Spatial–Temporal Changes and Driving Factor Analysis of Net Ecosystem Productivity in Heilongjiang Province from 2010 to 2020
Abstract
1. Introduction
2. Materials and Methods
2.1. Study Area
2.2. Data Source and Pretreatment
2.3. Research Methods
2.3.1. NEP Estimation Model
2.3.2. Sen + Mann–Kendall Trend Analysis
2.3.3. Hurst Index
2.3.4. Geographic Detector
3. Results
3.1. Spatiotemporal Distribution Characteristics of NEP
3.2. Spatial Characteristics of NEP Changes
3.3. Future Trends of NEP
3.4. Analysis of Driving Factors of NEP
3.4.1. Dominant Factor Detection
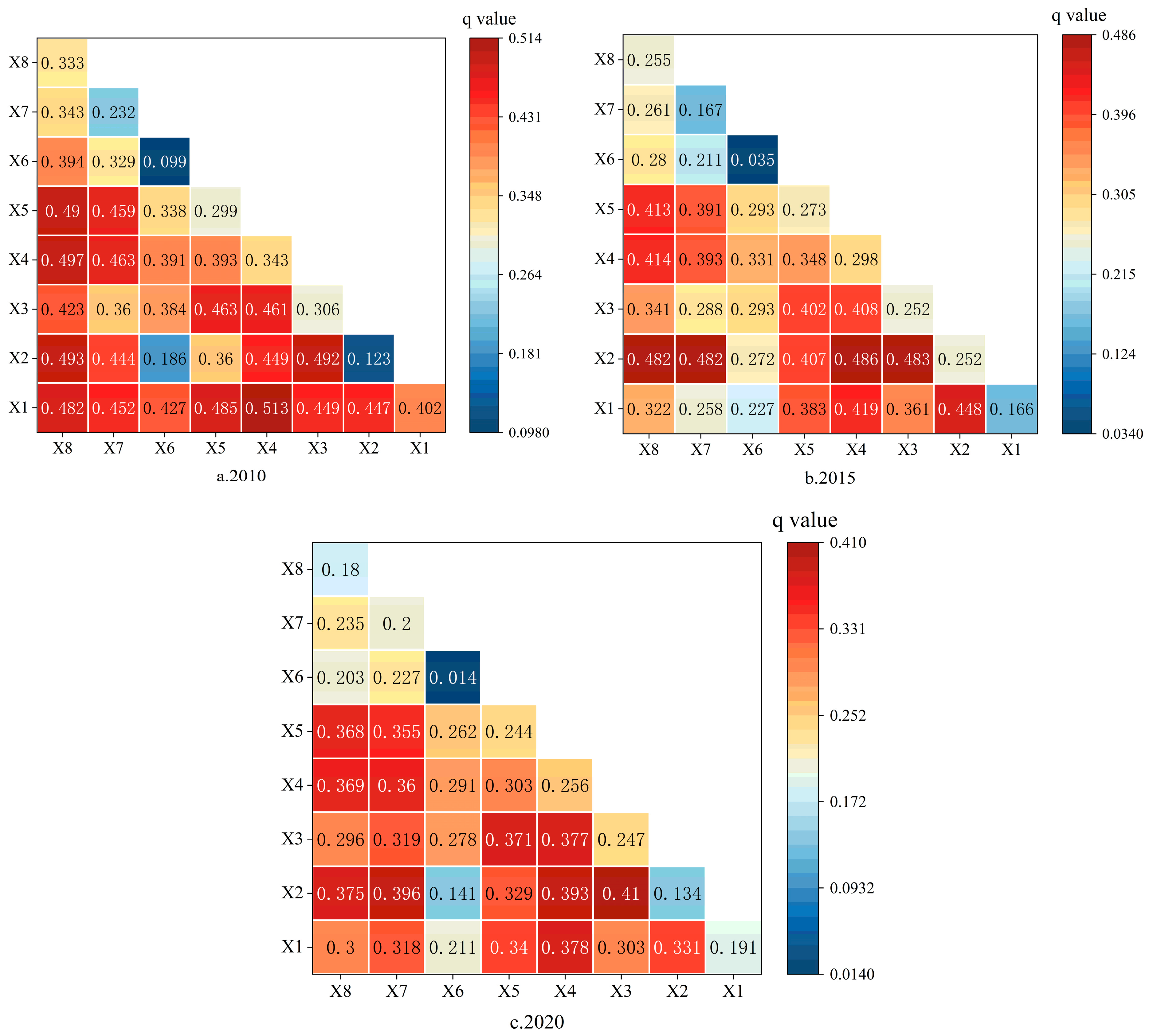
3.4.2. Factor Interaction Detection
3.5. Analysis of NEP Driving Factors
4. Discussion
4.1. Spatiotemporal Variation in NEP
4.2. NEP Driving Factors
4.3. Limitations and Future Work
5. Conclusions
- (1)
- Research shows that the overall NEP in Heilongjiang Province showed a fluctuating upward trend from 2010 to 2020, mainly attributed to the implementation of the Grain for Green and Ecological Restoration Project, as well as the warming and humidification trend of the regional climate. This discovery not only validates the effectiveness of ecological restoration measures in enhancing regional carbon sequestration functions but also provides empirical support for achieving carbon-neutrality goals.
