A Sparse Quasi-Newton Method Based on Automatic Differentiation for Solving Unconstrained Optimization Problems
Abstract
1. Introduction
2. A New Symmetric Rank-Two Quasi–Newton Update
3. Algorithm and Related Properties
| Algorithm 1 (Sparse Quasi-Newton Algorithm based on Automatic Differentiation) |
|
4. The Local and Superlinear Convergence
- (1)
- The function is twice continuously differentiable on Ω.
- (2)
- There exist two constants, and , satisfying
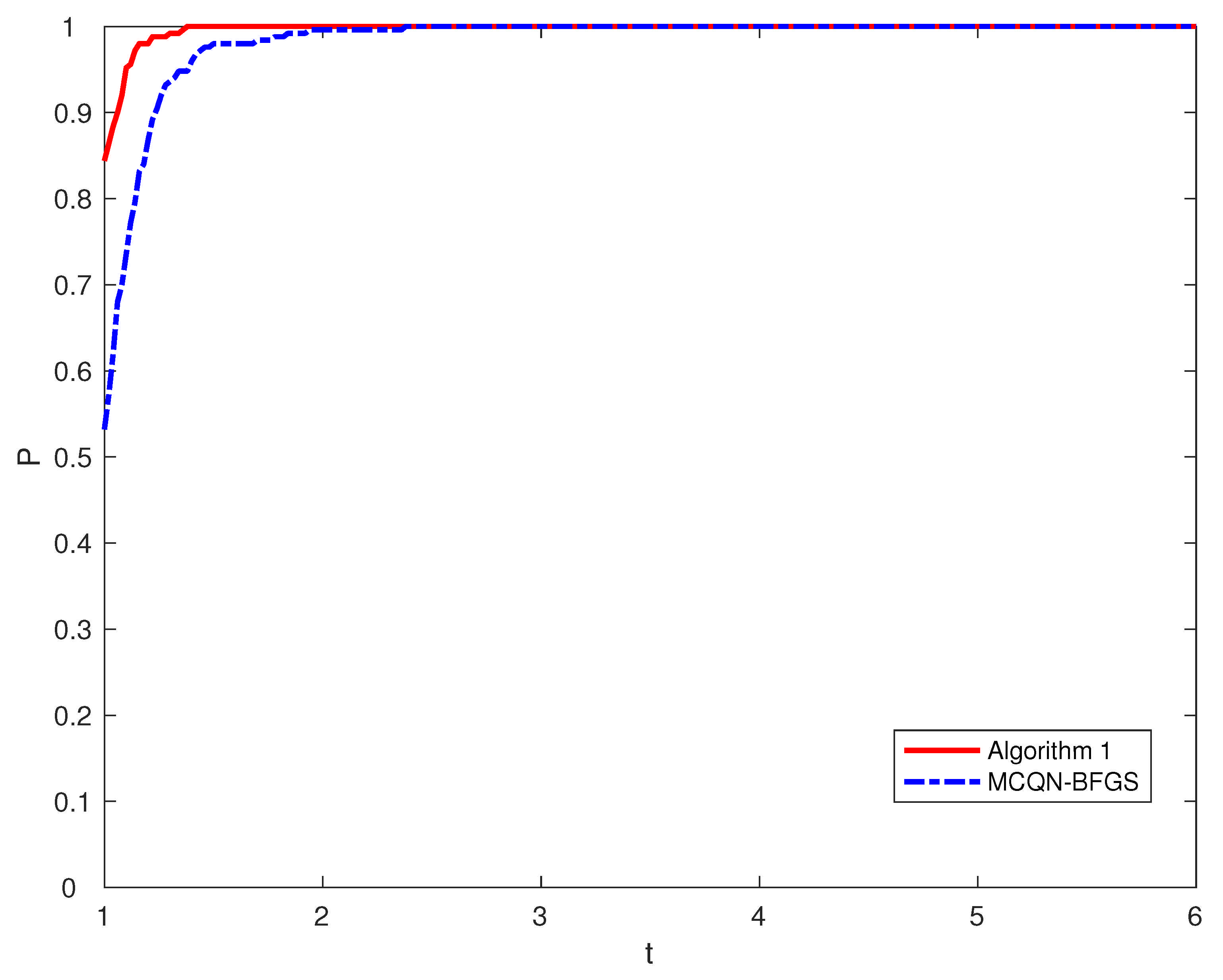
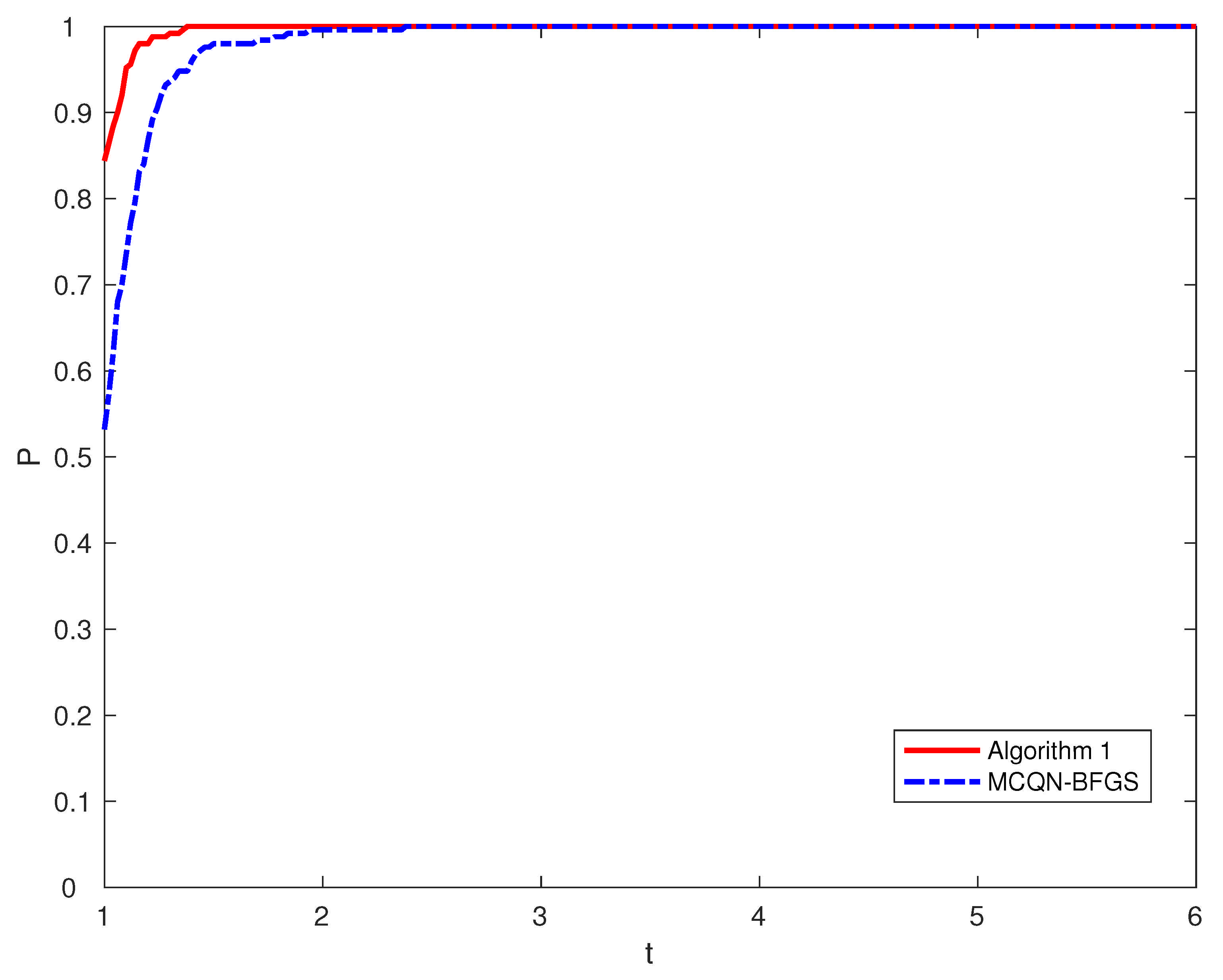
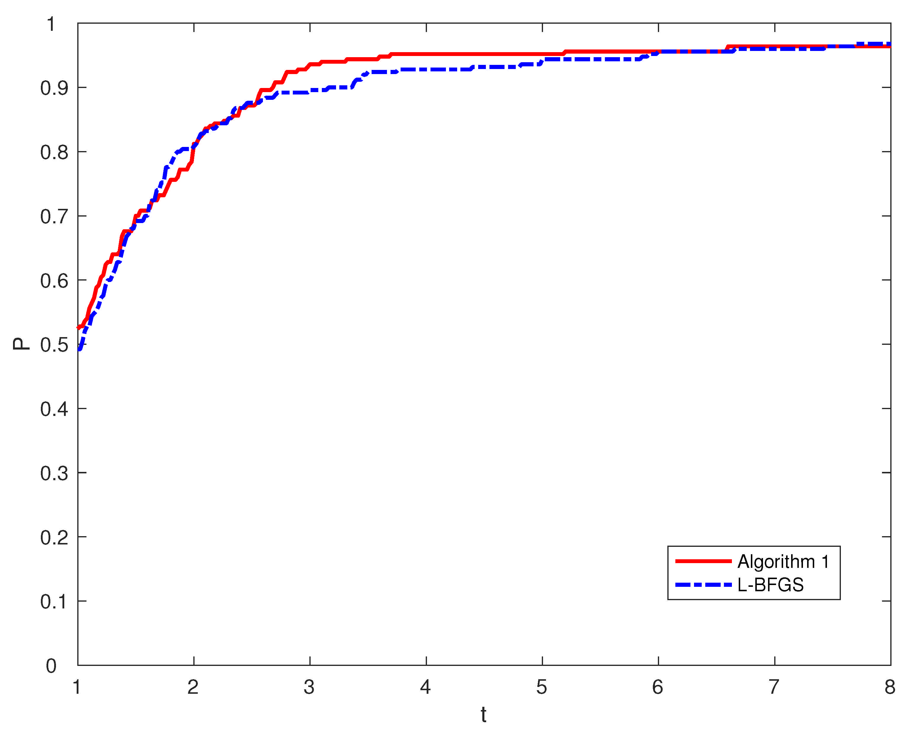
5. Numerical Experiments
- Pro: the problems;
- Dim: the dimensions of the test problem;
- Init: the initial points;
- Method: the algorithm used to solve the problem;
- MCQN-BFGS: MCQN update with the BFGS method;
- L-BFGS: limited-memory with the BFGS method.
6. Conclusions
Author Contributions
Funding
Institutional Review Board Statement
Informed Consent Statement
Data Availability Statement
Conflicts of Interest
References
- Zhou, W. A modified BFGS type quasi-Newton method with line search for symmetric nonlinear equations problems. J. Comput. Appl. Math. 2020, 367, 112454. [Google Scholar] [CrossRef]
- Zhou, W. A globally convergent BFGS method for symmetric nonlinear equations. J. Ind. Manag. Optim. 2021. [Google Scholar] [CrossRef]
- Zhou, W. A class of line search-type methods for nonsmooth convex regularized minimization. Softw. Comput. 2021, 25, 7131–7141. [Google Scholar] [CrossRef]
- Zhou, W.; Zhang, L. A modified Broyden-like quasi-Newton method for nonlinear equations. J. Comput. Appl. Math. 2020, 372, 112744. [Google Scholar] [CrossRef]
- Sabi’u, J.; Muangchoo, K.; Shah, A.; Abubakar, A.B.; Jolaoso, L.O. A Modified PRP-CG Type Derivative-Free Algorithm with Optimal Choices for Solving Large-Scale Nonlinear Symmetric Equations. Symmetry 2021, 13, 234. [Google Scholar] [CrossRef]
- Dennis, J.E.; Moré, J.J. A characterization of superlinear convergence and its application to quasi-Newton methods. Math. Comput. 1974, 28, 549–560. [Google Scholar] [CrossRef]
- Dennis, J.E.; Moré, J.J. Quasi–Newton methods, motivation and theory. SIAM Rev. 1977, 19, 46–89. [Google Scholar] [CrossRef]
