Next Article in Journal
A Cosserat Model of Elastic Solids Reinforced by a Family of Curved and Twisted Fibers
Next Article in Special Issue
Charge Asymmetry in Top Quark Pair Production
Previous Article in Journal
A Decision-Making Algorithm Based on the Average Table and Antitheses Table for Interval-Valued Fuzzy Soft Set
Previous Article in Special Issue
Long-Range Correlations between Observables in a Model with Translational Invariance in Rapidity
 
 
Font Type:
Arial Georgia Verdana
Font Size:
Aa Aa Aa
Line Spacing:
Column Width:
Background:
Article

Asymmetries in Processes of Electron–Positron Annihilation

by
Andrej Arbuzov
1,2,*,†,
Serge Bondarenko
1,† and
Lidia Kalinovskaya
3,†
1
Bogoliubov Laboratory of Theoretical Physics, JINR, Joliot-Curie str. 6, 141980 Dubna, Russia
2
Department of Fundamental Problems of Microworld Physics, Dubna State University, Universitetskaya str. 19, 141982 Dubna, Russia
3
Dzhelepov Laboratory of Nuclear Problems, JINR, Joliot-Curie str. 6, 141980 Dubna, Russia
*
Author to whom correspondence should be addressed.
These authors contributed equally to this work.
Symmetry 2020, 12(7), 1132; https://doi.org/10.3390/sym12071132
Submission received: 14 June 2020 / Revised: 3 July 2020 / Accepted: 6 July 2020 / Published: 7 July 2020
(This article belongs to the Special Issue Symmetry in Particle Physics)

Abstract

Processes of electron–positron annihilation into a pair of fermions were considered. Forward–backward and left–right asymmetries were studied, taking into account polarization of initial and final particles. Complete 1-loop electroweak radiative corrections were included. A wide energy range including the Z boson peak and higher energies relevant for future e + e colliders was covered. Sensitivity of observable asymmetries to the electroweak mixing angle and fermion weak coupling was discussed.

1. Introduction

Symmetries play a key role in the construction of physical theories. In fact, they allow us to describe a huge variety of observables by means of compact formulae. We believe that the success of theoretical models based on symmetry principles is due to the presence of the corresponding properties in Nature. The Standard Model (SM) is the most successful physical theory ever. Its predictions are in excellent agreement with practically all experimental results in particle physics. The renormalizability of the model allows us to preserve unitarity and provide finite verifiable results. Both phenomenological achievements and nice theoretical features of the SM are mainly due to the extended usage of symmetries in its construction. The model is based on several symmetries of different type, including the Lorentz (Poincaré) symmetry, the gauge S U ( 3 ) C × S U ( 2 ) L × U ( 1 ) Y symmetries, the CPT symmetry, the spontaneously broken global S U ( 2 ) L × S U ( 2 ) R symmetry in the Higgs sector, etc. Some symmetries of the model are exact (or seem to be exact within the present precision) while others are spontaneously or explicitly broken. In particular, the nature of the symmetry among the three generations of fermions is one of the most serious puzzles in the SM and verification of the lepton universality hypothesis is on the task list of modern experiments.
Despite the great successes of the SM, we can hardly believe that it is the true fundamental theory of Nature. Most likely, it is an effective model with a limited applicability domain. The search for the upper energy limit of the SM applicability is the actual task at all high-energy colliders experiments. Up to now, all direct attempts to find elementary particles and interactions beyond the Standard Model have failed. The accent of experimental studies has shifted towards accurate verification of the SM features. Deep investigation of the SM symmetries is an important tool in this line of research.
Asymmetries form a special class of experimental observables. First of all, they explicitly access the breaking of a certain symmetry in Nature. Second, they are usually constructed as a ratio of observed quantities, in which the bulk of experimental and theoretical systematic uncertainties is canceled out. So the asymmetries provide independent additional information on particle interactions. They are especially sensitive to non-standard weak interactions including contributions of right currents and new intermediate Z vector bosons, see e.g., [1].
The physical programs of future (super) high-energy electron–positron colliders such as CLIC [2], ILC [3,4,5], FCC-ee [6], and CEPC [7] necessarily include accurate tests of the SM. Studies of polarization effects and asymmetries will be important to probe of the fundamental properties of Higgs boson(s) and, in particular, in the process of annihilation into top quarks [8,9,10]. The future colliders plan to start operation in the so-called GigaZ mode at the Z peak and improve upon the LEP both in statistical and systematical uncertainties in tests of the SM [11] by at least one order of magnitude. Among these collider projects, the FCC-ee one has the most advanced program of high-precision measurements of SM processes at the Z peak. Such tests have been performed at LEP and SLC and they have confirmed the validity of the SM at the electroweak (EW) energy scale of about 100 GeV [12,13]. During the LEP era, extensive experimental and theoretical studies of asymmetries made an important contribution to the overall verification of the SM, see review [14] and references therein. The new precision level of future experiments motivates us to revisit the asymmetries and scrutinize the effects of radiative corrections (RCs) to them. In the analysis of LEP data, semi-analytic computer codes like ZFITTER [15] and TOPAZ0 [16] were extensively used. The forthcoming new generation of experiment requires more advanced programs, primarily Monte Carlo event generators.
The article is organized as follows. The next section contains preliminary remarks and the general notations. Section 3 is devoted to the left–right asymmetry. The forward–backward asymmetry is considered in Section 4. Discussion of the left–right forward–backward asymmetry is presented in Section 5. In Section 6, we provide results related to the final state fermion polarization. Section 7 contains a discussion and conclusions.

