Effects of Hadron-Quark Phase Transitions in Hybrid Stars within the NJL Model
Abstract
1. Introduction
2. Quark Matter Description within NJL Models
2.1. Local SU(3) PNJL Model
Zero Temperature Limit Including Vector Interaction
2.2. Non-Local SU(3) Model
Zero Temperature Limit Including Vector Interaction
2.3. QCD Phase Diagram
3. Astrophysical Applications of NJL EoS
3.1. Hybrid Stars
3.1.1. Hadronic EoS
3.1.2. Phase Transition Formalism
3.2. Stellar Oscillations
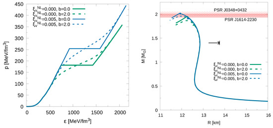
4. Results and Discussion
Author Contributions
Funding
Acknowledgments
Conflicts of Interest
References
- Busza, W.; Rajagopal, K.; Vander Schee, W. Heavy Ion Collisions: The Big Picture and the Big Questions. Annu. Rev. Nucl. Part Sci. 2018, 68, 339–376. [Google Scholar] [CrossRef]
- Weber, F. High Energy Physics. In Pulsars as Astrophysical Laboratories for Nuclear and Particle Physics; Cosmology and Gravitation; CRC Press: Boca Raton, FL, USA, 1999. [Google Scholar]
- Demorest, P.; Pennucci, T.; Ransom, S.; Roberts, M.; Hessels, J. Shapiro Delay Measurement of A Two Solar Mass Neutron Star. Nature 2010, 467, 1081–1083. [Google Scholar] [CrossRef] [PubMed]
- Fonseca, E.; Pennucci, T.T.; Ellis, J.A.; Stairs, I.H.; Nice, D.J.; Ransom, S.M.; Demorest, P.B.; Arzoumanian, Z.; Crowter, K.; Dolch, T.; et al. The nanograv nine-year data set: Mass and geometric measurementsof binary millisecond pulsars. Astrophys. J. 2016, 832, 167. [Google Scholar] [CrossRef]
- Antoniadis, J.; Freire, P.C.; Wex, N.; Tauris, T.M.; Lynch, R.S.; van Kerkwijk, M.H.; Kramer, M.; Bassa, C.; Dhillon, V.S.; Driebe, T.; et al. A massive pulsar in a compact relativistic binary. Science 2013, 340, 448. [Google Scholar] [CrossRef] [PubMed]
- Lynch, R.S.; Boyles, J.; Ransom, S.M.; Stairs, I.H.; Lorimer, D.R.; McLaughlin, M.A.; Hessels, J.W.T.; Kaspi, V.M.; Kondratiev, V.I.; Archibald, A.M.; et al. The Green Bank Telescope 350 MHz Drift-scan Survey II: Data Analysis and the Timing of 10 New Pulsars, Including a Relativistic Binary. Astrophys. J. 2013, 763, 81. [Google Scholar] [CrossRef]
- Bodmer, A.R. Collapsed nuclei. Phys. Rev. 1971, D4, 1601–1606. [Google Scholar] [CrossRef]
- Witten, E. Cosmic Separation of Phases. Phys. Rev. 1984, D30, 272–285. [Google Scholar] [CrossRef]
- Paschalidis, V.; Yagi, K.; Alvarez-Castillo, D.; Blaschke, D.B.; Sedrakian, A. Implications from GW170817 and I-Love-Q relations for relativistic hybrid stars. Phys. Rev. 2018, 97, 084038. [Google Scholar] [CrossRef]
- Christian, J.E.; Zacchi, A.; Schaffner-Bielich, J. Signals in the tidal deformability for phase transitions in compact stars with constraints from GW170817. Phys. Rev. 2019, 99, 023009. [Google Scholar] [CrossRef]
- Annala, E.; Gorda, T.; Kurkela, A.; Vuorinen, A. Gravitational-wave constraints on the neutron-star-matter Equation of State. Phys. Rev. Lett. 2018, 120, 172703. [Google Scholar] [CrossRef]