- Davidon, W.C. Variable metric method for minimization. In Research Development Report ANL-5990; University of Chicago: Chicago, IL, USA, 1959. [Google Scholar] [CrossRef]
- Fletcher, R.; Powell, M.J. A rapidly convergent descent method for minimization. Comput. J. 1963, 6, 163–168. [Google Scholar] [CrossRef]
- Broyden, C.G. The convergence of a class of double-rank minimization algorithms 1. General considerations. IMA J. Appl. Math. 1970, 6, 76–90. [Google Scholar] [CrossRef]
- Fletcher, R. A new approach to variable metric algorithms. Comput. J. 1970, 13, 317–322. [Google Scholar] [CrossRef]
- Goldfarb, D. A family of variable-metric methods derived by variational means. Math. Comput. 1970, 24, 23–26. [Google Scholar] [CrossRef]
- Shanno, D.F. Conditioning of quasi-Newton methods for function minimization. Math. Comput. 1970, 24, 647–656. [Google Scholar] [CrossRef]
- Quasi–Newton Methods. In Optimization Theory and Methods; Springer Series in Optimization and Its Applications; Springer: Boston, MA, USA, 2006; Volume 1, pp. 203–301. [CrossRef]
- Quasi–Newton Methods. In Numerical Optimization; Springer Series in Operations Research and Financial Engineering; Springer: New York, NY, USA, 2006. [CrossRef]
- Sun, W.; Yuan, Y.X. Optimization Theory and Methods: Nonlinear Programming; Springer Science & Business Media: New York, NY, USA, 2006. [Google Scholar]
- Andrei, N. Continuous Nonlinear Optimization for Engineering Applications in GAMS Technology; Springer Optimization and Its Applications Series; Springer: Berlin, Germany, 2017; Volume 121. [Google Scholar] [CrossRef]
- Schubert, L.K. Modification of a quasi-Newton method for nonlinear equations with a sparse Jacobian. Math. Comput. 1970, 24, 27–30. [Google Scholar] [CrossRef]
- Powell, M.J.D.; Toint, P.L. On the estimation of sparse Hessian matrices. SIAM J. Numer. Anal. 1979, 16, 1060–1074. [Google Scholar] [CrossRef]
- Toint, P. Towards an efficient sparsity exploiting Newton method for minimization. In Sparse Matrices and Their Uses; Academic Press: London, UK, 1981; pp. 57–88. [Google Scholar]
- Nocedal, J. Updating quasi-Newton matrices with limited storage. Math. Comput. 1980, 35, 773–782. [Google Scholar] [CrossRef]
