Abstract
In order to reduce the total cost of empty container repositioning, a multi-period empty container repositioning optimization model of the China Railway Express was established by using distributed robust chance-constrained programming based on partial information such as mean and variance of demand. This established model considered sea-land intermodal transportation, uncertain empty container demand and foldable containers. To simplify the model, the distributed robust chance constraints were transformed into equivalent ones that could be easily solved, and the empty container demands were determined. Numerical experiments were carried out to analyze the influence of different parameters on the total cost. The results showed that the total cost could be greatly reduced by sea-land intermodal transportation. Using foldable containers could reduce the total cost of empty container repositioning. With the improvement of service level, the numbers of empty container repositioning increased owing to the distributional robust chance constraints. When standard and foldable containers were used simultaneously, the total cost could be greatly reduced by appropriately using foldable containers under three different supply–demand relationships of containers. The optimization results may provide a greatly feasible reference for the decision makers of the China Railway Express.
1. Introduction
In 2013, China put forward the “One Belt One Road” initiative to promote economic development. This initiative has greatly facilitated the trade between China and Europe. In order to improve the efficiency of cargo transportation, the China Railway Expresses have successfully opened between some cities in China and Europe. By 2017, the China Railway Express had opened 57 routes, covering 35 cities in China and 34 cities in Europe. Due to the imbalance of trade between China and Europe, the number of eastbound trains (to China) is about half that of westbound trains (to Europe). As a result, Chinese cities have become the demand area for empty containers, and European cities have become the supply area for empty containers. How to reduce the repositioning cost of empty containers has become a major difficulty in the actual operation. Therefore, the optimization problem of empty container repositioning is a practical decision issue faced by liner companies
Before the opening of the China Railway Express, 90% of the cargo between China and Europe were mainly transported by sea, and the transportation time was about 30 to 40 days. In order to save transportation time, many scholars have started to pay more and more attention to the research of railway transportation optimization, such as the studies of Urbaniak, M et al. [1], and Jacyna, M [2]. After the opening of the China Railway Express, the transportation time of the cargo was shortened from 20 to 30 days. However, the transportation cost of the China Railway Express is about four times that of maritime transport. In order to maintain the development of the China Railway Express, the Chinese government has implemented a subsidy policy to ensure that its actual transport cost is not much different from maritime transport cost. However, in the next few years after 2020, the government will gradually withdraw the subsidy policy, which will inevitably lead to changes in the demand for empty containers in some cities and increase uncertainties for empty container repositioning. In order to reduce the cost of empty container repositioning, some liner companies transported the empty containers by sea-land intermodal transportation, which leaded to an increase in transportation time. It should be pointed out that the foldable containers can also bring some possibilities of reducing the cost of empty container repositioning.
2. Literature Review
In maritime transportation, Moon, I.K et al. [3] studied the problem of renting and purchasing empty containers between multiple ports. Song, D.P et al. [4] studied the optimization of empty container repositioning considering multi-vessels and multi-voyages, and solved the problem by a two-stage method based on shortest path and a two-stage method based on a heuristic algorithm. Zheng, J et al. [5] used a reverse optimization method to determine the optimal total cost of empty container repositioning by considering the coordination between liner carriers. Sainz Bernat, N et al. [6] studied empty container repositioning considering emissions, maintenance, repair options and street-turns. In terms of land transportation, Dang, Q.V et al. [7] proposed three inventory strategies to study empty container repositioning under an inland multi-yard system and solved the model with a genetic algorithm. In multimodal transport, Olivo, A et al. [8] constructed an integer programming model to solve the empty container repositioning optimization problem in a multimodal transport network.Xie, Y et al.[9] discussed the inventory sharing and coordination of empty containers between seaports and dry ports in container multimodal transport and designed bilateral repurchase contracts to solve the inventory sharing game between railway companies and liner companies. Regarding foldable containers, Shintani, K et al. [10] studied the optimization of empty container repositioning in inland areas considering foldable containers and found that the use of foldable containers can greatly reduce the cost of empty container repositioning. Moon, I et al. [11] formulated an optimization model of empty container repositioning considering standard and foldable containers, which validated the economy of foldable containers in empty container repositioning. Then, Zhang, S et al. [12] further conducted an optimization model of empty container repositioning for interregional intermodal transport and designed a bionic algorithm to solve the problem. The validity of the model and algorithm was verified by a numerical example.
