Effects of Machine Learning Approach in Flow-Based Anomaly Detection on Software-Defined Networking †
Abstract
1. Introduction
2. Background and Related Work
3. Materials and Methods
3.1. Proposed Classification Model of Machine Learning
3.2. Machine Learning Approach
3.3. Overview of NSL-KDD Dataset
3.4. Selection of Features for Machine Learning Approach
3.5. Random Forest Classifier (RF)
3.6. Evaluation Metrics
3.7. Deep Learning Approach
3.7.1. Recurrent Neural Network (RNN)
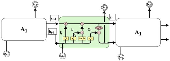
3.7.2. Long Short-Term Memory (LSTM) RNN
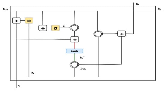
3.7.3. Gated Recurrent Unit (GRU)
3.7.4. Multi-Layer GRU RNN
3.7.5. Overview of Scikit-Learn
3.7.6. Appropriate Feature Selection for Deep Learning Approach
- DoS: Denial-of-service is considered a major category of attack which reduces the capacity of the victim, thereby rendering it unable to handle valid requests. Syn flooding is an example of a DoS attack.
- Probing: In this process, attackers gain information about the remote victim by surveillance and other probing attacks like port scanning.
- U2R: Unauthorized access to local super user (root) privileges is a type of attack by which an attacker logs into a victim system using a standard account and tries to obtain root/admin privileges by exploiting some vulnerability in the victim.
- R2L: Unauthorized access from a remote machine, the attacker enters a remote machine and gains the local access of the victim’s machine. For example, the guessing of the password.
3.8. Designed Algorithm and Proposed SDN-Based Anomaly Detection Architecture
| Algorithm 1: Machine learning-based anomaly class detector for software-defined networking (SDN) attacks |
![]() |
| Algorithm 2: Deep learning-based anomaly class detector for SDN attacks. |
![]() |
4. Experimental Results
4.1. Experimental Results of Machine Learning Approach
4.2. Experimental Results of Deep Learning Approach
4.3. Comparative Analysis of Two Approaches
5. Conclusions
Author Contributions
Funding
Acknowledgments
Conflicts of Interest
Abbreviations
| ANOVA | Analysis of variance |
| BPTT | Backpropagation through time (BPTT) |
| DDoS | Distributed denial-of-service |
| DNN | Deep neural network |
| DoS | Denial-of-service |
| GRU | Gated recurrent unit |
| GSA | Gravitational search algorithm |
| LSTM | Long short-term memory |
| MLP | Multi-layer perceptron |
| NIDS | Network intrusion detection systems |
| OF | Open flow |
| R2L | Root to local |
| RFE | Recursive feature elimination |
| RNN | Recurrent neural network |
| SAE | Stacked auto encoder |
| SDN | Software-defined networking |
| SOHO | Small office/home office |
| SVM | Support vector machine |
| U2R | Use to root |
References
- Software Defined Networking Definition. Available online: https://www.opennetworking.org/sdn-definition (accessed on 16 May 2017).
- ONF SDN Evolution. Available online: http://3vf60mmveq1g8vzn48q2o71a-wpengine.netdna-ssl.com/wp-content/uploads/2013/05/TR-535_ONF_SDN_Evolution.pdf (accessed on 25 February 2018).
- McKeown, N.; Anderson, T.; Balakrishnan, H.; Parulkar, G.; Peterson, L.; Rexford, J.; Shenker, S.; Turner, J. Openflow: Enabling innovation in campus networks. SIGCOMM Comput. Commun. Rev. 2008, 38, 69–74. [Google Scholar] [CrossRef]
- Jain, S.; Kumar, A.; Mandal, S.; Ong, J.; Poutievski, L.; Singh, A.; Venkata, S.; Wanderer, J.; Zhou, J.; Zhu, M.; et al. B4: Experience with a globally-deployed software defined wan. SIGCOMM Comput. Commun. Rev. 2013, 43, 3–14. [Google Scholar] [CrossRef]
- C.t. Huawei Press Centre and H. Unveil World’s First Commercial Deployment of SDN in Carrier Networks. Available online: http:://pr.huawei.com/en/news/ hw-332209-sdn.htm (accessed on 28 February 2018).
