Empirical Consequences of Emergent Mass
Abstract
1. Introduction
2. Strong Interactions in the Standard Model
2.1. Natural Mass Scale
The establishment by the mid-1970’s of QCD as the correct theory of the strong interactions completed what is now known prosaically as the Standard Model. It offers a description of all known fundamental physics except for gravity, and gravity is something that has no discernible effect when particles are studied a few at a time. However, the situation is a bit like the way that the Navier-Stokes equation accounts for the flow of water. The equations are at some level obviously correct, but there are only a few, limited circumstances in which their consequences can be worked out in any detail. Nevertheless, many leading physicists were inclined to conclude in the late 1970’s that the task of basic physics was nearly complete, and we’d soon be out of jobs. A famous example was the inaugural lecture of Stephen Hawking as Lucasian Professor of Mathematics, a chair first held by Isaac Barrow at Cambridge University. Hawking titled his lecture, ‘Is the End in Sight for Theoretical Physics?’ And he argued strongly for ‘Yes’.
The Higgs field is often said to give mass to everything. That is wrong. The Higgs field only gives mass to some very simple particles. The field accounts for only one or two percent of the mass of more complex things, like atoms, molecules, and everyday objects, from your mobile phone to your pet llama. The vast majority of mass comes from the energy needed to hold quarks together inside atoms.
QCD is quite possibly the most remarkable fundamental theory ever invented.
2.2. Whence Mass?
3. Confinement
The Confinement Hypothesis: Colour-charged particles cannot be isolated and therefore cannot be directly observed. They clump together in colour-neutral bound-states.
4. Strong QCD
4.1. Dyson–Schwinger Equations
4.2. Gluon Mass
4.3. Effective Charge
4.4. Dynamical Chiral Symmetry Breaking
The Nambu–Goldstone theorem is fundamentally an expression of equivalence between the one-body problem and the two-body problem in QCD’s colour-singlet pseudoscalar channel.
4.5. Pion and the Trace Anomaly
5. Empirical Manifestations of Emergent Mass
5.1. Pion Wave Function
5.2. Pion Electromagnetic Form Factor
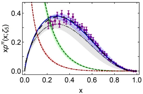
5.3. Valence-Quark Distributions in the Pion
5.4. Emergence of Diquark Correlations
5.5. Proton Wave Function
5.6. Proton’s First Radial Excitation
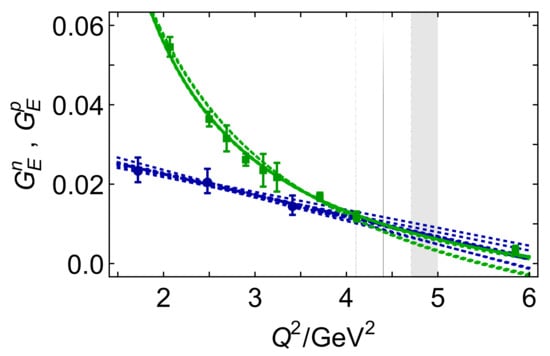
5.7. Emergent Features of Nucleon Form Factors
6. Epilogue
Funding
Acknowledgments
Conflicts of Interest
Abbreviations
| CSM | continuum Schwinger-function method |
| DA (PDA) | (parton) distribution amplitude |
| DF (PDF) | (parton) distribution function |
| DCSB | dynamical chiral symmetry breaking |
| DSE | Dyson–Schwinger Equation |
| EFT | effective field theory |
| EHM | emergent hadronic mass |
| ERBL | Efremov–Radyushkin–Brodsky–Lepage |
| JLab | Thomas Jefferson National Accelerator Facility |
| lQCD | lattice-regularised quantum chromodynamics |
| PDG | Particle Data Group |
| PI | process independent |
| PFF | parton fragmentation function |
| pQCD | perturbative quantum chromodynamics |
| QED | quantum electrodynamics |
| QCD | quantum chromodynamics |
| RGI | renormalisation group invariant |
| SM | Standard Model (of Particle Physics) |
| SPM | Schlessinger point method |
| 2PI | two-particle irreducible |
References
- Politzer, H.D. The dilemma of attribution. Proc. Nat. Acad. Sci. USA 2005, 102, 7789–7793. [Google Scholar] [CrossRef] [PubMed]
- ATLAS Collaboration. Observation of a new particle in the search for the Standard Model Higgs boson with the ATLAS detector at the LHC. Phys. Lett. B 2012, 716, 1–29. [Google Scholar] [CrossRef]
- CMS Collaboration. Observation of a New Boson at a Mass of 125 GeV with the CMS Experiment at the LHC. Phys. Lett. B 2012, 716, 30–61. [Google Scholar] [CrossRef]
- Englert, F. Nobel Lecture: The BEH mechanism and its scalar boson. Rev. Mod. Phys. 2014, 86, 843. [Google Scholar] [CrossRef]
- Higgs, P.W. Nobel Lecture: Evading the Goldstone theorem. Rev. Mod. Phys. 2014, 86, 851. [Google Scholar] [CrossRef]
- Taylor, R.E. Deep inelastic scattering: The Early years. Rev. Mod. Phys. 1991, 63, 573–595. [Google Scholar] [CrossRef]
- Kendall, H.W. Deep inelastic scattering: Experiments on the proton and the observation. Rev. Mod. Phys. 1991, 63, 597–614. [Google Scholar] [CrossRef]
- Friedman, J.I. Deep inelastic scattering: Comparisons with the quark model. Rev. Mod. Phys. 1991, 63, 615–629. [Google Scholar] [CrossRef]
- Neddermeyer, S.H.; Anderson, C.D. Note on the Nature of Cosmic-Ray Particles. Phys. Rev. 1937, 51, 884–886. [Google Scholar] [CrossRef]
- Lattes, C.M.G.; Muirhead, H.; Occhialini, G.P.S.; Powell, C.F. Processes involving charged mesons. Nature 1947, 159, 694–697. [Google Scholar] [CrossRef]
- Marciano, W.J.; Pagels, H. Quantum Chromodynamics: A Review. Phys. Rept. 1978, 36, 137. [Google Scholar] [CrossRef]
- Marciano, W.J.; Pagels, H. Quantum Chromodynamics. Nature 1979, 279, 479–483. [Google Scholar] [CrossRef]
- Particle Data Group. Review of Particle Properties. Prog. Theor. Exp. Phys. 2020, 083C01. [Google Scholar]
- Qin, S.X.; Roberts, C.D.; Schmidt, S.M. Spectrum of light- and heavy-baryons. Few Body Syst. 2019, 60, 26. [Google Scholar] [CrossRef]
- Durr, S.; Fodor, Z.; Frison, J.; Hoelbling, C.; Hoffmann, R.; Katz, S.D.; Krieg, S.; Kurth, T.; Lellouch, L.; Lippert, T. Ab-Initio Determination of Light Hadron Masses. Science 2008, 322, 1224–1227. [Google Scholar] [CrossRef]
- Pascual, P.; Tarrach, R. QCD: Renormalization for the Practitioner; Springer: Berlin, Germany, 1984. [Google Scholar]
- Cornwall, J.M. Dynamical Mass Generation in Continuum QCD. Phys. Rev. D 1982, 26, 1453. [Google Scholar] [CrossRef]
- Gribov, V.N. The theory of quark confinement. Eur. Phys. J. C 1999, 10, 91–105. [Google Scholar] [CrossRef]
- Dudal, D.; Verschelde, H.; Gracey, J.A.; Lemes, V.E.R.; Sarandy, M.S.; Sobreiro, R.F.; Sorella, S.P. Dynamical gluon mass generation from 〈A2(μ)〉 in linear covariant gauges. JHEP 2004, 01, 044. [Google Scholar] [CrossRef][Green Version]
- Bowman, P.O.; Heller, U.M.; Leinweber, D.B.; Parappilly, M.B.; Williams, A.G. Unquenched gluon propagator in Landau gauge. Phys. Rev. D 2004, 70, 034509. [Google Scholar] [CrossRef]
