex weights induced by the labeling are all distinct.
The following lemma shows that under the edge labeling , the edge labels of are bounded from above.
Lemma 2.
The labeling φ is an -labeling.
Proof.
Let and let be the edge labeling of the fan graph defined above. Let and .
If n is odd, then
If n is even, then
It is easy to see that if n is odd, then the parameter , and if n is even, then the parameter . Thus, the labeling is an edge -labeling of . □
The next two lemmas show the induced weights of the vertices of under the edge labeling .
Lemma 3.
The weights of the vertices , of the fan graph , under the labeling φ, admit the values
Proof.
One can check that
and for we get
If n is even, then
If n is odd, then
For we get
Combining the previous, the result follows. □
Lemma 4.
The centre w of the fan graph , under the labeling φ, admits the weight
Proof.
If we consider a triple of edges (, , ) for , where when and otherwise, then the sum of the labels of edges for each triple is
If we consider a triple of edges (, , ) for , where when and otherwise, then the sum of labels of edges for each such triple is
Next we consider six cases according to the residue of n modulo 6.
Case 1..
Decompose the edges , , into triples (, , ) for , and decompose the edges , into triples (, , ) for . Then, for the weight of the centre vertex, we get
Case 2..
Decompose the edges , , into triples (, , ) for , and decompose the edges , , into triples (, , ) for . Then for the centre vertex weight, we have
Case 3..
Decompose the edges , , into triples (, , ) for , and the edges , we decompose into triples (, , ) for . Then, for the weight of the centre vertex, we get
Case 4..
Decompose the edges , , into triples (, , ) for , and decompose the edges , , into triples (, , ) for . Then, for the centre vertex weight, we have
Case 5..
Decompose the edges , , into triples (, , ) for , and the edges , we decompose into triples (, , ) for . Then, for the weight of the centre vertex, we get
Case 6..
Decompose the edges , , into triples (, , ) for , and decompose the edges , , into triples (, , ) for . Then, for the centre vertex weight, we have
□
Combining the previous lemmas, we can prove Theorem 1.
Proof of Theorem 1.
The fan graph is isomorphic to a cycle . It admits an irregular assignment with edge labels 1, 2, 3 and with the induced vertex weights 3, 4, 5. Thus, .
According to Lemma 1, we have that for . To prove the equality, it suffices to prove the existence of a vertex irregular edge -labeling of .
For , consider the edge labeling of defined by (4). From Lemma 2, it follows that is an -labeling.
Lemma 3 proves that weights of the vertices , , under the labeling successively attain values . Moreover, with respect to Lemma 4, we get that for every . Thus, the vertex weights are distinct for all pairs of distinct vertices. Therefore, the labeling is a suitable vertex irregular edge -labeling of . This concludes the proof. □
2.2. The Modular Irregularity Strength of the Fan Graphs
Let us recall the following two lemmas.
Lemma 5.
[16] Let G be a graph with no component of order . Every modular irregular labeling of G is also its irregular assignment.
In general, the converse of the previous lemma does not hold. For example, the edge labeling of star with edge labels 1, 2, 3 is an irregular assignment with vertex weights 1, 2, 3, 6. However, this irregular labeling is not modular. If we label the edges of the star by labels 1, 2, 4, then we get a modular irregular assignment with modular vertex weights 0, 1, 2, 3, and .
The next statement gives a condition when an irregular assignment of a graph is also its modular irregular labeling.
Lemma 6.
[16] Let G be a graph with no component of order , and let . If there exists an irregular assignment of G with edge values of at most k, where the weights of vertices constitute a set of consecutive integers, then
The following theorem gives a lower bound of the modular irregularity strength.
Theorem 2.
[16] Let G be a graph with no component of order . Then,
Now, we give the precise value of the modular irregularity strength for fan graphs , for even.
Theorem 3.
Let be a fan graph on vertices with even. Then,
Proof.
