The Unruh Effect in Slow Motion
Abstract
1. Introduction
2. Motivation
3. Our Setup
4. Non-Perturbative Time-Evolution
5. Results
6. The Missing Pie
7. Towards Experimental Detection
8. Conclusions
Author Contributions
Funding
Acknowledgments
Conflicts of Interest
Appendix A. Single-Cell Dynamics in the Interaction and Schrödinger Pictures
Appendix B. Gaussian Interpolated Collision Model Formalism
Appendix B.1. Gaussian Quantum Mechanics
- (1)
- density matrices, , are replaced with covariance matrices, , and displacement vectors, , which fully characterize a Gaussian state in phase space;
- (2)
- quadratic Hamiltonians, , are replaced with a quadratic form, F, and a vector, , such that , where is the vector of the system’s quadrature operators;
- (3)
- unitary evolution, , is explicitly implemented as symplectic(-affine) evolution and , where S is a symplectic transformation; that is, S is a transformation which preserves the symplectic form, , (defined via ), in the sense that ;
- (4)
- as a consequence of the formalism, tensor products, , are replaced with (simpler) direct sums, . Correspondingly, partial traces are replaced with an analogous reduction map, M, such that .
Appendix B.2. Gaussian Interpolated Collision Model Formalism


Appendix C. Characterizing Temperature and Thermality of the Final Detector State

Appendix C.1. Thermality Criteria

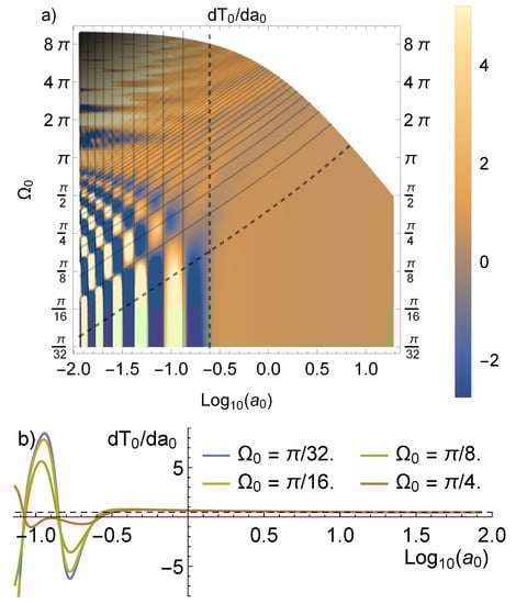
Appendix C.2. Explaining the Bands
Appendix D. Details on Mode Convergence

References
- Fulling, S.A. Nonuniqueness of Canonical Field Quantization in Riemannian Space-Time. Phys. Rev. D 1973, 7, 2850. [Google Scholar] [CrossRef]
- Davies, P.C.W. Scalar particle production in Schwarzschild and Rindler metrics. J. Phys. A 1975, 8, 609. [Google Scholar] [CrossRef]
- Unruh, W.G. Notes on black-hole evaporation. Phys. Rev. D 1976, 14, 870. [Google Scholar] [CrossRef]
- Takagi, S. Vacuum Noise and Stress Induced by Uniform Acceleration: Hawking-Unruh Effect in Rindler Manifold of Arbitrary Dimension. Prog. Theor. Phys. Supp. 1986, 88, 1. [Google Scholar] [CrossRef]
- Crispino, L.C.B.; Higuchi, A.; Matsas, G.E.A. The Unruh effect and its applications. Rev. Mod. Phys. 2008, 80, 787. [Google Scholar] [CrossRef]
- Turner, M.S. Could primordial black holes be the source of the cosmic ray antiprotons? Nature 1982, 297, 379. [Google Scholar] [CrossRef]
- Hawking, S.W. Black hole explosions? Nature 1974, 248, 30. [Google Scholar] [CrossRef]
- Davies, P.C.W. Quantum vacuum noise in physics and cosmology. Chaos 2001, 11, 539. [Google Scholar] [CrossRef]
- Alsing, P.M.; Dowling, J.P.; Milburn, G.J. Ion trap simulations of quantum fields in an expanding universe. Phys. Rev. Lett. 2005, 94, 220401. [Google Scholar] [CrossRef]
- Gibbons, G.W.; Shellard, E.P.S. Tales of Singularities. Science 2002, 295, 1476. [Google Scholar] [CrossRef]
- Vanzella, D.A.T.; Matsas, G.E.A. Decay of accelerated protons and the existence of the fulling-davies-unruh effect. Phys. Rev. Lett. 2001, 87, 151301. [Google Scholar] [CrossRef]
- Taubes, G. String Theorists Find a Rosetta Stone. Science 1999, 285, 512. [Google Scholar] [CrossRef]
- Hossain, G.M.; Sardar, G. Is there unruh effect in polymer quantization? Class. Quantum Gravity 2016, 33, 245016. [Google Scholar] [CrossRef]