In recent years, some scholars have begun to pay attention to the study of empty container repositioning under uncertain environments. Crainic, T.G et al. [13] studied the stochastic empty container management problem. Cheung, R.K et al. [14] developed a two-stage stochastic network model to solve the dynamic empty container allocation problem. Di Francesco, M et al. [15] considered the effect of parameter uncertainty and constructed a multi-scenario based on time extension. Examples show that the demand value of empty containers used to satisfy different scenarios may be different due to the uncertainty of parameters. Alan L. Erera, A.L et al. [16] proposed a robust optimization method based on a spatiotemporal network to solve the dynamic empty container repositioning optimization model. The results show that the robust optimization method can effectively restore the flow imbalance caused by uncertainty of supply and demand in a certain situation. Song, D.-P et al. [17] constructed an empty container repositioning optimization model using a discrete time programming method based on the dynamic information of the harbor. A value iteration algorithm was designed to evaluate the optimal strategies of different schemes, and finally optimal cases of different policies were given through an example analysis. Long, Y et al. [18] constructed a two-stage stochastic programming model considering the randomness of empty container demand, empty container supply, and ship capacity. They estimated the expected cost function using the method of sample average approximation and designed an algorithm based on progressive hedging strategy to solve sample average approximation. Peilin, C et al. [19] constructed three game models of empty container repositioning under stochastic demand and demonstrated the impact of different repositioning strategies on the three models. Han, X.L et al. [20] constructed a multi-objective empty container repositioning considering reputation cost and service level of liner companies. After transforming the probabilistic model into a deterministic integer programming model, the relationship between different service levels and reputation cost was analyzed through an example. Hosseini, A et al. [21] studied the optimization of empty container repositioning for European logistics companies under an uncertain environment constructing a new auxiliary chance-constrained programming model and transformed it into a deterministic constrained programming model through proof. Chen, J.-H et al. [22] studied the allocation of empty and heavy container space under a liner alliance, constructed a stochastic chance-constrained programming model, and transformed the model into a deterministic programming model. The results showed that the model and method can be close to reality, realized the coordinated optimization of allocation space under the liner alliance, and satisfied the demand for empty and heavy containers under the uncertain environment.
In summary, the research on empty container repositioning in uncertain environments has achieved fruitful results. However, most of the existing studies mainly focus on the optimization of empty container repositioning in a single transportation mode, lacking research on sea-land intermodal transportation. At the same time, most of the existing literature assumes that the probability distribution of empty container demand is known in advance. However, due to the short service life of the China Railway Express and the lack of historical data, it is difficult to determine the probability distribution of empty container demand, which will bring some troubles to decision makers. Therefore, this paper employed the distributed robust optimization method to study the optimization of empty container repositioning in China and Europe. Considering the return of empty containers in China and Europe, we adopt two methods of land and sea-land intermodal transportation and consider the influence of the foldable containers.
3. Materials and Methods
The customers are susceptible to national policies. This leads to that the customers have different demands in each time period Due to the short opening horizon of the China Railway Express in each city and the lack of historical data, it is difficult to grasp the exact value or accurate probability distribution of the empty container demands in each horizon. Therefore, this paper introduces the principle of distributed robust optimization, based on the information of uncertain demand, and studies the problem of empty container repositioning optimization of the China Railway Express. The problem has the following three main characteristics:
(1) The empty containers can be transported by sea-land intermodal transportation. Although the transportation cost can be greatly reduced, the transportation time is increased. How to balance the total cost and the transportation time is an optimization direction for the empty container repositioning of the China Railway Express.
(2) The foldable containers can save space by folded. This can reduce the transportation cost of empty container repositioning but will increase additional folding and unfolding costs. At the same time, the rental cost of a foldable container is higher than that of a standard container. Sensitivity analysis explores the potential of applying foldable containers to reduce the total cost of empty container repositioning. It has also become a major feature of the empty container repositioning optimization of the China Railway Express.
(3) The uncertainty of customer demand determines the randomness of the problem. In order to solve the impact of randomness on real decision-making and consider the uncertainty of demand distribution, this paper introduces the distributed robust optimization theory. Assume that the probability distribution of empty container demand is a distribution set, and distributed robust optimization is combined with chance constraints and based on the worst case optimization. A robust optimization scheme is obtained, i.e., the optimization scheme is not sensitive to parameter variation perturbations.
Based on the above three characteristics, this paper studies the multi-period empty container repositioning optimization problem of the China Railway Express in the three cases of only using standard containers (Case 1), only using foldable containers (Case 2), and using both standard containers and foldable containers (Case 3), aiming at reducing total costs of empty container repositioning. The flow of empty containers in each time period is shown in Figure 1.
Figure 1.
Diagram of empty container flow.
4. Mathematical Models
4.1. Assumptions
The mathematic model for the multi-period empty container repositioning optimization problem of the China Railway Express is constructed reliant on the following assumptions.
Assumption 1: The route of the railway express is known, including origin and destination.
Assumption 2: The path of empty container repositioning by sea-land intermodal transportation can be obtained by the shortest path algorithm. The transportation time and transportation cost on each route will also be calculated. It can be found that the transportation time of each route is much longer than that of the China Railway Express. Therefore, in the model, empty containers repositioned by sea-land intermodal transportation will become available in the next time period.
Assumption 3: Foldable containers must remain folded during transportation and storage. N folding containers occupy the space of a standard container after folding.
Assumption 4: All containers are 40ft, regardless of other types of containers.