Let . We have already mentioned that the fan graph admits an irregular assignment with edge labels and with vertex weights . From Lemma 6, it follows that the irregular assignment of is modular and
Let . Suppose that there exists a modular irregular 3-labeling of . As the vertices , are either of degree 2 or 3, the weights of these vertices under any 3-labeling is at least 2 (this can be realizable only on a vertex of degree 2 as the sum of edge labels 1 + 1) and is at most 9 (this can be realizable only on a vertex of degree 3 as the sum of edge labels 3 + 3 + 3). As all the vertices must have distinct modular weights, we get that the weights of the vertices , , constitute the sequence of consecutive integers from 2 up to 9. Thus, the modular weight 1 can be obtained only by the centre w. Moreover, it is easy to see that the weight of the centre cannot be 10 (must be at least 11 but at most 21). Thus, . Then,
Since and , then Equation (5) gives
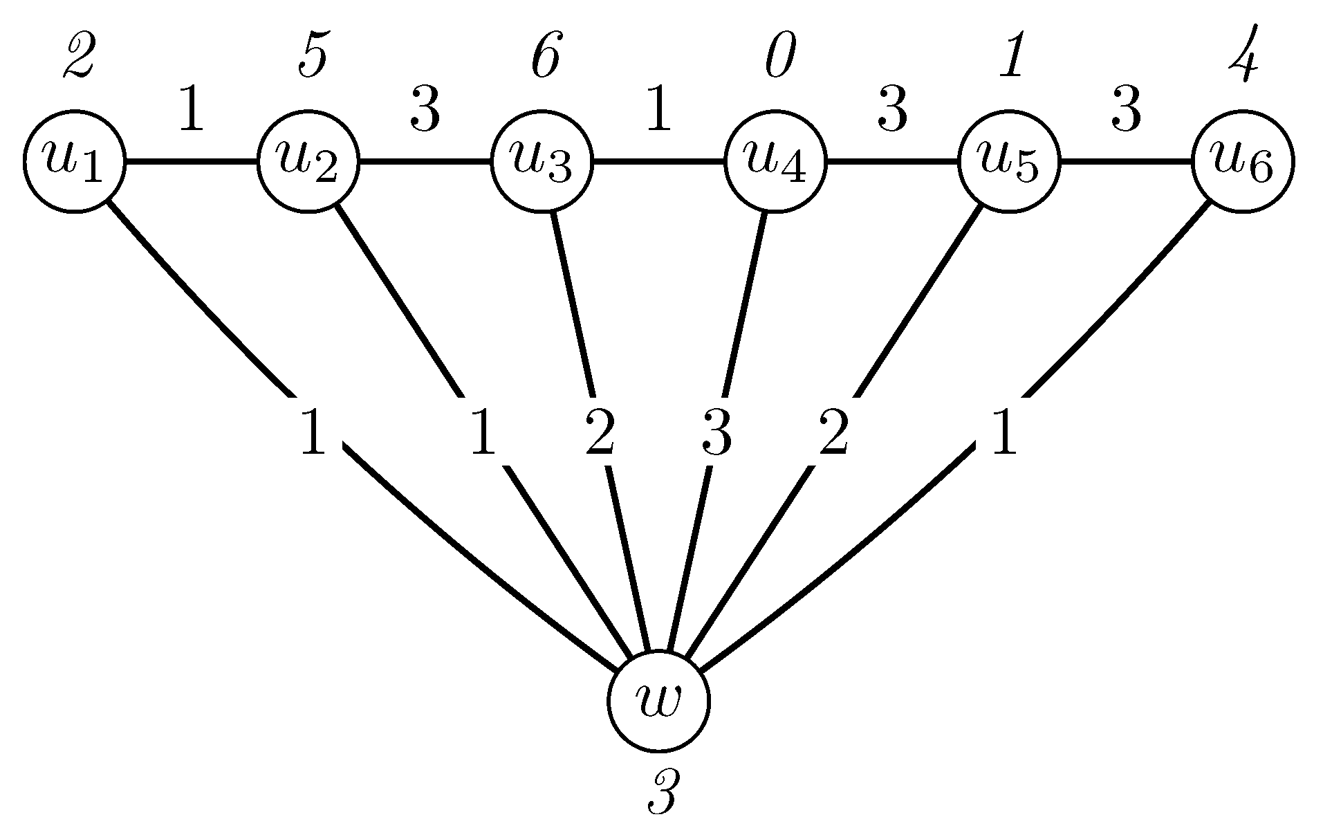
which is a contradiction. Thus, there is no modular irregular 3-labeling for . Figure 1 shows an example of a modular irregular 4-labeling of the fan graph , where the modular weights are depicted in italic font.
Figure 1.
A modular irregular 4-labeling of the fan graph .
Now, for let us distinguish the following three cases, according to n.
