Linear and Non-Linear Middle Infrared Spectra of Penicillin G in the CO Stretching Mode Region
Abstract
1. Introduction
2. Experimental Section
2.1. Materials
2.2. Instrumental Setup
2.3. Signal Acquisition, Data Treatment and Calculations
3. Results and Discussion
3.1. FT-IR Spectra
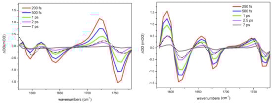
3.2. Broadband Pump/Probe Experiments
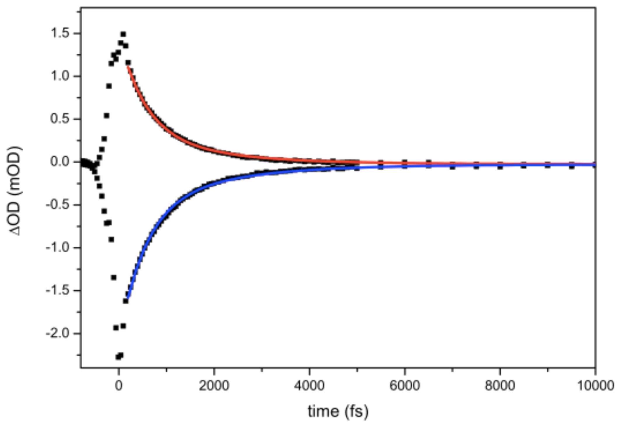
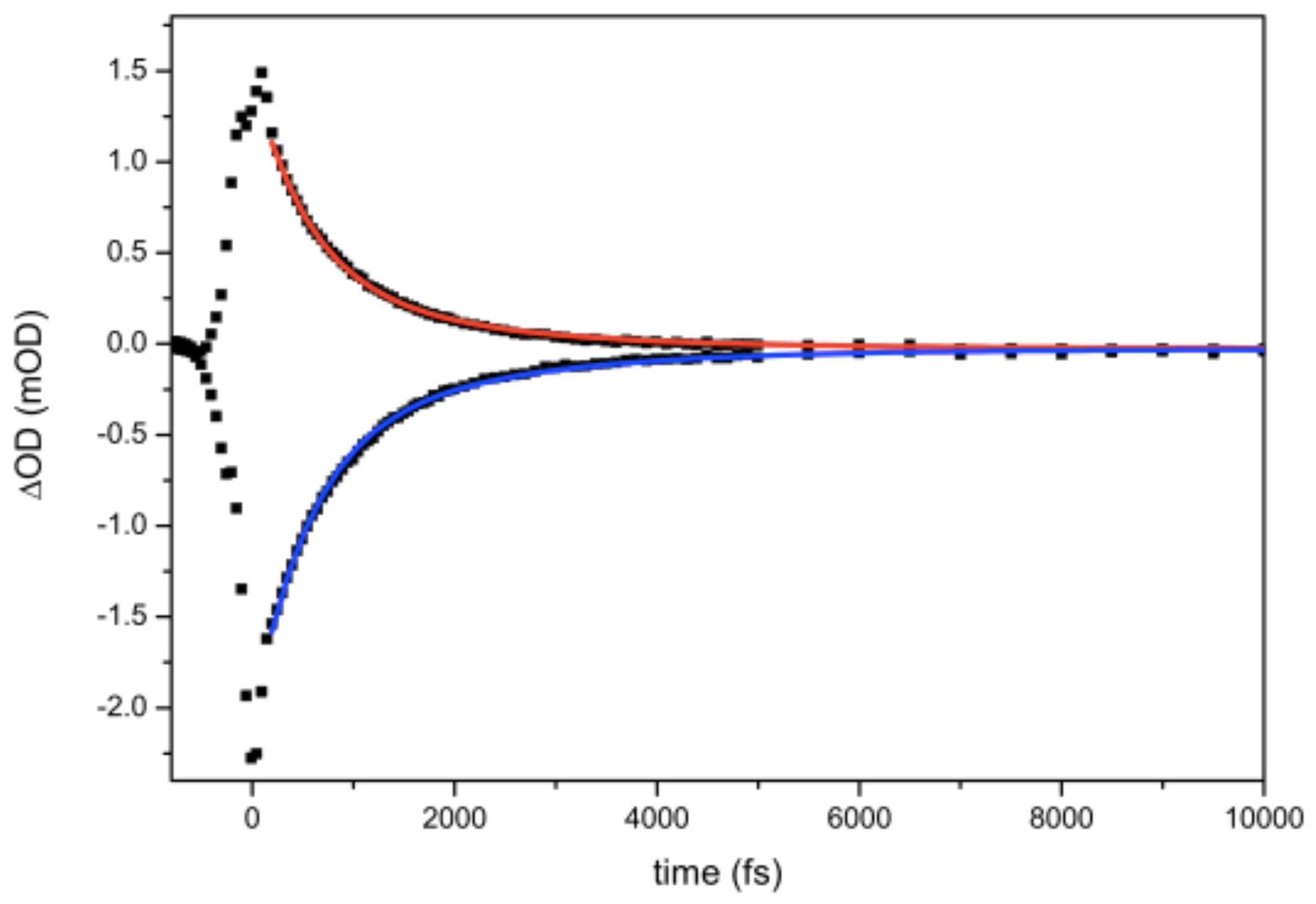
3.3. Vibrational Relaxation
3.4. Evaluation of the Coupling Constants
4. Conclusions
Author Contributions
Funding
Data Availability Statement
Acknowledgments
Conflicts of Interest
References
- Le Sueur, A.L.; Horness, R.E.; Thielges, M.C. Applications of two-dimensional infrared spectroscopy. Analyst 2015, 140, 4336–4349. [Google Scholar] [CrossRef] [PubMed]
- Fritzsch, R.; Hume, S.; Minnes, L.; Baker, M.J.; Burley, G.A.; Hunt, N.T. Two-dimensional infrared spectroscopy: An emerging analytical tool? Analyst 2020, 145, 2014–2024. [Google Scholar] [CrossRef] [PubMed]
- Petti, M.K.; Lomont, J.P.; Maj, M.; Zanni, M.T. Two-Dimensional Spectroscopy Is Being Used to Address Core Scientific Questions in Biology and Materials Science. J. Phys. Chem. B 2018, 122, 1771–1780. [Google Scholar] [CrossRef] [PubMed]
- Kuhs, C.T.; Luther, B.M.; Krummel, A.T. Biomolecular and bioanalytical applications of infrared spectroscopy—A review. IEEE J. Sel. Top. Quantum Electron. 2019, 25, 3100313. [Google Scholar]
- Hamm, P.; Zanni, M.T. Concepts and Methods of 2D Infrared Spectroscopy; Cambridge University Press: New York, NY, USA, 2011. [Google Scholar]
- Lima, M.; Candelaresi, M.; Foggi, P. 2D-IR spectroscopy: An additional dimension to investigate ultrafast structural dynamics. J. Raman. Spectr. 2013, 44, 1470–1477. [Google Scholar] [CrossRef]
- Hamm, P.; Lim, M.; DeGrado, W.F.; Hochstrasser, R.M. The two-dimensional IR nonlinear spectroscopy of a cyclic penta-peptide in relation to its three-dimensional structure. Proc. Natl. Acad. Sci. USA 1999, 96, 2036–2041. [Google Scholar] [CrossRef]