- Gude, N.; Koponen, T.; Pettit, J.; Pfaff, B.; Casado, M.; McKeown, N.; Shenker, S. Nox: Towards an operating system for networks. SIGCOMM Comput. Commun. Rev. 2008, 38, 105–110. [Google Scholar] [CrossRef]
- Ryu. Available online: http://osrg.github.io/ryu (accessed on 11 March 2018).
- Erickson, D. The beacon openflow controller. In Proceedings of the Second ACM SIGCOMM Workshop on Hot Topics in Software Defined Networking, (HotSDN ’13), Hong Kong, China, 16 August 2013; ACM: New York, NY, USA; pp. 13–18. [Google Scholar] [CrossRef]
- Opendaylight: A Linux Foundation Collaborative Project. Available online: http://www. opendaylight.org (accessed on 6 March 2018).
- Floodlight. Available online: http://www.projectfloodlight.org (accessed on 15 March 2018).
- Kreutz, D.; Ramos, F.M.; Verissimo, P. Towards Secure and Dependable Software-Defined Networks. In Proceedings of the Second ACM SIGCOMM Workshop on Hot Topics in Software Defined Networking, (HotSDN ’13), Hong Kong, China, 16 August 2013; ACM: New York, NY, USA; pp. 55–60. [Google Scholar] [CrossRef]
- Sultana, N.; Chilamkurti, N.; Peng, W.; Alhadad, R. Survey on SDN based network intrusion detection system using machine learning approaches. Peer-to-Peer Netw. Appl. 2019, 12, 493. [Google Scholar] [CrossRef]
- Jadidi, Z.; Muthukkumarasamy, V.; Sithirasenan, E.; Sheikhan, M. Flow-Based Anomaly Detection Using Neural Network Optimized with Gsa Algorithm. In Proceedings of the 2013 IEEE 33rd International Conference on Distributed Computing Systems Workshops, Philadelphia, PA, USA, 8–11 July 2013; pp. 76–81. [Google Scholar] [CrossRef]
- Winter, P.; Hermann, E.; Zeilinger, M. Inductive Intrusion Detection in Flow-Based Network Data Using One-Class Support Vector Machines. In Proceedings of the 2011 4th IFIP International Conference on New Technologies, Mobility and Security, Paris, France, 7–10 February 2011; pp. 1–5. [Google Scholar] [CrossRef]
- Mehdi, S.A.; Khalid, J.; Khayam, S.A. Revisiting Traffic Anomaly Detection Using Software Defined Networking. In Lecture Notes in Computer Science, Proceedings of the 14th International Conference on Recent Advances in Intrusion Detection, (RAID’11), Menlo Park, CA, USA, 20–21 September 2011; Springer: Berlin/Heidelberg, Germany, 2011; pp. 161–180. [Google Scholar] [CrossRef]
- Braga, R.; Mota, E.; Passito, A. Lightweight Ddos Flooding Attack Detection Using Nox/Openflow. In Proceedings of the IEEE Local Computer Network Conference, Denver, CO, USA, 10–14 October 2010; pp. 408–415. [Google Scholar] [CrossRef]
- Kokila, R.T.; Selvi, S.T.; Govindarajan, K. DDoS Detection and Analysis in SDN-Based Environment Using Support Vector Machine Classifier. In Proceedings of the 2014 Sixth International Conference on Advanced Computing (ICoAC), Chennai, India, 17–19 December 2014; pp. 205–210. [Google Scholar] [CrossRef]
- Phan, T.V.; van Toan, T.; van Tuyen, D.; Huong, T.T.; Thanh, N.H. OpenFlowSIA: An Optimized Protection Scheme for Software-Defined Networks from Flooding Attacks. In Proceedings of the 2016 IEEE Sixth International Conference on Communications and Electronics (ICCE), Ha Long, Vietnam, 27–29 July 2016; pp. 13–18. [Google Scholar] [CrossRef]
- Mousavi, S.M.; St-Hilaire, M. Early Detection of Ddos Attacks Against Sdn Controllers. In Proceedings of the 2015 International Conference on Computing, Networking and Communications (ICNC), Garden Grove, CA, USA, 16–19 Febuary 2015; pp. 77–81. [Google Scholar]