Case 1..
It is sufficient to consider the edge irregular -labeling defined by (4). By Lemma 3, under the labeling , the weights of all vertices , , successively assume values , and by Lemma 4, the weight of the centre vertex is . Since , then is an integer and . This implies that the labeling is a suitable modular irregular -labeling.
Case 2..
Observe that under the labeling , by Lemma 4, the centre of admits the weight . Since , it follows that and the labeling is not modular irregular. Therefore, we need to modify the labeling .
Figure 2 illustrates a modular irregular 3-labeling of the fan graph , where the modular weights are depicted in italic font.
Figure 2.
A modular irregular 3-labeling of the fan graph .
For , we define an edge labeling of as follows:
One can see that decreasing the labels of the edges and , by one, and increasing the labels of the edges , and , by one has no effect on the weights of vertices , as they successively attain the values . We note that and
However, by increasing the labels of the edges , and , , the weight of the centre increases, and we have
Since is an integer, then . Thus, the labeling is a required modular irregular -labeling of .
Case 3., .
According to Lemma 4 we have that and it is not congruent to 1 . Our next goal is to modify the edge labeling such that the weights of vertices , , will not change but the weight of the centre decreases to a value congruent to one .
Therefore, for , we construct an edge labeling of in the following way:
By direct computation we can see that increasing the labels of the edges , , and , by one and decreasing the labels of the edges , and , by one has no impact to weights of the vertices , and they preserve the values . Since and , it follows (applying Lemma 2) that all edge labels under the labeling are at most .
Decreasing the labels of the edges , and , , the weight of the centre decreases and we get
Because is an integer, . It proves that the labeling is a suitable modular irregular -labeling. □
The next theorem, proved in [16], gives a condition when no modular irregular labeling of a graph exists.
Theorem 4.
[16] If G is a graph of order n, , then G has no modular irregular labeling, that is, .
An immediate consequence of the above theorem is the following statement.
Corollary 1.
If , then the fan graph on vertices has no modular irregular labeling.
Theorem 5.
Let be a fan graph on vertices with odd. Then
Proof.
It is a matter of routine checking to see that under the edge labeling defined by (4), for n odd, the weights of the centre of listed in Lemma 4 are not congruent to 1 . In order to preserve the property of the edge labeling that the weights of all vertices , , form the set , and to attain the weights of the centre congruent to one , we will construct some appropriate modifications of the labeling in a similar way as in the proof of Theorem 3.
Since we consider only n odd and moreover, , then we distinguish the following three cases according to the residue of n modulo 12.
Case 1..
From Theorem 1, it follows that and , , and . According to Lemma 6, we have that .
For , we define an edge labeling of such that:
By a direct verification, we can detect that under the labeling , all edge labels are at most , the weights of the vertices , constitute a sequence of consecutive integers from 2 up to , and the weight of the centre determined by Lemma 4 is increased by . Consequently,
As is an integer, then .
Case 2..
Figure 3 depicts a modular irregular 3-labeling of the fan graph . The modular weights are again illustrated using italic font.
Figure 3.
A modular irregular 3-labeling of the fan graph .
For , we define an edge labeling of in the following way:
We can see that the labeling , as a modification of the labeling , did not increase the largest values of the edges and has no effect on the weights of vertices in . The weight of the centre is reduced by , and we get
Indeed, is an integer, and then .
Case 3..
For , we define an edge labeling of as follows:
Again, it is readily seen that this modification of the labeling has no impact on the weights of vertices and to the largest values of the edges. Under the labeling , the weight of the centre determined by Lemma 4 is decreased by , and we have
Obviously, is an integer and . Thus, we arrive at the desired result. □
3. Conclusions
In this paper, we proved that the exact value of the irregularity strength of the fan graph of order is
By modifying an irregular assignment of the fan graph, we obtained modular irregular assignments and proved that
According to the given result, we get that the fan graphs are an example of graphs for which the irregularity strength and the modular irregularity strength are almost the same, up to a small case and one case excluded by the necessary condition for the modular irregularity strength to be finite. Thus, naturally, we conclude our paper with the following open problem.
Problem 1.
Find another family of graphs for which the irregularity strength and the modular irregularity strength are the same.