- Luna, E.; Martini, A.; Menon, M.; Mihara, A.; Natale, A. Influence of a dynamical gluon mass in the pp and p anti-p forward scattering. Phys. Rev. D 2005, 72, 034019. [Google Scholar] [CrossRef]
- Aguilar, A.; Binosi, D.; Papavassiliou, J. Gluon and ghost propagators in the Landau gauge: Deriving lattice results from Schwinger-Dyson equations. Phys. Rev. D 2008, 78, 025010. [Google Scholar] [CrossRef]
- Rodríguez-Quintero, J. On the massive gluon propagator, the PT-BFM scheme and the low-momentum behaviour of decoupling and scaling DSE solutions. JHEP 2011, 1101, 105. [Google Scholar] [CrossRef]
- Boucaud, P.; Leroy, J.P.; Le Yaouanc, A.; Micheli, J.; Pene, O.; Rodríguez-Quintero, J. The Infrared Behaviour of the Pure Yang-Mills Green Functions. Few Body Syst. 2012, 53, 387–436. [Google Scholar] [CrossRef]
- Strauss, S.; Fischer, C.S.; Kellermann, C. Analytic structure of the Landau gauge gluon propagator. Phys. Rev. Lett. 2012, 109, 252001. [Google Scholar] [CrossRef]
- Binosi, D.; Chang, L.; Papavassiliou, J.; Roberts, C.D. Bridging a gap between continuum-QCD and ab initio predictions of hadron observables. Phys. Lett. B 2015, 742, 183–188. [Google Scholar] [CrossRef]
- Aguilar, A.C.; Binosi, D.; Papavassiliou, J. The Gluon Mass Generation Mechanism: A Concise Primer. Front. Phys. China 2016, 11, 111203. [Google Scholar] [CrossRef]
- Siringo, F. Analytical study of Yang–Mills theory in the infrared from first principles. Nucl. Phys. B 2016, 907, 572–596. [Google Scholar] [CrossRef]
- Cyrol, A.K.; Fister, L.; Mitter, M.; Pawlowski, J.M.; Strodthoff, N. Landau gauge Yang-Mills correlation functions. Phys. Rev. D 2016, 94, 054005. [Google Scholar] [CrossRef]
- Gao, F.; Qin, S.X.; Roberts, C.D.; Rodríguez-Quintero, J. Locating the Gribov horizon. Phys. Rev. D 2018, 97, 034010. [Google Scholar] [CrossRef]
- Binosi, D.; Tripolt, R.A. Spectral functions of confined particles. Phys. Lett. B 2020, 801, 135171. [Google Scholar] [CrossRef]
- Binosi, D.; Mezrag, C.; Papavassiliou, J.; Roberts, C.D.; Rodríguez-Quintero, J. Process-independent strong running coupling. Phys. Rev. D 2017, 96, 054026. [Google Scholar] [CrossRef]
- Rodríguez-Quintero, J.; Binosi, D.; Mezrag, C.; Papavassiliou, J.; Roberts, C.D. Process-independent effective coupling. From QCD Green’s functions to phenomenology. Few Body Syst. 2018, 59, 121. [Google Scholar] [CrossRef]
- Cui, Z.F.; Zhang, J.L.; Binosi, D.; de Soto, F.; Mezrag, C.; Papavassiliou, J.; Rodríguez-Quintero, J.; Roberts, C.D.; Segovia, J.; Zafeiropoulos, S. Effective charge from lattice QCD. Chin. Phys. C 2020, 44, 083102. [Google Scholar] [CrossRef]
- Kharzeev, D. Quarkonium interactions in QCD. Proc. Int. Sch. Phys. Fermi 1996, 130, 105–131. [Google Scholar]
- Close, F. The Quark Parton Model. Rept. Prog. Phys. 1979, 42, 1285–1335. [Google Scholar] [CrossRef]
- Nambu, Y. Quasiparticles and Gauge Invariance in the Theory of Superconductivity. Phys. Rev. 1960, 117, 648–663. [Google Scholar] [CrossRef]
- Goldstone, J. Field Theories with Superconductor Solutions. Nuovo Cim. 1961, 19, 154–164. [Google Scholar] [CrossRef]
- Aguilar, A.C.; Ahmed, Z.; Aidala, C.; Ali, S.; Andrieux, V.; Arrington, J.A.; Bashir, A.; Berdnikov, V.; Binosi, D.; Chang, L.; et al. Pion and Kaon Structure at the Electron-Ion Collider. Eur. Phys. J. A 2019, 55, 190. [Google Scholar] [CrossRef]
- Roberts, C.D. Resonance Electroproduction and the Origin of Mass—arXiv:1909.11102 [nucl-th]. In Proceedings of the 12th International Workshop on the Physics of Excited Nucleons (NSTAR 2019), Bonn, Germany, 10–14 June 2019. [Google Scholar]
- Brodsky, S.J.; Burkert, V.D.; Carman, D.S.; Chen, J.P.; Cui, Z.F.; Döring, M.; Dosch, H.G.; Draayer, J.; Elouadrhiri, L.; Glazier, D.I.; et al. Strong QCD from Hadron Structure Experiments—arXiv:2006.06802 [hep-ph]. Intern. J. Mod. Phys. E 2020, in press. [Google Scholar]
- Roberts, C.D.; Schmidt, S.M. Reflections upon the Emergence of Hadronic Mass. arXiv 2020, arXiv:2006.08782. [Google Scholar]
- Aznauryan, I.; Bashir, A.; Braun, V.; Brodsky, S.J.; Burkert, V.D.; Chang, L.; Chen, C.; El-Bennich, B.; Cole, P.; Edwards, R.G.; et al. Studies of Nucleon Resonance Structure in Exclusive Meson Electroproduction. Int. J. Mod. Phys. E 2013, 22, 1330015. [Google Scholar] [CrossRef]
- Gross, D.J. The discovery of asymptotic freedom and the emergence of QCD. Proc. Nat. Acad. Sci. USA 2005, 102, 9099–9108. [Google Scholar] [CrossRef] [PubMed]
- Wilczek, F. Asymptotic freedom: From paradox to paradigm. Proc. Nat. Acad. Sci. USA 2005, 102, 8403–8413. [Google Scholar] [CrossRef] [PubMed]
- Jaffe, A.M. The Millennium Grand Challenge in Mathematics. Not. Am. Math. Soc. 2006, 53, 652–660. [Google Scholar]
- Casher, A. Chiral Symmetry Breaking in Quark Confining Theories. Phys. Lett. B 1979, 83, 395. [Google Scholar] [CrossRef]
- Banks, T.; Casher, A. Chiral Symmetry Breaking in Confining Theories. Nucl. Phys. B 1980, 169, 103. [Google Scholar] [CrossRef]
- McNeile, C. Lattice status of gluonia/glueballs. Nucl. Phys. Proc. Suppl. 2009, 186, 264–267. [Google Scholar] [CrossRef]
- Wilson, K.G. Confinement of quarks. Phys. Rev. D 1974, 10, 2445–2459. [Google Scholar] [CrossRef]
- Isgur, N.; Paton, J.E. A Flux Tube Model for Hadrons. Phys. Lett. B 1983, 124, 247–251. [Google Scholar] [CrossRef]
- Bali, G.S.; Neff, H.; Duessel, T.; Lippert, T.; Schilling, K. Observation of string breaking in QCD. Phys. Rev. D 2005, 71, 114513. [Google Scholar] [CrossRef]
- Prkacin, Z.; Bali, G.S.; Dussel, T.; Lippert, T.; Neff, H.; Schilling, K. Anatomy of string breaking in QCD. PoS 2006, LAT2005, 308. [Google Scholar]
- Chang, L.; Cloet, I.C.; El-Bennich, B.; Klähn, T.; Roberts, C.D. Exploring the light-quark interaction. Chin. Phys. C 2009, 33, 1189–1196. [Google Scholar]
- Glimm, J.; Jaffee, A. Quantum Physics. A Functional Point of View; Springer: New York, NY, USA, 1981. [Google Scholar]
- Munczek, H.J.; Nemirovsky, A.M. The Ground State qq¯ Mass Spectrum in QCD. Phys. Rev. D 1983, 28, 181–186. [Google Scholar] [CrossRef]
- Cahill, R.T.; Roberts, C.D. Soliton Bag Models of Hadrons from QCD. Phys. Rev. D 1985, 32, 2419. [Google Scholar] [CrossRef] [PubMed]
- Stingl, M. Propagation Properties and Condensate Formation of the Confined Yang-Mills Field. Phys. Rev. D 1986, 34, 3863–3881, Erratum in 1987, 36, 651. [Google Scholar] [CrossRef]
