Flexoelectric and Piezoelectric Coupling in a Bended MoS2 Monolayer
Abstract
:1. Introduction
2. Theoretical Formalism
2.1. Ab Initio Calculations of the Flat and Corrugated MoS2 Nanolayer
2.2. Determination of the Flexoelectric Coefficients from Ab Initio Calculations
3. Conclusions
Author Contributions
Funding
Data Availability Statement
Acknowledgments
Conflicts of Interest
Appendix A. Additional Figures
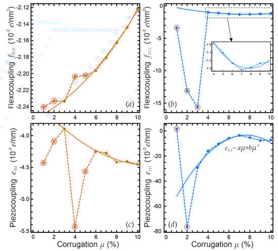
) indicate points, which were ignored during the fitting.
) indicate points, which were ignored during the fitting.

| Curvature, % | ||||
|---|---|---|---|---|
| 1 | −3.59 | −0.71 | −5.42 | 0.261 |
| 2 | −3.58 | −0.655 | −21 | −12.3 |
| 3 | −3.58 | −0.624 | −25.1 | −4.67 |
| 4 | −3.53 | −0.871 | −1.58 | −2.55 |
| 5 | −3.53 | −0.731 | −1.77 | −1.65 |
| 6 | −3.52 | −0.681 | −1.98 | −0.918 |
| 7 | −3.49 | −0.685 | −2.11 | −0.563 |
| 8 | −3.47 | −0.708 | −2.06 | −0.848 |
| 9 | −3.44 | −0.706 | −1.98 | −1.22 |
| 10 | −3.4 | −0.713 | −1.95 | −1.15 |
References
- Xu, Z.; Yang, H.; Song, X.; Chen, Y.; Yang, H.; Liu, M.; Huang, Z.; Zhang, Q.; Sun, J.; Liu, L.; et al. Topical review: Recent progress of charge density waves in 2D transition metal dichalcogenide-based heterojunctions and their applications. Nanotechnology 2021, 32, 492001. [Google Scholar] [CrossRef]
- Meng, L.; Li, Y.; Wu, J.; Zhao, L.; Zhong, J. A type of novel Weyl semimetal candidate: Layered transition metal monochalcogenides Mo 2 XY (X, Y = S, Se, Te, X ≠ Y). Nanoscale 2020, 12, 4602. [Google Scholar] [CrossRef]
- Wu, W.; Wang, L.; Li, Y.; Zhang, F.; Lin, L.; Niu, S.; A Chenet, D.; Zhang, X.; Hao, Y.; Heinz, T.F.; et al. Piezoelectricity of single-atomic-layer MoS2 for energy conversion and piezotronics. Nature 2014, 514, 470–474. [Google Scholar] [CrossRef]
- Yuan, S.; Luo, X.; Chan, H.L.; Xiao, C.; Dai, Y.; Xie, M.; Hao, J. Room-temperature ferroelectricity in MoTe2 down to the atomic monolayer limit. Nat. Commun. 2019, 10, 1–6. [Google Scholar] [CrossRef] [Green Version]
- Choi, J.H.; Jhi, S.H. Origin of robust out-of-plane ferroelectricity in d1T-MoS2 monolayer. J. Phys. Cond. Matt. 2020, 32, 045702. [Google Scholar] [CrossRef] [PubMed]
- Duerloo, K.-A.N.; Li, Y.; Reed, E.J. Structural phase transitions in two-dimensional Mo- and W-dichalcogenide monolayers. Nat. Commun. 2014, 5, 4214. [Google Scholar] [CrossRef] [PubMed] [Green Version]
- Enyashin, A.N.; Yadgarov, L.; Houben, L.; Popov, I.; Weidenbach, M.; Tenne, R.; Bar Sadan, M.; Seifert, G. New route for stabilization of 1T-WS2 and MoS2 phases. J. Phys. Chem. C 2011, 115, 24586. [Google Scholar] [CrossRef] [Green Version]
- Eda, G.; Fujita, T.; Yamaguchi, H.; Voiry, D.; Chen, M.; Chhowalla, M. Coherent atomic and electronic heterostructures of single-layer MoS2. ACS Nano 2012, 6, 7311. [Google Scholar] [CrossRef] [PubMed]
- Kawakami, T.; Sugawara, K.; Kato, T.; Taguchi, T.; Souma, S.; Takahashi, T.; Sato, T. Electronic states of multilayer VTe2: Quasi-one-dimensional Fermi surface and implications for charge density waves. Phys. Rev. B 2021, 104, 045136. [Google Scholar] [CrossRef]
- Kang, S.; Kim, S.; Jeon, S.; Jang, W.-S.; Seol, D.; Kim, Y.-M.; Lee, J.; Yang, H.; Kim, Y. Atomic-scale symmetry breaking for out-of-plane piezoelectricity in two-dimensional transition metal dichalcogenides. Nano Energy 2019, 58, 57. [Google Scholar] [CrossRef]