Assumption 5: The demand of empty containers in some cities is uncertain, and the probability distribution of empty container demand is a distribution set. In each time period, the empty container demand of each city is independent and fixed.
Assumption 6: The excess empty containers during the planning horizon can only be stored in the city node and cannot be stored in the customer node.
Assumption 7: All demands of empty containers can be satisfied at each time period.
4.2. Notations
The notations given in this section are shown in Table 1.
Table 1.
The notations of the mathematical models.
4.3. Mathematical Model
The empty container demand of the customer is uncertain. In order to meet the empty container demand, we suppose that at any time the probability , the number of containers available to the at the customer is not less than the demand, that is . Furthermore, the number of containers available to the customer during the time period depends on the repositioning volume of empty containers. We can get the equation of as follows:
Refer to relevant modeling reference Moon, I et al. [11] and Jacyna, M et al. [23,24]. The distributed robust chance constraints under three cases are optimized as follows.
s.t.
The model has three cases. Case 1: , involves using only standard containers; Case 2: , involves using only foldable containers; Case 3: , uses standard containers and foldable containers.
The objective of Function (2) is to minimize the total cost including transportation cost, rental cost, inventory cost, and folding and unfolding cost of foldable containers. Constraints (3) and (4) represent the inventory balance limit of standard and foldable empty containers for the city stations. The empty container inventory at the end of time period t is equal to the empty container inventory at the end of time period(t−1) + the number of empty containers by repositioned from other cities at time period t +the rental empty container number at time period t+ empty container supply at time period t, - the number of empty container by repositioned to other cities at time period t, - the number of empty containers used to meet customer demand at time period t. Constraints (5) and (6) represent the transportation capacity limit between cities and customers. Constraint (7) represents the empty container storage capacity limit of the city station. When , it means the standard container storage number cannot exceed maximum capacity. When , it means the foldable container storage number cannot exceed maximum capacity. When , it means the number of standard containers and foldable containers cannot exceed maximum capacity. Constraints (8) and (9) respectively represent the folding and unfolding volume limit of foldable containers. Constraint (10) represents the chance constraint in the case of the worst distribution of the empty container demand at the uncertain demand nodes.
5. Chance Constraint Equivalent Transformation
Considering the existence of random variables in constraint (10), the empty container repositioning optimization model in three cases is a nonlinear model. This section takes Constraint (10) to convert it into an equivalent linear one.
Because and are equivalent, Constraint (10) is equivalent to . Next, this paper converts the chance constraint into a deterministic constraint:
To complete the proof process, we give Lemma 1: The opportunity Constraint (10) is equivalent to Equation (12).
Proof: , we define the following function:
So the optimization problems can be expressed as Equation (14):
Introducing the Lagrangian product variable matrix , we transform the above-mentioned constrained optimization model problem into an unconstrained extremum problem:
Let , due to , strong duality is established, so the above problem is equivalent to
Among the function, , if and only if , the equation (16) exists the minimum value. There exist two cases at this time:
Case 1 is equivalent to , and Case 2 is established if and only if , and it makes .
By Case 1 and 2 we can get , so that
Therefore, the optimization problem (14) is equivalent to (18).
Furthermore, chance constraint (11) is equivalent to (18).
In the reference Ghaoui, L.E et al. [25], the following two properties are equivalent:
- 3.
- 4.
- There is a symmetric matrix and , making
Divide the two sides of (12) by , replace with again, and replace with , and we can get the following formulas:
According to (19), the chance constraint problem can be finally converted to (21)
6. Numerical Experiments
6.1. Experiment Description
Since the “One Belt One Road” strategy was put forward, many cities have opened to the China Railway Express. Jiang, Y et al. [26] pointed out that in 2016, the Lian-Europe, Su-man–Europe, Yi-Xin–Europe, Han–Europe, Rong–Europe, Yu-Xin–Europe, Zheng–Europe and Ying-man–Europe have transported 131,500 TEU, occupying 78.5% of the total freight of the China Railway Express. According to statistics, by the end of 2019, the opening situation of the China Railway Express is shown in Figure 2. Combined with the cargo flow situation, this paper selects the cities shown in Table 2 for the optimization of empty container transportation.
Figure 2.
Selection of regional cities in China and Europe in 2017.
Table 2.
Selection of regional cities in China and Europe.