- Roberts, C.D.; Williams, A.G.; Krein, G. On the implications of confinement. Int. J. Mod. Phys. A 1992, 7, 5607–5624. [Google Scholar] [CrossRef]
- Burden, C.J.; Roberts, C.D.; Williams, A.G. Singularity structure of a model quark propagator. Phys. Lett. B 1992, 285, 347–353. [Google Scholar] [CrossRef]
- Hawes, F.T.; Roberts, C.D.; Williams, A.G. Dynamical chiral symmetry breaking and confinement with an infrared vanishing gluon propagator. Phys. Rev. D 1994, 49, 4683–4693. [Google Scholar] [CrossRef]
- Maris, P. Analytic structure of the full fermion propagator in quenched and unquenched QED. Phys. Rev. D 1994, 50, 4189–4193. [Google Scholar] [CrossRef]
- Roberts, C.D.; Williams, A.G. Dyson-Schwinger equations and their application to hadronic physics. Prog. Part. Nucl. Phys. 1994, 33, 477–575. [Google Scholar] [CrossRef]
- Bhagwat, M.; Pichowsky, M.; Tandy, P.C. Confinement phenomenology in the Bethe-Salpeter equation. Phys. Rev. D 2003, 67, 054019. [Google Scholar] [CrossRef]
- Roberts, C.D. Hadron Properties and Dyson-Schwinger Equations. Prog. Part. Nucl. Phys. 2008, 61, 50–65. [Google Scholar] [CrossRef]
- Bashir, A.; Raya, A.; Sánchez-Madrigal, S.; Roberts, C.D. Gauge invariance of a critical number of flavours in QED3. Few Body Syst. 2009, 46, 229–237. [Google Scholar] [CrossRef]
- Bashir, A.; Raya, A.; Rodríguez-Quintero, J. QCD: Restoration of Chiral Symmetry and Deconfinement for Large Nf. Phys. Rev. D 2013, 88, 054003. [Google Scholar] [CrossRef]
- Qin, S.X.; Rischke, D.H. Quark Spectral Function and Deconfinement at Nonzero Temperature. Phys. Rev. D 2013, 88, 056007. [Google Scholar] [CrossRef]
- Lowdon, P. Conditions on the violation of the cluster decomposition property in QCD. J. Math. Phys. 2016, 57, 102302. [Google Scholar] [CrossRef]
- Lucha, W.; Schöberl, F.F. Analytic Bethe-Salpeter Description of the Lightest Pseudoscalar Mesons. Phys. Rev. D 2016, 93, 056006. [Google Scholar] [CrossRef]
- Binosi, D.; Roberts, C.D.; Rodríguez-Quintero, J. Scale-setting, flavour dependence and chiral symmetry restoration. Phys. Rev. D 2017, 95, 114009. [Google Scholar] [CrossRef]
- Krein, G.; Nielsen, M.; Puff, R.D.; Wilets, L. Ghost poles in the nucleon propagator: Vertex corrections and form-factors. Phys. Rev. C 1993, 47, 2485–2491. [Google Scholar] [CrossRef]
- Bracco, M.E.; Eiras, A.; Krein, G.; Wilets, L. Selfconsistent solution of the Schwinger-Dyson equations for the nucleon and meson propagators. Phys. Rev. C 1994, 49, 1299–1308. [Google Scholar] [CrossRef]
- Gattringer, C.; Lang, C.B. Quantum chromodynamics on the lattice. Lect. Notes Phys. 2010, 788, 1–343. [Google Scholar]
- Philipsen, O. The QCD equation of state from the lattice. Prog. Part. Nucl. Phys. 2013, 70, 55–107. [Google Scholar] [CrossRef]
- Bañuls, M.C.; Cichy, K. Review on Novel Methods for Lattice Gauge Theories. Rept. Prog. Phys. 2020, 83, 024401. [Google Scholar] [CrossRef]
- Roberts, C.D.; Schmidt, S.M. Dyson-Schwinger equations: Density, temperature and continuum strong QCD. Prog. Part. Nucl. Phys. 2000, 45, S1–S103. [Google Scholar] [CrossRef]
- Maris, P.; Roberts, C.D. Dyson-Schwinger equations: A tool for hadron physics. Int. J. Mod. Phys. E 2003, 12, 297–365. [Google Scholar] [CrossRef]
- Chang, L.; Roberts, C.D.; Tandy, P.C. Selected highlights from the study of mesons. Chin. J. Phys. 2011, 49, 955–1004. [Google Scholar]
- Roberts, C.D. Strong QCD and Dyson-Schwinger Equations. IRMA Lect. Math. Theor. Phys. 2015, 21, 356–458. [Google Scholar]
- Roberts, C.D. Three Lectures on Hadron Physics. J. Phys. Conf. Ser. 2016, 706, 022003. [Google Scholar] [CrossRef]
- Horn, T.; Roberts, C.D. The pion: An enigma within the Standard Model. J. Phys. G 2016, 43, 073001. [Google Scholar] [CrossRef]
- Eichmann, G.; Sanchis-Alepuz, H.; Williams, R.; Alkofer, R.; Fischer, C.S. Baryons as relativistic three-quark bound states. Prog. Part. Nucl. Phys. 2016, 91, 1–100. [Google Scholar] [CrossRef]
- Burkert, V.D.; Roberts, C.D. Roper resonance: Toward a solution to the fifty year puzzle. Rev. Mod. Phys. 2019, 91, 011003. [Google Scholar] [CrossRef]
- Fischer, C.S. QCD at finite temperature and chemical potential from Dyson–Schwinger equations. Prog. Part. Nucl. Phys. 2019, 105, 1–60. [Google Scholar] [CrossRef]
- Qin, S.X.; Roberts, C.D. Impressions of the Continuum Bound State Problem in QCD. arXiv 2020, arXiv:2008.07629. [Google Scholar]
- Munczek, H.J. Dynamical chiral symmetry breaking, Goldstone’s theorem and the consistency of the Schwinger-Dyson and Bethe-Salpeter Equations. Phys. Rev. D 1995, 52, 4736–4740. [Google Scholar] [CrossRef] [PubMed]
- Bender, A.; Roberts, C.D.; von Smekal, L. Goldstone Theorem and Diquark Confinement Beyond Rainbow- Ladder Approximation. Phys. Lett. B 1996, 380, 7–12. [Google Scholar] [CrossRef]
- Maris, P.; Roberts, C.D.; Tandy, P.C. Pion mass and decay constant. Phys. Lett. B 1998, 420, 267–273. [Google Scholar] [CrossRef]
- Chang, L.; Roberts, C.D. Sketching the Bethe-Salpeter kernel. Phys. Rev. Lett. 2009, 103, 081601. [Google Scholar] [CrossRef]
- Qin, S.X.; Roberts, C.D.; Schmidt, S.M. Ward-Green-Takahashi identities and the axial-vector vertex. Phys. Lett. B 2014, 733, 202–208. [Google Scholar] [CrossRef]
- Williams, R.; Fischer, C.S.; Heupel, W. Light mesons in QCD and unquenching effects from the 3PI effective action. Phys. Rev. D 2016, 93, 034026. [Google Scholar] [CrossRef]
- Binosi, D.; Chang, L.; Qin, S.X.; Papavassiliou, J.; Roberts, C.D. Symmetry preserving truncations of the gap and Bethe-Salpeter equations. Phys. Rev. D 2016, 93, 096010. [Google Scholar] [CrossRef]
- Accardi, A.; Albacete, J.L.; Anselmino, M.; Armesto, N.; Aschenauer, E.C.; Bacchetta, A.; Boer, D.; Brooks, W.K.; Burton, T.; Chang, N.B.; et al. Electron Ion Collider: The Next QCD Frontier. Eur. Phys. J. A 2016, 52, 268. [Google Scholar] [CrossRef]
- Brodsky, S.J.; Deshpande, A.L.; Gao, H.; McKeown, C.A.; Meziani, Z.E.; Milner, R.G.; Qiu, J.W.; Richards, D.G.; Roberts, C.D. QCD and Hadron Physics. arXiv 2015, arXiv:1502.05728. [Google Scholar]
- Field, R.D.; Feynman, R.P. A Parametrization of the Properties of Quark Jets. Nucl. Phys. B 1978, 136, 1–76. [Google Scholar] [CrossRef]
- Gell-Mann, M.; Low, F.E. Quantum electrodynamics at small distances. Phys. Rev. 1954, 95, 1300–1312. [Google Scholar] [CrossRef]