- Niyaz, Q.; Sun, W.; Javaid, A.Y. A deep learning based ddos detection system in software-defined networking (sdn). arXiv 2016, arXiv:1611.07400. [Google Scholar] [CrossRef]
- Tang, T.A.; Mhamdi, L.; McLernon, D.; Zaidi, S.A.R.; Ghogho, M. Deep Learning Approach for Network Intrusion Detection in Software Defined Networking. In Proceedings of the 2016 International Conference on Wireless Networks and Mobile Communications (WINCOM), Fez, Morocco, 26–29 October 2016; pp. 258–263. [Google Scholar] [CrossRef]
- Tang, T.A.; Mhamdi, L.; McLernon, D.; Zaidi, S.A.R.; Ghogho, M. Deep Recurrent Neural Network for Intrusion Detection in SDN-based Networks. In Proceedings of the 2018 4th IEEE Conference on Network Softwarization and Workshops (NetSoft), Montreal, QC, Canada, 25–29 June 2018; pp. 202–206. [Google Scholar] [CrossRef]
- Sen, S.; Gupta, K.D.; Manjurul Ahsan, M. Leveraging Machine Learning Approach to Setup Software-Defined Network(SDN) Controller Rules During DDoS Attack. In Algorithms for Intelligent Systems, Proceedings of the International Joint Conference on Computational Intelligence, Dhaka, Bangladesh, 4 July 2019; Uddin, M., Bansal, J., Eds.; Springer: Singapore, 2020. [Google Scholar]
- Vetriselvi, V.; Shruti, P.S.; Abraham, S. Two-Level Intrusion Detection System in SDN Using Machine Learning. In ICCCE 2018, Proceedings of the Lecture Notes in Electrical Engineering, Hyderabad, India, 24 January 2018; Kumar, A., Mozar, S., Eds.; Springer: Singapore, 2019; Volume 500. [Google Scholar]
- Elsayed, M.S.; Le-Khac, N.A.; Dev, S.; Jurcut, A.D. Machine-Learning Techniques for Detecting Attacks in SDN. arXiv 2019, arXiv:1910.00817. [Google Scholar]
- Dey, S.K.; Rahman, M.M. Flow based anomaly detection in software de-fined networking: A deep learning approach with feature selection method. In Proceedings of the 2018 4th International Conference on Electrical Engineering and Information Communication Technology (iCEEiCT), Dhaka, Bangladesh, 13–15 September 2018; pp. 630–635. [Google Scholar] [CrossRef]
- Dey, S.K.; Rahman, M.M.; Uddin, M.R. Detection of Flow Based Anomaly in Openflow Controller: Machine Learning Approach in Software Defined Networking. In Proceedings of the 2018 4th International Conference on Electrical Engineering and Information Communication Technology (iCEEiCT), Dhaka, Bangladesh, 13–15 September 2018; pp. 416–421. [Google Scholar] [CrossRef]
- Dey, S.K.; Uddin, M.R.; Rahman, M.M. Performance Analysis of SDN-Based Intrusion Detection Model with Feature Selection Approach. In Algorithms for Intelligent Systems, Proceedings of the International Joint Conference on Computational Intelligence, Dhaka, Bangladesh, 4 July 2019; Uddin, M.S., Bansal, J.C., Eds.; Springer: Singapore, 2020; pp. 483–494. [Google Scholar]
- Louridas, P.; Ebert, C. Machine learning. IEEE Softw. 2016, 33, 110–115. [Google Scholar] [CrossRef]
- Khan, G.M.; Khan, S.; Ullah, F. Short-Term Daily Peak Load Forecasting Using Fast Learning Neural Network. In Proceedings of the 2011 11th International Conference on Intelligent Systems Design and Applications, Cordoba, Spain, 22–24 November 2011; pp. 843–848. [Google Scholar] [CrossRef]
- Tavallaee, M.; Bagheri, E.; Lu, W.; Ghorbani, A.A. A Detailed Analysis of the Kdd Cup 99 Data Set. In Proceedings of the Second IEEE International Conference on Computational Intelligence for Security and Defense Applications, (CISDA’09), Piscataway, NJ, USA, 8–10 July 2009; pp. 53–58. Available online: http://dl.acm.org/citation.cfm?id=1736481.1736489 (accessed on 6 March 2018).