- Bauswein, A.; Just, O.; Janka, H.T.; Stergioulas, N. Neutron-star Radius Constraints from GW170817 and Future Detections. Astrophys. J. Lett. 2017, 850, L34. [Google Scholar] [CrossRef]
- Fattoyev, F.J.; Piekarewicz, J.; Horowitz, C.J. Neutron Skins and Neutron Stars in the Multimessenger Era. Phys. Rev. Lett. 2018, 120, 172702. [Google Scholar] [CrossRef] [PubMed]
- Raithel, C.; Özel, F.; Psaltis, D. Tidal deformability from GW170817 as a direct probe of the neutron star radius. Astrophys. J. 2018, 857, L23. [Google Scholar] [CrossRef]
- Malik, T.; Alam, N.; Fortin, M.; Providência, C.; Agrawal, B.K.; Jha, T.K.; Kumar, B.; Patra, S.K. GW170817: Constraining the nuclear matter equation of state from the neutron star tidal deformability. Phys. Rev. 2018, C98, 035804. [Google Scholar] [CrossRef]
- Tews, I.; Margueron, J.; Reddy, S. Critical examination of constraints on the equation of state of dense matter obtained from GW170817. Phys. Rev. C 2018, 98, 045804. [Google Scholar] [CrossRef]
- Orsaria, M.G.; Malfatti, G.; Mariani, M.; Ranea-Sandoval, I.F. Phase transitions in neutron stars and their links to gravitational waves. J. Phys. G 2019. in preparation. [Google Scholar]
- Chodos, A.; Jaffe, R.L.; Johnson, K.; Thorn, C.B.; Weisskopf, V.F. New extended model of hadrons. Phys. Rev. D 1974, 9, 3471–3495. [Google Scholar] [CrossRef]
- Nambu, Y.; Jona-Lasinio, G. Dynamical Model of Elementary Particles Based on an Analogy with Superconductivity. I. Phys. Rev. 1961, 122, 345–358. [Google Scholar] [CrossRef]
- Nambu, Y.; Jona-Lasinio, G. Dynamical Model of Elementary Particles Based on an Analogy with Superconductivity. II. Phys. Rev. 1961, 124, 246–254. [Google Scholar] [CrossRef]
- Negreiros, R.; Dexheimer, V.A.; Schramm, S. Modeling hybrid stars with an SU(3) nonlinear σ model. Phys. Rev. C 2010, 82, 035803. [Google Scholar] [CrossRef]
- Simonov, Y. Vacuum background fields in QCD as a source of confinement. Nucl. Phys. B 1988, 307, 512–530. [Google Scholar] [CrossRef]
- Mariani, M.; Orsaria, M.; Vucetich, H. Constant entropy hybrid stars: A first approximation of cooling evolution. Astron. Astrophys. 2017, 601, A21. [Google Scholar] [CrossRef]
- Bonanno, L.; Sedrakian, A. Composition and stability of hybrid stars with hyperons and quark color-superconductivity. Astron. Astrophys. 2012, 539, A16. [Google Scholar] [CrossRef]
- Orsaria, M.; Rodrigues, H.; Weber, F.; Contrera, G.A. Quark-hybrid matter in the cores of massive neutron stars. Phys. Rev. 2013, D87, 023001. [Google Scholar] [CrossRef]
- Orsaria, M.; Rodrigues, H.; Weber, F.; Contrera, G.A. Quark deconfinement in high-mass neutron stars. Phys. Rev. 2014, C89, 015806. [Google Scholar] [CrossRef]
- Logoteta, D.; Bombaci, I.; Providência, C.; Vidaña, I. Chiral model approach to quark matter nucleation in neutron stars. Phys. Rev. 2012, 85, 023003. [Google Scholar] [CrossRef]