- Cornwall, J.M.; Papavassiliou, J. Gauge Invariant Three Gluon Vertex in QCD. Phys. Rev. D 1989, 40, 3474. [Google Scholar] [CrossRef] [PubMed]
- Pilaftsis, A. Generalized pinch technique and the background field method in general gauges. Nucl. Phys. B 1997, 487, 467–491. [Google Scholar] [CrossRef]
- Binosi, D.; Papavassiliou, J. Pinch Technique: Theory and Applications. Phys. Rept. 2009, 479, 1–152. [Google Scholar] [CrossRef]
- Abbott, L.F. The Background Field Method Beyond One Loop. Nucl. Phys. B 1981, 185, 189. [Google Scholar] [CrossRef]
- Deur, A.; Burkert, V.; Chen, J.P.; Korsch, W. Experimental determination of the effective strong coupling constant. Phys. Lett. B 2007, 650, 244–248. [Google Scholar] [CrossRef]
- Deur, A.; Burkert, V.; Chen, J.P.; Korsch, W. Determination of the effective strong coupling constant αg1(s) from CLAS spin structure function data. Phys. Lett. B 2008, 665, 349–351. [Google Scholar] [CrossRef]
- Deur, A.; Brodsky, S.J.; de Teramond, G.F. The QCD Running Coupling. Prog. Part. Nucl. Phys. 2016, 90, 1–74. [Google Scholar] [CrossRef]
- Grunberg, G. Renormalization Scheme Independent QCD and QED: The Method of Effective Charges. Phys. Rev. D 1984, 29, 2315. [Google Scholar] [CrossRef]
- Dokshitzer, Y.L. Perturbative QCD theory (includes our knowledge of α(s))—hep-ph/9812252. In Proceedings of the 29th International Conference on High Energy Physics: ICHEP ’98, Vancouver, CU, Canada, 23–29 July 1998; Volume 1, pp. 305–324. [Google Scholar]
- Appelquist, T.; Terning, J.; Wijewardhana, L.C.R. The zero temperature chiral phase transition in SU(N) gauge theories. Phys. Rev. Lett. 1996, 77, 1214–1217. [Google Scholar] [CrossRef] [PubMed]
- Sannino, F. Conformal Dynamics for TeV Physics and Cosmology. Acta Phys. Polon. B 2009, 40, 3533–3743. [Google Scholar]
- LSD Collaboration. Toward TeV Conformality. Phys. Rev. Lett. 2010, 104, 071601. [Google Scholar] [CrossRef] [PubMed]
- Hayakawa, M.; Ishikawa, K.I.; Osaki, Y.; Takeda, S.; Uno, S.; Yamada, N. Running coupling constant of ten-flavor QCD with the Schródinger functional method. Phys. Rev. D 2011, 83, 074509. [Google Scholar] [CrossRef]
- Cheng, A.; Hasenfratz, A.; Petropoulos, G.; Schaich, D. Scale-dependent mass anomalous dimension from Dirac eigenmodes. JHEP 2013, 07, 061. [Google Scholar] [CrossRef][Green Version]
- LatKMI Collaboration. Walking signals in Nf=8 QCD on the lattice. Phys. Rev. D 2013, 87, 094511. [Google Scholar] [CrossRef]
- DeGrand, T. Lattice tests of beyond Standard Model dynamics. Rev. Mod. Phys. 2016, 88, 015001. [Google Scholar] [CrossRef]
- Cui, Z.F.; Ding, M.; Gao, F.; Raya, K.; Binosi, D.; Chang, L.; Roberts, C.D.; Rodríguez-Quintero, J.; Schmidt, S.M. Kaon parton distributions: Revealing Higgs modulation of emergent mass. arXiv 2020, arXiv:2006.14075. [Google Scholar]
- Cui, Z.F.; Ding, M.; Gao, F.; Raya, K.; Binosi, D.; Chang, L.; Roberts, C.D.; Rodríguez-Quintero, J.; Schmidt, S.M. Kaon and pion parton distributions. 2020. in progress. [Google Scholar]
- Nambu, Y. From BCS to NJL: An old story retold. AIP Conf. Proc. 2011, 1388, 86–92. [Google Scholar]
- Brodsky, S.J.; Shrock, R. Condensates in Quantum Chromodynamics and the Cosmological Constant. Proc. Natl. Acad. Sci. USA 2011, 108, 45–50. [Google Scholar] [CrossRef]
- Brodsky, S.J.; Roberts, C.D.; Shrock, R.; Tandy, P.C. New perspectives on the quark condensate. Phys. Rev. C 2010, 82, 022201(R). [Google Scholar] [CrossRef]
- Chang, L.; Roberts, C.D.; Tandy, P.C. Expanding the concept of in-hadron condensates. Phys. Rev. C 2012, 85, 012201(R). [Google Scholar] [CrossRef]
- Brodsky, S.J.; Roberts, C.D.; Shrock, R.; Tandy, P.C. Confinement contains condensates. Phys. Rev. C 2012, 85, 065202. [Google Scholar] [CrossRef]
- Bhagwat, M.S.; Pichowsky, M.A.; Roberts, C.D.; Tandy, P.C. Analysis of a quenched lattice QCD dressed quark propagator. Phys. Rev. C 2003, 68, 015203. [Google Scholar] [CrossRef]
- Bhagwat, M.S.; Tandy, P.C. Analysis of full-QCD and quenched-QCD lattice propagators. AIP Conf. Proc. 2006, 842, 225–227. [Google Scholar]
- Bowman, P.O.; Heller, U.M.; Leinweber, D.B.; Parappilly, M.B.; Williams, A.G.; Zhang, Z.B. Unquenched quark propagator in Landau gauge. Phys. Rev. D 2005, 71, 054507. [Google Scholar] [CrossRef]
- Roberts, C.D. Perspective on the origin of hadron masses. Few Body Syst. 2017, 58, 5. [Google Scholar] [CrossRef]
- Höll, A.; Krassnigg, A.; Roberts, C.D. Pseudoscalar meson radial excitations. Phys. Rev. C 2004, 70, 042203(R). [Google Scholar] [CrossRef]
- Höll, A.; Krassnigg, A.; Maris, P.; Roberts, C.D.; Wright, S.V. Electromagnetic properties of ground and excited state pseudoscalar mesons. Phys. Rev. C 2005, 71, 065204. [Google Scholar] [CrossRef]
- Bhagwat, M.S.; Chang, L.; Liu, Y.X.; Roberts, C.D.; Tandy, P.C. Flavour symmetry breaking and meson masses. Phys. Rev. C 2007, 76, 045203. [Google Scholar] [CrossRef]
- Ding, M.; Raya, K.; Bashir, A.; Binosi, D.; Chang, L.; Chen, M.; Roberts, C.D. γ*γ→η,η′ transition form factors. Phys. Rev. D 2019, 99, 014014. [Google Scholar] [CrossRef]
- Ding, M.; Gao, F.; Chang, L.; Liu, Y.X.; Roberts, C.D. Leading-twist parton distribution amplitudes of S-wave heavy-quarkonia. Phys. Lett. B 2016, 753, 330–335. [Google Scholar] [CrossRef]
- Chen, C.; Chang, L.; Roberts, C.D.; Wan, S.; Zong, H.S. Valence-quark distribution functions in the kaon and pion. Phys. Rev. D 2016, 93, 074021. [Google Scholar] [CrossRef]
- Gao, F.; Chang, L.; Liu, Y.X.; Roberts, C.D.; Tandy, P.C. Exposing strangeness: Projections for kaon electromagnetic form factors. Phys. Rev. D 2017, 96, 034024. [Google Scholar] [CrossRef]
- Flambaum, V.V.; Höll, A.; Jaikumar, P.; Roberts, C.D.; Wright, S.V. Sigma terms of light-quark hadrons. Few Body Syst. 2006, 38, 31–51. [Google Scholar] [CrossRef]
- Guth, A.H.; Huang, K.; Jaffe, R.L. (Eds.) Asymptotic Realms of Physics; MIT Press: Cambridge, MA, USA, 1983; 262p. [Google Scholar]
- Chang, L.; Cloet, I.C.; Cobos-Martinez, J.J.; Roberts, C.D.; Schmidt, S.M.; Tandy, P.C. Imaging dynamical chiral symmetry breaking: Pion wave function on the light front. Phys. Rev. Lett. 2013, 110, 132001. [Google Scholar] [CrossRef]
- Segovia, J.; Chang, L.; Cloet, I.C.; Roberts, C.D.; Schmidt, S.M.; Zong, H.S. Distribution amplitudes of light-quark mesons from lattice QCD. Phys. Lett. B 2014, 731, 13–18. [Google Scholar] [CrossRef]