- Meng, Y. The practice on using machine learning for network anomaly intrusion detection. In Proceedings of the 2011 International Conference on Machine Learning and Cybernetics, Guilin, China, 10–13 July 2011; Volume 2, pp. 576–581. [Google Scholar] [CrossRef]
- Yang, Y.; Pedersen, J.O. A Comparative Study on Feature Selection in Text Categorization. In Proceedings of the Fourteenth International Conference on Machine Learning, (ICML ’97), Nashville, TN, USA, 8 July 1997; Morgan Kaufmann Publishers Inc.: San Francisco, CA, USA; pp. 412–420. Available online: http://dl.acm.org/citation.cfm?id=645526.657137 (accessed on 5 February 2019).
- Ingre, B.; Yadav, A. Performance Analysis of Nsl-Kdd Dataset Using Ann. In Proceedings of the 2015 International Conference on Signal Processing and Communication Engineering Systems, Guntur, India, 2–3 January 2015; pp. 92–96. [Google Scholar] [CrossRef]
- Breiman, L. Machine Learning; Kluwer Academic Publishers: Dordrecht, The Netherlands, 2001; pp. 5–32. Volume 45. [Google Scholar] [CrossRef]
- Mandic, D.P.; Chambers, J. Recurrent Neural Networks for Prediction: Learning Algorithms, Architectures and Stability; John Wiley & Sons, Inc.: Hoboken, NJ, USA, 2001. [Google Scholar]
- Livieris, I.E. Forecasting Economy-Related Data Utilizing Weight-Constrained Recurrent Neural Networks. Algorithms 2019, 12, 85. [Google Scholar] [CrossRef]
- Kolen, J.F.; Kremer, S.C. Gradient Flow in Recurrent Nets: The Difficulty of Learning LongTerm Dependencies; IEEE: Piscataway, NJ, USA, 2001; Available online: https://ieeexplore.ieee.org/document/5264952 (accessed on 12 March 2018). [CrossRef]
- Hochreiter, S.; Schmidhuber, J. Long short-term memory. Neural Comput. 1997, 9, 1735–1780. [Google Scholar] [CrossRef] [PubMed]
- Cho, K.; van Merrienboer, B.; Gulcehre, C.; Bahdanau, D.; Bougares, F.; Schwenk, H.; Bengio, Y. Learning Phrase Representations Using Rnn Encoder Decoder for Statistical Machine Translation. In Proceedings of the 2014 Conference on Empirical Methods in Natural Language Processing (EMNLP), Doha, Qatar, 25–29 October 2014; Association for Computational Linguistics: Doha, Qatar; pp. 1724–1734. Available online: https://www.aclweb.org/anthology/D14-1179 (accessed on 22 April 2018). [CrossRef]
- Chung, J.; Gu¨lc¸ehre, C.; Cho, K.; Bengio, Y. Empirical evaluation of gated recurrent neural networks on sequence modeling, CoRR abs/1412.3555. arXiv 2014, arXiv:1412.3555. [Google Scholar]
- LeCun, Y.; Bengio, Y.; Hinton, G. Deep learning. Nature 2015, 521, 436–444. [Google Scholar] [CrossRef] [PubMed]
- Nkiama, H.; Zainudeen, S.; Saidu, M. A subset feature elimination mechanism for intrusion detection system. Int. J. Adv. Comput. Sci. Appl. 2016, 7, 148–157. [Google Scholar] [CrossRef]
- Weka. Available online: https://www.cs.waikato.ac.nz/ml/weka (accessed on 22 March 2018).
- Tensorflow. Available online: https://github.com/tensorflow (accessed on 30 March 2018).










