Zigzag Solitons and Spontaneous Symmetry Breaking in Discrete Rabi Lattices with Long-Range Hopping
Abstract
1. Introduction
2. Model and Methods
3. Discrete Zigzag Solitons and Their Mobility
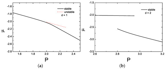
4. SSB of Zigzag Solitons
5. Conclusions
Author Contributions
Funding
Acknowledgments
Conflicts of Interest
References
- Susskind, L. Dynamics of spontaneous symmetry breaking in the weinberg-salam theory. Phys. Rev. D 1979, 20, 2619–2625. [Google Scholar] [CrossRef]
- Weinberg, E.J. Radiative corrections as the origin of spontaneous symmetry breaking. Phys. Rev. D 1973, 7, 1888–1910. [Google Scholar]
- Cornwall, J.M.; Norton, R.E. Spontaneous symmetry breaking without scalar mesons. Phys. Rev. D 1974, 8, 3338–3346. [Google Scholar] [CrossRef]
- Cremmer, E.; Julia, B.; Scherk, J.; Ferrara, S.; Girardello, L.; Nieuwenhuizen, P.V. Spontaneous symmetry breaking and higgs effect in supergravity without cosmological constant. Nucl. Phys. 1979, 147, 105–131. [Google Scholar] [CrossRef]
- O’Raifeartaigh, L. Spontaneous symmetry breaking for chirals scalar superfields. Nucl. Phys. 1975, 96, 331–352. [Google Scholar] [CrossRef]
- Paré, C.; Florjanczyk, M. Approximate model of soliton dynamics in all-optical couplers. Phys. Rev. A 1990, 41, 6287–6295. [Google Scholar] [CrossRef] [PubMed]
- Snyder, A.W.; Mitchell, D.J.; Poladian, L.; Rowland, D.R.; Chen, Y. Physics of nonlinear fiber couplers. J. Opt. Soc. Am. B 1991, 8, 2102–2118. [Google Scholar] [CrossRef]
- Chu, P.L.; Malomed, B.A.; Peng, G.D. Soliton switching and propagation in nonlinear fiber couplers: Analytical results. J. Opt. Soc. Am. B 1993, 10, 1379–1385. [Google Scholar] [CrossRef]
- Akhmediev, N.; Ankiewicz, A. Novel soliton states and bifurcation phenomena in nonlinear fiber couplers. Phys. Rev. Lett. 1993, 70, 2395–2398. [Google Scholar] [CrossRef] [PubMed]
- Malomed, B.A.; Skinner, I.M.; Chu, P.L.; Peng, G.D. Symmetric and asymmetric solitons in twin-core nonlinear optical fibers. Phys. Rev. E 1996, 53, 4084–4091. [Google Scholar] [CrossRef]
- Kevrekidis, P.G.; Chen, Z.; Malomed, B.A.; Frantzeskakis, D.J.; Weinstein, M.I. Spontaneous symmetry breaking in photonic lattices: Theory and experiment. Phys. Lett. A 2005, 340, 275–280. [Google Scholar] [CrossRef]
- Ng, H.T.; Leung, P.T. Two-mode entanglement in two-component Bose-Einstein condensates. Phys. Rev. A 2005, 71, 351–367. [Google Scholar] [CrossRef]
- Matuszewski, M.; Malomed, B.A.; Trippenbach, M. Spontaneous symmetry breaking of solitons trapped in a double-channel potential. Phys. Rev. A 2007, 75, 063621. [Google Scholar] [CrossRef]
- Dounas-Frazer, D.R.; Hermundstad, A.M.; Carr, L.D. Ultracold bosons in a tilted multilevel double-well potential. Phys. Rev. Lett. 2007, 99, 200402. [Google Scholar] [CrossRef] [PubMed]
- Trippenbach, M.; Infeld, E.; Gocaek, J.; Matuszewski, M.; Oberthaler, M.; Malomed, B.A. Spontaneous symmetry breaking of gap solitons and phase transitions in double-well traps. Phys. Rev. A 2008, 78, 013603. [Google Scholar] [CrossRef]