- Grasset, R.; Gallais, Y.; Sacuto, A.; Cazayous, M.; Mañas-Valero, S.; Coronado, E.; Méasson, M.-A. Pressure-induced collapse of the charge density wave and Higgs mode visibility in 2 H− TaS2. Phys. Rev. Lett. 2019, 122, 127001. [Google Scholar] [CrossRef] [Green Version]
- Qi, Y.; Shi, W.; Naumov, P.G.; Kumar, N.; Sankar, R.; Schnelle, W.; Shekhar, C.; Chou, F.-C.; Felser, C.; Yan, B.; et al. Topological quantum phase transition and superconductivity induced by pressure in the Bismuth Tellurohalide BiTeI. Adv. Mater. 2017, 29, 1605965. [Google Scholar] [CrossRef] [PubMed] [Green Version]
- Dong, L.; Lou, J.; Shenoy, V.B. Large in-plane and vertical piezoelectricity in janus transition metal dichalchogenides. ACS Nano 2017, 11, 8242. [Google Scholar] [CrossRef] [PubMed]
- Eliseev, E.A.; Morozovska, A.N.; Strikha, M.V. Strain engineering of ferromagnetic-graphene-ferroelectric nanostructures. Phys. Rev. Appl. 2020, 14, 024081. [Google Scholar] [CrossRef]
- Bukharaev, A.A.; Zvezdin, A.; Pyatakov, A.; Fetisov, Y. Straintronics: A new trend in micro-, nanoelectronics, and material science. Physics-Uspekhi 2018, 61, 1175. [Google Scholar] [CrossRef]
- Catalan, G.; Seidel, J.; Ramesh, R.; Scott, J.F. Domain wall nanoelectronics. Rev. Mod. Phys. 2012, 84, 119. [Google Scholar] [CrossRef] [Green Version]
- Pyatakov, A.P.; Zvezdin, A.K. Magnetoelectric and multiferroic media. Phys. Usp. 2012, 52, 557–581. [Google Scholar] [CrossRef]
- Sando, D.; Agbelele, A.; Rahmedov, D.; Liu, J.; Rovillain, P.; Toulouse, C.; Infante, I.C.; Pyatakov, A.P.; Fusil, S.; Jacquet, E.; et al. Crafting the magnonic and spintronic response of BiFeO3 films by epitaxial strain. Nat. Mat. 2013, 12, 641. [Google Scholar] [CrossRef]
- Kurchak, A.I.; Eliseev, E.A.; Kalinin, S.V.; Strikha, M.V.; Morozovska, A.N. P-N junctions dynamics in graphene channel induced by ferroelectric domains motion. Phys. Rev. Appl. 2017, 8, 024027. [Google Scholar] [CrossRef] [Green Version]
- Kurchak, A.I.; Morozovska, A.N.; Eliseev, E.A.; Kalinin, S.V.; Strikha, M.V. Nontrivial temperature behavior of the carrier concentration in the nanostructure “graphene channel on ferroelectric substrate with domain walls”. Acta Mater. 2018, 155, 302. [Google Scholar] [CrossRef]
- Johari, P.; Shenoy, V.B. Tuning the Electronic properties of semiconducting transition metal dichalcogenides by applying mechanical strains. ACS Nano 2012, 6, 5449. [Google Scholar] [CrossRef] [PubMed]
- Berry, J.; Zhou, S.; Han, J.; Srolovitz, D.J.; Haataja, M.P. Domain morphology and mechanics of the H/T′ transition metal dichalcogenide monolayers. Phys. Rev. Mater. 2018, 2, 114002. [Google Scholar] [CrossRef]
- Kang, S.; Jeon, S.; Kim, S.; Seol, D.; Yang, H.; Lee, J.; Kim, Y. Tunable out-of-plane piezoelectricity in thin-layered MoTe2 by surface corrugation-mediated flexoelectricity. ACS Appl. Mater. Interfaces 2018, 10, 27424. [Google Scholar] [CrossRef] [PubMed]
- Berry, J.; Zhou, S.; Han, J.; Srolovitz, D.J.; Haataja, M.P. Dynamic Phase Engineering of Bendable Transition Metal Dichalcogenide Monolayers. Nano Lett. 2017, 17, 2473. [Google Scholar] [CrossRef]