- Logoteta, D.; Providência, C.; Vidaña, I. Formation of hybrid stars from metastable hadronic stars. Phys. Rev. 2013, 88, 055802. [Google Scholar] [CrossRef]
- Spinella, W.M.; Weber, F.; Orsaria, M.G.; Contrera, G.A. Neutrino Emissivity in the Quark-Hadron Mixed Phase. Universe 2018, 4, 64. [Google Scholar] [CrossRef]
- Ranea-Sandoval, I.F.; Guilera, O.M.; Mariani, M.; Orsaria, M.G. Oscillation modes of hybrid stars within the relativistic Cowling approximation. JCAP 2018, 1812, 031. [Google Scholar] [CrossRef]
- Andersen, J.O.; Naylor, W.R.; Tranberg, A. Chiral and deconfinement transitions in a magnetic background using the functional renormalization group with the Polyakov loop. JHEP 2014, 04, 187. [Google Scholar] [CrossRef]
- Rößner, S.; Ratti, C.; Weise, W. Polyakov loop, diquarks, and the two-flavor phase diagram. Phys. Rev. D 2007, 75, 034007. [Google Scholar] [CrossRef]
- Contrera, G.A.; Orsaria, M.; Scoccola, N.N. Nonlocal Polyakov-Nambu-Jona-Lasinio model with wave function renormalization at finite temperature and chemical potential. Phys. Rev. D 2010, 82, 054026. [Google Scholar] [CrossRef]
- Rößner, S.; Hell, T.; Ratti, C.; Weise, W. The chiral and deconfinement crossover transitions: PNJL model beyond mean field. Nucl. Phys. 2008, 814, 118–143. [Google Scholar] [CrossRef]
- Klevansky, S.P. The Nambu—Jona-Lasinio model of quantum chromodynamics. Rev. Mod. Phys. 1992, 64, 649–708. [Google Scholar] [CrossRef]
- Ripka, G. Quarks Bound by Chiral Fields: The Quark-Structure of the Vacuum and of Light Mesons and Baryons; Oxford University Press: Oxford, UK, 1997. [Google Scholar]
- Dumm, D.G.; Grunfeld, A.G.; Scoccola, N.N. Covariant nonlocal chiral quark models with separable interactions. Phys. Rev. D 2006, 74, 054026. [Google Scholar] [CrossRef]
- Contrera, G.A.; Dumm, D.G.; Scoccola, N.N. Nonlocal SU(3) chiral quark models at finite temperature: The role of the Polyakov loop. Phys. Lett. B 2008, 661, 113–117. [Google Scholar] [CrossRef]
- Dyakonov, D.; Petrov, V. A theory of light quarks in the instanton vacuum. Nucl. Phys. B 1986, 272, 457–489. [Google Scholar] [CrossRef]
- Schaefer, T.; Shuryak, E.V. Instantons in QCD. Rev. Mod. Phys. 1998, 70, 323–426. [Google Scholar] [CrossRef]
- Roberts, C.D.; Williams, A.G. Dyson-Schwinger equations and their application to hadronic physics. Prog. Part. Nucl. Phys. 1994, 33, 477–575. [Google Scholar] [CrossRef]
- Roberts, C.D.; Schmidt, S.M. Dyson-Schwinger equations: Density, temperature and continuum strong QCD. Prog. Part. Nucl. Phys. 2000, 45, S1–S103. [Google Scholar] [CrossRef]
- Rehberg, P.; Klevansky, S.P.; Hüfner, J. Hadronization in the SU(3) Nambu–Jona-Lasinio model. Phys. Rev. C 1996, 53, 410–429. [Google Scholar] [CrossRef]
- Fukushima, K. Phase diagrams in the three-flavor Nambu-Jona-Lasinio model with the Polyakov loop. Phys. Rev. D 2008, 77, 114028, Erratum in 2008, 78, 039902. [Google Scholar] [CrossRef]
