Transport Properties in Dense QCD Matter
Abstract
1. Introduction
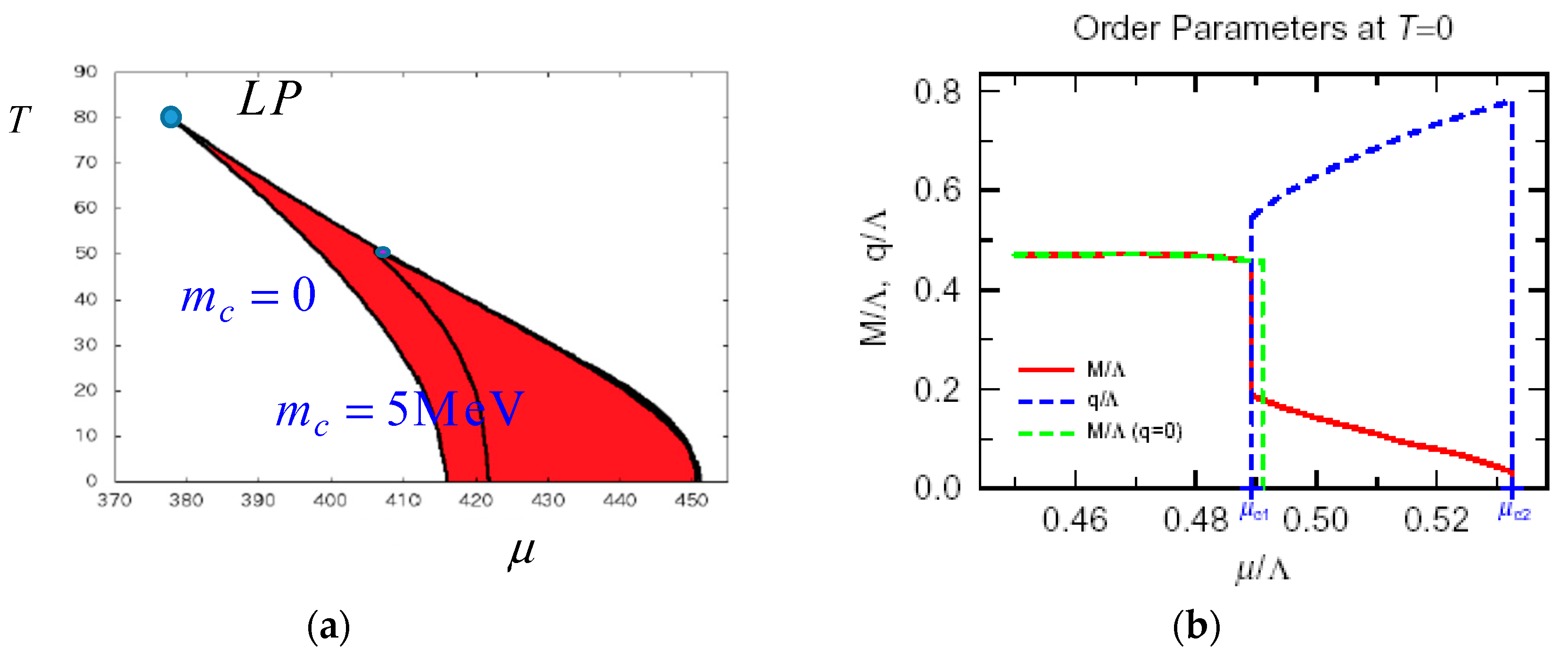
2. Inhomogeneous Chiral Phase in Dense QCD and Weyl Semimetal
2.1. Dual Chiral Density Wave
2.2. Similarity with Weyl Semimetal
3. Anomalous Hall Effect in iCP
3.1. Hall Conductivity
3.2. AHE in the DCDW Phase
4. Transport Properties in the Presence of the Magnetic Field
4.1. Hall Conductivity
4.2. Spectral Asymmetry and AHE
5. Summary and Concluding Remarks
Author Contributions
Funding
Acknowledgments
Conflicts of Interest
References
- Friman, B.; Hoehne, C.; Knoll, J.; Leupold, S.; Randrup, J.; Rapp, R. The CBM Physics book. Lect. Notes Phys. 2011, 814, 1. [Google Scholar]
- De Forcrand, P. Simulating QCD at finite density. PoS LAT 2009, 2009, 010. [Google Scholar]
- Nakano, E.; Tatsumi, T. Chiral symmetry and density waves in quark matter. Phys. Rev. 2005, D71, 114006. [Google Scholar] [CrossRef]
- Nickel, D. How manty phases meet at the chiral critical point? Phys. Rev. Lett. 2009, 103, 072301. [Google Scholar] [CrossRef]
- Nickel, D. Inhomogeneous phases in the Nambu-Jona-Lasinio and quark-meson model. Phys. Rev. 2009, D80, 074025. [Google Scholar] [CrossRef]
- Buballa, M.; Carignano, S. Inhomogeneous chiral condensates. Prog. Part. Nucl. Phys. 2015, 81, 39. [Google Scholar] [CrossRef]
- Tatsumi, T. Inhomogeneous Chiral Phase in Quark Matter. JPS Conf. Proc. 2018, 20, 011008. [Google Scholar]
- Abuki, H. Chiral crystallization in an external magnetic background: Chiral spiral versus real kink crystal. Phys. Rev. 2018, D98, 054006. [Google Scholar] [CrossRef]
- Armitage, N.P.; Mele, E.J.; Vishwanath, A. Weyl and Dirac semimetals in three-dimensional solids. Rev. Mod. Phys. 2018, 90, 015001. [Google Scholar] [CrossRef]
- Nagaosa, N.; Sinova, J.; Onoda, S.; MacDonald, A.H.; Ong, N.P. Anomalous Hall effect. Rev. Mod. Phys. 2010, 82, 1539. [Google Scholar] [CrossRef]
- Xiao, D.; Chang, M.-C.; Niu, Q. Berry phase effects on electronic properties. Rev. Mod. Phys. 2010, 82, 1959. [Google Scholar] [CrossRef]
- Potekhin, A.Y.; Pons, J.A.; Page, D. Neutron Stars-Cooling and Transport. Space Sci. Rev. 2015, 191, 239. [Google Scholar] [CrossRef]