- Song, S.; Keum, D.H.; Cho, S.; Perello, D.; Kim, Y.; Lee, Y.H. Room temperature semiconductor–metal transition of MoTe2 thin films engineered by strain. Nano Lett. 2016, 16, 188. [Google Scholar] [CrossRef] [PubMed]
- Zhu, H.; Wang, Y.; Xiao, J.; Liu, M.; Xiong, S.; Wong, Z.J.; Ye, Z.; Ye, Y.; Yin, X.; Zhang, X. Observation of piezoelectricity in free-standing monolayer MoS2. Nat. Nanotechnol. 2015, 10, 151. [Google Scholar] [CrossRef] [PubMed]
- Ghasemian, M.B.; Daeneke, T.; Shahrbabaki, Z.; Yang, J.; Kalantar-Zadeh, K. Peculiar piezoelectricity of atomically thin planar structures. Nanoscale 2020, 12, 2875. [Google Scholar] [CrossRef]
- Xiao, W.-Z.; Luo, H.-J.; Xu, L. Elasticity, piezoelectricity, and mobility in two-dimensional BiTeI from a first-principles study. J. Phys. D Appl. Phys. 2020, 53, 245301. [Google Scholar] [CrossRef]
- Morozovska, A.N.; Eliseev, E.A.; Stubbs, K.D.; Vasudevan, R.; Kim, Y.; Kalinin, S.V. Phase diagrams of single-layer two-dimensional transition metal dichalcogenides: Landau theory. Phys. Rev. B 2020, 101, 195424. [Google Scholar] [CrossRef]
- Boukhvalov, D.W.; Katsnelson, M.I. Enhancement of chemical activity in corrugated graphene. J. Phys. Chem. C 2009, 113, 14176. [Google Scholar] [CrossRef] [Green Version]
- Kalinin, S.V.; Meunier, V. Electronic flexoelectricity in low-dimensional systems. Phys. Rev. B 2008, 77, 033403. [Google Scholar] [CrossRef] [Green Version]
- Springolo, M.; Royo, M.; Stengel, M. Flexoelectricity in two-dimensional materials. arXiv Prepr. 2020, arXiv:2010.08470. [Google Scholar]
- Pandey, T.; Covaci, L.; Peeters, F. Tuning flexoelectricty and electronic properties of zig-zag graphene nanoribbons by functionalization. Carbon 2021, 171, 551. [Google Scholar] [CrossRef]
- Pandey, T.; Covaci, L.; Milošević, M.V.; Peeters, F.M. Flexoelectricity and transport properties of phosphorene nanoribbons under mechanical bending. Phys. Rev. B 2021, 103, 235406. [Google Scholar] [CrossRef]
- Dumitrică, T.; Landis, C.M.; Yakobson, B.I. Curvature-induced polarization in carbon nanoshells. Chem. Phys. Lett. 2002, 360, 182. [Google Scholar] [CrossRef]
- Naumov, I.; Bratkovsky, A.M.; Ranjan, V. Unusual Flexoelectric Effect in Two-Dimensional Noncentrosymmetric sp2-Bonded Crystals. Phys. Rev. Lett. 2009, 102, 217601. [Google Scholar] [CrossRef] [PubMed]
- Shi, W.; Guo, Y.; Zhang, Z.; Guo, W. Flexoelectricity in monolayer transition metal dichalcogenides. J. Phys. Chem. Lett. 2018, 9, 6841. [Google Scholar] [CrossRef]
- Blonsky, M.N.; Zhuang, H.L.; Singh, A.K.; Hennig, R.G. Ab initio prediction of piezoelectricity in two-dimensional materials. ACS Nano 2015, 9, 9885. [Google Scholar] [CrossRef] [PubMed]
- Alyörük, M.M.; Aierken, Y.; Çakır, D.; Peeters, F.M.; Sevik, C. Promising piezoelectric performance of single layer transition-metal dichalcogenides and dioxides. J. Phys. Chem. C 2015, 119, 23231. [Google Scholar] [CrossRef]
- Wang, L.; Liu, S.; Feng, X.; Zhang, C.; Zhu, L.; Zhai, J.; Qin, Y.; Wang, Z.L. Flexoelectronics of centrosymmetric semiconductors. Nat. Nanotechnol. 2020, 15, 661–667. [Google Scholar] [CrossRef]
- Zhao, M.; Liu, X.; Fan, C.; Lu, C.; Wang, B. Theoretical analysis on the extension of a piezoelectric semi-conductor nanowire: Effects of flexoelectricity and strain gradient. J. Appl. Phys. 2020, 127, 085707. [Google Scholar] [CrossRef]