Since the transit time of the China Railway Express is roughly 20 days to 30 days, the length of each time period is regarded as 25 days, and the numbers of time periods are 12. Considering that transportation time by sea is relatively long, if the empty containers are transported by sea-land intermodal transportation, they need to be available in the next horizon. In the numerical example, each city’s deterministic and uncertain customers are simplified into a whole. During each time period, the empty container demand of the deterministic customers, the average value and variance of the empty container demand of the uncertain customers in each city, and supply are shown in Table 3. In Table 3, (a) represents total supply of empty containers, (b) represents supply of standard empty containers, (c) represents supply of foldable containers, (d) represents empty container demand of deterministic customers, (e) represents empty container demand of uncertain customers, and (f) represents demand variance of uncertain customers. We assume that the initial empty container number of each city node is 0 and the maximum inventory quantity does not exceed 1500 TEU. In the same area, the unit transportation cost of standard empty containers between cities is 1.6, 0.8, and 0.4 CNY/KM through three modes of transportation: highway, railway, and water, respectively. When standard empty containers are transported across regions, the unit transportation costs by railway and sea–railway intermodal transportation are 6000 and 1500 CNY/TEU, respectively. The unit rental cost and unit storage cost of the standard empty container are 6000 and 600 CHY, respectively. The number of foldable containers that can be folded into a standard