- Konye, V.; Ogata, M. Magnetoresistance of a three-dimensional Dirac gas. Phys. Rev. 2018, B98, 195420. [Google Scholar] [CrossRef]
- Karasawa, S.; Tatsumi, T. Variational approach to the inhomogeneous chiral phase in quark matter. Phys. Rev. 2015, D92, 116004. [Google Scholar] [CrossRef]
- Baser, G.; Dunne, G.V. Twisted kink crystal in the chiral Gross-Neveu model. Phys. Rev. 2008, D78, 065002. [Google Scholar]
- Basar, G.; Dunne, G.V.; Thies, M. Inhomogeneous condensates in the thermodynamics of the chiral NJL2 model. Phys. Rev. 2009, D79, 105012. [Google Scholar]
- Fulde, P.; Ferrel, R.A. Superconductivity in a strong spin-exchange field. Phys. Rev. 1964, 135, A550. [Google Scholar] [CrossRef]
- Larkin, A.L.; Ovchinnikov, Y.N. Inhomogeneous state of supercomductors. Sov. Phys. JETP 1965, 20, 762. [Google Scholar]
- Wilczek, F. Two applications of axion electrodynamics. Phys. Rev. Lett. 1987, 58, 1799. [Google Scholar] [CrossRef]
- Ferrer, E.J.; de la Incera, V. Dissipationless Hall current in dense quark matter in a magnetic field. Phys. Lett. 2017, B769, 208. [Google Scholar] [CrossRef]
- Tatsumi, T.; Yoshiike, R.; Kashiwa, K. Anomalous Hall effect in dense QCD matter. Phys. Lett. 2018, B785, 46. [Google Scholar] [CrossRef]
- Thouless, D.J.; Kohmoto, M.; Nightingale, M.P.; den Nijs, M. Quantised Hall Conductance in a two-dimensional periodic potential. Phys. Rev. Lett. 1982, 49, 405. [Google Scholar] [CrossRef]
- Grushin, A.G. Consequences of a condensed matter realization of Lorentz-violating QED in Weyl semi-metals. Phys. Rev. 2012, D86, 045001. [Google Scholar] [CrossRef]
- Goswani, P.; Tewari, S. Axionic field theory of (3+1)-dimensional Weyl semimetals. Phys. Rev. 2013, B88, 245107. [Google Scholar] [CrossRef]
- Frolov, I.E.; Zhukivsky, V.C.; Klimenko, G.K. Chiral density waves in quark matter within the Nambu-Jona-Lasinio model in an external magnetic field. Phys. Rev. 2010, D82, 076002. [Google Scholar] [CrossRef]
- Bastin, A.; Lewiner, C.; Betbeder-Matibet, O.; Nozieres, P. Quantum oscillations of the Hall effect of a Fermion gas with random impurity scattering. J. Phys. Chem, Solids 1971, 32, 1811. [Google Scholar] [CrossRef]