- Chelli, R.; Volkov, V.V.; Righini, R. Retrieval of spectral and dynamic properties from two-dimensional infrared pump-probe experiments. J. Comput. Chem. 2008, 29, 1507–1516. [Google Scholar] [CrossRef]
- Ragnoni, E.; Palombo, F.; Green, E.; Winlove, C.P.; Di Donato, M.; Lapini, A. Coacervation of α-elastin studied by ultrafast nonlinear infrared spectroscopy. Phys. Chem. Chem. Phys. 2016, 18, 27981–27990. [Google Scholar] [CrossRef]
- Volkof, V.; Hamm, P. A Two-Dimensional Infrared Study of Localization, Structure, and Dynamics of a Dipeptide in Membrane Environment. Biophys. J. 2004, 87, 4213–4225. [Google Scholar] [CrossRef][Green Version]
- Gironi, B.; Lapini, A.; Ragnoni, E.; Calvagna, C.; Paolantoni, M.; Morresi, A.; Sassi, P. Free volume and dynamics in a lipid bilayer. Phys. Chem. Chem. Phys. 2019, 21, 23169–23178. [Google Scholar] [CrossRef]
- Candelaresi, M.; Ragnoni, E.; Cappelli, C.; Corozzi, A.; Lima, M.; Monti, S.; Mennucci, B.; Nuti, F.; Papini, A.M.; Foggi, P. Conformational Analysis of Gly–Ala–NHMe in D2O and DMSO Solutions: A Two-Dimensional Infrared Spectroscopy Study. J. Phys. Chem. B 2013, 117, 14226–14237. [Google Scholar] [CrossRef] [PubMed]
- Moran, S.D.; Zanni, M.T. How to Get Insight into Amyloid Structure and Formation from Infrared Spectroscopy. J. Phys. Chem. Lett. 2014, 5, 1984–1993. [Google Scholar] [CrossRef] [PubMed]
- Woutersen, S.; Hamm, P. Structure Determination of Trialanine in Water Using Polarization Sensitive Two-Dimensional Vibrational Spectroscopy. J. Phys. Chem. B 2000, 104, 11316–11320. [Google Scholar] [CrossRef]
- Woutersen, S.; Hamm, P. Time-resolved two-dimensional vibrational spectroscopy of a short α-helix in water. J. Chem. Phys. 2001, 115, 7737–7743. [Google Scholar] [CrossRef]
- Woutersen, S.; Pfister, R.; Hamm, P.; Kosov, D.S.; Stock, G. Peptide conformational heterogeneity revealed from nonlinear vibrational spectroscopy and molecular-dynamics simulations. J. Chem. Phys. 2002, 117, 6833–6840. [Google Scholar] [CrossRef]
- Bredenbeck, J.; Helbing, J.; Sieg, A.; Schrader, T.; Zinth, W.; Renner, C.; Behrendt, R.; Moroder, L.; Wachtveitl, J.; Hamm, P. Picosecond conformational transition and equilibration of a cyclic peptide. Proc. Natl. Acad. Sci. USA 2003, 10, 6452–6457. [Google Scholar] [CrossRef]