- Shi, C.; Chang, L.; Roberts, C.D.; Schmidt, S.M.; Tandy, P.C.; Zong, H.S. Flavour symmetry breaking in the kaon parton distribution amplitude. Phys. Lett. B 2014, 738, 512–518. [Google Scholar] [CrossRef]
- Lepage, G.P.; Brodsky, S.J. Exclusive Processes in Quantum Chromodynamics: Evolution Equations for Hadronic Wave Functions and the Form-Factors of Mesons. Phys. Lett. B 1979, 87, 359–365. [Google Scholar] [CrossRef]
- Efremov, A.V.; Radyushkin, A.V. Factorization and Asymptotical Behavior of Pion Form- Factor in QCD. Phys. Lett. B 1980, 94, 245–250. [Google Scholar] [CrossRef]
- Lepage, G.P.; Brodsky, S.J. Exclusive Processes in Perturbative Quantum Chromodynamics. Phys. Rev. D 1980, 22, 2157–2198. [Google Scholar] [CrossRef]
- Chernyak, V.L.; Zhitnitsky, A.R. Asymptotic Behavior of Exclusive Processes in QCD. Phys. Rept. 1984, 112, 173. [Google Scholar] [CrossRef]
- Maris, P.; Roberts, C.D. π and K meson Bethe-Salpeter amplitudes. Phys. Rev. C 1997, 56, 3369–3383. [Google Scholar] [CrossRef]
- Maris, P.; Tandy, P.C. Bethe-Salpeter study of vector meson masses and decay constants. Phys. Rev. C 1999, 60, 055214. [Google Scholar] [CrossRef]
- Bhagwat, M.S.; Maris, P. Vector meson form factors and their quark-mass dependence. Phys. Rev. C 2008, 77, 025203. [Google Scholar] [CrossRef]
- Krassnigg, A. Survey of J=0,1 mesons in a Bethe-Salpeter approach. Phys. Rev. D 2009, 80, 114010. [Google Scholar] [CrossRef]
- Qin, S.X.; Chang, L.; Liu, Y.x.; Roberts, C.D.; Wilson, D.J. Investigation of rainbow-ladder truncation for excited and exotic mesons. Phys. Rev. C 2012, 85, 035202. [Google Scholar] [CrossRef]
- Mikhailov, S.; Radyushkin, A. Nonlocal condensates and QCD sum rules for pion wave function. JETP Lett. 1986, 43, 712–715. [Google Scholar] [CrossRef] [PubMed]
- Petrov, V.Y.; Polyakov, M.V.; Ruskov, R.; Weiss, C.; Goeke, K. Pion and photon light cone wave functions from the instanton vacuum. Phys. Rev. D 1999, 59, 114018. [Google Scholar] [CrossRef]
- Braun, V.; Gockeler, M.; Horsley, R.; Perlt, H.; Pleiter, D.; Rakow, P.E.L.; Schierholz, G.; Schiller, A.; Schroers, W.; Stuben, H.; et al. Moments of pseudoscalar meson distribution amplitudes from the lattice. Phys. Rev. D 2006, 74, 074501. [Google Scholar] [CrossRef]
- Brodsky, S.J.; de Teramond, G.F. Hadronic spectra and light-front wavefunctions in holographic QCD. Phys. Rev. Lett. 2006, 96, 201601. [Google Scholar] [CrossRef] [PubMed]
- Jefferson Lab Fπ Collaboration. Measurement of the Charged Pion Electromagnetic Form-Factor. Phys. Rev. Lett. 2001, 86, 1713–1716. [Google Scholar] [CrossRef]
- Jefferson Lab Fπ-2 Collaboration. Determination of the Charged Pion Form Factor at Q2=1.60 and 2.45(GeV/c)2. Phys. Rev. Lett. 2006, 97, 192001. [Google Scholar] [CrossRef]
- Jefferson Lab Fπ Collaboration. Determination of the pion charge form factor for Q2=0.60-1.60GeV2. Phys. Rev. C 2007, 75, 055205. [Google Scholar] [CrossRef]
- Horn, T.; Qian, X.; Arrington, J.A.; Asaturyan, R.; Benmokthar, F.; Boeglin, W.; Bosted, P.; Bruell, A.; Christy, M.E.; Chudakov, E.; et al. Scaling study of the pion electroproduction cross sections and the pion form factor. Phys. Rev. C 2008, 78, 058201. [Google Scholar] [CrossRef]
- Jefferson Lab Fπ Collaboration. Charged pion form-factor between Q2=0.60GeV2 and 2.45GeV2. II. Determination of, and results for, the pion form-factor. Phys. Rev. C 2008, 78, 045203. [Google Scholar] [CrossRef]
- Jefferson Lab Fπ Collaboration. Charged pion form factor between Q2 = 0.60 and 2.45 GeV2. I. Measurements of the cross section for the 1H(e,e′π+)n reaction. Phys. Rev. C 2008, 78, 045202. [Google Scholar] [CrossRef]
- Maris, P.; Tandy, P.C. The π, K+, and K0 electromagnetic form factors. Phys. Rev. C 2000, 62, 055204. [Google Scholar] [CrossRef]
- Chang, L.; Cloet, I.C.; Roberts, C.D.; Schmidt, S.M.; Tandy, P.C. Pion electromagnetic form factor at spacelike momenta. Phys. Rev. Lett. 2013, 111, 141802. [Google Scholar] [CrossRef] [PubMed]
- Chen, M.; Ding, M.; Chang, L.; Roberts, C.D. Mass-dependence of pseudoscalar meson elastic form factors. Phys. Rev. D 2018, 98, 091505. [Google Scholar] [CrossRef]
- Huber, G.M.; Gaskell, D.; Papandreou, Z.; Bosted, P.; Bruell, A.; Ent, R.; Fenker, H.C.; Gaskel, D.; Horn, T.; Jones, M.K.; et al. Measurement of the Charged Pion Form Factor to High Q2; Jefferson Lab Experiment E12-06-101. 2006. Available online: http://www.jlab.org/exp_prog/proposals/06/PR12-06-101.pdf (accessed on 7 July 2006).
- Horn, T.; Huber, G.M. Jefferson Lab Experiment E12-07-105. 2007. Available online: https://www.jlab.org/exp_prog/experiments/summaries/E12-07-105_summary.pdf (accessed on 22 August 2020).
- Ellis, R.K.; Stirling, W.J.; Webber, B.R. QCD and Collider Physics; Cambridge University Press: Cambridge, UK, 2011. [Google Scholar]
- Ezawa, Z.F. Wide-Angle Scattering in Softened Field Theory. Nuovo Cim. A 1974, 23, 271–290. [Google Scholar] [CrossRef]
- Farrar, G.R.; Jackson, D.R. Pion and Nucleon Structure Functions Near x=1. Phys. Rev. Lett. 1975, 35, 1416. [Google Scholar] [CrossRef]
- Berger, E.L.; Brodsky, S.J. Quark Structure Functions of Mesons and the Drell-Yan Process. Phys. Rev. Lett. 1979, 42, 940–944. [Google Scholar] [CrossRef]
- Gribov, V.N.; Lipatov, L.N. Deep inelastic e p scattering in perturbation theory. Sov. J. Nucl. Phys. 1972, 15, 438–450. [Google Scholar]
- Lipatov, L.N. The parton model and perturbation theory. Sov. J. Nucl. Phys. 1975, 20, 94–102. [Google Scholar]
- Altarelli, G.; Parisi, G. Asymptotic Freedom in Parton Language. Nucl. Phys. B 1977, 126, 298. [Google Scholar] [CrossRef]
- Dokshitzer, Y.L. Calculation of the Structure Functions for Deep Inelastic Scattering and e+ e- Annihilation by Perturbation Theory in Quantum Chromodynamics. Sov. Phys. JETP 1977, 46, 641–653. (In Russian) [Google Scholar]
- Keppel, C.; Wojtsekhowski, B.; King, P.; Dutta, D.; Annand, J.; Zhang, J. Measurement of Tagged Deep Inelastic Scattering (TDIS); Jefferson Lab experiment PR12-15-006; 2015, approved. Available online: https://www.jlab.org/exp_prog/proposals/15/PR12-15-006.pdf (accessed on 22 August 2020).
- Park, K.; Montgomery, R.; Horn, T. Measurement of Kaon Structure Function through Tagged Deep Inelastic Scattering (TDIS); Jefferson Lab experiment C12-15-006A. 2017. approved. Available online: https://www.jlab.org/exp_prog/proposals/17/C12-15-006A.pdf (accessed on 22 August 2020).
