Abstract
In this paper, local and nonlocal reductions of two nonisospectral Ablowitz-Kaup-Newell-Segur equations, the third order nonisospectral AKNS equation and the negative order nonisospectral AKNS equation, are studied. By imposing constraint conditions on the double Wronskian solutions of the aforesaid nonisospectral AKNS equations, various solutions for the local and nonlocal nonisospectral modified Korteweg-de Vries equation and local and nonlocal nonisospectral sine-Gordon equation are derived, including soliton solutions and Jordan block solutions. Dynamics of some obtained solutions are analyzed and illustrated by asymptotic analysis.
1. Introduction
The study of the nonisospectral integrable systems has become in recent years a focus of attention within the theory of integrable systems. Compared with the isospectral integrable equations, the nonisospectral integrable equations [1,2,3] are usually used to describe solitary waves in nonuniform media and have time-varying solitary wave solutions. In general, depending on the linear problem, a nonisospectral integrable hierarchy can be derived from the Lax equation, zero curvature equation, or in the frame of Kac-Moody algebra, and so forth [4,5,6]. In Reference [7], Ablowitz, Kaup, Newell and Segur proposed a spectral problem, named Ablowitz-Kaup-Newell-Segur (AKNS) spectral problem,
with spectral parameter and potentials and , which provides integrable backgrounds for several nonlinear systems with physical significance, including the Korteweg-de Vries (KdV) equation, the modified Korteweg-de Vries (mKdV) equation, the sine-Gordon (sG) equation, and the nonlinear Schrödinger (NLS) equation. When , by imposing time evolution
then in terms of the compatibility condition , a nonisospectral AKNS hierarchy can be given. In the nonisospectral AKNS hierarchy, there are two types of hierarchy, which are positive order nonisospectral AKNS hierarchy and negative order nonisospectral AKNS hierarchy. The positive one corresponds to with and the negative one corresponds to with . The nonisospectral AKNS hierarchy was investigated by Chen et al. from the aspect of Lie algebraic structure [8] and then studied by Ma on the Lax representations and Lax operator algebras [9]. Besides, Bäcklund transformation and Darboux transformation were also considered for the nonisospectral AKNS hierarchy [10,11]. For the positive order nonisospectral AKNS hierarchy, one of the prototypical members is the third order nonisospectral AKNS equation, which reads
For the negative order nonisospectral AKNS hierarchy, the typical member is the negative order nonisospectral AKNS equation, that is,
In Equations (3) and (4), . Up to now, several works have been done to search for exact solutions of the nonisospectral AKNS type equations. Soliton solutions for the positive order nonisospectral AKNS hierarchy were obtained through the inverse scattering transform [12]. In References [13,14], Hirota’s bilinear method and double Wronskian technique were used to construct soliton solutions for the second order nonisospectral AKNS equation and the third order nonisospectral AKNS Equation (3). Subsequently, these two methods were applied to investigating soliton solutions of a negative order nonisospectral AKNS equation [15].
The systems with “parity-time symmetry” have drawn much attention in recent years, particularly from the perspective of complete integrability and exact solutions. The “parity-time symmetric” systems are important as theoretically the self-induced potential is invariant. The study of these systems dates back to the pioneering work of Ablowitz and Musslimani [16], where an integrable nonlocal NLS equation was proposed. The corresponding wave propagation in symmetric waveguides and photonic lattices has been demonstrated experimentally. By introducing generalization to the AKNS spectral problem (1) and considering simple symmetry reductions, several reverse space-time and reverse time nonlocal nonlinear integrable equations have been introduced [17]. These include the reverse space-time, and in some cases reverse time, nonlocal NLS, mKdV, sG, (1 + 1) and (2 + 1) dimensional three-wave interaction, derivative NLS, “loop soliton” and Davey-Stewartson equations. The nonlocal integrable systems can be usually applied to describe the two-place (Alice-Bob) physics or multi-place physics (see References [18,19,20]). In Reference [21], Yang and Yang systematically studied the transformations between some nonlocal and local integrable equations. Examples include nonlocal NLS and Davey-Stewartson equations, a nonlocal derivative NLS equation, the reverse space-time complex mKdV equation, and so forth. To date, a variety of nonlocal integrable systems have been investigated, such as multidimensional nonlocal integrable system [22], semi-discrete and discrete nonlocal integrable system [23,24], nonlocal integrable hierarchy [25], and so on. With regards to solutions for nonlocal integrable systems, some approaches have been developed in recent years, such as inverse scattering transform [26], Darboux transformation [27,28,29,30,31], the bilinear method [32,33,34,35] and the Cauchy matrix approach [36].