- Scarpettini, A.; Gómez, D.D.; Scoccola, N.N. Light pseudoscalar mesons in a nonlocal SU(3) chiral quark model. Phys. Rev. D 2004, 69, 114018. [Google Scholar] [CrossRef]
- Contrera, G.A.; Dumm, D.G.; Scoccola, N.N. Meson properties at finite temperature in a three flavor nonlocal chiral quark model with Polyakov loop. Phys. Rev. D 2010, 81, 054005. [Google Scholar] [CrossRef]
- Aguilera, D.N.; Blaschke, D.; Grigorian, H.; Scoccola, N.N. Nonlocality effects on color spin locking condensates. Phys. Rev. D 2006, 74, 114005. [Google Scholar] [CrossRef]
- Ratti, C. Lattice QCD and heavy ion collisions: A review of recent progress. Rep. Prog. Phys. 2018, 81, 084301. [Google Scholar] [CrossRef] [PubMed]
- Schettler, S.; Boeckel, T.; Schaffner-Bielich, J. Imprints of the QCD phase transition on the spectrum of gravitational waves. Phys. Rev. D 2011, 83, 064030. [Google Scholar] [CrossRef]
- Lawley, S.; Bentz, W.; Thomas, A. Neutron star properties from an NJL model modified to simulate confinement. Nucl. Phys. B Proc. Suppl. 2005, 141, 29–33. [Google Scholar] [CrossRef]
- Contrera, G.A.; Orsaria, M.; Ranea-Sandoval, I.F.; Weber, F. Hybrid Stars in the Framework of NJL Models. Int. J. Mod. Phys. Conf. Ser. 2017, 45, 1760026. [Google Scholar] [CrossRef]
- Ranea-Sandoval, I.F.; Han, S.; Orsaria, M.G.; Contrera, G.A.; Weber, F.; Alford, M.G. Constant-sound-speed parametrization for Nambu-Jona-Lasinio models of quark matter in hybrid stars. Phys. Rev. C 2016, 93, 045812. [Google Scholar] [CrossRef]
- Spinella, W.M. A Systematic Investigation of Exotic Matter in Neutron Stars. Ph.D. Thesis, Claremont Graduate University, San Diego, CA, USA, 2017. [Google Scholar]
- Fuchs, C.; Lenske, H.; Wolter, H.H. Density dependent hadron field theory. Phys. Rev. 1995, C52, 3043–3060. [Google Scholar] [CrossRef]
- Hofmann, F.; Keil, C.M.; Lenske, H. Application of the density dependent hadron field theory to neutron star matter. Phys. Rev. C 2001, 64, 025804. [Google Scholar] [CrossRef]
- Baldo, M.; Bombaci, I.; Burgio, G.F. Microscopic nuclear equation of state with three-body forces and neutron star structure. Astron. Astrophys. 1997, 328, 274–282. [Google Scholar]
- Bombaci, I.; Logoteta, D. Equation of state of dense nuclear matter and neutron star structure from nuclear chiral interactions. Astron. Astrophys. 2018, 609, A128. [Google Scholar] [CrossRef]
- Kievsky, A.; Viviani, M.; Logoteta, D.; Bombaci, I.; Girlanda, L. Correlations imposed by the unitary limit between few-nucleon systems, nuclear matter, and neutron stars. Phys. Rev. Lett. 2018, 121, 072701. [Google Scholar] [CrossRef] [PubMed]
- Wu, X.H.; Shen, H. Finite-size effects on the hadron-quark phase transition in neutron stars. Nucl. Theory 2017, 96, 025802. [Google Scholar] [CrossRef]
- Alford, M.G.; Rajagopal, K.; Reddy, S.; Wilczek, F. The Minimal CFL nuclear interface. Phys. Rev. D 2001, 64, 074017. [Google Scholar] [CrossRef]