- COMPASS++/AMBER Collaboration. Letter of Intent (Draft 2.0): A New QCD facility at the M2 beam line of the CERN SPS. arXiv 2018, arXiv:1808.00848. [Google Scholar]
- Xu, S.S.; Chang, L.; Roberts, C.D.; Zong, H.S. Pion and kaon valence-quark parton quasidistributions. Phys. Rev. D 2018, 97, 094014. [Google Scholar] [CrossRef]
- Zhang, J.H.; Chen, J.W.; Jin, L.; Lin, H.W.; Schäfer, A.; Zhao, Y. First direct lattice-QCD calculation of the x-dependence of the pion parton distribution function. Phys. Rev. D 2019, 100, 034505. [Google Scholar] [CrossRef]
- Karthik, N.; Izubichi, T.; Jin, L.; Kallidonis, C.; Mukherjee, S.; Petreczky, P.; Shugert, C.; Syritsyn, S. Renormalized quasi parton distribution function of pion. PoS 2018, LATTICE2018, 109. [Google Scholar]
- Sufian, R.S.; Karpie, J.; Egerer, C.; Orginos, K.; Qiu, J.W.; Richards, D.G. Pion Valence Quark Distribution from Matrix Element Calculated in Lattice QCD. Phys. Rev. D 2019, 99, 074507. [Google Scholar] [CrossRef]
- Izubuchi, T.; Jin, L.; Kallidonis, C.; Karthik, N.; Mukherjee, S.; Petreczky, P.; Shugert, C.; Syritsyn, S. Valence parton distribution function of pion from fine lattice. Phys. Rev. D 2019, 100, 034516. [Google Scholar] [CrossRef]
- Oehm, M.; Alexandrou, C.; Constantinou, M.; Jansen, K.; Koutsou, G.; Kostrzewa, B.; Steffens, F.; Urbach, C.; Zafeiropoulos, S. 〈x〉 and 〈x2〉 of the pion PDF from lattice QCD with Nf=2+1+1 dynamical quark flavors. Phys. Rev. D 2019, 99, 014508. [Google Scholar] [CrossRef]
- Joó, B.; Orginos, K.; Radyushkin, A.V.; Richards, D.G.; Sufian, R.S.; Zafeiropoulos, S. Pion valence structure from Ioffe-time parton pseudodistribution functions. Phys. Rev. D 2019, 100, 114512. [Google Scholar] [CrossRef]
- Hecht, M.B.; Roberts, C.D.; Schmidt, S.M. Valence-quark distributions in the pion. Phys. Rev. C 2001, 63, 025213. [Google Scholar] [CrossRef]
- Chang, L.; Mezrag, C.; Moutarde, H.; Roberts, C.D.; Rodríguez-Quintero, J.; Tandy, P.C. Basic features of the pion valence-quark distribution function. Phys. Lett. B 2014, 737, 23–29. [Google Scholar] [CrossRef]
- Ding, M.; Raya, K.; Binosi, D.; Chang, L.; Roberts, C.D.; Schmidt, S.M. Drawing insights from pion parton distributions. Chin. Phys. C 2020, 44, 031002. [Google Scholar] [CrossRef]
- Ding, M.; Raya, K.; Binosi, D.; Chang, L.; Roberts, C.D.; Schmidt, S.M. Symmetry, symmetry breaking, and pion parton distributions. Phys. Rev. D 2020, 101, 054014. [Google Scholar] [CrossRef]
- Raya, K.; Chang, L.; Bashir, A.; Cobos-Martinez, J.J.; Gutiérrez-Guerrero, L.X.; Roberts, C.D.; Tandy, P.C. Structure of the neutral pion and its electromagnetic transition form factor. Phys. Rev. D 2016, 93, 074017. [Google Scholar] [CrossRef]
- Raya, K.; Ding, M.; Bashir, A.; Chang, L.; Roberts, C.D. Partonic structure of neutral pseudoscalars via two photon transition form factors. Phys. Rev. D 2017, 95, 074014. [Google Scholar] [CrossRef]
- Barry, P.C.; Sato, N.; Melnitchouk, W.; Ji, C.R. First Monte Carlo Global QCD Analysis of Pion Parton Distributions. Phys. Rev. Lett. 2018, 121, 152001. [Google Scholar] [CrossRef]
- Aicher, M.; Schäfer, A.; Vogelsang, W. Soft-Gluon Resummation and the Valence Parton Distribution Function of the Pion. Phys. Rev. Lett. 2010, 105, 252003. [Google Scholar] [CrossRef]
- Westmark, D.; Owens, J.F. Enhanced threshold resummation formalism for lepton pair production and its effects in the determination of parton distribution functions. Phys. Rev. D 2017, 95, 056024. [Google Scholar] [CrossRef]
- Novikov, I.; Abdolmaleki, H.; Britzger, D.; Cooper-Sarkar, A.; Giuli, F.; Glazov, A.; Kusina, A.; Luszczak, A.; Olness, F.; Starovoitov, P.; et al. Parton Distribution Functions of the Charged Pion Within The xFitter. Phys. Rev. D 2020, 102, 014040. [Google Scholar] [CrossRef]
- Conway, J.S.; Adolphsen, C.E.; Alexander, J.P.; Anderson, K.J.; Heinrich, J.G.; Pilcher, J.E.; Possoz, A.; Rosenberg, E.I.; Biino, C.; Greenhalgh, J.F.; et al. Experimental study of muon pairs produced by 252-GeV pions on tungsten. Phys. Rev. D 1989, 39, 92–122. [Google Scholar] [CrossRef]
- Barabanov, M.Y.; Bedolla, M.A.; Brooks, W.K.; Cates, G.D.; Chen, C.; Chen, Y.; Cisbani, E.; Ding, M.; Eichmann, G.; Ent, R.; et al. Diquark Correlations in Hadron Physics: Origin, Impact and Evidence. arXiv 2020, arXiv:2008.07630. [Google Scholar]
- Bhagwat, M.S.; Höll, A.; Krassnigg, A.; Roberts, C.D.; Tandy, P.C. Aspects and consequences of a dressed-quark-gluon vertex. Phys. Rev. C 2004, 70, 035205. [Google Scholar] [CrossRef]
- Cahill, R.T.; Roberts, C.D.; Praschifka, J. Calculation of diquark masses in QCD. Phys. Rev. D 1987, 36, 2804. [Google Scholar] [CrossRef] [PubMed]
- Maris, P. Effective masses of diquarks. Few Body Syst. 2002, 32, 41–52. [Google Scholar] [CrossRef]
- Eichmann, G.; Cloet, I.C.; Alkofer, R.; Krassnigg, A.; Roberts, C.D. Toward unifying the description of meson and baryon properties. Phys. Rev. C 2009, 79, 012202(R). [Google Scholar] [CrossRef]
- Segovia, J.; El-Bennich, B.; Rojas, E.; Cloet, I.C.; Roberts, C.D.; Xu, S.S.; Zong, H.S. Completing the picture of the Roper resonance. Phys. Rev. Lett. 2015, 115, 171801. [Google Scholar] [CrossRef]
- Segovia, J.; Roberts, C.D.; Schmidt, S.M. Understanding the nucleon as a Borromean bound-state. Phys. Lett. B 2015, 750, 100–106. [Google Scholar] [CrossRef]
- Eichmann, G.; Fischer, C.S.; Sanchis-Alepuz, H. Light baryons and their excitations. Phys. Rev. D 2016, 94, 094033. [Google Scholar] [CrossRef]
- Lu, Y.; Chen, C.; Roberts, C.D.; Segovia, J.; Xu, S.S.; Zong, H.S. Parity partners in the baryon resonance spectrum. Phys. Rev. C 2017, 96, 015208. [Google Scholar] [CrossRef]
- Chen, C.; El-Bennich, B.; Roberts, C.D.; Schmidt, S.M.; Segovia, J.; Wan, S. Structure of the nucleon’s low-lying excitations. Phys. Rev. D 2018, 97, 034016. [Google Scholar] [CrossRef]
- Roberts, C.D.; Holt, R.J.; Schmidt, S.M. Nucleon spin structure at very high x. Phys. Lett. B 2013, 727, 249–254. [Google Scholar] [CrossRef]
- Segovia, J.; Chen, C.; Cloet, I.C.; Roberts, C.D.; Schmidt, S.M.; Wan, S. Elastic and transition form factors of the Δ(1232). Few Body Syst. 2014, 55, 1–33. [Google Scholar] [CrossRef]
- Segovia, J.; Roberts, C.D. Dissecting nucleon transition electromagnetic form factors. Phys. Rev. C 2016, 94, 042201(R). [Google Scholar] [CrossRef]
- Mezrag, C.; Segovia, J.; Chang, L.; Roberts, C.D. Parton distribution amplitudes: Revealing correlations within the proton and Roper. Phys. Lett. B 2018, 783, 263–267. [Google Scholar] [CrossRef]