2. Preliminaries and Notations

In the recent paper [17] by the SANC group, high-precision theoretical predictions for the process e + e l + l ( l = μ or τ ) were presented. With the help of computer system SANC [18], we calculated the complete 1-loop electroweak radiative corrections to these processes, taking into account possible longitudinal polarization of the initial beams. The calculations were performed within the helicity amplitude formalism, taking into account the initial and final state fermion masses. So, the SANC system provides a solid framework to access asymmetries in e + e annihilation processes and to study various relevant effects. In particular, the system allows us to separate effects due to quantum electrodynamics (QED) and weak radiative corrections.
The focus of this article is on the description and assessment of the asymmetry family: the left–right asymmetry A LR , the forward–backward asymmetry A FB , the left–right forward–backward asymmetry A LRFB , and the final state fermion polarization P τ in collisions of high-energy polarized or unpolarized e + e beams. The main aim was to verify the effect of radiative corrections on the extraction of the SM parameters from the asymmetries and to analyze the corresponding theoretical uncertainty.
We performed calculations for polarized initial and final state particles. Beam polarizations play an important role:
  • They improve the sensitivity to CP-violating anomalous couplings or form factors, which are measurable even with unpolarized beams through the forward–backward asymmetry.
  • With the polarization of both beams, the sensitivity to the new physics scale can be increased by a factor of up to 1.3 with respect to the case with only polarized electrons [1].
  • A high-luminosity at the GigaZ stage of a collider running at the Z boson resonance with positron polarization allows us to improve the accuracy of the determination of sin 2 ϑ W ( ϑ W  is the electroweak mixing angle) by an order of magnitude, through studies of the left–right asymmetry [1].
Numerical illustrations for each asymmetry are given in two energy domains: the wide center-of-mass energy range 20 s 500  GeV and the narrow one around the Z resonance ( 70 s 100  GeV), where a peculiar behavior of observables can be seen. All results were produced with the help of the e + e branch [19] of the MCSANC Monte Carlo integrator [20].
Let us introduce the notation. First of all, we define quantities A f ( f = e , μ , τ ) which are often used for description of asymmetries at the Z peak:
A f 2 g V f g A f g V f 2 + g A f 2 = 1 ( g R f / g L f ) 2 1 + ( g R f 2 / g L f 2 ) 2 ,
where the vector and axial-vector coupling constants of the weak neutral current of the fermion f with the electromagnetic charge q f (in the units of the positron charge e) are
g V f I f 3 2 q f sin 2 ϑ W , g A f I f 3 .
The corresponding left and right fermion couplings are
g L f I f 3 q f sin 2 ϑ W , g R f q f sin 2 ϑ W .
The neutral current couplings g L f and g R f quantify the strength of the interaction between the Z boson and the given chiral states of the fermion.
We claim that there are sizable corrections to all observable asymmetries due to radiative corrections which affect simple Born-level analytic formulae relating the asymmetries with electroweak parameters. It is especially interesting to consider the behavior of asymmetries in different EW schemes: α ( 0 ) , α ( M Z 2 ) , and G μ , see their definitions below. We also will compare the results in the Born and 1-loop approximation. The latter means inclusion of 1-loop radiative corrections of one of the following types: pure QED photonic RCs (marked as “QED”), weak RCs (marked as “weak”), and the complete 1-loop electroweak RCs (marked as “EW”):
σ EW = σ Born + σ QED + σ weak .
The weak part in our notation includes 1-loop self-energy corrections to photon and Z boson propagators. In our notation, higher-order effects due to interference of pure QED and weak contributions are a part of σ weak .
The cross section of a generic annihilation process of longitudinally polarized e + and e with polarization degrees P e + and P e can be expressed as follows:
σ ( P e , P e + ) = ( 1 + P e ) ( 1 + P e + ) σ R R + ( 1 P e ) ( 1 + P e + ) σ L R + ( 1 + P e ) ( 1 P e + ) σ R L + ( 1 P e ) ( 1 P e + ) σ L L .
Here σ a b = i j ( k ) | H a b i j ( k ) | 2 are the 2 2 ( 3 ) helicity amplitudes of the reaction, ( a b = R R , R L , L R , L L ) with right-handed R = ”+” or left-handed L = “−” initial particles.
It is convenient to combine the electron P e and positron P e + polarizations into the effective quantity
P eff = P e P e + 1 P e P e + .
In the case when only the electron beam is polarized, the effective polarization coincides with the electron one.
To investigate theoretical uncertainties, we use the following three EW schemes:
  • the α ( 0 ) scheme in which the fine-structure constant α ( 0 ) is used as input. The contribution of RCs in this scheme is enhanced by the large logarithms of light fermion masses via α ( 0 ) ln ( s / m f 2 )  terms.
  • The α ( M Z 2 ) scheme in which the effective electromagnetic constant α ( M Z 2 ) is used at Born level while virtual 1-loop and real photon bremsstrahlung contributions are proportional to α 2 ( M Z 2 ) α ( 0 ) . In this scheme the virtual RCs receive contributions from the quantity Δ α ( M Z 2 ) which describes the evolution of the electromagnetic coupling from the scale Q 2 = 0 to the Q 2 = M Z 2 one and cancels the large terms with logarithms of light fermion masses.
  • the G μ scheme in which the Fermi coupling constant G μ , extracted from the muon life time, is used at the Born level while the virtual 1-loop and real photon bremsstrahlung contributions are proportional to G μ 2 α ( 0 ) . The virtual RCs receive contributions from the quantity Δ r . Since the expression for Δ r contains the Δ α ( M Z 2 ) , the large terms with logarithms of the light masses are also canceled. The quantity Δ r rules the G μ and α ( 0 ) relation in this scheme.
Results of fixed-order perturbative calculations in these schemes differ due to missing higher-order effects. In what follows, numerical calculations are performed in the α ( 0 ) EW scheme if another choice is not explicitly indicated.