container space is 4, so the unit transportation cost and the unit storage cost of the foldable container are one quarter of the standard container. At the same time, the unit cost of a foldable container is 12,000 CNY/TEU, and the unit cost of folding and unfolding is 30 CNY/TEU. The probability lower bound of the chance constraint is 0.9.
Table 3.
Demand and supply of empty containers at each node.
6.2. Experimental results
In this study, all models were solved by CPLEX 12.6.2, and the i5-6440 CPU processor with a Windows 7 operating system was applied for calculation.
6.2.1. Results Analysis of Case 1 and Case 2
Table 4 shows the calculation results for Case 1 and Case 2. In the context of this example, Case 2 can significantly reduce the total cost of transportation compared to Case 1. At the same time, in each case, some empty containers are transferred back by sea-land intermodal transportation, which can greatly reduce the total cost. It can be seen that the application of foldable containers and the consideration of sea-land intermodal transportation can greatly reduce cost for the optimization of empty container transportation for the China Railway Express.
Table 4.
Calculation results. Unit: 10,000 CNY.
Figure 3, Figure 4 and Figure 5 show the comparison of the total cost of the two cases under the condition of considering the increase and decrease of demand, the increase of unit folding cost, and the reduction of unit rental cost of standard containers.
Figure 3.
Comparison of total cost of two cases under the increase and decrease of demand.
Figure 4.
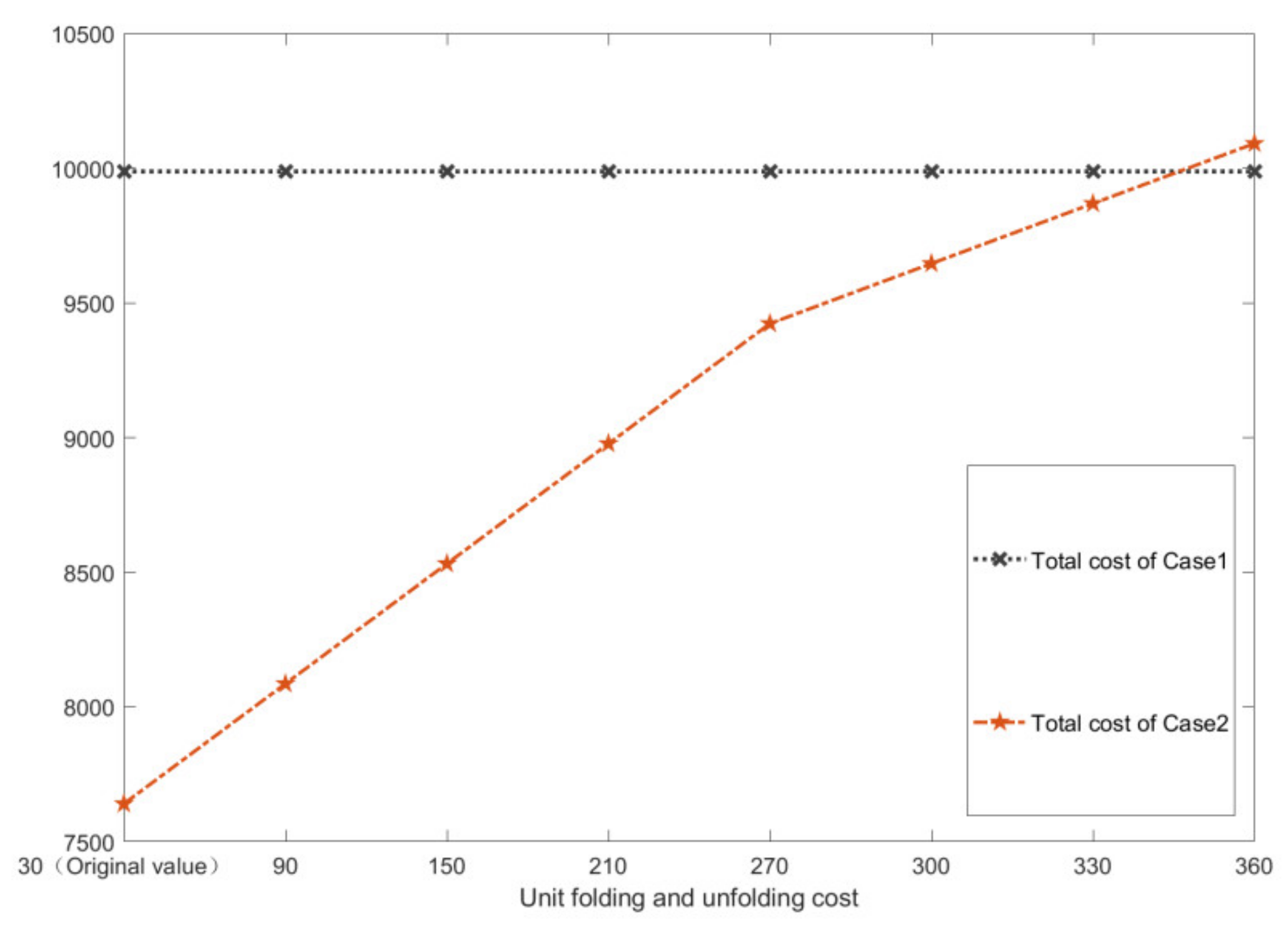
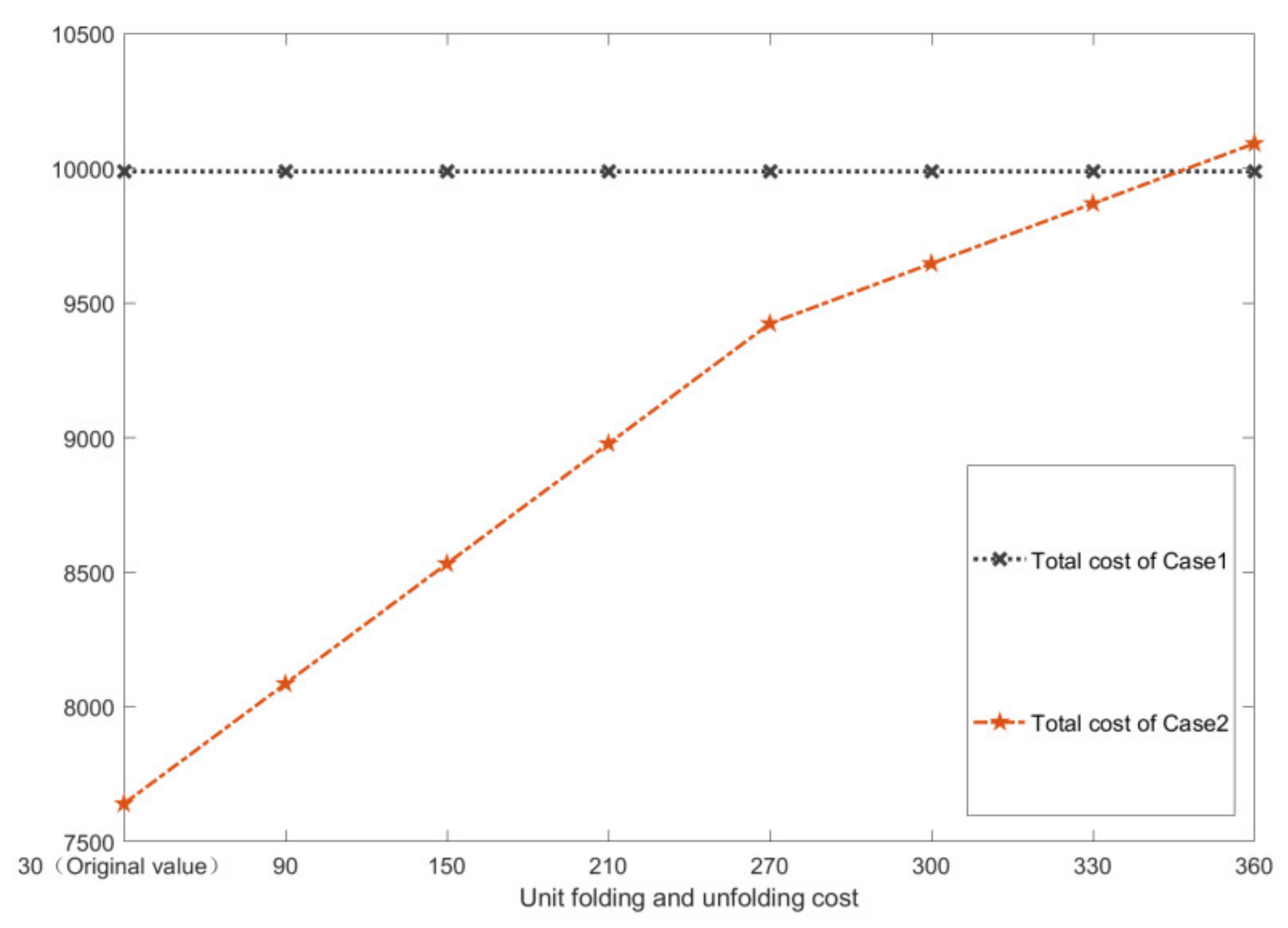
Comparison of total cost under unit folding and unfolding cost increase.