- Liu, D.C.; Nocedal, J. On the limited memory BFGS method for large scale optimization. Math. Program. 1989, 45, 503–528. [Google Scholar] [CrossRef]
- Griewank, A.; Toint, P.L. Partitioned variable metric updates for large structured optimization problems. Numer. Math. 1982, 39, 119–137. [Google Scholar] [CrossRef]
- Griewank, A.; Toint, P.L. Local convergence analysis for partitioned quasi-Newton updates. Numer. Math. 1982, 39, 429–448. [Google Scholar] [CrossRef]
- Griewank, A. The global convergence of partitioned BFGS on problems with convex decompositions and Lipschitzian gradients. Math. Program. 1991, 50, 141–175. [Google Scholar] [CrossRef]
- Cao, H.P.; Li, D.H. Partitioned quasi-Newton methods for sparse nonlinear equations. Comput. Optim. Appl. 2017, 66, 481–505. [Google Scholar] [CrossRef]
- Toint, P.L. On sparse and symmetric matrix updating subject to a linear equation. Math. Comput. 1977, 31, 954–961. [Google Scholar] [CrossRef]
- Fletcher, R. An optimal positive definite update for sparse Hessian matrices. SIAM J. Optim. 1995, 5, 192–218. [Google Scholar] [CrossRef]
- Yamashita, N. Sparse quasi-Newton updates with positive definite matrix completion. Math. Program. 2008, 115, 1–30. [Google Scholar] [CrossRef]
- Dai, Y.H.; Yamashita, N. Analysis of sparse quasi-Newton updates with positive definite matrix completion. J. Oper. Res. Soc. China 2014, 2, 39–56. [Google Scholar] [CrossRef][Green Version]
- Dai, Y.H.; Yamashita, N. Convergence analysis of sparse quasi-Newton updates with positive definite matrix completion for two-dimensional functions. Numer. Algebr. Control. Optim. 2011, 1, 61–69. [Google Scholar] [CrossRef]
- Nazareth, J.L. If quasi-Newton then why not quasi-Cauchy. SIAG/Opt Views-and-News 1995, 6, 11–14. [Google Scholar]
- Dennis, J.E., Jr.; Wolkowicz, H. Sizing and least-change secant methods. SIAM J. Numer. Anal. 1993, 30, 1291–1314. [Google Scholar] [CrossRef]
- Andrei, N. A diagonal quasi-Newton updating method for unconstrained optimization. Numer. Algorithms 2019, 81, 575–590. [Google Scholar] [CrossRef]