- Satija, I.I.; Balakrishnan, R.; Naudus, P.; Heward, J.; Edwards, M.; Clark, C.W. Symmetry-breaking and symmetry-restoring dynamics of a mixture of Bose-Einstein condensates in a double well. Phys. Rev. A 2009, 79, 033616. [Google Scholar] [CrossRef]
- Qi, R.; Yu, X.-L.; Li, Z.B.; Liu, W.M. Non-Abelian Josephson effect between two F = 2 spinor Bose-Einstein condensates in double optical traps. Phys. Rev. Lett. 2009, 102, 185301. [Google Scholar] [CrossRef] [PubMed]
- Salasnich, L.; Malomed, B.A.; Toigo, F. Competition between symmetry breaking and onset of collapse in weakly coupled atomic condensates. Phys. Rev. A 2010, 81, 045603. [Google Scholar] [CrossRef]
- Mazzarella, G.; Malomed, B.A.; Salasnich, L.; Salerno, M.; Toigo, F. Rabi-Josephson oscillations and self-trapped dynamics in atomic junctions with two bosonic species. J. Phys. B 2011, 44, 035301. [Google Scholar] [CrossRef]
- Wang, C.; Kevrekidis, P.G.; Whitaker, N.; Malomed, B.A. Two-component nonlinear Schrödinger models with a double-well potential. Phys. D 2008, 237, 2922–2932. [Google Scholar] [CrossRef]
- Li, Y.; Pang, W.; Fu, S.; Malomed, B.A. Nonlinear modes and symmetry breaking in rotating double-well potentials. Phys. Rev. A 2012, 85, 053821. [Google Scholar] [CrossRef]
- Chen, G.; Luo, Z.; Wu, J.; Wu, M. Switch between the types of the symmetry breaking bifurcation in optically induced photorefractive rotational double-well potential. J. Phys. Soc. Jpn. 2013, 82, 034401. [Google Scholar] [CrossRef]
- Albuch, L.; Malomed, B.A. Transitions between symmetric and asymmetric solitons in dual-core systems with cubic-quintic nonlinearity. Math. Comput. Simul. 2007, 74, 312–322. [Google Scholar] [CrossRef]
- Mak, W.C.K.; Malomed, B.A.; Chu, P.L. Solitons in coupled waveguides with quadratic nonlinearity. Phys. Rev. E 1997, 55, 6134. [Google Scholar] [CrossRef]
- Mak, W.C.K.; Malomed, B.A.; Chu, P.L. Asymmetric solitons in coupled second-harmonic-generating waveguides. Phys. Rev. E 1998, 57, 1092. [Google Scholar] [CrossRef]
- Driben, R.; Malomed, B.A.; Chu, P.L. All-optical switching in a two-channel waveguide with cubic-quintic nonlinearity. J. Phys. B 2006, 39, 2455. [Google Scholar] [CrossRef]
- Gubeskys, A.; Malomed, B.A. Symmetric and asymmetric solitons in linearly coupled Bose-Einstein condensates trapped in optical lattices. Phys. Rev. A 2007, 75, 063602. [Google Scholar] [CrossRef]
- Gubeskys, A.; Malomed, B.A. Spontaneous soliton symmetry breaking in two-dimensional coupled Bose-Einstein condensates supported by optical lattices. Phys. Rev. A 2007, 76, 043623. [Google Scholar] [CrossRef]
- Li, Y.; Liu, J.; Pang, W.; Malomed, B.A. Symmetry breaking in dipolar matter-wave solitons in dual-core couplers. Phys. Rev. A 2013, 87, 013604. [Google Scholar] [CrossRef]
- Smerzi, A.; Fantoni, S.; Giovanazzi, S.; Shenoy, R. Quantum coherent atomic tunneling between two trapped Bose-Einstein condensates. Phys. Rev. Lett. 1997, 79, 4950–4953. [Google Scholar] [CrossRef]