- Rovelli, C. LQG predicts the Unruh Effect. Comment to the paper “Absence of Unruh effect in polymer quantization” by Hossain and Sardar. arXiv 2014, arXiv:1412.7827. [Google Scholar]
- Martín-Martínez, E.; Fuentes, I.; Mann, R.B. Using berry’s phase to detect the unruh effect at lower accelerations. Phys. Rev. Lett. 2011, 107, 131301. [Google Scholar] [CrossRef] [PubMed]
- Chen, P.; Tajima, T. Testing unruh radiation with ultraintense lasers. Phys. Rev. Lett. 1999, 83, 256. [Google Scholar] [CrossRef]
- Cozzella, G.; Landulfo, A.G.S.; Matsas, G.E.A.; Vanzella, D.A.T. Proposal for observing the unruh effect using classical electrodynamics. Phys. Rev. Lett. 2017, 118, 161102. [Google Scholar] [CrossRef]
- Unruh, W.G. Experimental black-hole evaporation? Phys. Rev. Lett. 1981, 46, 1351. [Google Scholar] [CrossRef]
- Garay, L.J.; Anglin, J.R.; Cirac, J.I.; Zoller, P. Sonic analog of gravitational black holes in bose-einstein condensates. Phys. Rev. Lett. 2000, 85, 4643. [Google Scholar] [CrossRef]
- Hu, J.; Feng, L.; Zhang, Z.; Chin, C. Quantum simulation of unruh radiation. Nat. Phys. 2019, 15, 785. [Google Scholar] [CrossRef]
- Steinhauer, J. Observation of quantum hawking radiation and its entanglement in an analogue black hole. Nat. Phys. 2016, 12, 959–965. [Google Scholar] [CrossRef]
- Philbin, T.G.; Kuklewicz, C.; Robertson, S.; Hill, S.; König, F.; Leonhardt, U. Fiber-optical analog of the event horizon. Science 2008, 319, 1367. [Google Scholar] [CrossRef]
- Leonhardt, U. A laboratory analogue of the event horizon using slow light in an atomic medium. Nature 2002, 415, 406. [Google Scholar] [CrossRef]
- Nation, P.D.; Blencowe, M.P.; Rimberg, A.J.; Buks, E. Analogue hawking radiation in a dc-squid array transmission line. Phys. Rev. Lett. 2009, 103, 087004. [Google Scholar] [CrossRef]
- Alsing, P.; Dowling, J.; Milburn, G. The unruh effect in an ion trap: An analogy. arXiv 2004, arXiv:0411096. [Google Scholar]
- Horstmann, B.; Reznik, B.; Fagnocchi, S.; Cirac, J.I. Hawking radiation from an acoustic black hole on an ion ring. Phys. Rev. Lett. 2010, 104, 250403. [Google Scholar] [CrossRef]
- Carballo-Rubio, R.; Garay, L.J.; Martín-Martínez, E.; de Ramón, J. Unruh effect without thermality. Phys. Rev. Lett. 2019, 123, 041601. [Google Scholar] [CrossRef]
- Brenna, W.G.; Brown, E.G.; Mann, R.B.; Martín-Martínez, E. Universality and thermalization in the unruh effect. Phys. Rev. D 2013, 88, 064031. [Google Scholar] [CrossRef]
- Rad, N.; Singleton, D. A test of the circular unruh effect using atomic electrons. Eur. Phys. J. D 2012, 66, 258. [Google Scholar] [CrossRef]
- Bell, J.; Leinaas, J. Electrons as accelerated thermometers. Nucl. Phys. B 1983, 212, 131. [Google Scholar] [CrossRef]
- Bell, J.; Leinaas, J. The unruh effect and quantum fluctuations of electrons in storage rings. Nucl. Phys. B 1987, 284, 488. [Google Scholar] [CrossRef]
- Rogers, J. Detector for the temperaturelike effect of acceleration. Phys. Rev. Lett. 1988, 61, 2113. [Google Scholar] [CrossRef]
- Jin, Y.; Hu, J.; Yu, H. Spontaneous excitation of a circularly accelerated atom coupled to electromagnetic vacuum fluctuations. Ann. Phys. 2014, 344, 97. [Google Scholar] [CrossRef]
- Levin, O.; Peleg, Y.; Peres, A. Unruh effect for circular motion in a cavity. J. Phys. Math. Gen. 1993, 26, 3001. [Google Scholar] [CrossRef]