| Type | Features | Attributes Position |
|---|---|---|
| Nominal | protocol type, service and flag | 2, 3, 4 |
| Numeric | duration, src bytes, st bytes, wrong fragment, urgent, hot, num failed logins, num compromised, num root, num file creations, num shells, num access files, num outbound cmds, count srv count, serror rate, srv serror rate, rerror rate, srv rerror rate, same srv rate, diff srv rate, srv diff host rate, dst host count, dst host srv count, dst host same srv rate, dst host diff srv rate, dst host same src port rate, dst host srv diff host rate, dst host serror rate, dst host srv serror rate, dst host rerror rate and dst host srv rerror rate | 1, 5, 6, 8, 9, 10, 11, 13, 16, 17, 18, 19, 20, 23, 24, 25, 26, 27, 28, 29, 30, 31, 32, 33, 34, 35, 36, 37, 38, 39, 40, 41 |
| Binary | land, logged in, root shell, su attempted, is host login and is guest login | 7, 12, 14, 15, 21, 22 |
| Evaluator | Search | Selected Attributes |
|---|---|---|
| Info Gain | Ranker | 5,6,3,4,33,35,34,40,41,23,30,29,12,27,28:15 |
| Gain Ratio | Ranker | 28,12,41,27,4,6,5,30,29,40,3,25,26,39,34:15 |
| CFS Subset Evaluator | Best First | 5,6,12,25,28,30,31,37,41:9 |
| Symmetric Uncertainty | Ranker | 6,5,4,41,28,12,27,30,3,40,29,34,35,33,37:15 |
| Chi-Squared Test | Ranker | 5,6,3,33,35,34,4,40,23,12,41,30,29,27,37:15 |
| Predicted as Normal | Predicted as Attack | |
|---|---|---|
| Normal Class (Actually) | True Positive (TP) | False Positive (FP) |
| Attack Class (Actually) | False Negative (FN) | True Negative (TN) |
| Attack Category | Selected Features |
|---|---|
| Denial-of-Service (DoS) | (1, ’flag SF’), (2, ’dst host serror rate’), (3, ’same srv rate’), (4, ’count’), (5, ’dst host srv count’), (6,’dst host same srv rate’), (7, ’logged in’), (8, ’dst host count’), (9, ’serror rate’), (10, ’dst host srv serror rate’), (11,’srv serror rate’), (12, ’service http’), (13, ’flag S0′) |
| Probe | (1, ’service private’), (2, ’service eco i’), (3,dst host srv count’), (4, ’dst host same src port rate’), (5, ’dst host srv rerror rate’), (6, ’dst host diff srv rate’), (7, ’dst host srv diff host rate’), (8, ’dst host rerror rate’), (9, ’logged in’), (10, ’srv rerror rate’), (11,’Protocol type icmp’), (12, ’rerror rate’), (13, ’flag SF’) |
| Root to Local (R2L) | (1, ’src bytes’), (2, ’hot’), (3, ’dst host same src port rate’), (4,’dst host srv count’), (5, ’dst host srv diff host rate’), (6, ’dst bytes’), (7, ’service ftp data’), (8, ’num failed logins’), (9, ’is guest login’), (10, ’service imap4′), (11, ’service ftp’), (12,’flag RSTO’), (13, ’service http’) |
| User to Root (U2R) | (1, ’hot’), (2, ’dst host srv count’), (3, ’dst host count’), (4,’num file creations’), (5,’root shell’),(6,’dst host same src port rate’),(7,’dst host srv diff host rate’), (8, ’service ftp data’), (9,’service telnet’), (10, ’num shells’), (11, ’urgent’), (12,’service http’), (13, ’srv diff host rate’) |
| Feature Selection Method | Classifier Techniques | Accuracy | TP Rate | FP Rate | Evaluation Criteria | F-Measure | MCC | MAE | ||