- Andrei, N. A new diagonal quasi-Newton updating method with scaled forward finite differences directional derivative for unconstrained optimization. Numer. Funct. Anal. Optim. 2019, 40, 1467–1488. [Google Scholar] [CrossRef]
- Andrei, N. Diagonal Approximation of the Hessian by Finite Differences for Unconstrained Optimization. J. Optim. Theory Appl. 2020, 185, 859–879. [Google Scholar] [CrossRef]
- Andrei, N. A new accelerated diagonal quasi-Newton updating method with scaled forward finite differences directional derivative for unconstrained optimization. Optimization 2021, 70, 345–360. [Google Scholar] [CrossRef]
- Leong, W.J.; Enshaei, S.; Kek, S.L. Diagonal quasi-Newton methods via least change updating principle with weighted Frobenius norm. Numer. Algorithms 2021, 86, 1225–1241. [Google Scholar] [CrossRef]
- Schlenkrich, S.; Griewank, A.; Walther, A. On the local convergence of adjoint Broyden methods. Math. Program. 2010, 121, 221–247. [Google Scholar] [CrossRef]
- Byrd, R.H.; Nocedal, J. A tool for the analysis of quasi-Newton methods with application to unconstrained minimization. SIAM J. Numer. Anal. 1989, 26, 727–739. [Google Scholar] [CrossRef]
- Byrd, R.H.; Nocedal, J.; Yuan, Y.X. Global convergence of a cass of quasi-Newton methods on convex problems. SIAM J. Numer. Anal. 1987, 24, 1171–1190. [Google Scholar] [CrossRef]
- Moré, J.J.; Garbow, B.S.; Hillstrom, K.E. Testing unconstrained optimization software. ACM Trans. Math. Softw. (TOMS) 1981, 7, 17–41. [Google Scholar] [CrossRef]
- Luksan, L.; Matonoha, C.; Vlcek, J. Modified CUTE Problems for Sparse Unconstrained Optimization; Technical Report 1081; Institute of Computer Science, Academy of Sciences of the Czech Republic: Prague, Czech Republic, 2010. [Google Scholar]
- Andrei, N. An unconstrained optimization test functions collection. Adv. Model. Optim. 2008, 10, 147–161. [Google Scholar]
- Dolan, E.D.; Moré, J.J. Benchmarking optimization software with performance profiles. Math. Program. 2002, 91, 201–213. [Google Scholar] [CrossRef]


| Pro | the Test Functions | Init |
|---|---|---|
| 1 | TRIDIA [29] | |
| 2 | the chained Rosenbrock problem [29] | |
| 3 | the boundary value problem [29] | |
| 4 | Broyden tridiagonal function [42] | |