- Backus, E.H.G.; Bloem, R.; Pfister, R.; Moretto, A.; Crisma, M.; Toniolo, C.; Hamm, P. Dynamical Transition in a Small Helical Peptide and Its Implication for Vibrational Energy Transport. J. Phys. Chem. B 2009, 113, 13405–13409. [Google Scholar] [CrossRef]
- Backus, E.H.G.; Bloem, R.; Donaldson, P.M.; Ihalainen, J.A.; Pfister, R.; Paoli, B.; Caflisch, A.; Hamm, P. 2D-IR Study of a Photoswitchable Isotope-Labeled α-Helix. J. Phys. Chem. B 2010, 114, 3735–3740. [Google Scholar] [CrossRef]
- Roy, S.; Lessing, J.; Meisl, G.; Ganim, Z.; Tokmakoff, A.; Knoester, J.; Jansen, T.L. Solvent and conformation dependence of amide I vibrations in peptides and proteins containing proline. J. Chem. Phys. 2011, 135, 234507. [Google Scholar] [CrossRef]
- Newton, D.W.; Kluza, R.B. pKa Values of Medical Compounds in Pharmacy Practice. Ann. Pharmacother. 1978, 12, 546–554. [Google Scholar]
- Lapini, A.; Pagliai, M.; Fanetti, S.; Citroni, M.; Scandolo, S.; Bini, R.; Righini, R. Pressure Dependence of Hydrogen-Bond Dynamics in Liquid Water Probed by Ultrafast Infrared Spectroscopy. J. Phys. Chem. Lett. 2016, 7, 3579–3584. [Google Scholar] [CrossRef] [PubMed]
- Fanetti, S.; Lapini, A.; Pagliai, M.; Citroni, M.; Di Donato, M.; Scandolo, S.; Righini, R.; Bini, R. Structure and Dynamics of Low-Density and High-Density Liquid Water at High Pressure. J. Phys. Chem. Lett. 2014, 5, 235–240. [Google Scholar] [CrossRef] [PubMed]
- Di Donato, M.; Segado Centellas, M.; Lapini, A.; Lima, M.; Avila, F.; Santoro, F.; Cappelli, C.; Righini, R. Combination of transient 2D-IR experiments and ab-initio calculations sheds light on the formation of the charge transfer state in photoexcited carbonyl carotenoids. J. Phys. Chem. B 2014, 118, 9613–9630. [Google Scholar] [CrossRef] [PubMed]
- Frisch, M.J.; Trucks, G.W.; Schlegel, H.B.; Scuseria, G.E.; Robb, M.A.; Cheeseman, J.R.; Montgomery, J.A., Jr.; Vreven, T.; Kudin, K.N.; Burant, J.C.; et al. Gaussian 03, R Evision C.02; Gaussian, Inc.: Wallingford, CT, USA, 2004; Available online: https://gaussian.com/g03citation/ (accessed on 11 October 2020).