3. Left–Right Asymmetry A LR

A scheme to measure the A LR polarization asymmetry at the Z peak was suggested in [21]. It was shown that this observable can be used as for extraction of electroweak couplings as well as for a polarimeter calibration.
If we neglect the initial electron masses, the polarized cross-section can be rewritten in the following form:
σ ( P e , P e + ) = ( 1 P e P e + ) [ 1 P eff A LR ] σ 0 ,
where σ 0 is the unpolarized cross-section.
The left–right asymmetry in the presence of partially polarized ( | P eff | < 1 ) initial beams is defined as
A LR = 1 P eff σ ( P eff ) σ ( P eff ) σ ( P eff ) + σ ( P eff ) ,
where σ is the cross-section with polarization P eff .
In the case of fully polarized initial particles ( | P e ± | = 1 ) the definition (7) becomes:
A LR = σ L e σ R e σ L e + σ R e ,
where L e and R e refer to the left and right helicity states of the incoming electron.
Equations (6) and (7) show that A LR does not depend on the degree of the initial beam polarization.
This type of asymmetry is sensitive to weak interaction effects in the initial vertex. In the Born approximation at energies close to the Z resonance, it is directly related to the electron coupling:
A LR A e .
The left–right asymmetry A LR as a function of the center-of-mass system (c.m.s.) energy in the ranges 20 s 500  GeV (Left) and 70 s 110  GeV (Right) is shown in Figure 1. We explore A LR in different approximations and the corresponding shifts Δ A LR between the Born level and 1-loop corrected approximations taking into account either pure QED, or weak, or complete EW effects: Δ A LR = A LR (1-loop corrected)- A LR (Born). The right figure shows the behavior of A LR near the Z resonance, and the value A e at s = M Z is indicated by a black dot (see (9)).
One can notice that although the total 1-loop EW corrections to the process cross-section are equal to the sum of the pure QED and weak ones, the corresponding shifts Δ A LR are not additive. That is because the asymmetry is defined as a ratio and the corrections affect both the numerator and denominator.
In Figure 2 we show A LR for the Born and weak 1-loop corrected levels of accuracy in different EW schemes and the corresponding shifts Δ A LR = A LR (weak, some EW scheme)- A LR (Born). We see that the effects due to weak corrections in different EW schemes behave in a similar way. Nevertheless the scheme dependence is visible within the expected precision of future measurements. The deviations between the results in different schemes can be treated as a contribution into the theoretical uncertainty due to missing higher order corrections.
The impact of 1-loop EW contributions to Δ A LR is of the order 0.1 in the resonance region, but at energies above s = 200  GeV there are considerable cancellations between weak and QED effects so that the combined EW corrections becomes small (but still numerically important for high-precision measurements).
Summary for A LR
The left–right asymmetry A LR is almost insensitive to the details of particle detection since the corresponding experimental uncertainties tend to cancel out in the ratio (7). It (almost) does not depend on the final state fermion couplings in the vicinity of the Z boson peak and can be measured for any final state with a large gain in statistics. For this reasons it is appropriate for extraction of the sin 2 ϑ W eff value.
We observe that the values Δ A LR due to weak and pure QED 1-loop corrections are very significant at high energies in general, but in the resonance region impact of QED is small, while the weak contribution to Δ A LR reaches 0.07. Therefore, it is necessary to evaluate all possible radiative correction contributions to the weak parts of RCs carefully and thoroughly.