- Yang, M.-M.; Kim, D.J.; Alexe, M. Flexo-photovoltaic effect. Science 2018, 360, 904–907. [Google Scholar] [CrossRef] [PubMed] [Green Version]
- Shu, L.; Ke, S.; Fei, L.; Huang, W.; Wang, Z.; Gong, J.; Jiang, X.; Wang, L.; Li, F.; Lei, S.; et al. Photoflexoelectric effect in halide perovskites. Nat. Mater. 2020, 19, 605–609. [Google Scholar] [CrossRef]
- Morozovska, A.N.; Eliseev, E.A.; Dovbeshko, G.I.; Glinchuk, M.D.; Kim, Y.; Kalinin, S.V. Flexo-induced ferroelectricity in low dimensional transition metal dichalcogenides. Phys. Rev. B 2020, 102, 075417. [Google Scholar] [CrossRef]
- Morozovska, A.N.; Eliseev, E.A.; Shevliakova, H.V.; Lopatina, Y.Y.; Dovbeshko, G.I.; Glinchuk, M.D.; Kim, Y.; Kalinin, S.V. Correlation between corrugation-induced flexoelectric polarization and conductivity of low-dimensional transition metal dichalcogenides. Phys. Rev. Appl. 2021, 15, 044051. [Google Scholar] [CrossRef]
- Yudin, P.V.; Tagantsev, A.K. Fundamentals of flexoelectricity in solids. Nanotechnology 2013, 24, 432001. [Google Scholar] [CrossRef] [PubMed]
- Mashkevich, V.S.; Tolpygo, K.B. Electrical, optical and elastic properties of diamond type crystals. I. Zh. Eksp. Teor. Fiz. 1957, 32, 520–525, [Sov. Phys. JETP 1957, 5(3), 435–439]. Available online: http://www.jetp.ras.ru/cgi-bin/r/index/r/32/3/p520?a=list (accessed on 24 October 2021).
- Kogan, S.M. Piezoelectric effect under an inhomogeneous strain and an acoustic scattering of carriers of current in crystals. Solid State Phys. 1963, 5, 2829. [Google Scholar]
- Glinchuk, M.; Morozovska, A.N.; Eliseev, E. Ferroelectric thin films phase diagrams with self-polarized phase and electret state. J. Appl. Phys. 2006, 99, 114102. [Google Scholar] [CrossRef] [Green Version]
- Glinchuk, M.; Morozovska, A.N. The internal electric field originating from the mismatch effect and its influence on ferroelectric thin film properties. J. Phys. Condens. Matter 2004, 16, 3517. [Google Scholar] [CrossRef] [Green Version]
- Kohn, W.; Sham, L. Self-consistent equations including exchange and correlation effects. Phys. Rev. 1965, 140, A1133. [Google Scholar] [CrossRef] [Green Version]
- Giannozzi, P.; Andreussi, O.; Brumme, T.; Bunau, O.; Nardelli, M.B.; Calandra, M.; Car, R.; Cavazzoni, C.; Ceresoli, D.; Cococcioni, M.; et al. Advanced capabilities for materials modelling with Quantum ESPRESSO. J. Phys. Condens. Matter 2017, 29, 465901. [Google Scholar] [CrossRef] [Green Version]
- Perdew, J.P.; Burke, K.; Ernzerhof, M. Generalized gradient approximation made simple. Phys. Rev. Lett. 1996, 77, 3865. [Google Scholar] [CrossRef] [PubMed] [Green Version]
- Pack, J.D.; Monkhorst, H.J. “Special points for Brillouin-zone integrations”—A reply. Phys. Rev. B 1977, 16, 1748. [Google Scholar] [CrossRef]
- Methfessel, M.; Paxton, A.T. High-precision sampling for Brillouin-zone integration in metals. Phys. Rev. B 1989, 40, 3616. [Google Scholar] [CrossRef] [Green Version]
- Yu, M.; Trinkle, D. Accurate and efficient algorithm for Bader charge integration. J. Chem. Phys. 2011, 134, 064111. [Google Scholar] [CrossRef] [Green Version]
- The Notebook Archive Entitled “Flexoelectric and Piezoelectric Coupling in a Bended MoS2 Monolayer”. Available online: https://notebookarchive.org/2021-10-9pn1x0f (accessed on 24 October 2021).