- Raghavan, S.; Smerzi, A.; Fantoni, S.; Shenoy, S.R. Coherent oscillations between two weakly coupled Bose-Einstein condensates: Josephson effects, π oscillations, and macroscopic quantum self-trapping. Phys. Rev. A 1999, 59, 69–82. [Google Scholar] [CrossRef]
- Mazzarella, G.; Moratti, M.; Salasnich, L.; Salerno, M.; Toigo, F. Atomic Josephson junction with two bosonic species. J. Phys. B 2009, 42, 125301. [Google Scholar] [CrossRef]
- Brazhnyi, V.A.; Malomed, B.A. Spontaneous symmetry breaking in Schrödinger lattices with two nonlinear sites. Phys. Rev. A 2011, 83, 053844. [Google Scholar] [CrossRef]
- Pang, W.; Guo, H.; Chen, G.; Mai, Z. Symmetry breaking bifurcation of two-component soliton modes in an inverted nonlinear random lattice. J. Phys. Soc. Jpn. 2014, 83, 034402. [Google Scholar] [CrossRef]
- Luo, Z.; Li, Y.; Pang, W.; Liu, Y.; Wang, X. Dipolar matter-wave soliton in one-dimensional optical lattice with tunable local and nonlocal nonlinearities. J. Phys. Soc. Jpn. 2013, 82, 124401. [Google Scholar] [CrossRef]
- Guo, H.; Chen, Z.; Liu, J.; Li, Y. Fundamental modes in a waveguide pipe twisted by inverted nonlinear double-well potential. Laser Phys. 2014, 24, 045403. [Google Scholar] [CrossRef]
- Fan, Z.; Shi, Y.; Liu, Y.; Pang, W.; Li, Y.; Malomed, B.A. Cross-symmetric dipolar-matter-wave solitons in double-well chains. Phys. Rev. E 2017, 95, 032226. [Google Scholar] [CrossRef] [PubMed]
- Liu, Y.; Guan, Y.; Li, H.; Luo, Z.; Mai, Z. Nonlinear defect localized modes and composite gray and anti-gray solitons in one-dimensional waveguide arrays with dual-flip defects. Opt. Commum. 2017, 397, 105–111. [Google Scholar] [CrossRef]
- Brazhnyi, V.A.; Malomed, B.A. Localized modes in two-dimensional schrödinger lattices with a pair of nonlinear sites. Opt. Commum. 2014, 324, 277–285. [Google Scholar] [CrossRef]
- Herring, G.; Kevrekidis, P.G.; Malomed, B.A.; Carreterogonzalez, R.; Frantzeskakis, D.J. Symmetry breaking in linearly coupled dynamical lattices. Phys. Rev. E 2007, 76, 066606. [Google Scholar] [CrossRef] [PubMed]
- Mai, Z.; Fu, S.; Wu, J.; Li, Y. Discrete solitons in waveguide arrays with long-range linearly coupled effect. J. Phys. Soc. Jpn. 2014, 83, 034404. [Google Scholar] [CrossRef]
- Snyder, A.W.; Mitchell, D.J.; Poladian, L.; Rowland, D.R.; Chen, Y. Linear approach for approximating spatial solitons and nonlinear guided modes. J. Opt. Soc. Am. B 1991, 8, 1618–1620. [Google Scholar] [CrossRef]
- Romangoli, M.; Trillo, S.; Wabnitz, S. Soliton switching in nonlinear couplers. Opt. Quantum. Electron. 1992, 24, S1237–S1267. [Google Scholar]
- Huang, W.-P. Coupled-mode theory for optical waveguides: An overview. J. Opt. Soc. Am. A 1994, 11, 963–983. [Google Scholar] [CrossRef]
- Mak, W.C.K.; Malomed, B.A.; Chu, P.L. Solitary waves in coupled nonlinear waveguides with Bragg gratings. J. Opt. Soc. Am. B 1998, 15, 1685–1692. [Google Scholar] [CrossRef]
- Chen, Z.; Malomed, B.A. Gap solitons in Rabi lattices. Phys. Rev. E 2017, 95, 032217. [Google Scholar] [CrossRef] [PubMed]
- Gordon, R. Harmonic oscillation in a spatially finite array waveguide. Opt. Lett. 2004, 29, 2752–2754. [Google Scholar] [CrossRef] [PubMed]