4. Forward–Backward Asymmetry A FB

The forward–backward asymmetry is defined as
A FB = σ F σ B σ F + σ B , σ F = 0 1 d σ d cos ϑ f d cos ϑ f , σ B = 1 0 d σ d cos ϑ f d cos ϑ f ,
where ϑ f is the angle between the momenta of the incoming electron and the outgoing negatively charged fermion. It can be measured in any e + e f f ¯ channels but for precision test the most convenient channels are f = e , μ . The channels with production of τ leptons, b or c quarks are very interesting as well.
At the Born level, this asymmetry is proportional to the product of initial and final state couplings and is caused by parity violation at both production and decay vertices:
A FB 3 4 A e A f .
In the case of partially polarized initial beams the condition (11) reduces to the following one
A FB 3 4 A e P eff 1 A e P eff A f .
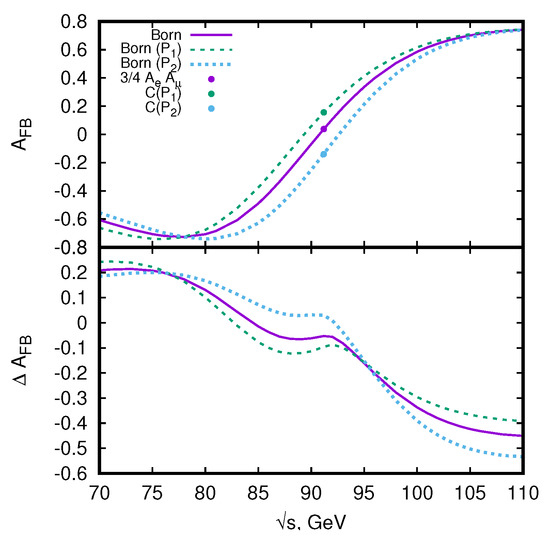
In Figure 3 we show the behavior of the A FB asymmetry in the Born and 1-loop approximations (with weak, pure QED, or complete EW contributions) and the corresponding Δ A FB for c.m.s. energy range 20 s 500  GeV in the left plot and for the Z peak region of c.m.s. energy 70 s 110  GeV in the right one. As in the previous case of A LR , we indicate by a black dot the value A FB 3 / 4 A e A μ at the resonance. We observe that the weak contribution to A FB is small and practically does not depend on energy. The shift Δ A FB changes the sign at the resonance and tends to a constant value ( 0.3 ) above 200 GeV. The huge magnitude of the shift Δ A FB out of the Z resonance region is coming mainly from the pure QED corrections. In particular, above the peak the effect due to radiative return to the resonance is very important.
Figure 4 shows the dependence of A FB for different levels of accuracy (Born and 1-loop weak) on the EW scheme choice: either α ( 0 ) , or G μ , or α ( M Z 2 ) . The corresponding shifts Δ A FB between the Born and the 1-loop weak corrected approximations are shown in the lower plot.
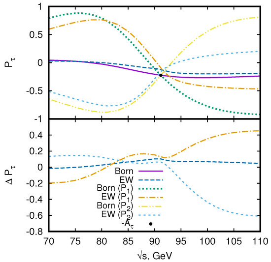
Below we investigate two sets of polarization degree P i = ( P e , P e + ) :
P 1 = ( 0.8 , 0.3 ) and P 2 = ( 0.8 , 0.3 ) .
In Figure 5 we compare the values of A FB asymmetry and the corresponding shifts due to EW corrections for the unpolarized case and two choices of polarized beams defined in the above equation. One can see that a combination of polarization degrees of initial particles can either increase or decrease the magnitude of the A FB asymmetry with respect to the unpolarized case.
There is an interesting idea [22] to use the A FB asymmetry at the FCC-ee in order to directly access the value of QED running coupling at M Z . This idea was supported in [23] where it was demonstrated that higher-order QED radiative corrections to A FB are under control. Our results show that higher-order effects due to weak interactions are not negligible in this observable; further studies are required.
At the Born level there are contributions suppressed by the small factor m f 2 / s with the fermion mass squared. It is interesting to note that in 1-loop radiative corrections there are contributions of the relative order α · m f / s with the fermion mass to the first power [24], which are numerically relevant at high energies especially for the b quark channel.
Summary for A FB
The weak 1-loop contribution Δ A FB is rather small for the whole energy range, see Figure 3. Nevertheless in this asymmetry the difference between the pure QED and the complete 1-loop approximations near the resonance is numerically important. The dependence on the EW scheme choice, see Figure 4, is small but still relevant for high-precision measurements. The dependence of this asymmetry on polarization is very significant.

5. Left–Right Forward–Backward Asymmetry A LRFB

In order to measure the weak couplings of the final state fermions, it was suggested to analyze the so-called left–right forward–backward asymmetry [25]:
A LRFB = σ L e σ R e F σ L e σ R e B σ L e + σ R e F + σ L e + σ R e B ,
where σ L and σ R are the cross sections with left and right handed helicities of the initial electrons.
From the definition (14) it follows that A LRFB partially inherits the properties of the A LR and, in particular, does not depend on the degree of the initial beam polarizations.
In the case of unpolarized beams on the Z resonance peak, the Born-level asymmetry is
A LRFB 3 4 A f .
In Figure 6 we present the predictions for the A LRFB asymmetry in several approximations, namely at the Born level and with 1-loop weak, pure QED, and complete EW contributions.
Next, we repeat the study of the A LRFB asymmetry behavior in different EW schemes. We have illustrated the energy dependence of the A LRFB asymmetry in α ( 0 ) , G μ , and α ( M Z 2 ) schemes and the corresponding Δ A LRFB in Figure 7. The impact of weak corrections on A LRFB is large. For example, the Born-level value of A LRFB at the Z peak is about 0.17 , while accounting for the weak RCs contribution reduces the asymmetry value down to ∼0.11.
Summary for A LRFB
We would like to emphasize that the above Formula (15) appears to be a rather rough approximation since radiative corrections shift the observable value of A LRFB quite a lot. Apparently the A LRFB asymmetry is more affected by weak corrections than A LR . The shifts Δ A LRFB only slightly depend on an EW scheme choice. The A LRFB asymmetry at the Z boson peak depends on the final lepton coupling that could be used to measure the μ and τ weak couplings and their difference from the initial lepton (electron) one.