Figure 5.
Comparison of total cost of unit rental cost reduction of standard containers.
It can be seen from Figure 3 that when the demand increases, the total cost of both cases increases sharply, but the use of standard containers is better than that of foldable containers. This is because the system needs to rent empty containers from outside when the demand increases. Since the unit cost of the foldable container is much higher than that of the standard container, the total cost of Case 2 is higher. When the demand is low, the total cost of the two cases decreases firstly and then increases. This is because the storage cost increases sharply when the demand is small. At this time, the use of foldable containers not only reduces transportation costs but also reduces storage costs, which shows a huge advantage over standard containers.
It can be seen from Figure 4 that the advantage of using a foldable container gradually decreases when the unit cost of folding and unfolding increases. In this example, when the unit cost of folding and unfolding is more than 12 times, the use of foldable containers does not bring about cost reduction. Therefore, in practice, the liner company should consider the impact of folding and unfolding changes in unit costs.
Since the cost of a foldable container is higher than that of a standard container, the unit cost of the foldable container is much higher than that of a standard container when renting or buying a container. Figure 5 shows the total cost comparison for the two cases while the standard container unit rental cost is reduced. As the cost of renting a standard container decreases gradually, the advantages of using foldable containers decreases gradually. In this example, when the standard container unit rental cost is less than 2000, the total cost of using standard containers is lower.
6.2.2. Results Analysis of Case 3
The following contents are mainly to analyze the influence of parameter changes to the cost of China–Europe empty containers, such as the change in demand for empty containers, the supply ratio change of standard and foldable empty containers, and the change of uncertain demand variance.
- (1)
- Analysis of the change in demand for empty containers
Figure 6 shows the changes in various costs in the case of increase or decrease of demand for empty containers. The total cost of empty container transportation and the cost of renting increase with the increase of demand. When the demand increases from -10% to 20%, the two kinds of costs change obviously. There is a certain correlation between the change of storage cost and the change of rental cost. When the demand for empty containers increases, additional renting occurs, and the storage cost becomes zero. When the demand for empty containers is reduced, the amount of renting is reduced, and the rental cost gradually becomes zero. Transportation costs change relatively little. However, when the demand increases from 15% to 20%, transportation costs are reduced. When the demand is reduced from 5% to 10%, the transportation cost increases. The main reason for the two turning points is that the total cost can be reduced by optimizing the repositioning volume of the foldable containers.
Figure 6.
Various cost of changes in demand.
- (2)
- Analysis of supply ratio change of standard and foldable empty containers
We explore the potential for reducing the total cost of empty container handling by adjusting supply ratio change of standard and foldable empty containers. As can be seen from Figure 7, when the supply quantity of the foldable container is 0, the total cost of empty container transportation is the highest. As the proportion of supply of foldable containers increases, the costs of empty container transportation also change. When the supply ratio increases by 25% from 0%, the total cost decreases sharply. When the supply ratio increases from 25% to 66.7%, the total cost declines slowly. When the supply ratio increases from 66.7% to 100%, the trend of total cost decrease is not obvious. It can be seen that in the actual situation, it is necessary to rationally adjust the ratio of the two in order to better reduce the total cost.
Figure 7.
Various cost changes of foldable container supply ratio.
- (3)
- Analysis of the probability lower bound of the chance constraint and the variance of the uncertainty demand
It can be seen from Equation (10) that when the probability lower bound of the chance constraint and the uncertainty demand variance change, the quantities of empty containers used to satisfy the uncertain demand of the customer change at the same time. Figure 8 and Figure 9 show the changes in various costs after the change of the two factors. When both of the two factors increase, it leads to an increase in the value on the left side of Equation (10), so it is necessary to increase the amount of empty container transportation, which makes the total cost gradually increase. This also verifies that the distributed robust chance-constrained optimization of this paper is based on the worst case optimization and thus obtains a robust optimization scheme.
Figure 8.
Various cost changes under the probabilistic lower bound value.
Figure 9.
Various cost changes under variance change.
- (4)
- Analysis of related unit cost changes
Unit rental cost and unit transportation cost are two key parameters affecting the optimization of empty container transportation, and they are highly correlated. Figure 10 and Figure 11 show the changes in various costs after the change of the two parameters. It can be seen that the total cost of empty container transportation gradually increases with the increase of unit rental cost and unit transportation cost. In the case that the supply is not less than the demand, if the unit rental cost is lower than the unit transportation cost, the optimization result is biased towards the renting; if the unit renting cost is higher than the unit shipping cost, the optimization result is biased towards the transportation. As shown in Figure 10, when the unit rental cost is reduced by more than 30% or increased by more than 20%, the storage cost, transportation cost, and folding cost remain unchanged, but the rental cost changes. At this time, the amount of renting and transportation is unchanged, but the change in the unit of renting cost causes the change of rental cost. As can be seen from Figure 11, when the unit transportation cost decreases, the transportation cost decreases, the folding and unfolding cost increases, and the rental cost decreases. This is because the transportation volume increases, and the volume of renting decreases. Conversely, when the unit transportation cost increases, the transportation cost increases, the folding and unfolding cost decreases, and the rental cost increases. This is because the transportation volume decreases, and the volume of renting increases.