- Mancini, M.; Pagano, G.; Cappellini, G.; Livi, L.; Rider, M.; Catani, J.; Sias, C.; Zoller, P.; Inguscio, M.; Dalmonte, M.; Fallani, L. Observation of chiral edge states with neutral fermions in synthetic hall ribbons. Science 2015, 349, 1510–1513. [Google Scholar] [CrossRef] [PubMed]
- Stuhl, B.K.; Lu, H.I.; Aycock, L.M.; Genkina, D.; Spielman, I.B. Visualizing edge states with an atomic bose gas in the quantum hall regime. Science 2015, 349, 1514–1518. [Google Scholar] [CrossRef] [PubMed]
- Celi, A.; Tarruell, L. Physics probing the edge with cold atoms. Science 2015, 349, 1450–1451. [Google Scholar] [CrossRef] [PubMed]
- Cheon, S.; Kim, T.H.; Lee, S.H.; Yeom, H.W. Chiral solitons in a coupled double peierls chain. Science 2015, 350, 182–185. [Google Scholar] [CrossRef] [PubMed]
- Golshani, M.; Weimann, S.; Jafari, K.; Nezhad, M.K.; Langari, A.; Bahrampour, A.; Eichelkraut, T.; Mahdavi, S.M.; Szameit, A. Impact of loss on the wave dynamics in photonic waveguide lattices. Phys. Rev. Lett. 2014, 113, 123903. [Google Scholar] [CrossRef] [PubMed]
- Chiofalo, M.L.; Succi, S.; Tosi, M.P. Ground state of trapped interacting bose-einstein condensates by an explicit imaginary-time algorithm. Phys. Rev. E 2000, 62, 7438. [Google Scholar] [CrossRef]
- Mai, Z.; Pang, W.; Wu, J.; Li, Y. Symmetry breaking of discrete solitons in two-component waveguide arrays with long-range linearly coupled effect. J. Phys. Soc. Jpn. 2015, 84, 014401. [Google Scholar] [CrossRef]
- Vakhitov, N.G.; Kolokolov, A.A. Stationary solutions of the wave equation in a medium with nonlinearity saturation. Radiophys. Quantum Electron. 1973, 16, 783–789. [Google Scholar] [CrossRef]
- Sakaguchi, H.; Malomed, B.A. Solitons in combined linear and nonlinear lattice potentials. Phys. Rev. A 2010, 81, 013624. [Google Scholar] [CrossRef]








© 2018 by the authors. Licensee MDPI, Basel, Switzerland. This article is an open access article distributed under the terms and conditions of the Creative Commons Attribution (CC BY) license (http://creativecommons.org/licenses/by/4.0/).
Share and Cite
Xu, H.; Pan, Z.; Luo, Z.; Liu, Y.; Tan, S.; Mai, Z.; Xu, J. Zigzag Solitons and Spontaneous Symmetry Breaking in Discrete Rabi Lattices with Long-Range Hopping. Symmetry 2018, 10, 277. https://doi.org/10.3390/sym10070277
Xu H, Pan Z, Luo Z, Liu Y, Tan S, Mai Z, Xu J. Zigzag Solitons and Spontaneous Symmetry Breaking in Discrete Rabi Lattices with Long-Range Hopping. Symmetry. 2018; 10(7):277. https://doi.org/10.3390/sym10070277
Chicago/Turabian StyleXu, Haitao, Zhelang Pan, Zhihuan Luo, Yan Liu, Suiyan Tan, Zhijie Mai, and Jun Xu. 2018. "Zigzag Solitons and Spontaneous Symmetry Breaking in Discrete Rabi Lattices with Long-Range Hopping" Symmetry 10, no. 7: 277. https://doi.org/10.3390/sym10070277
APA StyleXu, H., Pan, Z., Luo, Z., Liu, Y., Tan, S., Mai, Z., & Xu, J. (2018). Zigzag Solitons and Spontaneous Symmetry Breaking in Discrete Rabi Lattices with Long-Range Hopping. Symmetry, 10(7), 277. https://doi.org/10.3390/sym10070277