| Corrugation | 1% | 2% | 3% | 4% | 5% | 6% | 7% | 8% | 9% | 10% |
|---|---|---|---|---|---|---|---|---|---|---|
| , 1/nm | 1.44 | 1.441 | 1.443 | 1.446 | 1.449 | 1.453 | 1.457 | 1.463 | 1.468 | 1.475 |
| , 10−3e·nm | 0.006 | 0.028 | 0.059 | 0.107 | 0.191 | 0.301 | 0.432 | 0.553 | 0.678 | 0.826 |
| , 10−3e·nm | 0.0001 | −0.006 | −0.004 | −0.059 | −0.062 | −0.048 | −0.039 | −0.078 | −0.142 | −0.166 |
| , 10−3e·nm | −0.997 | −0.979 | −0.979 | −0.982 | −0.978 | −1.018 | −1.058 | −1.043 | −1.002 | −1.017 |
| , 10−3e·nm | 0.066 | 0.122 | 0.174 | 0.325 | 0.341 | 0.382 | 0.448 | 0.530 | 0.596 | 0.67 |
| , 10−3e·nm | 0.481 | 0.959 | 1.441 | 1.906 | 2.389 | 2.867 | 3.334 | 3.797 | 4.258 | 4.707 |
| , 10−3 a.u. | −0.238 | −0.97 | −2.193 | −3.905 | −6.1 | −8.775 | −11.93 | −15.55 | −19.62 | −24.16 |
| , 10−3 nm | 0.02 | 0.0258 | 0.0449 | 1.296 | 2.06 | 2.883 | 3.852 | 5.019 | 6.356 | 7.791 |
| , 10−3 nm | 20.71 | 41.35 | 61.94 | 82.76 | 103.3 | 123.7 | 144 | 164.1 | 184.2 | 204 |
| Curvature, % | ||||
|---|---|---|---|---|
| 1 | −0.0224 | −0.00443 | −0.0338 | 0.00163 |
| 2 | −0.0223 | −0.00409 | −0.131 | −0.0766 |
| 3 | −0.0223 | −0.00389 | −0.156 | −0.0292 |
| 4 | −0.022 | −0.00544 | −0.00983 | −0.0159 |
| 5 | −0.022 | −0.00456 | −0.011 | −0.0103 |
| 6 | −0.022 | −0.00425 | −0.0124 | −0.00573 |
| 7 | −0.0218 | −0.00427 | −0.0132 | −0.00352 |
| 8 | −0.0216 | −0.00442 | −0.0129 | −0.00529 |
| 9 | −0.0214 | −0.00441 | −0.0124 | −0.00759 |
| 10 | −0.0212 | −0.00445 | −0.0122 | −0.00721 |
Publisher’s Note: MDPI stays neutral with regard to jurisdictional claims in published maps and institutional affiliations. |
© 2021 by the authors. Licensee MDPI, Basel, Switzerland. This article is an open access article distributed under the terms and conditions of the Creative Commons Attribution (CC BY) license (https://creativecommons.org/licenses/by/4.0/).
Share and Cite
Shevliakova, H.V.; Yesylevskyy, S.O.; Kupchak, I.; Dovbeshko, G.I.; Kim, Y.; Morozovska, A.N. Flexoelectric and Piezoelectric Coupling in a Bended MoS2 Monolayer. Symmetry 2021, 13, 2086. https://doi.org/10.3390/sym13112086
Shevliakova HV, Yesylevskyy SO, Kupchak I, Dovbeshko GI, Kim Y, Morozovska AN. Flexoelectric and Piezoelectric Coupling in a Bended MoS2 Monolayer. Symmetry. 2021; 13(11):2086. https://doi.org/10.3390/sym13112086
Chicago/Turabian StyleShevliakova, Hanna V., Semen O. Yesylevskyy, Ihor Kupchak, Galina I. Dovbeshko, Yunseok Kim, and Anna N. Morozovska. 2021. "Flexoelectric and Piezoelectric Coupling in a Bended MoS2 Monolayer" Symmetry 13, no. 11: 2086. https://doi.org/10.3390/sym13112086
APA StyleShevliakova, H. V., Yesylevskyy, S. O., Kupchak, I., Dovbeshko, G. I., Kim, Y., & Morozovska, A. N. (2021). Flexoelectric and Piezoelectric Coupling in a Bended MoS2 Monolayer. Symmetry, 13(11), 2086. https://doi.org/10.3390/sym13112086