In spite of many works on isospectral nonlocal integrable systems, there was little work on the nonisospectral nonlocal integrable systems. Very recently, from one of the second order nonisospectral AKNS equations, Liu, Wu and Zhang [37] investigated a nonlocal Gross-Pitaevskii equation and constructed its 1-soliton solution, 2-soliton solutions and Jordan block solutions. Feng and Zhao [38] studied the nonlocal reductions of another second order nonisospectral AKNS equation. As a result, a reverse time nonlocal NLS equation and a reverse space nonlocal NLS equation were derived. Soliton solutions of the resulting nonlocal equations and their dynamics were presented.
In this paper, we are interested in the nonlocal versions of the nonisospectral mKdV-I equation
and the nonisospectral mKdV-II equation
Here and hereafter and asterisk denotes the complex conjugate. Furthermore, we will study the nonlocal versions of the nonisospectral sG-I equation
and the nonisospectral sG-II equation
We will take into account of bilinearization-reduction technique and derive double Wronskian solutions for the local and nonlocal nonisospectral mKdV equations and the local and nonlocal nonisospectral sG equations. In what follows, we call Equation (3) by nAKNS(3), respectively, Equation (4) by nAKNS(-1) for short. In addition, we name Equations (5)–(8) nmKdV-I, nmKdV-II, nsG-I and nsG-II, respectively.
The outline of this paper is as follows. In Section 2, we recall the Lax representations of the Equations (3) and (4). In Section 3 and Section 4, we present the real local and nonlocal reductions and the complex local and nonlocal reductions of the Equations (3) and (4), respectively. Soliton solutions and Jordan block solutions for the resulting equations are derived from the solutions of the nAKNS(3) Equation (3) and the nAKNS(-1) Equation (4) by considering suitable constraints on the elements of the double Wronski determinant. Dynamics of some obtained solutions are analyzed and illustrated by asymptotic analysis. Section 5 is devoted to the conclusions.
2. Lax Representations of the Equations (3) and (4)
In this section, we briefly recall the Lax representations of the Equations (3) and (4). For the details one can refer to References [15,39]. In what follows, we appoint that represents the transpose of matrix K.
We now pay attention to the spectral problem (1) and time evolution (2). Their compatibility condition or moreover zero curvature equation gives rise to
where is a constant and
Setting , and expanding into polynomial as
by imposing some special choices on , from (9b) one can derive the positive order nonisospectral AKNS hierarchy
In particular, for one can derive the nAKNS(3) Equation (3) with
Setting and expanding into
then by analogous analysis one can obtain the negative order nonisospectral AKNS hierarchy
where a formal expression of was given in Reference [40] (see also Reference [41]). We rewrite (15) as
and know that the first member is (4). The expressions of A, B and C in (2) for the Equation (4) read
3. Local and Nonlocal Reductions of the nAKNS(3) Equation (3)
In this section, we shall consider the local and nonlocal reductions of the nAKNS(3) Equation (3). As a result, nonlocal version of nmKdV-I Equation (5) and nmKdV-II Equation (6) will be studied. The approach is bilinearization-reduction technique, which is originally due to Chen, Deng, Lou and Zhang (see Reference [34]). We first recall the bilinearization and double Wronskian solutions to the nAKNS(3) Equation (3) (see Reference [14]) and then investigate its real local and nonlocal reductions and complex local and nonlocal reductions. Moreover, soliton solutions and Jordan block solutions, as well as the dynamics will be presented. For notational brevity, in what follows, we omit the index of each unit matrix I to indicate its size.
3.1. Double Wronskian Solutions
Through the dependent variable transformations
the nAKNS(3) Equation (3) is written as the following bilinear form
where s is an auxiliary variable and D is the well-known Hirota’s bilinear operator [42] defined by
The double Wronskian is a determinant of a double Wronski matrix composed by two basic column vectors, that is,
where the basic column vectors are
Following the standard shorthand notation given in Reference [43], the th-order double Wronskian (20) is indicated by
Double Wronski determinant solutions of bilinear form (19) are presented by the following theorem.
Theorem 1.
The double Wronski determinants
solve the bilinear system (19), provided that ϕ and ψ satisfy the following conditions
respectively, where is an matrix satisfying .
The proof of the above theorem is similar to the one given in Reference [14], where in that case is diagonal form. To proceed, let us consider the condition equation set (24), which implies
where
are two constant column vectors.
3.2. Real Local and Nonlocal Reductions
In this subsection, we will apply the reduction technique to constructing solutions for the nonlocal version of nmKdV-I Equation (5). The idea is that we impose suitable constraints on the pair in the double Wronskian so that (18) coincides with the reduction (26).