6. Final-State Fermion Polarization P f

The polarization of a final-state fermion P f = μ , τ can be expressed as the ratio between the difference of the cross sections for right and left handed final state helicities and their sum
P f = σ R f σ L f σ R f + σ L f .
In an experiment, it can be measured for the τ + τ channel by reconstructing the τ polarization from the pion spectrum in the decay τ π ν . Details of the analysis of P τ measurements at LEP are described in [13]. Computer programs TAOLA [26] and KORALZ [27,28] were applied for this analysis. Estimated improvement for P τ and τ decay products over LEP time in ILC in the GigaZ program was done in [5].
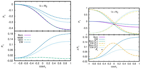
In the case for unpolarized beams in the vicinity of the Z peak, the expression for channel e + e τ + τ is simplified to
P τ ( cos ϑ τ ) A τ + 2 cos ϑ τ 1 + cos 2 ϑ τ A e 1 + 2 cos ϑ τ 1 + cos 2 ϑ τ A e A τ .
From this observable, one can extract information on the couplings A τ and A e , simultaneously.
In Figure 8 (left) we show the distribution of P τ in the cosine of the scattering angle at the Z peak in the Born and 1-loop (weak, QED, and EW) approximations. The same conventions as in previous sections are applied for the shifts Δ P τ . The shift due to pure QED RCs is approximately a constant close to zero. But one can see that this observable is very sensitive to the presence of weak-interaction corrections.
In the presence of initial beams polarization the expression depends on P eff :
P τ ( cos ϑ ) A τ ( 1 A e P eff ) + 2 cos ϑ τ ( 1 + cos 2 ϑ τ ) ( A e P eff ) ( 1 A e P eff ) + 2 cos ϑ τ ( 1 + cos 2 ϑ τ ) A τ ( A e P eff ) .
which can be reduced to the short form neglecting the A e A τ and A e P eff terms:
P τ ( cos ϑ τ ) A τ 2 cos ϑ τ ( 1 + cos 2 ϑ τ ) ( A e P eff ) .
The influence of the initial particle polarization on P τ at the Z peak is demonstrated in the Figure 8 (right). For comparison the unpolarized and two polarized cases (13) as functions of cos ϑ τ are shown. It is seen that the behavior of P τ depends on the polarization set choices very much, note that it even changes the sign for the P 2 case. The corresponding shifts Δ P τ also strongly depend on the initial beam polarization degrees and change the shape accordingly (note the maximum for P 1 ).
In Figure 9 we show the dependence of P τ on the c.m.s. energy in the Born and 1-loop approximations (weak, QED, and EW). We see that at energies above the Z resonance, both weak and QED radiative corrections to P τ are large and considerable cancellations happen between their contributions. Note that theoretical uncertainties in weak and QED RCs are not correlated, so it is necessary to take into account higher-order effects to reduce the resulting uncertainty in the complete 1-loop result for P τ at high energies.
In Figure 10 we show P τ in the Born and 1-loop EW approximations for different sets of beam polarization degrees in a narrow bin around the Z resonance. The beam polarizations sets P 1 and P 2 are defined in Equation (13). One can see that the energy dependence of P τ is strongly affected by a beam polarization choice outside the Z peak region. The same concerns the size of radiative corrections to P τ , which are represented on the lower plot.
Summary for P τ
The P τ asymmetry is very sensitive to weak-interaction corrections and to the polarization degrees of the initial beams. Near the Z resonance the value of theoretical uncertainty of P τ is determined by the interplay of uncertainties of rather large contributions pure QED and weak radiative corrections.

7. Conclusions

New opportunities of the future e + e colliders: GigaZ options and new energy scale up to several TeV require modern tools for high-precision theoretical calculations of observables. We investigated A LR , A FB and A LRFB for e + e μ + μ channel and polarization P τ for the final state in e + e τ + τ channel on the Z resonance and in the high energy region up to 500 GeV by using MCSANC. We evaluated the resulting shifts of asymmetries at the Born and EW levels of accuracy in different EW schemes. The numerical results presented above for pure QED, weak, and complete EW radiative corrections show an interplay between the weak and QED contributions to asymmetries. This fact indicates the necessity to consider those contributions always in combined way.
Asymmetries in e + e annihilation processes provide a powerful tool for investigation of symmetries between three fermion generations. By studying all available asymmetries, one can extract parameters of weak interactions in the neutral current for all three charged leptons. So, by comparing the parameters it will be possible to verify the lepton universality hypothesis at a new level of precision.
Hypothetical extra neutral Z vector bosons [29] can contribute to the processes of e + e annihilation. For example, effects of Kaluza–Klein excited vector bosons in the gauge Higgs unification on e + e annihilation cross sections were considered in [30,31]. Since the new bosons can have couplings to left and right fermions being different from the SM ones, the asymmetries (especially with polarized beams) can help a lot in search for such Z bosons.
At the FCC-ee we have experimental precision tag in the sin 2 ϑ W eff measurement of the order of 5 × 10 6 , which means more than a thirty-fold improvement with respect to the current precision of 1.6 × 10 4 . This is due to a factor of several hundred improvement on statistical errors and because of a considerable improvement in particle identification and vertexing. In order to provide theoretical predictions for the considered asymmetries with sufficiently small uncertainties which would not spoil the precision of the future experiments besides the complete 1-loop EW radiative corrections presented here we need:
  • higher order pure QED corrections preferably with resummation;
  • higher order (electro)weak corrections;
  • taking into account perturbative and nonperturbative quantum chromodynamics (QCD) effects in RCs;
  • Monte Carlo event generators and integrators which ensure the required technical precision.
Challenges in calculations of higher order QED effects for FCC-ee were discussed in Ref. [32]. The complete two-loop electroweak corrections in the vicinity of the Z boson peak have been presented in [33]. More details on challenges for high-precision theoretical calculations for future e + e colliders can be found in [34,35].

Author Contributions

Conceptualization, A.A., S.B. and L.K.; methodology, A.A., S.B. and L.K.; software, A.A., S.B. and L.K.; validation, A.A., S.B. and L.K.; formal analysis, A.A., S.B. and L.K.; investigation, A.A., S.B. and L.K.; resources, A.A., S.B. and L.K.; data curation, A.A., S.B. and L.K.; writing—original draft preparation, A.A., S.B. and L.K.; writing—review and editing, A.A., S.B. and L.K. The authors claim to have contributed equally and significantly in this paper. All authors have read and agreed to the published version of the manuscript.

Funding

This research was funded by RFBR grant 20-02-00441.