|---|---|---|---|---|---|---|---|---|---|---|
| Precision | Recall | FAR | ||||||||
| Info Gain | Random Forest | 79.360 | 0.794 | 0.163 | 0.846 | 0.794 | 0.341 | 0.792 | 0.641 | 0.229 |
| CFS Subset | PART | 79.249 | 0.792 | 0.167 | 0.839 | 0.792 | 0.333 | 0.791 | 0.633 | 0.264 |
| Gain Ratio | Random Forest | 81.946 | 0.819 | 0.143 | 0.860 | 0.819 | 0.297 | 0.819 | 0.681 | 0.232 |
| Symmetric Uncertainty | Random Forest | 80.708 | 0.807 | 0.153 | 0.853 | 0.807 | 0.317 | 0.806 | 0.661 | 0.221 |
| Chi-squared | Random Forest | 80.132 | 0.801 | 0.157 | 0.850 | 0.801 | 0.328 | 0.800 | 0.653 | 0.222 |
| Feature Selection Method | Classifier Techniques | Evaluation Criteria | ||||||||
|---|---|---|---|---|---|---|---|---|---|---|
| Accuracy | TP Rate | FP Rate | Precision | Recall | FAR | F-Measure | MCC | MAE | ||
| Info Gain | J48 | 78.006 | 0.781 | 0.172 | 0.84 | 0.781 | 0.364 | 0.779 | 0.623 | 0.229 |
| Random Forest | 79.360 | 0.794 | 0.163 | 0.846 | 0.794 | 0.341 | 0.792 | 0.641 | 0.229 | |
| PART | 77.102 | 0.771 | 0.18 | 0.835 | 0.771 | 0.382 | 0.768 | 0.609 | 0.231 | |
| Naive Bayes | 72.068 | 0.721 | 0.227 | 0.789 | 0.721 | 0.442 | 0.715 | 0.514 | 0.279 | |
| DT | 72.595 | 0.726 | 0.214 | 0.814 | 0.726 | 0.461 | 0.718 | 0.545 | 0.197 | |
| RBFN | 71.965 | 0.72 | 0.228 | 0.787 | 0.72 | 0.441 | 0.714 | 0.511 | 0.299 | |
| Bayes Net | 73.203 | 0.732 | 0.209 | 0.816 | 0.732 | 0.45 | 0.725 | 0.553 | 0.268 | |
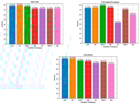
| CFS Subset Evaluator | J48 | 73.984 | 0.740 | 0. 203 | 0.820 | 0.74 | 0.436 | 0.734 | 0.564 | 0.267 |
| Random Forest | 74.84 | 0.784 | 0.197 | 0.823 | 0.748 | 0.42 | 0.743 | 0.575 | 0.345 | |
| PART | 79.249 | 0.792 | 0.167 | 0.839 | 0.792 | 0.333 | 0.791 | 0.633 | 0.264 | |
| Naive Bayes | 74.702 | 0.747 | 0.829 | 0.829 | 0.747 | 0.43 | 0.741 | 0.58 | 0.253 | |
| DT | 43.075 | 0.431 | 0.431 | 0.186 | 0.431 | 1 | 0.259 | 0 | 0.504 | |
| RBFN | 71.127 | 0.711 | 0.222 | 0.817 | 0.711 | 0.505 | 0.7 | 0.533 | 0.323 | |
| Bayes Net | 60.632 | 0.606 | 0.298 | 0.794 | 0.606 | 0.691 | 0.564 | 0.401 | 0.447 | |
| Gain Ratio | J48 | 81.871 | 0.819 | 0.145 | 0.858 | 0.819 | 0.293 | 0.818 | 0.677 | 0.193 |
| Random Forest | 81.946 | 0.819 | 0.143 | 0.860 | 0.819 | 0.297 | 0.819 | 0.681 | 0.232 | |
| PART | 77.905 | 0.779 | 0.179 | 0.835 | 0.779 | 0.362 | 0.777 | 0.616 | 0.231 | |
| Naive Bayes | 76.242 | 0.762 | 0.186 | 0.832 | 0.762 | 0.398 | 0.758 | 0.597 | 0.237 | |
| DT | 72.595 | 0.726 | 0.214 | 0.814 | 0.726 | 0.461 | 0.718 | 0.545 | 0.197 | |
| RBFN | 75.177 | 0.752 | 0.193 | 0.828 | 0.752 | 0.419 | 0.747 | 0.584 | 0.272 | |
| Bayes Net | 71.517 | 0.715 | 0.221 | 0.812 | 0.715 | 0.483 | 0.705 | 0.532 | — | |
| Symmetric Uncertainty | J48 | 78.927 | 0.789 | 0.167 | 0.842 | 0.789 | 0.346 | 0.787 | 0.633 | 0.218 |
| Random Forest | 80.708 | 0.807 | 0.153 | 0.853 | 0.807 | 0.317 | 0.806 | 0.661 | 0.221 | |
| PART | 80.371 | 0.804 | 0.157 | 0.848 | 0.804 | 0.318 | 0.803 | 0.653 | 0.221 | |