3.2.1. Reduction Procedure
Let us now consider the real local and nonlocal reductions of the nAKNS(3) Equation (3). We set
Applying (26) to (3), we obtain
When , Equation (27) is nothing but exactly the nmKdV-I Equation (5). When , Equation (27) is referred to as reverse space nmKdV-I equation. It is worthy to note that the nonlocal reduction of nAKNS(3) Equation (3) is different from the nonlocal reduction of the third order isospectral AKNS equation
Equation (28) admits reverse space-time reduction, and the resulting equation is reverse space-time mKdV equation (cf. Reference [17]). While here for the nAKNS(3) Equation (3), the nonlocal reduction is reverse space form. This maybe the effect of the coefficient x in the nAKNS(3) Equation (3). We observe that Equation (27) is preserved under transformation . Besides, Equation (27) with and with can be transformed from each other by taking .
We now consider the real local and nonlocal reductions on the level of the exact solutions of the nAKNS(3) Equation (3). For this purpose, we take . Double Wronskian solutions to Equation (27) can be summarized in the following theorem.
Theorem 2.
Exact solutions of the local and nonlocal nmKdV-I Equation (27) are given by
in which ϕ and ψ are the th order column vectors defined by (25), and satisfy the following relation
where is a constant matrix satisfying
and we require .
Proof.
We now apply (30) to considering the relations among variables f, g and h. To achieve this, we introduce a notation
where a, b = . Following this notation, we can rewrite variables f, g and h as
By using the property , we have
and
Thus from the transformation (18), we identify that
which coincides with the reduction (26) for the local and nonlocal nmKdV-I Equation (27). Therefore, we complete the verification. ☐
3.2.2. Some Examples of Solutions
To present the explicit solutions of the local and nonlocal nmKdV-I Equation (27), we need to solve the matrix Equation (31). The first equation in (31) is the famous Sylvester Equation [44], which appears frequently in many areas of applied mathematics. To derive its solutions, we take and T as the block matrices
with . Substituting (38) into Equation (31) and noting that , one can directly get the solutions for and T. We list the solutions to (31) with different in Table 1.
Table 1.
and T for Equation (31).
In the following, we consider two types of solutions for the local and nonlocal nmKdV-I Equation (27), which are soliton solutions and Jordan block solutions. For the sake of brevity, we introduce some notations
where and are complex constants.
Soliton solutions: Let be the diagonal matrix, that is,
Remark 1.
In the case of , there is no restriction between and . We can take as
Remark 2.
Because of the block structure of matrix T, one can easily observe that α can be gauged to be . This means the solutions obtained for the case are independent of phase parameters in α, that is, the initial phase has always to be zero. Soliton solutions and Jordan block solution listed below can demonstrate this character.
When , we get the 1-soliton solutions
If we impose into cases , we can get other 1-soliton solutions for these two cases
When , one can get the 2-soliton solutions. For convenience, here we just write down the 2-soliton solutions with . They read
in which
Jordan block solutions: To present elements of the basic Wronskian column vector of this case, we first introduce lower triangular Toeplitz (LTT) matrices which are defined as
Note that all the LTT matrices of same order compose a commutative set in terms of matrix product. Canonical form of such a matrix is a Jordan matrix. LTT matrices play an important role in generating Jordan block (or multiple-pole or limit) solutions (cf. References [45,46]).
We take
Similar to the discussion of soliton solutions, in this case has two expressions with components
or
When , we only list the solutions in the case of and , which are
3.2.3. Dynamics
Now let us consider the dynamics of the obtained 1-soliton solution, 2-soliton solutions and Jordan block solutions, where we need to take in order to guarantee the real properties of components and . It is obvious that and for . With no loss of generality we just consider the dynamics of and . We first identify the dynamics of 1-soliton solution given by (42a), (42c) and (43a). Solution (42a) is nonsingular soliton wave with initial phase . Moreover, the part defines a time varying amplitude due to the nonisospectral effect. The top trace is given by the point trace
Furthermore,
implies the time-varying velocity of the wave. For the solution (42c), it is easy to find that for fixed t, as and as . For the solution (43a), one can find that it is exactly the solution (42a) with , which appears as a stationary soliton with top trace . We illustrate these three solitons in Figure 1.
We next to pay attention to the 2-soliton solutions (44). Since and are functions of t, it is intractable to make asymptotic analysis as usual [47]. Here, we only depict (44a) and (44c) in Figure 2. We illustrate the Jordan block solutions (48) in Figure 3.