| 5 | DQRTIC [43] | |
| 6 | EDENSCH [43] | |
| 7 | ENGVAL1 [43] | |
| 8 | COSINE [43] | |
| 9 | ERRINROS-modified [43] | |
| 10 | FREUROTH [43] | |
| 11 | MOREBV- different start point [43] | |
| 12 | TOINTGSS [43] | |
| 13 | SCHMVETT [43] | |
| 14 | Extended Freudenstein and Roth function [44] | |
| 15 | Raydan 1 function [44] | |
| 16 | Generalized Tridiagonal function [44] | |
| 17 | Extended Himmelblau function [44] | |
| 18 | Generalized PSCI function [44] | |
| 19 | Extended Tridiagonal 2 function [44] | |
| 20 | Raydan 2 function [44] | |
| 21 | Extended Freudenstein and Roth function [44] | |
| 22 | DQDRTIC function [44] | |
| 23 | Generalized Quartic function [44] | |
| 24 | HIMMELBG function [44] |
| Dim | 10 | 20 | 50 | 100 | 200 | 500 | 1000 | 2000 | 5000 | 10,000 |
|---|---|---|---|---|---|---|---|---|---|---|
| (1) Algorithm 1 | 30 | 38 | 51 | 78 | 96 | 146 | 217 | 301 | 424 | 527 |
| (1) MCQN-BFGS | 29 | 38 | 51 | 72 | 95 | 146 | 192 | 298 | 424 | 528 |
| (1) L-BFGS | 26 | 39 | 96 | 158 | 360 | 864 | 1042 | 1759 | 3153 | 3152 |
| (2) Algorithm 1 | 49 | 90 | 166 | 308 | 595 | 1345 | 2699 | 5437 | 3218 | 2725 |
| (2) MCQN-BFGS | 60 | 95 | 200 | 384 | 683 | 1668 | 3249 | 6486 | 4562 | 3207 |
| (2) L-BFGS | 59 | 113 | 260 | 504 | 999 | 2481 | 4947 | 9887 | 24,732 | 49,391 |
| (3) Algorithm 1 | 16 | 26 | 42 | 58 | 59 | 51 | 49 | 60 | 102 | 399 |
| (3) MCQN-BFGS | 15 | 26 | 42 | 50 | 59 | 71 | 54 | 69 | 101 | 402 |
| (3) L-BFGS | 39 | 114 | 279 | 700 | 1503 | 1659 | 2695 | 3370 | 8867 | 27,471 |
| (4) Algorithm 1 | 31 | 25 | 34 | 49 | 43 | 44 | 43 | 49 | 52 | 53 |
| (4) MCQN-BFGS | 30 | 29 | 43 | 45 | 49 | 58 | 61 | 62 | 63 | 56 |
| (4) L-BFGS | 21 | 27 | 40 | 54 | 41 | 38 | 38 | 56 | 52 | 50 |
| (5) Algorithm 1 | 30 | 48 | 60 | 92 | 109 | 99 | 92 | 89 | 81 | 81 |
| (5) MCQN-BFGS | 35 | 49 | 67 | 94 | 111 | 108 | 112 | 98 | 84 | 84 |
| (5) L-BFGS | 28 | 27 | 34 | 31 | 33 | 39 | 41 | 43 | 54 | 81 |
| (6) Algorithm 1 | 23 | 26 | 38 | 44 | 54 | 55 | 47 | 51 | 61 | 51 |
| (6) MCQN-BFGS | 17 | 27 | 36 | 53 | 60 | 55 | 54 | 51 | 50 | 54 |
| (6) L-BFGS | 17 | 19 | 19 | 22 | 21 | 23 | 24 | 26 | 24 | 25 |
| (7) Algorithm 1 | 16 | 21 | 21 | 19 | 17 | 17 | 16 | 15 | 16 | 15 |