Author Contributions
Conceptualization, M.B. and A.S.-F.; methodology, M.B. and A.S.-F.; validation, M.B., Z.K., M.L. and A.S.-F.; investigation, M.B., Z.K., M.L. and A.S.-F.; resources, M.B., Z.K., M.L. and A.S.-F.; writing—original draft preparation, A.S.-F.; writing—review and editing, M.B. and A.S.-F.; supervision, A.S.-F.; project administration, M.B. and A.S.-F.; funding acquisition, M.B. and A.S.-F. All authors have read and agreed to the published version of the manuscript.
Funding
This work was supported by the Slovak Research and Development Agency under the contract No. APVV-19-0153 and by VEGA 1/0233/18.
Institutional Review Board Statement
Not applicable.
Informed Consent Statement
Not applicable.
Data Availability Statement
Not applicable.
Acknowledgments
We thank the anonymous reviewers for their careful reading of our manuscript and their many insightful comments and suggestions.
Conflicts of Interest
The authors declare no conflict of interest.
References
- Frieze, A.; Gould, R.J.; Karonski, M.; Pfender, F. On graph irregularity strength. J. Graph Theory 2002, 41, 120–137. [Google Scholar] [CrossRef]
- Chartrand, G.; Jacobson, M.S.; Lehel, J.; Oellermann, O.R.; Ruiz, S.; Saba, F. Irregular networks. Congr. Numer. 1988, 64, 187–192. [Google Scholar]
- Faudree, R.J.; Lehel, J. Bound on the irregularity strength of regular graphs. In Colloquia Mathematica Societatis János Bolyai; Combinatorics, Eger: Amsterdam, The Netherlands, 1987; Volume 52, pp. 247–256. [Google Scholar]
- Aigner, M.; Triesch, E. Irregular assignments of trees and forests. SIAM J. Discret. Math. 1990, 3, 439–449. [Google Scholar] [CrossRef]
- Nierhoff, T. A tight bound on the irregularity strength of graphs. SIAM J. Discret. Math. 2000, 13, 313–323. [Google Scholar] [CrossRef]
- Cuckler, B.; Lazebnik, F. Irregularity strength of dense graphs. J. Graph Theory 2008, 58, 299–313. [Google Scholar] [CrossRef]
- Przybyło, J. Linear bound on the irregularity strength and the total vertex irregularity strength of graphs. SIAM J. Discret. Math. 2009, 23, 511–516. [Google Scholar] [CrossRef]
- Kalkowski, M.; Karonski, M.; Pfender, F. A new upper bound for the irregularity strength of graphs. SIAM J. Discret. Math. 2011, 25, 1319–1321. [Google Scholar] [CrossRef]
- Majerski, P.; Przybyło, J. On the irregularity strength of dense graphs. SIAM J. Discret. Math. 2014, 28, 197–205. [Google Scholar] [CrossRef]
- Amar, D.; Togni, O. Irregularity strength of trees. Discret. Math. 1998, 190, 15–38. [Google Scholar] [CrossRef]
- Faudree, R.J.; Jacobson, M.S.; Lehel, J.; Schelp, R.H. Irregular networks, regular graphs and integer matrices with distinct row and column sums. Discret. Math. 1989, 76, 223–240. [Google Scholar] [CrossRef]
- Jendroľ, S.; Žoldák, V. The irregularity strength of generalized Petersen graphs. Math. Slovaca 1995, 45, 107–113. [Google Scholar]
- Anholcer, M.; Palmer, C. Irregular labellings of circulant graphs. Discret. Math. 2012, 312, 3461–3466. [Google Scholar] [CrossRef]
- Bohman, T.; Kravitz, D. On the irregularity strength of trees. J. Graph Theory 2004, 45, 241–254. [Google Scholar] [CrossRef]
- Gallian, J.A. A dynamic survey of graph labeling. Electron. J. Combin. 2019, 1, DS6. [Google Scholar]
- Bača, M.; Muthugurupackiam, K.; Kathiresan, K.M.; Ramya, S. Modular irregularity strength of graphs. Electron. J. Graph Theory Appl. 2020, 8, 435–443. [Google Scholar] [CrossRef]
Publisher’s Note: MDPI stays neutral with regard to jurisdictional claims in published maps and institutional affiliations. |
© 2021 by the authors. Licensee MDPI, Basel, Switzerland. This article is an open access article distributed under the terms and conditions of the Creative Commons Attribution (CC BY) license (https://creativecommons.org/licenses/by/4.0/).