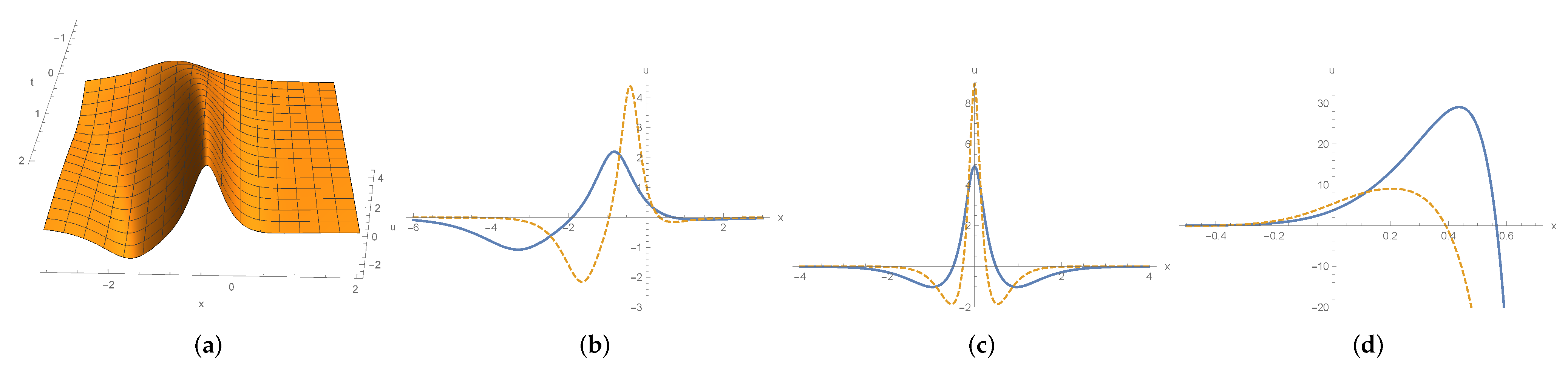
Figure 2.
(a) shape and motion with u given by (44a) for , , and . (b) waves in solid and dotted line stand for plot (a) at and , respectively. (c) shape and motion with u given by (44c) for and . (d) waves in solid and dotted line stand for plot (c) at and , respectively.
Figure 3.
(a) shape and motion with u given by (48a) for and . (b) waves in solid and dotted line stand for plot (a) at and , respectively. (c) waves in solid and dotted line stand for (48b) for at and , respectively. (d) waves in solid and dotted line stand for (48c) for at and , respectively.
As shown in Figure 2, for fixed t, solution (44c) is an even function of x and also appears as stationary solitons. For the Jordan block solution (48c), one can notice that it is a stationary wave and is symmetric with respect to x.
3.3. Complex Local and Nonlocal Reductions
In this subsection, we mainly realize the complex local and nonlocal reductions of the nAKNS(3) Equation (3). We impose complex reduction
into (3) and then catch the complex equation
which is the local nmKdV-II Equation (6) when and the nonlocal nmKdV-II equation when . Equation (52) is preserved under transformations and . Since the discussion is similar to the real reduction, here we skip the proof and only present the related constraint conditions and solutions of Equation (52) in the following theorem.
Theorem 3.
We skip the proof here, which is similar to the one for Theorem 2. Based on the Theorem 3 we know that together with
solves the local and nonlocal nmKdV-II Equation (52), where is given by (25) and and T satisfy the constraint relations (55).
In order to solve the constraint Equations (55), we still decompose matrices and T as (38). We list the solutions to (55) in Table 2.
Table 2.
and T for Equation (55).
Since the involvement of complex conjugate, here we just consider the soliton solutions for the local and nonlocal nmKdV-II Equation (52). For convenience, we denote
where are complex constants. Soliton solutions can be derived by taking
In particular, with different , the 1-soliton solution of Equation (52) can be described as
where means module.
Now let us consider the dynamics of solutions (59). We denote as and substitute it back into (57) with . Equating the real part and imaginary part, the result is
Taking into (59), we rewrite it as
To proceed, we present an analysis of the dynamics of and . For the solution (61a), we know that
The part implies a time varying amplitude, which tends to zero as . Besides, the part is Gaussian-distributed with respect to x for a given t. Figure 4 shows that the central amplitude is higher than both the background and the amplitude of this soliton. Thus we view central peak as a rogue wave. The top trace of (62) is
and the traveling speed is
When , (62) exhibits a stationary rogue wave with top trace .
Figure 4.
Shape and motion of (62). (a) a stationary rogue wave with and . (b) waves in solid and dotted line stand for plot (a) at and , respectively. (c) a moving rogue wave with , and . (d) waves in solid and dotted line stand for plot (c) at and , respectively.
For solution (61c) we observe that
When , has singularities along
While when , is a nonsingular wave. For fixed t, it tends to zero as and tends to as . Because of the involvement of cosine function in denominator, there is quasi-periodic phenomenon. We depict this solution in Figure 5.
Figure 5.
given by (65) for . (a) shape and motion with and ; (b) waves in solid and dotted line stand for plot (a) at and , respectively. (c) wave shape with at .
4. Local and Nonlocal Reductions of the nAKNS(-1) Equation (4)
In this section, we shall use a similar strategy to consider the local and nonlocal reductions of the nAKNS(-1) Equation (4). Real nonlocal reduction and complex nonlocal reduction will be applied to the nAKNS(-1) Equation (4). Consequently, a nonlocal nsG-I equation (real form) and a nonlocal nsG-II equation (complex form) will be presented. Soliton solutions and Jordan block solutions for the local and nonlocal nsG-I equations and local and nonlocal nsG-II equations will be discussed. Dynamics will also be studied.