| (7) MCQN-BFGS | 20 | 22 | 23 | 22 | 15 | 15 | 15 | 17 | 17 | 16 |
| (7) L-BFGS | 20 | 22 | 26 | 21 | 22 | 21 | 25 | 27 | 28 | 30 |
| (8) Algorithm 1 | 22 | 23 | 24 | 21 | 23 | 27 | 27 | 28 | 29 | 30 |
| (8) MCQN-BFGS | 23 | 25 | 26 | 26 | 26 | 27 | 28 | 28 | 29 | 30 |
| (8) L-BFGS | 9 | 9 | 9 | 9 | 10 | 10 | 10 | 10 | 10 | 10 |
| (9) Algorithm 1 | 74 | 122 | 134 | 149 | 137 | 180 | 148 | 153 | 172 | 170 |
| (9) MCQN-BFGS | 106 | 125 | 145 | 171 | 199 | 181 | 168 | 171 | 174 | 179 |
| (9) L-BFGS | 163 | 245 | 216 | 196 | 189 | 190 | 163 | 169 | 171 | 192 |
| (10) Algorithm 1 | 45 | 45 | 48 | 39 | 45 | 43 | 45 | 145 | 161 | 145 |
| (10) MCQN-BFGS | 47 | 48 | 49 | 43 | 47 | 48 | 41 | 244 | 204 | 279 |
| (10) L-BFGS | 24 | 25 | 24 | 24 | 24 | 22 | 22 | 22 | 20 | 22 |
| (11) Algorithm 1 | 24 | 45 | 97 | 121 | 82 | 67 | 35 | 34 | 21 | 11 |
| (11) MCQN-BFGS | 24 | 45 | 98 | 121 | 82 | 67 | 35 | 34 | 21 | 11 |
| (11) L-BFGS | 33 | 103 | 136 | 127 | 85 | 49 | 32 | 21 | 10 | 9 |
| (12) Algorithm 1 | 13 | 11 | 11 | 12 | 9 | 5 | 6 | 2 | 3 | 2 |
| (12) MCQN-BFGS | 15 | 11 | 13 | 12 | 12 | 7 | 6 | 2 | 3 | 2 |
| (12) L-BFGS | 6 | 8 | 9 | 10 | 13 | 11 | 10 | 10 | 9 | 10 |
| Dim | 10 | 20 | 50 | 100 | 200 | 500 | 1000 | 2000 | 5000 | 10,000 |
|---|---|---|---|---|---|---|---|---|---|---|
| (13) Algorithm 1 | 19 | 20 | 21 | 22 | 18 | 17 | 15 | 14 | 13 | 12 |
| (13) MCQN-BFGS | 19 | 20 | 21 | 22 | 18 | 17 | 15 | 14 | 13 | 12 |
| (13) L-BFGS | 16 | 18 | 17 | 18 | 18 | 17 | 18 | 18 | 17 | 18 |
| (14) Algorithm 1 | 36 | 52 | 95 | 111 | 169 | 262 | 612 | 567 | 1062 | 1114 |
| (14) MCQN-BFGS | 37 | 54 | 86 | 120 | 190 | 300 | 594 | 679 | 1062 | 1126 |
| (14) L-BFGS | 10 | 10 | 10 | 10 | 10 | 10 | 10 | 10 | 10 | 11 |
| (15) Algorithm 1 | 11 | 13 | 23 | 30 | 39 | 45 | 60 | 97 | 196 | 295 |
| (15) MCQN-BFGS | 11 | 12 | 21 | 28 | 37 | 45 | 64 | 95 | 196 | 295 |
| (15) L-BFGS | 13 | 21 | 32 | 50 | 79 | 122 | 207 | 338 | 402 | 770 |
| (16) Algorithm 1 | 29 | 31 | 47 | 69 | 110 | 149 | 165 | 174 | 170 | 163 |
| (16) MCQN-BFGS | 29 | 35 | 51 | 70 | 100 | 146 | 164 | 173 | 171 | 164 |
| (16) L-BFGS | 25 | 65 | 80 | 162 | 160 | 156 | 151 | 150 | 144 | 140 |