Acknowledgments

The authors are grateful to Ya. Dydyshka, R. Sadykov, V. Yermolchyk, and A. Sapronov for fruitful discussions and numerical cross checks, and to A. Kalinovskaya for the help with preparation of the manuscript.

Conflicts of Interest

The authors declare no conflict of interest.

Abbreviations

The following abbreviations are used in this manuscript:
SMStandard Model
QEDquantum electrodynamics
QCDquantum chromodynamics
EWelectroweak
RCsradiative corrections
FBforward–backward
LRleft–right
c.m.s.center-of-mass system

References

  1. Fujii, K.; Grojean, C.; Peskin, M.E.; Barklow, T.; Gao, Y.; Kanemura, S.; Kim, H.; List, J.; Nojiri, M.; Perelstein, M.; et al. Tests of the Standard Model at the International Linear Collider. arXiv 2019, arXiv:1908.11299. [Google Scholar]
  2. A Multi-TeV Linear Collider Based on CLIC Technology: CLIC Conceptual Design Report; SLAC National Accelerator Lab.: Menlo Park, CA, USA, 2012. [CrossRef]
  3. Moortgat-Pick, G. The Role of polarized positrons and electrons in revealing fundamental interactions at the linear collider. Phys. Rep. 2008, 460, 131–243. [Google Scholar] [CrossRef]
  4. The International Linear Collider Technical Design Report—Volume 2: Physics. arXiv 2013, arXiv:1306.6352.
  5. Bambade, P.; Barklow, T.; Behnke, T.; Berggren, M.; Brau, J.; Burrows, P.; Denisov, D.; Faus-Golfe, A.; Foster, B.; Fujii, K.; et al. The International Linear Collider: A Global Project. arXiv 2019, arXiv:1903.01629. [Google Scholar]
  6. Abada, A. FCC-ee: The Lepton Collider: Future Circular Collider Conceptual Design Report Volume 2. Eur. Phys. J. ST 2019, 228, 261–623. [Google Scholar] [CrossRef]
  7. Ahmad, M.; Alves, D.; An, H.; An, Q.; Arhrib, A.; Arkani-Hamed, N.; Ahmed, I.; Bai, Y.; Ferroli, R.B.; Ban, Y.; et al. CEPC-SPPC Preliminary Conceptual Design Report. 1. Physics and Detector. Preprint IHEP-CEPC-DR-2015-01. 2015. Available online: https://inspirehep.net/literature/1395734 (accessed on 1 June 2020).
  8. Bhupal Dev, P.; Djouadi, A.; Godbole, R.; Muhlleitner, M.; Rindani, S. Determining the CP properties of the Higgs boson. Phys. Rev. Lett. 2008, 100, 051801. [Google Scholar] [CrossRef]
  9. Hagiwara, K.; Ma, K.; Yokoya, H. Probing CP violation in e+e production of the Higgs boson and toponia. JHEP 2016, 6, 48. [Google Scholar] [CrossRef]
  10. Ma, K. Enhancing CP Measurement of the Yukawa Interactions of Top-Quark at ee+ Collider. Phys. Lett. B 2019, 797, 134928. [Google Scholar] [CrossRef]
  11. Erler, J.; Heinemeyer, S.; Hollik, W.; Weiglein, G.; Zerwas, P. Physics impact of Giga Z. Phys. Lett. B 2000, 486, 1389–1402. [Google Scholar] [CrossRef][Green Version]
  12. Grunewald, M. Experimental tests of the electroweak standard model at high-energies. Phys. Rep. 1999, 322, 125–346. [Google Scholar] [CrossRef]
  13. Schael, S. Precision electroweak measurements on the Z resonance. Phys. Rep. 2006, 427, 257–454. [Google Scholar] [CrossRef]
  14. Mnich, J. Experimental tests of the standard model in e+e→ f anti-f at the Z resonance. Phys. Rep. 1996, 271, 181–266. [Google Scholar] [CrossRef]
  15. Arbuzov, A.; Awramik, M.; Czakon, M.; Freitas, A.; Grunewald, M.; Monig, K.; Riemann, S.; Riemann, T. ZFITTER: A Semi-analytical program for fermion pair production in e+e annihilation, from version 6.21 to version 6.42. Comput. Phys. Commun. 2006, 174, 728–758. [Google Scholar] [CrossRef]
  16. Montagna, G.; Nicrosini, O.; Piccinini, F.; Passarino, G. TOPAZ0 4.0: A New version of a computer program for evaluation of deconvoluted and realistic observables at LEP-1 and LEP-2. Comput. Phys. Commun. 1999, 117, 278–289. [Google Scholar] [CrossRef]
  17. Bondarenko, S.; Dydyshka, Y.; Kalinovskaya, L.; Sadykov, R.; Yermolchyk, V. One-loop electroweak radiative corrections to lepton pair production in polarized electron-positron collisions. arXiv 2020, arXiv:2005.04748. [Google Scholar]
  18. Andonov, A.; Arbuzov, A.; Bardin, D.; Bondarenko, S.; Christova, P.; Kalinovskaya, L.; Nanava, G.; von Schlippe, W. SANCscope—v.1.00. Comput. Phys. Commun. 2006, 174, 481–517. [Google Scholar] [CrossRef]
  19. Arbuzov, A.; Bondarenko, S.; Dydyshka, Y.; Kalinovskaya, L.; Rumyantsev, L.; Sadykov, R.; Yermolchyk, V. Electron-positron annihilation processes in MCSANCee. CERN Yellow Rep. Monogr. 2020, 3, 213–216. [Google Scholar] [CrossRef]