- Maris, P. Electromagnetic properties of diquarks. Few Body Syst. 2004, 35, 117–127. [Google Scholar] [CrossRef]
- Roberts, H.L.L.; Bashir, A.; Gutiérrez-Guerrero, L.X.; Roberts, C.D.; Wilson, D.J. π- and ρ-mesons, and their diquark partners, from a contact interaction. Phys. Rev. C 2011, 83, 065206. [Google Scholar] [CrossRef]
- Anselmino, M.; Predazzi, E.; Ekelin, S.; Fredriksson, S.; Lichtenberg, D.B. Diquarks. Rev. Mod. Phys. 1993, 65, 1199–1234. [Google Scholar] [CrossRef]
- Aznauryan, I.; Burkert, V.; Lee, T.S.; Mokeev, V. Results from the N* program at JLab. J. Phys. Conf. Ser. 2011, 299, 012008. [Google Scholar] [CrossRef]
- Burkert, V.D.; Lee, T.S.H. Electromagnetic meson production in the nucleon resonance region. Int. J. Mod. Phys. E 2004, 13, 1035–1112. [Google Scholar] [CrossRef]
- Segovia, J.; Cloet, I.C.; Roberts, C.D.; Schmidt, S.M. Nucleon and Δ elastic and transition form factors. Few Body Syst. 2014, 55, 1185–1222. [Google Scholar] [CrossRef]
- Chen, C.; Lu, Y.; Binosi, D.; Roberts, C.D.; Rodríguez-Quintero, J.; Segovia, J. Nucleon-to-Roper electromagnetic transition form factors at large Q2. Phys. Rev. D 2019, 99, 034013. [Google Scholar] [CrossRef]
- Chen, C.; Krein, G.I.; Roberts, C.D.; Schmidt, S.M.; Segovia, J. Spectrum and structure of octet and decuplet baryons and their positive-parity excitations. Phys. Rev. D 2019, 100, 054009. [Google Scholar] [CrossRef]
- Lu, Y.; Chen, C.; Cui, Z.F.; Roberts, C.D.; Schmidt, S.M.; Segovia, J.; Zong, H.S. Transition form factors: γ*+p→Δ(1232), Δ(1600). Phys. Rev. D 2019, 100, 034001. [Google Scholar] [CrossRef]
- Cui, Z.F.; Chen, C.; Binosi, D.; de Soto, F.; Roberts, C.D.; Rodríguez-Quintero, J.; Schmidt, S.M.; Segovia, J. Nucleon elastic form factors at accessible large spacelike momenta. Phys. Rev. D 2020, arXiv:2003.11655. [Google Scholar] [CrossRef]
- Eichmann, G.; Alkofer, R.; Krassnigg, A.; Nicmorus, D. Nucleon mass from a covariant three-quark Faddeev equation. Phys. Rev. Lett. 2010, 104, 201601. [Google Scholar] [CrossRef] [PubMed]
- Xu, S.S.; Cui, Z.F.; Chang, L.; Papavassiliou, J.; Roberts, C.D.; Zong, H.S. New perspective on hybrid mesons. Eur. Phys. J. A (Lett.) 2019, 55, 113. [Google Scholar] [CrossRef]
- Souza, E.V.; Ferreira, M.N.; Aguilar, A.C.; Papavassiliou, J.; Roberts, C.D.; Xu, S.S. Pseudoscalar glueball mass: A window on three-gluon interactions. Eur. Phys. J. A (Lett.) 2020, 56, 25. [Google Scholar] [CrossRef]
- Yin, P.L.; Chen, C.; Krein, G.; Roberts, C.D.; Segovia, J.; Xu, S.S. Masses of ground-state mesons and baryons, including those with heavy quarks. Phys. Rev. D 2019, 100, 034008. [Google Scholar] [CrossRef]
- Edwards, R.G.; Dudek, J.J.; Richards, D.G.; Wallace, S.J. Excited state baryon spectroscopy from lattice QCD. Phys. Rev. D 2011, 84, 074508. [Google Scholar] [CrossRef]
- CLAS Collaboration. Measurement of ep→e′pπ+π- and baryon resonance analysis. Phys. Rev. Lett. 2003, 91, 022002. [Google Scholar] [CrossRef] [PubMed]
- Burkert, V.D. Evidence of new nucleon resonances from electromagnetic meson production. EPJ Web Conf. 2012, 37, 01017. [Google Scholar] [CrossRef]
- Kamano, H.; Nakamura, S.X.; Lee, T.S.H.; Sato, T. Nucleon resonances within a dynamical coupled-channels model of πN and γN reactions. Phys. Rev. C 2013, 88, 035209. [Google Scholar] [CrossRef]
- Crede, V.; Roberts, W. Progress towards understanding baryon resonances. Rept. Prog. Phys. 2013, 76, 076301. [Google Scholar] [CrossRef] [PubMed]
- Mokeev, V.I.; Aznauryan, I.; Burkert, V.; Gothe, R. Recent results on the nucleon resonance spectrum and structure from the CLAS detector. EPJ Web Conf. 2016, 113, 01013. [Google Scholar] [CrossRef]
- Anisovich, A.V.; Burkert, V.; Hadžimehmedović, H.; Ireland, D.G.; Klempt, E.; Nikonov, V.A.; Omerović, R.; Osmanović, H.; Sarantsev, A.V.; Švarc, A.; et al. Strong Evidence for Nucleon Resonances near 1900 MeV. Phys. Rev. Lett. 2017, 119, 062004. [Google Scholar] [CrossRef] [PubMed]
- Braun, V.M.; Collins, S.; Gläßle, B.; Göckeler, M.; Schäfer, A.; Schiel, R.W.; Södner, W.; Sternbeck, A.; Wein, P. Light-cone Distribution Amplitudes of the Nucleon and Negative Parity Nucleon Resonances from Lattice QCD. Phys. Rev. D 2014, 89, 094511. [Google Scholar] [CrossRef]
- Bali, G.S.; Braun, V.M.; Göckeler, M.; Gruber, M.; Hutzler, F.; Schäfer, A.; Schiel, R.W.; Simeth, J.; Södner, W.; Sternbeck, A.; et al. Light-cone distribution amplitudes of the baryon octet. JHEP 2016, 02, 070. [Google Scholar] [CrossRef]
- Braun, V.M.; Collins, S.; Göckeler, M.; Pérez-Rubio, P.; Schäfer, A.; Schiel, R.W.; Sternbeck, A. Second Moment of the Pion Light-cone Distribution Amplitude from Lattice QCD. Phys. Rev. D 2015, 92, 014504. [Google Scholar] [CrossRef]
- Gao, F.; Chang, L.; Liu, Y.X. Bayesian extraction of the parton distribution amplitude from the Bethe-Salpeter wave function. Phys. Lett. B 2017, 770, 551–555. [Google Scholar] [CrossRef]
- Zhang, J.H.; Chen, J.W.; Ji, X.; Jin, L.; Lin, H.W. Pion Distribution Amplitude from Lattice QCD. Phys. Rev. D 2017, 95, 094514. [Google Scholar] [CrossRef]
- Zhang, J.H.; Jin, L.; Lin, H.W.; Schäfer, A.; Sun, P.; Yang, Y.B.; Zhang, R.; Zhao, Y.; Chen, J.W. Kaon Distribution Amplitude from Lattice QCD and the Flavor SU(3) Symmetry. Nucl. Phys. B 2019, 939, 429–446. [Google Scholar] [CrossRef]
- Roper, L.D. Evidence for a P-11 Pion-Nucleon Resonance at 556 MeV. Phys. Rev. Lett. 1964, 12, 340–342. [Google Scholar] [CrossRef]
- Bareyre, P.; Bricman, C.; Valladas, G.; Villet, G.; Bizard, J.; Seguinot, J. Pion-nucleon interactions between Tlab = 300 and Tlab = 700 MeV. Phys. Lett. 1964, 8, 137–141. [Google Scholar] [CrossRef]
- Auvil, P.; Lovelace, C.; Donnachie, A.; Lea, A. Pion-nucleon phase shifts and resonances. Phys. Lett. 1964, 12, 76–80. [Google Scholar] [CrossRef]
- Adelman, S.L. Evidence for an N* Resonance at 1425 MeV. Phys. Rev. Lett. 1964, 13, 555–557. [Google Scholar] [CrossRef]
- Roper, L.D.; Wright, R.M.; Feld, B.T. Energy-Dependent Pion-Nucleon Phase-Shift Analysis. Phys. Rev. 1965, 138, B190–B210. [Google Scholar] [CrossRef]
- Li, B.L.; Chang, L.; Gao, F.; Roberts, C.D.; Schmidt, S.M.; Zong, H.S. Distribution amplitudes of radially-excited π and K mesons. Phys. Rev. D 2016, 93, 114033. [Google Scholar] [CrossRef]
- Li, B.L.; Chang, L.; Ding, M.; Roberts, C.D.; Zong, H.S. Leading-twist distribution amplitudes of scalar- and vector-mesons. Phys. Rev. D 2016, 94, 094014. [Google Scholar] [CrossRef]