| (17) Algorithm 1 | 16 | 15 | 14 | 11 | 13 | 12 | 12 | 12 | 10 | 9 |
| (17) MCQN-BFGS | 14 | 11 | 18 | 12 | 13 | 12 | 12 | 12 | 10 | 9 |
| (17) L-BFGS | 8 | 8 | 8 | 8 | 8 | 8 | 8 | 8 | 8 | 8 |
| (18) Algorithm 1 | 49 | 21 | 23 | 21 | 19 | 14 | 22 | 21 | 13 | 11 |
| (18) MCQN-BFGS | 43 | 28 | 22 | 29 | 20 | 15 | 20 | 25 | 23 | 26 |
| (18) L-BFGS | 36 | 34 | 37 | 36 | 39 | 36 | 40 | 34 | 41 | 37 |
| (19) Algorithm 1 | 13 | 12 | 11 | 13 | 12 | 12 | 12 | 10 | 7 | 5 |
| (19) MCQN-BFGS | 13 | 12 | 11 | 13 | 12 | 12 | 12 | 10 | 7 | 5 |
| (19) L-BFGS | 12 | 14 | 15 | 16 | 16 | 17 | 16 | 15 | 16 | 17 |
| (20) Algorithm 1 | 5 | 5 | 4 | 4 | 4 | 4 | 4 | 3 | 3 | 3 |
| (20) MCQN-BFGS | 5 | 5 | 4 | 4 | 4 | 4 | 4 | 3 | 3 | 3 |
| (20) L-BFGS | 7 | 7 | 7 | 7 | 7 | 7 | 7 | 7 | 7 | 7 |
| (21) Algorithm 1 | 14 | 11 | 11 | 21 | 18 | 18 | 35 | 28 | 26 | 43 |
| (21) MCQN-BFGS | 13 | 10 | 11 | 22 | 18 | 18 | 35 | 28 | 26 | 43 |
| (21) L-BFGS | 10 | 13 | 15 | 19 | 22 | 30 | 36 | 51 | 56 | 64 |
| (22) Algorithm 1 | 36 | 36 | 26 | 28 | 26 | 27 | 27 | 30 | 28 | 29 |
| (22) MCQN-BFGS | 36 | 36 | 26 | 28 | 26 | 27 | 27 | 30 | 28 | 29 |
| (22) L-BFGS | 13 | 13 | 16 | 16 | 17 | 16 | 16 | 15 | 19 | 19 |
| (23) Algorithm 1 | 13 | 17 | 12 | 21 | 12 | 14 | 8 | 11 | 10 | 9 |
| (23) MCQN-BFGS | 16 | 18 | 22 | 25 | 15 | 13 | 12 | 13 | 12 | 10 |
| (23) L-BFGS | 14 | 14 | 16 | 15 | 17 | 24 | 27 | 27 | 27 | 31 |
| (24) Algorithm 1 | 11 | 13 | 18 | 24 | 31 | 37 | 28 | 21 | 13 | 7 |
| (24) MCQN-BFGS | 12 | 15 | 19 | 25 | 32 | 37 | 28 | 21 | 13 | 7 |
| (24) L-BFGS | 10 | 10 | 10 | 10 | 10 | 10 | 10 | 10 | 10 | 10 |
| Pro | Algorithm 1 | MCQN-BFGS | ||||||||
|---|---|---|---|---|---|---|---|---|---|---|
| Init | ||||||||||
| (1) | 217 | 189 | 192 | 194 | 196 | 192 | 210 | 213 | 220 | 213 |
| (2) | 2699 | 2684 | 2641 | 1192 | 2694 | 3249 | 4850 | 5056 | 2157 | 4961 |
| (3) | 49 | 47 | 55 | 68 | 65 | 54 | 213 | 210 | 228 | 294 |
| (4) | 43 | 47 | 36 | 81 | 80 | 60 | 213 | 210 | 228 | 294 |
| (5) | 92 | 83 | 86 | 91 | 89 | 112 | 106 | 85 | 94 | 94 |
| (6) | 47 | 47 | 47 | 47 | 47 | 54 | 54 | 54 | 54 | 54 |
| (7) | 16 | 30 | 53 | 19 | 21 | 15 | 19 | 27 | 21 | 22 |
| (8) | 27 | 31 | 16 | 35 | 54 | 28 | 31 | 16 | 33 | 56 |