Figure 10.
Various cost changes under the change of unit rental container cost.
Figure 11.
Various cost changes in unit transport costs.
- (5)
- Analysis of parameter changes under different supply and demand ratios
Because the lower bound of the probability of the chance constraint and the uncertain demand variance mainly affect the supply–demand ratio relationship, the unit transportation cost is related to the unit renting cost. Therefore, the unit transportation cost and the proportion of the supply of foldable containers were finally selected for analysis. Figure 12, Figure 13 and Figure 14 show the impact of two parameter changes on cost under three situations where demand is much smaller than supply, demand is close to supply, and demand is much larger than supply. It can be seen that the total cost of the three situations decreases as the proportion of the foldable container supply increases, and will increase as the unit transportation cost increases.
Figure 12.
The situation of demand is much smaller than supply.
Figure 13.
The situation of demand is close to supply.
Figure 14.
The situation of demand is much larger than supply.
In each situation, when the proportion of the foldable container is increased from 0% to 20%, the total cost of empty container repositioning is reduced at least by half. Therefore, proper investment in foldable containers can greatly reduce the total cost. When the proportion of the foldable container reaches more than 75%, the reduction in the total cost of empty container repositioning is not significant. Considering that the acquisition cost of the foldable container is relatively high, in practice, the proportion of the foldable containers should be appropriately determined.
7. Conclusions
This paper evaluates the feasibility of considering the sea-land intermodal transportation mode and using foldable containers for the reduction of cost of empty container repositioning between China and Europe under an uncertain environment. It constructs an optimization model for empty container repositioning under three cases and analyses the influence of different parameter changes on the total cost. Case 1 involves using only standard containers. Case 2 involves using only foldable containers. Case 3 uses standard containers and foldable containers.
Due to the uncertain empty container demand of the customer, this paper proposes a chance constraint equivalent transformation to solve the problem. After transformation, this model becomes a mixed integer programming model. Thus, CPLEX was used to solve the model.
The results show that Case 2 is better than Case 1. It means that using foldable containers can save costs. Meanwhile, the total cost of partial empty containers can be greatly reduced by maritime transportation. In order to verify the applicability of foldable containers, Case 3 gives the analysis considering standard and foldable containers. It can be found that foldable containers can greatly reduce costs if they are properly invested in three different supply–demand relationships. Using standard and foldable containers at the same time is superior to only using standard or foldable containers. The China Railway Express should allocate the supply proportion of standard and foldable containers according to the actual demand in order to reduce the cost of empty container repositioning.
For future research, we will focus on two aspects. One is the collaborative optimization of heavy and empty container transportation; the other is the combination of hinterland division and empty container repositioning optimization.
Author Contributions
Formal Analysis, L.X. Writing Review and Editing, Q.X. and J.C. Supervision, Z.J. All authors have read and agreed to the published version of the manuscript.
Funding
This research is partially supported by National Natural Science Foundation of China (71572023, 71702019), European Commission Horizon 2020 Grant (GOLF); Humanities and Social Sciences Fund of Chinese Ministry of Education (14YJC630064), Leading Talents Support Program of Dalian (2018-573); and Fundamental Research Funds for the Central Universities (3132019301).
Conflicts of Interest
The authors declare no conflicts of interest.