- Unruh, W. Acceleration radiation for orbiting electrons. Phys. Rep. 1998, 307, 163. [Google Scholar] [CrossRef]
- Biermann, S.; Erne, S.; Gooding, C.; Louko, J.; Schmiedmayer, J.; Unruh, W.G.; Weinfurtner, S. Unruh and analogue unruh temperatures for circular motion in 3 + 1 and 2 + 1 dimensions. Phys. Rev. D 2020, 102, 085006. [Google Scholar] [CrossRef]
- Lopp, R.; Martín-Martínez, E.; Page, D.N. Relativity and quantum optics: Accelerated atoms in optical cavities. Class. Quantum Gravity 2018, 35, 224001. [Google Scholar] [CrossRef]
- De Witt, B.S. Quantum gravity: The new synthesis. In General Relativity: An Einstein Centenary Survey; Cambridge University Press: Cambridge, UK, 1980; pp. 680–745. [Google Scholar]
- Cohen-Tannoudji, C.; Dupont-Roc, J.; Grynberg, G. Photons and Atoms: Introduction to Quantum Electrodynamics; Wiley: Hoboken, NJ, USA, 1989. [Google Scholar]
- Scully, M.O.; Zubairy, M.S. Quantum Optics; Cambridge University Press: Cambridge, UK, 1997. [Google Scholar] [CrossRef]
- Martín-Martínez, E.; Rodriguez-Lopez, P. Relativistic quantum optics: The relativistic invariance of the light-matter interaction models. Phys. Rev. D 2018, 97, 105026. [Google Scholar] [CrossRef]
- Lopp, R.; Martín-Martínez, E. Quantum delocalization, gauge and quantum optics: The light-matter interaction in relativistic quantum information. arXiv 2020, arXiv:2008.12785. [Google Scholar]
- Grimmer, D. Interpolated collision model formalism. arXiv 2020, arXiv:2009.10472. [Google Scholar]
- Grimmer, D.; Layden, D.; Mann, R.B.; Martín-Martínez, E. Open dynamics under rapid repeated interaction. Phys. Rev. A 2016, 94, 032126. [Google Scholar] [CrossRef]
- Grimmer, D.; Mann, R.B.; Martín-Martínez, E. Purification in rapid-repeated-interaction systems. Phys. Rev. A 2017, 95, 042114. [Google Scholar] [CrossRef]
- Giovannetti, V.; Palma, G.M. Master equations for correlated quantum channels. Phys. Rev. Lett. 2012, 108, 040401. [Google Scholar] [CrossRef] [PubMed]
- Caves, C.M.; Milburn, G.J. Quantum-mechanical model for continuous position measurements. Phys. Rev. A 1987, 36, 5543. [Google Scholar] [CrossRef]
- Altamirano, N.; Corona-Ugalde, P.; Mann, R.B.; Zych, M. Unitarity, feedback, interactions—Dynamics emergent from repeated measurements. New J. Phys. 2017, 19, 013035. [Google Scholar] [CrossRef]
- Lorenzo, S.; McCloskey, R.; Ciccarello, F.; Paternostro, M.; Palma, G.M. Landauer’s principle in multipartite open quantum system dynamics. Phys. Rev. Lett. 2015, 115, 120403. [Google Scholar] [CrossRef]
- Daryanoosh, S.; Baragiola, B.Q.; Guff, T.; Gilchrist, A. Quantum master equations for entangled qubit environments. Phys. Rev. A 2018, 98, 062104. [Google Scholar] [CrossRef]
- Cusumano, S.; Mari, A.; Giovannetti, V. Interferometric modulation of quantum cascade interactions. Phys. Rev. A 2018, 97, 053811. [Google Scholar] [CrossRef]
- Strasberg, P.; Schaller, G.; Brandes, T.; Esposito, M. Quantum and information thermodynamics: A unifying framework based on repeated interactions. Phys. Rev. X 2017, 7, 021003. [Google Scholar] [CrossRef]
- Lorenzo, S.; Ciccarello, F.; Palma, G.M. Composite quantum collision models. Phys. Rev. A 2017, 96, 032107. [Google Scholar] [CrossRef]
- Cusumano, S.; Mari, A.; Giovannetti, V. Interferometric quantum cascade systems. Phys. Rev. A 2017, 95, 053838. [Google Scholar] [CrossRef]