4.1. Double Wronskian Solutions
Before considering the local and nonlocal reductions we reveal the bilinearization and double Wronskian solutions for the nAKNS(-1) Equation (4).
Through the dependent variable transformations
the nAKNS(-1) Equation (4) is transformed into the bilinear form
Double Wronski determinant solutions of bilinear form (68) are presented by the following theorem.
Theorem 4.
The double Wronski determinants
solve the bilinear system (68), provided that ϕ and ψ satisfy the following condition equation set
respectively, where is an matrix satisfying .
Solving the condition equation set (70), we know that the column vectors and are given by
where and are two constant column vectors given by (25b).
In the following two subsections, we consider the real local and nonlocal reductions and the complex local and nonlocal reductions of the nAKNS(-1) Equation (4), respectively. We take and follow the ideas of Section 3.1 and Section 3.2. We will see that the nonlocal nsG-I equation and the nonlocal nsG-II equation are also reverse space type.
4.2. Real Local and Nonlocal Reductions
Applying constraint
to the nAKNS(-1) Equation (4), we reach to equation
which is the local nsG-I Equation (7) when and the nonlocal nsG-I Equation when . It is easy to understand that Equation (73) is preserved under transformation . Meanwhile, Equation (73) with and with can be transformed from each other by taking .
Remark 3.
Similar to the isospectral case (cf. Reference [34]), we view the Equation (7) with as a nonpotential form of the nonisospectral sG equation
In fact, we introduce an auxiliary function ρ satisfying , then (7) yields
Via the transformations (cf. Reference [48,49])
system (75) can be transformed into
Thus we call the Equation (7) with as a nonpotential nonisospectral sG equation.
Analogous to the previous analysis, double Wronski determinant solutions to local and nonlocal nsG-I Equation (73) can be summerized by the following theorem.
Theorem 5.
4.2.1. Some Examples of Solutions
We shall now derive, starting from (79), solutions for the local and nonlocal nsG-I Equation (73). We take and T as the block matrices
with . Substituting (80) into Equation (79) and performing straightforward calculation, one can realize the relations between and . In addition, the form of T can be determined. We list the solutions to (79) with different in Table 3.
Table 3.
and T for Equation (79).
To proceed, we introduce two notations
where are complex constants. We will now list soliton solutions and Jordan block solutions to the Equation (73) in terms of the different forms of and .
Soliton solutions: Let be the diagonal matrix
Then for cases , one has to take
While for cases , can be taken as (83) or
We can also observe that solutions in the cases are independent of phase parameters in , since it is gauged to be . The 1-soliton solutions read
where is defined by (39).
When , we list the 2-soliton solutions with , which are
where
Jordan block solutions: We take
Then with different , has two expressions with components
or
When , we give the solutions in the case of and , which are
4.2.2. Dynamics
We now examine the dynamics of some obtained solutions, where we take in order to guarantee the real properties of components and . Here we just consider the dynamics of and without loss of generality. To proceed, we consider the 1-soliton solution (85a). This is a nonsingular soliton wave with initial phase and asymptotically follows:
To continue we next consider (85c) and (85e). The solution (85c) is symmetric with respect to x and describes a stationary wave. With regards to the solution (85e), for fixed t, it tends to zero as and tends to ∞ as . We depict these solitons in Figure 6.
Figure 6.
(a) shape and motion with u given by (85a) for and . (b) waves in solid line and dotted line stand for plot (a) at and , respectively. (c) shape and motion with u given by (85c) for . (d) shape and motion with u given by (85e) for and .
For the 2-soliton solutions (86) and Jordan block solutions (90), one can find that in (86c) and (90b) are even functions of x and describe stationary waves. We illustrate them in Figure 7 and Figure 8.
Figure 7.
(a) shape and motion with u given by (86a) for , , and . (b) waves in solid and dotted line stand for plot (a) at and , respectively. (c) shape and motion with u given by (86c) for and . (d) waves in solid and dotted line stand for plot (c) at and , respectively.
Figure 8.
(a) shape and motion with u given by (90a) for and . (b) waves in solid and dotted line stand for plot (a) at and , respectively. (c) waves in solid and dotted line stand for (90b) for at and , respectively. (d) waves in solid and dotted line stand for (90c) for at and , respectively.
4.3. Complex Local and Nonlocal Reductions
Now let us consider the complex local and nonlocal reductions of the nAKNS(-1) Equation (4). By the constraint
Equation (4) leads to
which is the local nsG-II Equation (8) when and the nonlocal nsG-II equation when . Equation (93) is preserved under transformations and .
Solutions of Equation (93) are expressed by the following theorem.