- Barnes, R.B.; Gore, R.C.; Williams, E.F.; Linsley, S.G.; Petersen, E.M. Infrared Analysis of Crystalline Penicillins. Anal. Chem. 1947, 19, 620–627. [Google Scholar] [CrossRef]
- Volkov, V.V.; Nuti, F.; Takaoka, Y.; Chelli, R.; Papini, A.M.; Righini, R. Hydration and Hydrogen Bonding of Carbonyls in Dimyristoyl-Phosphatidylcholine Bilayer. J. Am. Chem. Soc. 2006, 128, 9466–9471. [Google Scholar] [CrossRef] [PubMed]
- Wang, J.; Hochstrasser, R.M. Anharmonicity of Amide Modes. J. Phys. Chem. B 2006, 110, 3798–3807. [Google Scholar] [CrossRef]
- Lapini, A.; Vázquez, S.M.; Touceda, P.T.; Lima, M. Cross-phase modulation in visible-pump/mid-infrared-probe spectroscopy. J. Mol. Struct. 2011, 993, 470–473. [Google Scholar] [CrossRef]







| 1762 | 1762 | 1767 | 1767 | carbonyl stretching |
| 1640 | 1655 | 1674 | 1674 | amide I |
| 1601 | 1580 | 1615 | 1588 | carboxylate asymmetric stretching |
| Amide I | Carboxylate | |||
|---|---|---|---|---|
| ESA | 1.1 exp(-t/550) | 0.2 exp(-t/324) | 0.3 exp(-t/490) | 0.9 exp(-t/136) |
| 0.4 exp(-t/1750) | 0.3 exp(-t/2040) | 0.3 exp(-t/2125) | 1.2 exp(-t/2195) | |
| = 0.9 ± 0.1 ps | = 1.4 ± 0.1 ps | = 1.3 ± 0.1 ps | = 1.3 ± 0.1 ps | |
| GSR | 1.5 exp(-t/550) | 0.4 exp(-t/512) | 0.5 exp(-t/580) | 0.5 exp(-t/154) |
| 0.5 exp(-t/1850) | 0.4 exp(-t/2940) | 0.5 exp(-t/2100) | 1.3 exp(-t/2200) | |
| = 0.9 ± 0.1 ps | = 1.7 ± 0.1 ps | = 1.3 ± 0.1 ps | = 1.6 ± 0.1 ps | |
| /Amide I | 6.7 | |
| /carboxylate | 9.2 | 19 |
| Amide I/carboxylate | 8.3 |
Publisher’s Note: MDPI stays neutral with regard to jurisdictional claims in published maps and institutional affiliations. |
© 2021 by the authors. Licensee MDPI, Basel, Switzerland. This article is an open access article distributed under the terms and conditions of the Creative Commons Attribution (CC BY) license (http://creativecommons.org/licenses/by/4.0/).
Share and Cite
Ragnoni, E.; Catalini, S.; Becucci, M.; Lapini, A.; Foggi, P. Linear and Non-Linear Middle Infrared Spectra of Penicillin G in the CO Stretching Mode Region. Symmetry 2021, 13, 106. https://doi.org/10.3390/sym13010106
Ragnoni E, Catalini S, Becucci M, Lapini A, Foggi P. Linear and Non-Linear Middle Infrared Spectra of Penicillin G in the CO Stretching Mode Region. Symmetry. 2021; 13(1):106. https://doi.org/10.3390/sym13010106
Chicago/Turabian StyleRagnoni, Elena, Sara Catalini, Maurizio Becucci, Andrea Lapini, and Paolo Foggi. 2021. "Linear and Non-Linear Middle Infrared Spectra of Penicillin G in the CO Stretching Mode Region" Symmetry 13, no. 1: 106. https://doi.org/10.3390/sym13010106
APA StyleRagnoni, E., Catalini, S., Becucci, M., Lapini, A., & Foggi, P. (2021). Linear and Non-Linear Middle Infrared Spectra of Penicillin G in the CO Stretching Mode Region. Symmetry, 13(1), 106. https://doi.org/10.3390/sym13010106