| (9) | 148 | 159 | 154 | 184 | 157 | 168 | 151 | 147 | 191 | 154 |
| (10) | 45 | 45 | 164 | 170 | 175 | 41 | 263 | 203 | 192 | 194 |
| (11) | 35 | 70 | 96 | 112 | 127 | 35 | 70 | 96 | 112 | 127 |
| (12) | 6 | 6 | 2 | 2 | 2 | 6 | 6 | 2 | 2 | 2 |
| (13) | 15 | 16 | 17 | 14 | 14 | 15 | 16 | 17 | 14 | 14 |
| (14) | 612 | 312 | 504 | 511 | 318 | 594 | 523 | 503 | 481 | 563 |
| (15) | 60 | 57 | 208 | 452 | 1024 | 64 | 58 | 203 | 532 | 941 |
| (16) | 165 | 180 | 173 | 153 | 129 | 164 | 183 | 191 | 197 | 215 |
| (17) | 12 | 11 | 10 | 7 | 21 | 12 | 11 | 8 | 7 | 30 |
| (18) | 22 | 23 | 25 | 60 | 41 | 20 | 23 | 30 | 65 | 75 |
| (19) | 12 | 12 | 14 | 16 | 24 | 12 | 12 | 14 | 22 | 20 |
| (20) | 4 | 6 | 5 | 6 | 4 | 4 | 6 | 5 | 6 | 4 |
| (21) | 35 | 30 | 35 | 112 | 719 | 35 | 30 | 35 | 112 | 719 |
| (22) | 27 | 28 | 28 | 29 | 29 | 27 | 28 | 28 | 29 | 29 |
| (23) | 8 | 22 | 23 | 14 | 35 | 12 | 13 | 24 | 19 | 70 |
| (24) | 28 | 20 | 21 | 21 | 21 | 28 | 20 | 21 | 21 | 21 |
Publisher’s Note: MDPI stays neutral with regard to jurisdictional claims in published maps and institutional affiliations. |
© 2021 by the authors. Licensee MDPI, Basel, Switzerland. This article is an open access article distributed under the terms and conditions of the Creative Commons Attribution (CC BY) license (https://creativecommons.org/licenses/by/4.0/).
Share and Cite
Cao, H.; An, X. A Sparse Quasi-Newton Method Based on Automatic Differentiation for Solving Unconstrained Optimization Problems. Symmetry 2021, 13, 2093. https://doi.org/10.3390/sym13112093
Cao H, An X. A Sparse Quasi-Newton Method Based on Automatic Differentiation for Solving Unconstrained Optimization Problems. Symmetry. 2021; 13(11):2093. https://doi.org/10.3390/sym13112093
Chicago/Turabian StyleCao, Huiping, and Xiaomin An. 2021. "A Sparse Quasi-Newton Method Based on Automatic Differentiation for Solving Unconstrained Optimization Problems" Symmetry 13, no. 11: 2093. https://doi.org/10.3390/sym13112093
APA StyleCao, H., & An, X. (2021). A Sparse Quasi-Newton Method Based on Automatic Differentiation for Solving Unconstrained Optimization Problems. Symmetry, 13(11), 2093. https://doi.org/10.3390/sym13112093