- Jefferson Lab Hall A Collaboration. GEp/GMp ratio by polarization transfer in e→p→ep→. Phys. Rev. Lett. 2000, 84, 1398–1402. [Google Scholar] [CrossRef]
- Cates, G.; de Jager, C.; Riordan, S.; Wojtsekhowski, B. Flavor decomposition of the elastic nucleon electromagnetic form factors. Phys. Rev. Lett. 2011, 106, 252003. [Google Scholar] [CrossRef]
- Wilson, D.J.; Cloet, I.C.; Chang, L.; Roberts, C.D. Nucleon and Roper electromagnetic elastic and transition form factors. Phys. Rev. C 2012, 85, 025205. [Google Scholar] [CrossRef]
- Sachs, R. High-Energy Behavior of Nucleon Electromagnetic Form Factors. Phys. Rev. 1962, 126, 2256–2260. [Google Scholar] [CrossRef]
- Perdrisat, C.F.; Punjabi, V.; Vanderhaeghen, M. Nucleon electromagnetic form factors. Prog. Part. Nucl. Phys. 2007, 59, 694–764. [Google Scholar] [CrossRef]
- Akhiezer, A.; Rekalo, M. Polarization effects in the scattering of leptons by hadrons. Sov. J. Part. Nucl. 1974, 4, 277. [Google Scholar]
- Arnold, R.; Carlson, C.E.; Gross, F. Polarization Transfer in Elastic electron Scattering from Nucleons and Deuterons. Phys. Rev. C 1981, 23, 363. [Google Scholar] [CrossRef]
- Jefferson Lab Hall A Collaboration. Measurement of G(E(p))/G(M(p)) in e→p→ep→ to Q2=5.6GeV2. Phys. Rev. Lett. 2002, 88, 092301. [Google Scholar] [CrossRef] [PubMed]
- Punjabi, V.; Perdrisat, C.F.; Aniol, K.A.; Baker, F.T.; Berthot, J.; Bertin, P.Y.; Bertozzi, W.; Besson, A.; Bimbot, L.; Boeglin, W.U.; et al. Proton elastic form factor ratios to Q2=3.5GeV2 by polarization transfer. Phys. Rev. C 2005, 71, 055202. [Google Scholar] [CrossRef]
- Puckett, A.J.R.; Brash, E.J.; Gayou, O.; Jones, M.K.; Pentchev, L.; Perdrisat, C.F.; Punjabi, V.; Aniol, V.; Averett, T.; Benmokhtar, F.; et al. Final Analysis of Proton Form Factor Ratio Data at Q2 = 4.0, 4.8 and 5.6 GeV2. Phys. Rev. C 2012, 85, 045203. [Google Scholar] [CrossRef]
- Puckett, A.J.R.; Brash, E.J.; Jones, M.K.; Luo, W.; Meziane, M.; Pentchev, L.; Perdrisat, C.F.; Punjabi, V.; Wesselmann, F.R.; Ahmidouch, A.; et al. Recoil Polarization Measurements of the Proton Electromagnetic Form Factor Ratio to Q2=8.5GeV2. Phys. Rev. Lett. 2010, 104, 242301. [Google Scholar] [CrossRef]
- Kelly, J.J. Simple parametrization of nucleon form factors. Phys. Rev. C 2004, 70, 068202. [Google Scholar] [CrossRef]
- Bradford, R.; Bodek, A.; Budd, H.S.; Arrington, J. A New parameterization of the nucleon elastic form-factors. Nucl. Phys. Proc. Suppl. 2006, 159, 127–132. [Google Scholar] [CrossRef]
- Gutiérrez-Guerrero, L.X.; Bashir, A.; Cloet, I.C.; Roberts, C.D. Pion form factor from a contact interaction. Phys. Rev. C 2010, 81, 065202. [Google Scholar] [CrossRef]
- Frank, M.; Jennings, B.; Miller, G. The Role of color neutrality in nuclear physics: Modifications of nucleonic wave functions. Phys. Rev. C 1996, 54, 920–935. [Google Scholar] [CrossRef] [PubMed]
- Chang, L.; Liu, Y.X.; Roberts, C.D. Dressed-quark anomalous magnetic moments. Phys. Rev. Lett. 2011, 106, 072001. [Google Scholar] [CrossRef] [PubMed]
- Kallidonis, C.; Syritsyn, S.; Engelhardt, M.; Green, J.; Meinel, S.; Negele, J.; Pochinsky, A. Nucleon electromagnetic form factors at high Q2 from Wilson-clover fermions. PoS 2018, LATTICE2018, 125. [Google Scholar]
- E93-038 Collaboration. Measurements of GEn/GMn from the 2H(e→,e′n→) reaction to Q2=1.45GeV/c)2. Phys. Rev. Lett. 2003, 91, 122002. [Google Scholar] [CrossRef]
- Riordan, S.; Abrahamyan, S.; Craver, B.; Kelleher, A.; Kolarkar, A.; Miller, J.; Cates, G.D.; Liyanage, N.; Wojtsekhowski, B.; Acha, A.; et al. Measurements of the Electric Form Factor of the Neutron up to Q2 = 3.4 GeV2 using the Reaction 3He→(e→,e′n)pp. Phys. Rev. Lett. 2010, 105, 262302. [Google Scholar] [CrossRef]
- Schlessinger, L.; Schwartz, C. Analyticity as a Useful Computation Tool. Phys. Rev. Lett. 1966, 16, 1173–1174. [Google Scholar] [CrossRef]
- Schlessinger, L. Use of Analyticity in the Calculation of Nonrelativistic Scattering Amplitudes. Phys. Rev. 1968, 167, 1411–1423. [Google Scholar] [CrossRef]
- Tripolt, R.A.; Haritan, I.; Wambach, J.; Moiseyev, N. Threshold energies and poles for hadron physical problems by a model-independent universal algorithm. Phys. Lett. B 2017, 774, 411–416. [Google Scholar] [CrossRef]
- Binosi, D.; Chang, L.; Ding, M.; Gao, F.; Papavassiliou, J.; Roberts, C.D. Distribution Amplitudes of Heavy-Light Mesons. Phys. Lett. B 2019, 790, 257–262. [Google Scholar] [CrossRef]
- Xu, Y.Z.; Binosi, D.; Cui, Z.F.; Li, B.L.; Roberts, C.D.; Xu, S.S.; Zong, H.S. Elastic electromagnetic form factors of vector mesons. Phys. Rev. D 2019, 100, 114038. [Google Scholar] [CrossRef]
- HAPPEX Collaboration. Parity-violating electron scattering from 4He and the strange electric form-factor of the nucleon. Phys. Rev. Lett. 2006, 96, 022003. [Google Scholar] [CrossRef] [PubMed]
- G0 Collaboration. Strange quark contributions to parity-violating asymmetries in the forward G0 electron-proton scattering experiment. Phys. Rev. Lett. 2005, 95, 092001. [Google Scholar] [CrossRef] [PubMed]
- Arrington, J.; Melnitchouk, W.; Tjon, J.A. Global analysis of proton elastic form factor data with two-photon exchange corrections. Phys. Rev. C 2007, 76, 035205. [Google Scholar] [CrossRef]
- Wojtsekhowski, B.; Cates, G.D.; Riordan, S. Measurement of the Neutron Electromagnetic Form Factor Ratio Gen/GMn at High Q2; Jefferson Lab 12 GeV Experiment: E12-09-016; 2009; Approved. Available online: https://www.jlab.org/exp_prog/proposals/09/PR12-09-016.pdf (accessed on 22 August 2020).










| asymptotic PDA | ||||
| lQCD [225] | 0.314 (3) | 0.314 (7) | ||
| lQCD [226] | 0.323 (6) | |||
| DSE proton [203] | 0.302 (1) | 0.319 (3) | ||
| DSE proton | ||||
| DSE Roper [203] | ||||
| DSE Roper |
© 2020 by the author. Licensee MDPI, Basel, Switzerland. This article is an open access article distributed under the terms and conditions of the Creative Commons Attribution (CC BY) license (http://creativecommons.org/licenses/by/4.0/).
Share and Cite
Roberts, C.D. Empirical Consequences of Emergent Mass. Symmetry 2020, 12, 1468. https://doi.org/10.3390/sym12091468
Roberts CD. Empirical Consequences of Emergent Mass. Symmetry. 2020; 12(9):1468. https://doi.org/10.3390/sym12091468
Chicago/Turabian StyleRoberts, Craig D. 2020. "Empirical Consequences of Emergent Mass" Symmetry 12, no. 9: 1468. https://doi.org/10.3390/sym12091468
APA StyleRoberts, C. D. (2020). Empirical Consequences of Emergent Mass. Symmetry, 12(9), 1468. https://doi.org/10.3390/sym12091468