- Tatsumi, T.; Abuki, H. Hall effect in the inhomogeneous chiral phase. 2020. (in preparation). [Google Scholar]
- Streda, P. Theory of quantized Hall conductivity in two dimensions. J. Phys. 1982, C15, L717. [Google Scholar]
- Tatsumi, T.; Nishiyama, K.; Karasawa, S. Novel Lifshitz point for chiral transition in the magnetic field. Phys. Lett. 2015, B743, 66. [Google Scholar] [CrossRef]
- Yoshiike, R.; Nishiyama, K.; Tatsumi, T. Spontaneous magnetization of quark matter in the inhomogeneous chiral phase. Phys. Lett. 2015, B751, 123. [Google Scholar] [CrossRef][Green Version]
- Niemi, A.J.; Semenoff, G.W. Fermion number fractionization in quantum field theory. Phys. Rept. 1986, 135, 99. [Google Scholar] [CrossRef]
- Zyuzin, A.A.; Burkov, A.A. Topological response in Weyl semimetals and the chiral anomaly. Phys. Rev. 2012, B86, 115133. [Google Scholar] [CrossRef]
- Fukushima, K.; Khazrzeev, D.E.; Warringa, H.J. Chiral magnetic effect. Phys. Rev. 2008, D78, 074033. [Google Scholar] [CrossRef]
- Klinkhamer, F.R.; Volovik, G.E. Emergent CPT violation from the splitting of Fermi points. Int. J. Mod. Phys. 2005, A20, 2795. [Google Scholar] [CrossRef]
- Harutyunyan, A.; Rischke, D.H.; Sedrakian, A. Transport coefficients of two-flavor quark matter from the Kubo formalism. Phys. Rev. 2017, D95, 114021. [Google Scholar] [CrossRef]




© 2020 by the authors. Licensee MDPI, Basel, Switzerland. This article is an open access article distributed under the terms and conditions of the Creative Commons Attribution (CC BY) license (http://creativecommons.org/licenses/by/4.0/).
Share and Cite
Tatsumi, T.; Abuki, H. Transport Properties in Dense QCD Matter. Symmetry 2020, 12, 366. https://doi.org/10.3390/sym12030366
Tatsumi T, Abuki H. Transport Properties in Dense QCD Matter. Symmetry. 2020; 12(3):366. https://doi.org/10.3390/sym12030366
Chicago/Turabian StyleTatsumi, Toshitaka, and Hiroaki Abuki. 2020. "Transport Properties in Dense QCD Matter" Symmetry 12, no. 3: 366. https://doi.org/10.3390/sym12030366
APA StyleTatsumi, T., & Abuki, H. (2020). Transport Properties in Dense QCD Matter. Symmetry, 12(3), 366. https://doi.org/10.3390/sym12030366