  20. Arbuzov, A.; Bardin, D.; Bondarenko, S.; Christova, P.; Kalinovskaya, L.; Klein, U.; Kolesnikov, V.; Rumyantsev, L.; Sadykov, R.; Sapronov, A. Update of the MCSANC Monte Carlo integrator, v. 1.20. JETP Lett. 2016, 103, 131–136. [Google Scholar] [CrossRef]
  21. Blondel, A. A Scheme to Measure the Polarization Asymmetry at the Z Pole in LEP. Phys. Lett. B 1988, 202, 145. [Google Scholar] [CrossRef]
  22. Janot, P. Direct measurement of αQED(mZ2) at the FCC-ee. JHEP 2016, 2, 53. [Google Scholar] [CrossRef]
  23. Jadach, S.; Yost, S. QED Interference in Charge Asymmetry Near the Z Resonance at Future Electron-Positron Colliders. Phys. Rev. D 2019, 100, 013002. [Google Scholar] [CrossRef]
  24. Arbuzov, A.; Bardin, D.; Leike, A. Analytic final state corrections with cut for e+ e− —> massive fermions. Mod. Phys. Lett. A 1992, 7, 2029–2038. [Google Scholar] [CrossRef]
  25. Blondel, A.; Lynn, B.; Renard, F.; Verzegnassi, C. Precision Measurements of Final State Weak Coupling from Polarized Electron—Positron Annihilation. Nucl. Phys. B 1988, 304, 438–450. [Google Scholar] [CrossRef][Green Version]
  26. Jadach, S.; Was, Z.; Decker, R.; Kuhn, J.H. The tau decay library TAUOLA: Version 2.4. Comput. Phys. Commun. 1993, 76, 361–380. [Google Scholar] [CrossRef]
  27. Jadach, S.; Ward, B.; Was, Z. The Monte Carlo program KORALZ, version 4.0, for the lepton or quark pair production at LEP/SLC energies. Comput. Phys. Commun. 1994, 79, 503–522. [Google Scholar] [CrossRef]
  28. Jadach, S.; Ward, B.; Was, Z. The Monte Carlo program KORALZ, for the lepton or quark pair production at LEP/SLC energies: From version 4.0 to version 4.04. Comput. Phys. Commun. 2000, 124, 233–237. [Google Scholar] [CrossRef]
  29. Langacker, P. The Physics of Heavy Z Gauge Bosons. Rev. Mod. Phys. 2009, 81, 1199–1228. [Google Scholar] [CrossRef]
  30. Funatsu, S.; Hatanaka, H.; Hosotani, Y.; Orikasa, Y. Distinct signals of the gauge-Higgs unification in e+e collider experiments. Phys. Lett. B 2017, 775, 297–302. [Google Scholar] [CrossRef]
  31. Funatsu, S. Forward-backward asymmetry in the gauge-Higgs unification at the International Linear Collider. Eur. Phys. J. C 2019, 79, 854. [Google Scholar] [CrossRef]
  32. Jadach, S.; Skrzypek, M. QED challenges at FCC-ee precision measurements. Eur. Phys. J. C 2019, 79, 756. [Google Scholar] [CrossRef]
  33. Dubovyk, I.; Freitas, A.; Gluza, J.; Riemann, T.; Usovitsch, J. Electroweak pseudo-observables and Z-boson form factors at two-loop accuracy. JHEP 2019, 8, 113. [Google Scholar] [CrossRef]
  34. Blondel, A.; Freitas, A.; Gluza, J.; Riemann, T.; Heinemeyer, S.; Jadach, S.; Janot, P. Theory Requirements and Possibilities for the FCC-ee and other Future High Energy and Precision Frontier Lepton Colliders. arXiv 2019, arXiv:1901.02648. [Google Scholar]
  35. Blondel, A.; Gluza, J.; Jadach, S.; Janot, P.; Riemann, T. (Eds.) Theory for the FCC-ee: Report on the 11th FCC-ee Workshop Theory and Experiments; Vol. 3/2020; CERN Yellow Reports: Monographs; CERN: Geneva, Switzerland, 2019. [Google Scholar] [CrossRef]
Figure 1. (Left) The A LR asymmetry in the Born and 1-loop (weak, pure quantum electrodynamics (QED), and electroweak (EW)) approximations and Δ A LR vs. center-of-mass system (c.m.s.) energy in a wide range; (Right) the same for the Z peak region.
Figure 1. (Left) The A LR asymmetry in the Born and 1-loop (weak, pure quantum electrodynamics (QED), and electroweak (EW)) approximations and Δ A LR vs. center-of-mass system (c.m.s.) energy in a wide range; (Right) the same for the Z peak region.
Symmetry 12 01132 g001
Figure 2. The A LR asymmetry at the Born level and with 1-loop weak radiative corrections (RCs); the corresponding shifts Δ A LR within α ( 0 ) , G μ , and α ( M Z 2 ) EW schemes vs. c.m.s. energy in the peak region.
Figure 2. The A LR asymmetry at the Born level and with 1-loop weak radiative corrections (RCs); the corresponding shifts Δ A LR within α ( 0 ) , G μ , and α ( M Z 2 ) EW schemes vs. c.m.s. energy in the peak region.
Symmetry 12 01132 g002
Figure 3. (Left) The A FB asymmetry in the Born and 1-loop (weak, QED, EW) approximations and the corresponding shifts Δ A FB for a wide c.m.s. energy range; (Right) the same for the Z peak region.
Figure 3. (Left) The A FB asymmetry in the Born and 1-loop (weak, QED, EW) approximations and the corresponding shifts Δ A FB for a wide c.m.s. energy range; (Right) the same for the Z peak region.
Symmetry 12 01132 g003