Theorem 6.
We list the solutions to (95) in the following table.
We denote
and consider diagonal form
Then by Table 4 soliton solutions of Equation (93) can be given. Particularly, when , the 1-soliton solutions can be described as
Table 4.
and T for Equation (95).
To discuss the dynamics of and , we rewrite with
Taking into (98a) and by direct calculation, we have
which appears a soliton wave with time-dependent amplitude and top trace . The velocity is . When , (100) exhibits a stationary wave. We depict this solution in Figure 9.
Figure 9.
Shape and motion of (100). (a) a stationary soliton wave with and . (b) waves in solid and dotted line stand for plot (a) at and , respectively. (c) a moving soliton wave with , and . (d) waves in solid and dotted line stand for plot (c) at and , respectively.
Analogously, for solution (98c) we get
When , it has singularities along
while when , it is nonsingular. There is also quasi-periodic phenomenon since the involvement of cosine function in denominator. We depict this solution in Figure 10.
Figure 10.
given by (101) for . (a) shape and motion with and ; (b) wave shape at and , respectively. (c) wave shape with at .
5. Conclusions
In this paper, we have investigated the local and nonlocal reductions for the nAKNS(3) Equation (3) and the nAKNS(-1) Equation (4). The resulting equations include real local and nonlocal nmKdV equations, complex local and nonlocal nmKdV equations, real local and nonlocal nsG equations and complex local and nonlocal nsG equations. Different from the isospectral case, the nonlocal nmKdV equations and nonlocal nsG equations are reverse space type. By imposing constraint conditions on the two basic vectors in the double Wronskian solutions of the nAKNS(3) Equation (3) and the nAKNS(-1) Equation (4), we have presented 1-soliton solution, 2-soliton solutions and Jordan block solutions for the obtained equations. Dynamics for some solutions are analyzed with graphical illustration. For the complex local nmKdV equation, because of the effect of time-dependent amplitude, the 1-soliton solutions in this case lead to rogue wave, which “appears from nowhere and disappears without a trace”. For the complex nonlocal nmKdV equation and complex nonlocal nsG equation, their 1-soliton solutions exhibit quasi-periodic phenomenon. In recent papers [50,51], soliton solutions for two nonisospectral semi-discrete AKNS equations were considered. How to construct their nonlocal versions and derive their solutions are interesting questions worth consideration. We hope that the results given in the present paper can be useful to study the nonlocal integrable system, specially to the nonisospectral nonlocal integrable system.
Author Contributions
All the authors contributed equally to the work. All authors read and approved the final manuscript.
Funding
This project is supported by the Natural Science Foundation of China (Nos. 12071432, 11401529) and the Natural Science Foundation of Zhejiang Province (Nos. LY17A010024, LY18A010033).
Institutional Review Board Statement
“Not applicable” for studies not involving humans or animals.
Informed Consent Statement
“Not applicable” for studies not involving humans.
Acknowledgments
We are very grateful to the reviewers for the invaluable and expert comments.
Conflicts of Interest
The authors declare no conflict of interest.
References
- Chen, H.; Liu, C.S. Solitons in nonuniform media. Phys. Rev. Lett. 1976, 37, 693–697. [Google Scholar] [CrossRef]
- Hirota, R.; Satsuma, J. N-soliton solution of the KdV equation with loss and nonuniformity terms. J. Phys. Soc. Jpn. 1976, 41, 2141–2142. [Google Scholar] [CrossRef]
- Calogero, F.; Degasperis, A. Conservation laws for classes of nonlinear evolution equations solvable by the spectral transform. Commun. Math. Phys. 1978, 63, 155–176. [Google Scholar] [CrossRef]
- Ma, W.X. An approach for constructing nonisospectral hierarchies of evolution equations. J. Phys. A Gen. Math. 1992, 25, L719–L726. [Google Scholar] [CrossRef]