- (2)
- There are significant differences in the contribution of different vegetation types to carbon sinks, with forests and farmland being the main carbon-sink areas, while some grasslands and wetlands serve as carbon sources. This discovery emphasizes the important role of forests and farmland in regional carbon cycling, especially in terms of agricultural carbon-sink potential and carbon-sequestration methods, providing important references for future policy formulation.
- (3)
- The study revealed significant regional differences in the spatial variation in NEP in Heilongjiang Province, with most regions (78.39%) showing an increasing trend, while a few regions (17.53%) showed a decreasing trend. In addition, predictions of future NEP changes indicate that most regions will continue to increase, but there are still some regions facing potential risks of reduction. This requires us to fully consider regional differences and adopt differentiated management measures when formulating ecological protection and restoration strategies.
- (4)
- Through a geographic-detector analysis, this study found that terrain, climate, and socio-economic factors all have an impact on the spatial differentiation of NEP in Heilongjiang Province, but the influence of natural factors (especially altitude) is more significant. This discovery reveals the complex mechanisms behind NEP changes and provides a new perspective for us to gain a deeper understanding of regional carbon-cycling processes.
Supplementary Materials
Author Contributions
Funding
Data Availability Statement
Acknowledgments
Conflicts of Interest
References
- Zhang, M.; Huang, X.J.; Chuai, X.; Xie, X.; Zhu, Z.; Wang, Y. Spatial Distribution and Changing Trends of Net Ecosystem Productivity in China. Geogr. Geo-Inf. Sci. 2020, 36, 69–74. [Google Scholar] [CrossRef]
- Friedlingstein, P.; Jones, M.W.; O’Sullivan, M.; Andrew, R.M.; Hauck, J.; Olsen, A.; Peters, G.P.; Peters, W.; Pongratz, J.; Sitch, S.; et al. Global carbon budget 2021. Earth Syst. Sci. Data 2022, 14, 1917–2005. [Google Scholar] [CrossRef]
- Piao, S.L.; Yue, C.; Ding, J.; Guo, J. Perspectives on the role of terrestrial ecosystems in the ‘carbon neutrality’ strategy. Sci. China Earth Sci. 2022, 52, 1419–1426. [Google Scholar] [CrossRef]
- Higgins, P.A.T.; Harte, J. Cardon cycle uncertainty increases climate change risks and mitigation challenges. J. Clim. 2012, 25, 7660–7668. [Google Scholar] [CrossRef]
- Intergovernmental Panel on Climate Change (IPCC). Special Report on Global Warming of 1.5 °C; Cambridge University Press: Cambridge, UK, 2018. [Google Scholar] [CrossRef]
- Erb, K.H.; Kastner, T.; Plutzar, C.; Bais, A.L.S.; Carvalhais, N.; Fetzel, T.; Gingrich, S.; Haberl, H.; Lauk, C.; Niedertscheider, M.; et al. Unexpectedly large impact of forest management and grazing on global vegetation biomass. J. Nat. 2018, 553, 73–76. [Google Scholar] [CrossRef] [PubMed]
- Wang, X.K.; Feng, Z.W.; Ouyang, Z.Y. Vegetation carbon storage and density of forest ecosystems in China. Chin. J. Appl. Ecol. 2001, 12, 13–16. [Google Scholar] [CrossRef]
- Misal, H.; Hoare, V.H.C.; Miles, V. Responding to the climate crisis: Taking action on the IPCC 6th Assessment Report. Weather 2022, 77, 149–150. [Google Scholar] [CrossRef]
- Friedlingstein, P.; O’Sullivan, M.; Jones, M.W.; Andrew, R.M.; Hauck, J.; Olsen, A.; Peters, G.P.; Peters, W.; Pongratz, J.; Sitch, S.; et al. Global carbon budget 2020. Earth Syst. Sci. Data 2020, 12, 3269–3340. [Google Scholar] [CrossRef]
- Li, Z.H.; Shan, N.; Wang, Q.; Li, W.; Wang, Z.; Bao, S.; Dou, H.; Ao, W.; Pang, B.; Dou, H. Estimation of Vegetation Carbon Source/Sink and Analysis of Its Influencing Factors in Hulun Lake Basin from 2013 to 2020. Ecol. Rural. Environ. 2022, 38, 1437–1446. [Google Scholar] [CrossRef]
- Zhang, L.; Wang, J.; Shi, R.H. Temporal-spatial variations of carbon sink/source in Northeast China from 2000 to 2010. J. East China Norm. Univ. 2015, 2015, 164–173. [Google Scholar] [CrossRef]