- Endo, T. Region of hadron-quark mixed phase in hybrid stars. Phys. Rev. C 2011, 83, 068801. [Google Scholar] [CrossRef]
- Macher, J.; Schaffner-Bielich, J. Phase transitions in compact stars. Eur. J. Phys. 2005, 26, 341–360. [Google Scholar] [CrossRef]
- Masuda, K.; Hatsuda, T.; Takatsuka, T. Hadron-quark crossover and massive hybrid stars. Prog. Theor. Exp. Phys. 2013, 2013, 073D01. [Google Scholar] [CrossRef]
- Masuda, K.; Hatsuda, T.; Takatsuka, T. Hadron-quark Crossover and Massive Hybrid Stars with Strangeness. Astrophys. J. 2013, 764, 12. [Google Scholar] [CrossRef]
- Álvarez-Castillo, D.; Blaschke, D. Mixed Phase Effects on High-Mass Twin Stars. Phys. Part. Nucl. 2015, 46, 3. [Google Scholar] [CrossRef]
- Alford, M.G.; Harris, S.P.; Sachdeva, P.S. On the stability of strange dwarf hybrid stars. Astrophys. J. 2017, 847, 109. [Google Scholar] [CrossRef]
- Abgaryan, V.; Alvarez-Castillo, D.; Ayriyan, A.; Blaschke, D.; Grigorian, H. Two Novel Approaches to the Hadron-Quark Mixed Phase in Compact Stars. Universe 2018, 4, 94. [Google Scholar] [CrossRef]
- Maslov, K.; Yasutake, N.; Ayriyan, A.; Blaschke, D.; Grigorian, H.; Maruyama, T.; Tatsumi, T.; Voskresensky, D.N. Hybrid equation of state with pasta phases and third family of compact stars I: Pasta phases and effective mixed phase model. arXiv, 2018; arXiv:1812.11889. [Google Scholar]
- Özel, F.; Freire, P. Masses, Radii, and the Equation of State of Neutron Stars. Ann. Rev. Astron. Astrophys. 2016, 54, 401–440. [Google Scholar] [CrossRef]
- Finn, L.S. G-modes in zero-temperature neutron stars. Mon. Not. R. Astron. Soc. 1987, 227, 265–293. [Google Scholar] [CrossRef]
- Cowling, T.G. The non-radial oscillations of polytropic stars. Mon. Not. R. Astron. Soc. 1941, 101, 367. [Google Scholar] [CrossRef]
- McDermott, P.N.; van Horn, H.M.; Scholl, J.F. Nonradial g-mode oscillations of warm neutron stars. Astrophys. J. 1983, 268, 837–848. [Google Scholar] [CrossRef]
- Sotani, H.; Yasutake, N.; Maruyama, T.; Tatsumi, T. Signatures of hadron-quark mixed phase in gravitational waves. Phys. Rev. D 2011, 83, 024014. [Google Scholar] [CrossRef]
- Yoshida, S.; Kojima, Y. Accuracy of the relativistic Cowling approximation in slowly rotating stars. Mon. Not. R. Astron. Soc. 1997, 289, 117–122. [Google Scholar] [CrossRef]
- Chirenti, C.; de Souza, G.H.; Kastaun, W. Fundamental oscillation modes of neutron stars: Validity of universal relations. Phys. Rev. D 2015, 91, 044034. [Google Scholar] [CrossRef]
- Alford, M.G.; Han, S.; Prakash, M. Generic conditions for stable hybrid stars. Phys. Rev. D 2013, 88, 083013. [Google Scholar] [CrossRef]
- Alford, M.G.; Burgio, G.F.; Han, S.; Taranto, G.; Zappalà, D. Constraining and applying a generic high-density equation of state. Phys. Rev. D 2015, 92, 083002. [Google Scholar] [CrossRef]