- Ma, W.X. The algebraic structure of zero curvature representations and application to coupled KdV systems. J. Phys. A Gen. Math. 1993, 26, 2573–2582. [Google Scholar] [CrossRef]
- Ma, W.X. A simple scheme for generating nonisospectral flows from the zero curvature representation. Phys. Lett. A 1993, 179, 179–185. [Google Scholar] [CrossRef]
- Ablowitz, M.J.; Kaup, D.J.; Newell, A.C.; Segur, H. Nonlinear-Evolution Equations of Physical Significance. Phys. Rev. Lett. 1973, 31, 125–127. [Google Scholar] [CrossRef]
- Dengyuan, C.; Hangwei, Z. Lie algebraic structure for the AKNS system. J. Phys. A Math. Gen. 1991, 24, 377–383. [Google Scholar] [CrossRef]
- Ma, W.X. Lax representations and Lax operator algebras of isospectral and nonisospectral hierarchies of evolution equations. J. Math. Phys. 1992, 33, 2464–2476. [Google Scholar] [CrossRef]
- Tian, C.; Zhang, Y.J. Bäcklund transformations for the isospectral and nonisospectral AKNS hierarchies. J. Math. Phys. 1990, 31, 2150–2154. [Google Scholar] [CrossRef]
- Zhou, L. Darboux transformation for the nonisospectral AKNS system. Phys. Lett. A 2005, 345, 314–322. [Google Scholar] [CrossRef]
- Ning, T.-K.; Chen, D.-Y.; Zhang, D.-J. The exact solutions for the nonisospectral AKNS hierarchy through the inverse scattering transform. Phys. A Stat. Mech. Appl. 2004, 339, 248–266. [Google Scholar] [CrossRef]
- Sun, Y.P.; Bi, J.B.; Chen, D.Y. N-soliton solutions and double Wronskian solution of the non-isospectral AKNS equation. Chaos Solitons Fract. 2005, 26, 905–912. [Google Scholar] [CrossRef]
- Bi, J.B.; Sun, Y.P.; Chen, D.Y. Soliton solutions to the 3rd nonisospectral AKNS system. Physica A 2006, 364, 157–169. [Google Scholar] [CrossRef]
- Ji, J. Soliton solutions for a negative order non-isospectral AKNS equation. Nonlinear Anal. 2009, 71, 4034–4046. [Google Scholar] [CrossRef]
- Ablowitz, M.J.; Musslimani, Z.H. Integrable nonlocal nonlinear Schrödinger equation. Phys. Rev. Lett. 2013, 110, 064105. [Google Scholar] [CrossRef]
- Ablowitz, M.J.; Musslimani, Z.H. Integrable nonlocal nonlinear equations. Stud. Appl. Math. 2016, 139, 7–59. [Google Scholar] [CrossRef]
- Lou, S.Y.; Huang, F. Alice-Bob physics: Coherent solutions of nonlocal KdV systems. Sci. Rep. 2017, 7, 869. [Google Scholar] [CrossRef]
- Lou, S.Y. Alice-Bob systems, symmetry invariant and symmetry breaking soliton solutions. J. Math. Phys. 2018, 59, 083507. [Google Scholar] [CrossRef]
- Lou, S.Y. Multi-place physics and multi-place nonlocal systems. Commun. Theor. Phys. 2020, 7, 057001. [Google Scholar] [CrossRef]
- Yang, B.; Yang, J.K. Transformations between nonlocal and local integrable equations. Stud. Appl. Math. 2017, 40, 178–201. [Google Scholar]
- Fokas, A.S. Integrable multidimensional versions of the nonlocal nonlinear Schrödinger equation. Nonlinearity 2016, 29, 319–324. [Google Scholar] [CrossRef]
- Sarma, A.K.; Miri, M.A.; Musslimani, Z.H.; Christodoulides, D.N. Continuous and discrete Schrödinger systems with parity-time-symmetric nonlinearities. Phys. Rev. E 2014, 89, 052918. [Google Scholar] [CrossRef] [PubMed]
- Zhang, D.D.; Van Der Kamp, P.H.; Zhang, D.J. Multi-component extension of CAC systems. SIGMA 2020, 16, 060. [Google Scholar] [CrossRef]
- Wang, J.; Wu, H.; Zhang, D.J. Solutions of the nonlocal (2+1)-D breaking solitons hierarchy and the negative order AKNS hierarchy. Commun. Theor. Phys. 2020, 72, 045002. [Google Scholar] [CrossRef]
- Ablowitz, M.J.; Musslimani, Z.H. Inverse scattering transform for the integrable nonlocal nonlinear Schrödinger equation. Nonlinearity 2016, 29, 915–946. [Google Scholar] [CrossRef]
- Li, M.; Xu, T. Dark and antidark soliton interactions in the nonlocal nonlinear Schrödinger equation with the self-induced parity-time-symmetric potential. Phys. Rev. E 2015, 91, 033202. [Google Scholar] [CrossRef]
- Song, C.Q.; Xiao, D.M.; Zhu, Z.N. Reverse space-time nonlocal Sasa-Satsuma equation and its solutions. J. Phys. Soc. Jpn. 2017, 86, 054001. [Google Scholar] [CrossRef]
- Yan, Z. Integrable PT-symmetric local and nonlocal vector nonlinear Schrödinger equations: A unified two-parameter model. Appl. Math. Lett. 2015, 47, 61–68. [Google Scholar] [CrossRef]