| Naive Bayes | 73.292 | 0.733 | 0.21 | 0.813 | 0.733 | 0.444 | 0.726 | 0.551 | 0.266 | |
| DT | 72.595 | 0.726 | 0.214 | 0.814 | 0.726 | 0.461 | 0.718 | 0.545 | 0.197 | |
| RBFN | 73.522 | 0.735 | 0.209 | 0.812 | 0.735 | 0.438 | 0.729 | 0.552 | 0.288 | |
| Bayes Net | 71.562 | 0.716 | 0.222 | 0.808 | 0.716 | 0.478 | 0.706 | 0.529 | 0.282 | |
| Chi-square Test | J48 | 78.051 | 0.781 | 0.173 | 0.838 | 0.781 | 0.363 | 0.778 | 0.621 | 0.229 |
| Random Forest | 80.132 | 0.801 | 0.157 | 0.850 | 0.801 | 0.328 | 0.800 | 0.653 | 0.222 | |
| PART | 77.989 | 0.78 | 0.173 | 0.84 | 0.78 | 0.367 | 0.777 | 0.622 | 0.218 | |
| Naive Bayes | 72.618 | 0.726 | 0.224 | 0.79 | 0.726 | 0.43 | 0.722 | 0.521 | 0.273 | |
| DT | 72.595 | 0.726 | 0.214 | 0.814 | 0.726 | 0.461 | 0.718 | 0.545 | 0.197 | |
| RBFN | 70.723 | 0.707 | 0.234 | 0.789 | 0.707 | 0.475 | 0.699 | 0.502 | 0.31 | |
| Bayes Net | 72.409 | 0.724 | 0.215 | 0.812 | 0.724 | 0.463 | 0.716 | 0.541 | 0.275 | |
| (a) Hyper parameters |
| learning rate = 0.001 |
| training epochs = 10 |
| display step = 1 num |
| layers = 1 |
| (b) Definition of hyper parameters for the model |
| learning rate = 0.001 |
| number of classes = 2 |
| display step = 100 |
| input features = train X.shape [1] #No of selected features |
| training cycles = 1000 #No of time-steps to back propagate |
| time-steps = 5 |
| hidden units = 50 #No of LSTM units in a LSTM hidden layer |
| Time-Steps | Train Accuracy | Precision | Recall | F-1 Score | FAR |
|---|---|---|---|---|---|
| 10 | 86.632 | 0.9994 | 0.99 | 0.9977 | 0.0022 |
| 20 | 85.534 | 0.9943 | 0.3296 | 0.9922 | 0.0077 |
| 30 | 84.510 | 0.986 | 0.9952 | 0.9418 | 0.05812 |
| 40 | 86.613 | 0.9996 | 0.9902 | 0.9983 | 0.0016 |
| 50 | 85.434 | 0.9967 | 0.9919 | 0.9865 | 0.0134 |
| 60 | 72.89 | 0.8914 | 0.9935 | 0.5011 | 0.4988 |
| 70 | 87.911 | 0.9981 | 0.9939 | 0.9923 | 0.0076 |
| 80 | 83.243 | 0.9999 | 0.9842 | 0.9997 | 0.0002 |
| 90 | 83.323 | 0.9995 | 0.9859 | 0.9981 | 0.0018 |
| 100 | 82.167 | 0.9937 | 0.9925 | 0.974 | 0.0257 |
© 2019 by the authors. Licensee MDPI, Basel, Switzerland. This article is an open access article distributed under the terms and conditions of the Creative Commons Attribution (CC BY) license (http://creativecommons.org/licenses/by/4.0/).
Share and Cite
Dey, S.K.; Rahman, M.M. Effects of Machine Learning Approach in Flow-Based Anomaly Detection on Software-Defined Networking. Symmetry 2020, 12, 7. https://doi.org/10.3390/sym12010007
Dey SK, Rahman MM. Effects of Machine Learning Approach in Flow-Based Anomaly Detection on Software-Defined Networking. Symmetry. 2020; 12(1):7. https://doi.org/10.3390/sym12010007
Chicago/Turabian StyleDey, Samrat Kumar, and Md. Mahbubur Rahman. 2020. "Effects of Machine Learning Approach in Flow-Based Anomaly Detection on Software-Defined Networking" Symmetry 12, no. 1: 7. https://doi.org/10.3390/sym12010007
APA StyleDey, S. K., & Rahman, M. M. (2020). Effects of Machine Learning Approach in Flow-Based Anomaly Detection on Software-Defined Networking. Symmetry, 12(1), 7. https://doi.org/10.3390/sym12010007