- Ranea-Sandoval, I.F.; Orsaria, M.G.; Han, S.; Weber, F.; Spinella, W.M. Color superconductivity in compact stellar hybrid configurations. Phys. Rev. C 2017, 96, 065807. [Google Scholar] [CrossRef]
- Fujihara, T.; Kimura, D.; Inagaki, T.; Kvinikhidze, A. High density quark matter in the Nambu–Jona-Lasinio model with dimensional versus cutoff regularization. Phys. Rev. D 2009, 79, 096008. [Google Scholar] [CrossRef]
- Alford, M.G.; Schmitt, A.; Rajagopal, K.; Schäfer, T. Color superconductivity in dense quark matter. Rev. Mod. Phys. 2008, 80, 1455–1515. [Google Scholar] [CrossRef]
- Kashiwa, K.; Hell, T.; Weise, W. Nonlocal Polyakov–Nambu–Jona-Lasinio model and imaginary chemical potential. Phys. Rev. D 2011, 84, 056010. [Google Scholar] [CrossRef]
- Gómez Dumm, D.; Izzo Villafañe, M.F.; Noguera, S.; Pagura, V.P.; Scoccola, N.N. Strong magnetic fields in nonlocal chiral quark models. Phys. Rev. D 2017, 96, 114012. [Google Scholar] [CrossRef]
- Andersson, N.; Kokkotas, K.D. Towards gravitational wave asteroseismology. Mon. Not. R. Astron. Soc. 1998, 299, 1059–1068. [Google Scholar] [CrossRef]
- Andersson, N.; Ferrari, V.; Jones, D.I.; Kokkotas, K.D.; Krishnan, B.; Read, J.S.; Rezzolla, L.; Zink, B. Gravitational waves from neutron stars: Promises and challenges. Gen. Relat. Gravit. 2011, 43, 409–436. [Google Scholar] [CrossRef]






| Saturation Property | GM1L |
|---|---|
| (fm) | 0.153 |
| (MeV) | |
| (MeV) | 300.0 |
| / | 0.70 |
| J (MeV) | 32.5 |
| (MeV) | 55.0 |
| (MeV) | 65.5 |
| Parameter | GM1L |
|---|---|
| (GeV) | 0.5500 |
| (GeV) | 0.7830 |
| (GeV) | 0.7700 |
| 9.5722 | |
| 10.6180 | |
| 8.9830 | |
| 0.0029 | |
| 0.3898 |
© 2019 by the authors. Licensee MDPI, Basel, Switzerland. This article is an open access article distributed under the terms and conditions of the Creative Commons Attribution (CC BY) license (http://creativecommons.org/licenses/by/4.0/).
Share and Cite
Ranea-Sandoval, I.F.; Orsaria, M.G.; Malfatti, G.; Curin, D.; Mariani, M.; Contrera, G.A.; Guilera, O.M. Effects of Hadron-Quark Phase Transitions in Hybrid Stars within the NJL Model. Symmetry 2019, 11, 425. https://doi.org/10.3390/sym11030425
Ranea-Sandoval IF, Orsaria MG, Malfatti G, Curin D, Mariani M, Contrera GA, Guilera OM. Effects of Hadron-Quark Phase Transitions in Hybrid Stars within the NJL Model. Symmetry. 2019; 11(3):425. https://doi.org/10.3390/sym11030425
Chicago/Turabian StyleRanea-Sandoval, Ignacio Francisco, Milva Gabriela Orsaria, Germán Malfatti, Daniela Curin, Mauro Mariani, Gustavo Aníbal Contrera, and Octavio Miguel Guilera. 2019. "Effects of Hadron-Quark Phase Transitions in Hybrid Stars within the NJL Model" Symmetry 11, no. 3: 425. https://doi.org/10.3390/sym11030425
APA StyleRanea-Sandoval, I. F., Orsaria, M. G., Malfatti, G., Curin, D., Mariani, M., Contrera, G. A., & Guilera, O. M. (2019). Effects of Hadron-Quark Phase Transitions in Hybrid Stars within the NJL Model. Symmetry, 11(3), 425. https://doi.org/10.3390/sym11030425