- Zhou, Z.X. Darboux transformations and global solutions for a nonlocal derivative nonlinear Schrödinger equation. Commun. Nonlinear Sci. Num. Simulat. 2018, 62, 480–488. [Google Scholar] [CrossRef]
- Zhou, Z.X. Darboux transformations and global explicit solutions for nonlocal Davey-Stewartson I equation. Stud. Appl. Math. 2018, 141, 186–204. [Google Scholar] [CrossRef]
- Xu, Z.X.; Chow, K.W. Breathers and rogue waves for a third order nonlocal partial differential equation by a bilinear transformation. Appl. Math. Lett. 2016, 56, 72–77. [Google Scholar] [CrossRef]
- Chen, K.; Zhang, D.J. Solutions of the nonlocal nonlinear Schrödinger hierarchy via reduction. Appl. Math. Lett. 2018, 75, 82–88. [Google Scholar] [CrossRef]
- Chen, K.; Deng, X.; Lou, S.Y.; Zhang, D.J. Solutions of local and nonlocal equations reduced from the AKNS hierarchy. Stud. Appl. Math. 2018, 141, 113–141. [Google Scholar] [CrossRef]
- Feng, W.; Zhao, S.L.; Sun, Y.Y. Double Casoratian solutions to the nonlocal semi-discrete modified Korteweg-de Vries equation. Int. J. Mod. Phys. B 2020, 34, 2050021. [Google Scholar] [CrossRef]
- Feng, W.; Zhao, S.L. Cauchy matrix type solutions for the nonlocal nonlinear Schrödinger equation. Rep. Math. Phys. 2019, 84, 75–83. [Google Scholar] [CrossRef]
- Liu, S.M.; Wu, H.; Zhang, D.J. New dynamics of the classical and nonlocal Gross-Pitaevskii equation with a parabolic potential. Rep. Math. Phys. 2020, 86, 271–292. [Google Scholar] [CrossRef]
- Feng, W.; Zhao, S.L. Soliton solutions to the nonlocal non-isospectral nonlinear Schrödinger equation. Int. J. Mod. Phys. B 2020, 34, 2050219. [Google Scholar] [CrossRef]
- Chen, D.Y. Introduction of Soliton Theory; Science Press: Beijing, China, 2006. (In Chinese) [Google Scholar]
- Zhang, D.J.; Ji, J.; Zhao, S.L. Soliton scattering with amplitude changes of a negative order AKNS equation. Phys. D Nonlinear Phenom. 2009, 238, 2361–2367. [Google Scholar] [CrossRef]
- Dikey, L.A. Soliton Equations and Hamiltonian Systems; World Scientific: Singapore, 1991. [Google Scholar]
- Hirota, R. The Direct Methods in Soliton Theory; Cambridge University Press: Cambridge, UK, 2004. [Google Scholar]
- Freeman, N.C.; Nimmo, J.J.C. Soliton solutions of the KdV and KP equations: The Wronskian technique. Phys. Lett. A 1983, 95, 1–3. [Google Scholar] [CrossRef]
- Sylvester, J. Sur l’equation en matrices px = xq. C. R. Acad. Sci. Paris 1884, 99, 115–116. [Google Scholar]
- Zhang, D.J. Notes on solutions in Wronskian form to soliton equations: KdV-type. arXiv 2006, arXiv:nlin.SI/0603008. [Google Scholar]
- Zhang, D.J.; Zhao, S.L.; Sun, Y.Y.; Zhou, J. Solutions to the modified Korteweg-de Vries equation (review). Rev. Math. Phys. 2014, 26, 14300064. [Google Scholar] [CrossRef]
- Hietarinta, J. Scattering of solitons and dromions. In Scattering: Scattering and Inverse Scattering in Pure and Applied Science; Pike, R., Sabatier, P., Eds.; Academic Press: London, UK, 2002; pp. 1773–1791. [Google Scholar]
- Gibbon, J.D.; James, I.N.; Moroz, I.M. An example of soliton behavior in a rotating baroclinic fluid. Proc. R. Soc. Lond. A 1979, 367, 219–237. [Google Scholar]
- Hirota, R.; Tsujimoto, S. Note on “New coupled integrable dispersionless equations”. J. Phys. Soc. Jpn. 1994, 63, 3533. [Google Scholar] [CrossRef]
- Zhao, S.L. Soliton solutions for a nonisospectral semi-discrete Ablowitz-Kaup-Newell-Segur equation. Mathematics 2020, 8, 1889. [Google Scholar] [CrossRef]
- Silem, A.; Wu, H.; Zhang, D.J. Discrete rogue waves and blow-up from solitons of a nonisospectral semi-discrete nonlinear Schrödinger equation. arXiv 2020, arXiv:2011.03285v1. [Google Scholar]
Publisher’s Note: MDPI stays neutral with regard to jurisdictional claims in published maps and institutional affiliations. |
© 2020 by the authors. Licensee MDPI, Basel, Switzerland. This article is an open access article distributed under the terms and conditions of the Creative Commons Attribution (CC BY) license (http://creativecommons.org/licenses/by/4.0/).