- Giovannetti, V.; Palma, G.M. Master equation for cascade quantum channels: A collisional approach. J. Phys. At. Mol. Opt. Phys. 2012, 45, 154003. [Google Scholar] [CrossRef]
- Attal, S.; Joye, A. Weak coupling and continuous limits for repeated quantum interactions. J. Stat. Phys. 2007, 126, 1241. [Google Scholar] [CrossRef]
- Bruneau, L.; Joye, A.; Merkli, M. Repeated interactions in open quantum systems. J. Math. Phys. 2014, 55, 075204. [Google Scholar] [CrossRef]
- Adesso, G. Entanglement of gaussian states. arXiv 2007, arXiv:quant-ph/0702069. [Google Scholar]
- Weedbrook, C.; Pirandola, S.; García-Patrón, R.; Cerf, N.J.; Ralph, T.C.; Shapiro, J.H.; Lloyd, S. Gaussian quantum information. Rev. Mod. Phys. 2012, 84, 621. [Google Scholar] [CrossRef]
- Lami, L.; Regula, B.; Wang, X.; Nichols, R.; Winter, A.; Adesso, G. Gaussian quantum resource theories. Phys. Rev. A 2018, 98, 022335. [Google Scholar] [CrossRef]
- Grimmer, D.; Brown, E.; Kempf, A.; Mann, R.B.; Martín-Martínez, E. A classification of open gaussian dynamics. J. Phys. A 2018, 51, 245301. [Google Scholar] [CrossRef]
- Grimmer, D.; Brown, E.; Kempf, A.; Mann, R.B.; Martín-Martínez, E. Gaussian ancillary bombardment. Phys. Rev. A 2018, 97, 052120. [Google Scholar] [CrossRef]
- Forn-Díaz, P.; Lamata, L.; Rico, E.; Kono, J.; Solano, E. Ultrastrong coupling regimes of light-matter interaction. Phys. Rev. A 2019, 91, 025005. [Google Scholar] [CrossRef]
- Smith, A.R.H.; Ahmadi, M. Quantum clocks observe classical and quantum time dilation. Nat. Comm. 2019, 11, 5360. [Google Scholar] [CrossRef] [PubMed]
- Unruh, W.G.; Wald, R.M. What happens when an accelerating observer detects a rindler particle. Phys. Rev. D 1984, 29, 1047. [Google Scholar] [CrossRef]
- Mourou, G.A.; Tajima, T.; Bulanov, S.V. Optics in the relativistic regime. Rev. Mod. Phys. 2006, 78, 309. [Google Scholar] [CrossRef]
- Kazantsev, A.P. The acceleration of atoms by light. In 30 Years of the Landau Institute—Selected Papers; World Scientific: Singapore, 1996; pp. 102–108. [Google Scholar] [CrossRef]
- Livingston, A.B. Physics Division Progress Report for Period Ending September 30, 1988; Oak Ridge National Lab.: Oak Ridge, TN, USA, 1989. [CrossRef][Green Version]


| Tabletop | LIGO-Sized | |
|---|---|---|
| L | ||
| a | ||
| 0.051 | 0.051 | |
| T | ||
Publisher’s Note: MDPI stays neutral with regard to jurisdictional claims in published maps and institutional affiliations. |
© 2021 by the authors. Licensee MDPI, Basel, Switzerland. This article is an open access article distributed under the terms and conditions of the Creative Commons Attribution (CC BY) license (https://creativecommons.org/licenses/by/4.0/).
Share and Cite
Vriend, S.; Grimmer, D.; Martín-Martínez, E. The Unruh Effect in Slow Motion. Symmetry 2021, 13, 1977. https://doi.org/10.3390/sym13111977
Vriend S, Grimmer D, Martín-Martínez E. The Unruh Effect in Slow Motion. Symmetry. 2021; 13(11):1977. https://doi.org/10.3390/sym13111977
Chicago/Turabian StyleVriend, Silas, Daniel Grimmer, and Eduardo Martín-Martínez. 2021. "The Unruh Effect in Slow Motion" Symmetry 13, no. 11: 1977. https://doi.org/10.3390/sym13111977
APA StyleVriend, S., Grimmer, D., & Martín-Martínez, E. (2021). The Unruh Effect in Slow Motion. Symmetry, 13(11), 1977. https://doi.org/10.3390/sym13111977