References
- Urbaniak, M.; Kardas-Cinal, E.; Jacyna, M. Optimization of energetic train cooperation. Symmetry 2019, 11, 1175. [Google Scholar] [CrossRef]
- Jacyna, M. The role of the cargo consolidation center in urban logistics system. Int. J. Sustain. Dev. Plan. 2013, 8, 100–113. [Google Scholar] [CrossRef]
- Moon, I.K.; Do Ngoc, A.D.; Hur, Y.S. Positioning Empty Containers among Multiple Ports with Rental and Purchasing Considerations. OR Spectr. 2010, 32, 765–786. [Google Scholar] [CrossRef]
- Song, D.P.; Dong, J.X. Cargo routing and empty container repositioning in multiple shipping service routes. Transp. Res. Part B 2012, 46, 1556–1575. [Google Scholar] [CrossRef]
- Zheng, J.; Sun, Z.; Gao, Z. Empty container exchange among line carriers. Transp. Res. Part E 2015, 83, 158–169. [Google Scholar] [CrossRef]
- Sainz Bernat, N.; Schulte, F.; Voß, S.; Böse, J. Empty Container Management at Ports Considering Pollution, Repair Options, and Street-Turns. Math. Probl. Eng. 2016, 1–13. [Google Scholar] [CrossRef]
- Dang, Q.V.; Yun, W.Y.; Kopfer, H. Positioning empty containers under dependent demand process. Comput. Ind. Eng. 2011, 62, 708–715. [Google Scholar] [CrossRef]
- Olivo, A.; Zuddas, P.; di Francesco, M.; Manca, A. An Operational Model for Empty Container Management. Marit. Econ. Logist. 2005, 7, 199–222. [Google Scholar] [CrossRef]
- Xie, Y.; Liang, X.; Ma, L.; Yan, H. Empty container management and coordination in intermodal transport. Eur. J. Oper. Res. 2016, 257, 223–232. [Google Scholar] [CrossRef]
- Shintani, K.; Konings, R.; Imai, A. The impact of foldable containers on container fleet management costs in hinterland transport. Transp. Res. Part E 2010, 46, 750–763. [Google Scholar] [CrossRef]
- Moon, I.; Do Ngoc, A.D.; Konings, R. Foldable and standard containers in empty container repositioning. Transp. Res. Part E Logist. Transp. Rev. 2013, 49, 107–124. [Google Scholar] [CrossRef]
- Zhang, S.; Ruan, X.; Xia, Y.; Feng, X. Foldable container in empty container repositioning in intermodal transportation network of Belt and Road Initiative: strengths and limitations. Marit. Policy Manag. 2017, 45, 1–19. [Google Scholar] [CrossRef]
- Crainic, T.G.; Gendreau, M.; Dejax, P. Dynamic and stochastic-models for the allocation of empty containers. Oper. Res. 1993, 102–126. [Google Scholar] [CrossRef]
- Cheung, R.K.; Chen, C.Y. A two-stage stochastic network model and solution methods for the dynamic empty container allocation problem. Transp. Sci. 1998, 32, 142–162. [Google Scholar] [CrossRef]
- Di Francesco, M.; Crainic, T.G.; Zuddas, P. The effect of multi-scenario policies on empty container repositioning. Transp. Res. Part E Logist. Transp. Rev. 2009, 45, 758–770. [Google Scholar] [CrossRef]
- Erera, A.L.; Morales, J.C.; Savelsbergh, M. Robust Optimization for Empty repositioning Problems. Oper. Res. 2009, 57, 468–483. [Google Scholar] [CrossRef]
- Song, D.-P.; Zhang, Q. Impact of Dynamic Information on Empty Container repositioning in a Seaport with Uncertainties. IEEE Conf. Decis. Control 2010, 3300–3305. [Google Scholar] [CrossRef]
- Long, Y.; Lee, L.H.; Chew, E.P. The sample average approximation method for empty container repositioning with uncertainties. Eur. J. Oper. Res. 2012, 222, 65–75. [Google Scholar] [CrossRef]
- Peilin, C.; Jianjun, T.U.; Polytechnic, G.C. Empty container scheduling research under stochastic demand. J. Wuhan Univ. Technol. (Transp. Sci. Eng. Ed.) 2014, 38, 298–303. [Google Scholar] [CrossRef]
- Han, X.L.; Tong, H. Empty containers dispatching optimization with multi-objective based on random demand. J. Guangzhou Univ. 2017, 42, 764–772. [Google Scholar] [CrossRef]
- Hosseini, A.; Sahlin, T. An optimization model for management of empty containers in distribution network of a logistics company under uncertainty. J. Ind. Eng. Int. 2019, 15, 585–602. [Google Scholar] [CrossRef]
- Chen, J.-H.; Yang, C.; Zhen, H.; Zhang, F.-W.; Yu, H.; Zheng, S.-Y. Optimal allocation for shipping alliance slot charter based on stochastic chance constrained programming. J. Transp. Syst. Eng. Inf. Technol. 2018, 18, 207–214. [Google Scholar] [CrossRef]
- Jacyna, M.; Gołębiowski, P.; Krześniak, M. Some aspects of heuristic algorithms and their application in decision support tools for freight railway traffic organization. Sci. J. Sil. Univ. Technol. Ser. Transp. 2017, 96, 59–70. [Google Scholar] [CrossRef]
- Jacyna, M.; Izdebski, M.; Szczepański, E.; Gołda, P. The task assignment of vehicles for a production company. Symmetry 2018, 10, 551. [Google Scholar] [CrossRef]
- Ghaoui, L.E.; Oks, M.; Oustry, F. Worst-case value-at-risk and robust portfolio optimization: A conic programming approach. Oper. Res. 2003, 51, 543–556. [Google Scholar] [CrossRef]
- Jiang, Y.; Sheu, J.B.; Peng, Z.; Yu, B. Hinterland patterns of China Railway (CR) express in China under the Belt and Road Initiative: A preliminary analysis. Transp. Res. Part E Logist. Transp. Rev. 2018, 119, 189–201. [Google Scholar] [CrossRef]
© 2020 by the authors. Licensee MDPI, Basel, Switzerland. This article is an open access article distributed under the terms and conditions of the Creative Commons Attribution (CC BY) license (http://creativecommons.org/licenses/by/4.0/).