Figure 4. The A FB asymmetry and Δ A FB in the Born and complete 1-loop EW approximations within the α ( 0 ) , G μ , and α ( M Z 2 ) EW schemes vs. the c.m.s energy.
Figure 4. The A FB asymmetry and Δ A FB in the Born and complete 1-loop EW approximations within the α ( 0 ) , G μ , and α ( M Z 2 ) EW schemes vs. the c.m.s energy.
Symmetry 12 01132 g004
Figure 5. The A FB asymmetry at the Born level (upper panel) and the corresponding Δ A FB in the 1-loop EW approximation (bottom panel) for unpolarized and polarized cases with degrees of beam polarizations P 1 , 2 (13) vs. c.m.s. energy in the Z peak region. The constants C ( P 1 , 2 ) stand for the expression (12) with polarization degrees (13).
Figure 5. The A FB asymmetry at the Born level (upper panel) and the corresponding Δ A FB in the 1-loop EW approximation (bottom panel) for unpolarized and polarized cases with degrees of beam polarizations P 1 , 2 (13) vs. c.m.s. energy in the Z peak region. The constants C ( P 1 , 2 ) stand for the expression (12) with polarization degrees (13).
Symmetry 12 01132 g005
Figure 6. (Left) The A LRFB asymmetry in the Born and 1-loop (weak, QED, EW) approximations and Δ A LRFB for c.m.s. energy range; (Right) the same for the Z peak region.
Figure 6. (Left) The A LRFB asymmetry in the Born and 1-loop (weak, QED, EW) approximations and Δ A LRFB for c.m.s. energy range; (Right) the same for the Z peak region.
Symmetry 12 01132 g006
Figure 7. The A LRFB asymmetry in the Born and 1-loop EW approximations and Δ A LRFB within α ( 0 ) , G μ , and α ( M Z 2 ) EW schemes vs. c.m.s. energy in the Z peak region.
Figure 7. The A LRFB asymmetry in the Born and 1-loop EW approximations and Δ A LRFB within α ( 0 ) , G μ , and α ( M Z 2 ) EW schemes vs. c.m.s. energy in the Z peak region.
Symmetry 12 01132 g007
Figure 8. (Left) The P τ polarization in the Born and 1-loop (weak, pure QED, and EW) approximations as a function of cos ϑ τ at s = M Z . (Right) The P τ polarization for unpolarized and polarized cases with (13) degrees of initial beam polarizations in the Born and EW 1-loop approximations vs. cosine of the final τ lepton scattering angle at the Z peak.
Figure 8. (Left) The P τ polarization in the Born and 1-loop (weak, pure QED, and EW) approximations as a function of cos ϑ τ at s = M Z . (Right) The P τ polarization for unpolarized and polarized cases with (13) degrees of initial beam polarizations in the Born and EW 1-loop approximations vs. cosine of the final τ lepton scattering angle at the Z peak.
Symmetry 12 01132 g008
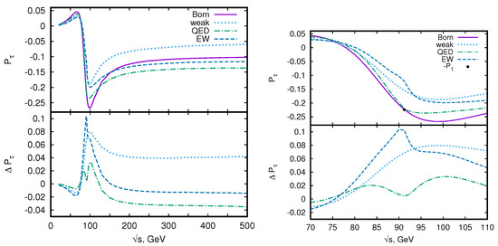
Figure 9. (Left) The P τ polarization in the Born and 1-loop (weak, pure QED, and EW) approximations and Δ P τ vs. c.m.s. energy in a wide range; (Right) the same for the Z peak region. The black dot indicates the value P τ at the Z resonance.
Figure 9. (Left) The P τ polarization in the Born and 1-loop (weak, pure QED, and EW) approximations and Δ P τ vs. c.m.s. energy in a wide range; (Right) the same for the Z peak region. The black dot indicates the value P τ at the Z resonance.
Symmetry 12 01132 g009
Figure 10. The P τ polarization for (13) degrees of the initial beam polarizations in the Born and 1-loop EW approximations vs. c.m.s. energy in the Z peak region.
Figure 10. The P τ polarization for (13) degrees of the initial beam polarizations in the Born and 1-loop EW approximations vs. c.m.s. energy in the Z peak region.
Symmetry 12 01132 g010

Share and Cite

MDPI and ACS Style

Arbuzov, A.; Bondarenko, S.; Kalinovskaya, L. Asymmetries in Processes of Electron–Positron Annihilation. Symmetry 2020, 12, 1132. https://doi.org/10.3390/sym12071132

AMA Style

Arbuzov A, Bondarenko S, Kalinovskaya L. Asymmetries in Processes of Electron–Positron Annihilation. Symmetry. 2020; 12(7):1132. https://doi.org/10.3390/sym12071132

Chicago/Turabian Style

Arbuzov, Andrej, Serge Bondarenko, and Lidia Kalinovskaya. 2020. "Asymmetries in Processes of Electron–Positron Annihilation" Symmetry 12, no. 7: 1132. https://doi.org/10.3390/sym12071132

APA Style

Arbuzov, A., Bondarenko, S., & Kalinovskaya, L. (2020). Asymmetries in Processes of Electron–Positron Annihilation. Symmetry, 12(7), 1132. https://doi.org/10.3390/sym12071132

Note that from the first issue of 2016, this journal uses article numbers instead of page numbers. See further details here.

Article Metrics

Back to TopTop