- Dai, E.F.; Huang, Y.; Zhuo, W. Spatial-temporal features of carbon source-sink and its relationship with climate factors in InnerMongolia grassland ecosystem. Acta Geogr. Sin. 2016, 71, 21–34. [Google Scholar] [CrossRef]
- Qiu, S.; Liang, L.; Wang, Q.; Geng, D.; Wu, J.; Wang, S.; Chen, B. Estimation of European Terrestrial Ecosystem NEP Based on an Improved CASA Model. IEEE J. Sel. Top. Appl. Earth Obs. Remote Sens. 2023, 16, 1244–1255. [Google Scholar] [CrossRef]
- Zhao, N.; Zhou, L.; Zhuang, J.; Wang, Y.L.; Zhou, W.; Chen, J.J.; Song, J.; Ding, J.X.; Chi, Y.G. Integration analysis of the carbon sources and sinks in terrestrial ecosystems, China. Acta Ecol. Sinica. 2021, 41, 7648–7658. [Google Scholar] [CrossRef]
- Ye, X.J.; Wang, Y.H.; Pan, H.Z.; Bai, Y.; Dong, D.; Yao, H. Spatial-temporal variation and driving factors of vegetation net ecosystem productivity in Qinghai Province. Arid. Zone Res. 2022, 39, 1673–1683. [Google Scholar] [CrossRef]
- Cao, Y.; Sun, Y.L.; Jiang, Y.Q.; Wan, J. Analysis on temporal-spatial variations and driving factors of net ecosystem productivity in the Yellow River Basin. Ecol. Environ. Sci. 2022, 31, 2101–2110. [Google Scholar] [CrossRef]
- Weng, S.H.; Zhang, Y.Q.; Jiang, D.X.; Pan, W.H.; Li, L.C.; Zhang, F.M. Spatio-temporal changes and attribution analysis of net ecosystem productivity in forest ecosystem in Fujian province. Ecol. Environ. Sci. 2023, 32, 845–856. [Google Scholar] [CrossRef]
- Ren, X.L.; He, H.L.; Zhang, L.; Ge, R.; Feng, A.; Yu, G.; Zhang, L. Net ecosystem production of alpine grasslands in the Three-River Headwaters Region during 2001–2010. Res. Environ. Sci. 2017, 30, 51–58. [Google Scholar] [CrossRef]
- Sun, X.X.; Zhang, H.B.; Yu, Y.P. Spatial and tremporal dynamics in carbon source/sink and equity of the farmland ecosystem in Jiangsu Coastal Area, China. Chin. J. Agric. Resour. Reg. Plan. 2021, 42, 56–64. [Google Scholar]
- Liu, F.; Zeng, Y.N. Analysis of the spatio-temporal variation of vegetation carbon source/sink in Qinghai Plateau from 2000—2015. Acta Ecol. Sin. 2021, 41, 5792–5803. [Google Scholar] [CrossRef]
- Wu, D.Q.; Hou, W.; Sang, H.Y.; Zhai, L.; Guo, J. Analysis of spatio-temporal variation of vegetation carbon sources/sinks in Tibet and its impact factors. Sci. Surv. Mapp. 2022, 47, 105–113. [Google Scholar] [CrossRef]
- Hou, Y.; Chu, Y.; Yang, Q.L.; Zheng, F.; Zhang, S.X.; Huangpu, X.D. Multi-dimensional detection of spatiotemporal variations and driving factors in vegetation carbon sink capacity in Ningxia, China. Chin. J. Ecol. 2023, 42, 1–11. Available online: https://kns.cnki.net/kcms2/detail/21.1148.Q.20230707.0922.006.html (accessed on 2 November 2023).
- Mu, S.J.; Li, J.L.; Zhou, W.; Yang, H.F.; Zhang, C.B.; Ju, W.M. Spatial-temporal distribution of net primary productivity and its relationship with climate factors in Inner Mongolia from 2001 to 2010. Acta Ecol. Sin. 2013, 33, 3752–3764. [Google Scholar] [CrossRef]
- Pan, J.H.; Wen, Y. Estimation and spatial-temporal characteristics of carbon sink in the arid region of northwest China. Acta Ecol. Sin. 2015, 35, 7718–7728. [Google Scholar] [CrossRef]
- Shi, S.; Li, W.; Lin, X.P. patiotemporal Variations of Vegetation NDVl and Influencing Factors in Heilongjiang Province. Res. Soil Water Conserv. 2023, 30, 294–305. [Google Scholar] [CrossRef]
- Cheng, C.X.; Yu, M.; Mao, Z.J. Spatial-Temporal Evolution and Patterns of Abrupt Changs of NPP in Heilongjiang Province in the Process of Ecological Protection and Restoration in China. Sci. Silvae Sin. 2022, 58, 23–31. [Google Scholar]
- Jiao, Y.; Hu, H.Q. Carbon storage and its dynamics of forest vegetations in Heilongjiang Province. J. Appl. Ecol. 2005, 16, 2248–2252. [Google Scholar] [CrossRef]
- Kang, H.X.; Na, X.D.; Zang, S.Y. Distribution characteristic of time and space of vegetation atmospheric regulating service in Heilongjiang province. Sci. Surv. Mapp. 2017, 42, 60–64. [Google Scholar] [CrossRef]
- Cheng, C.X. Spatial-Temporal Changes and Driving Forces of Terrestrial Vegetation NPP in Heilongjiang Province from 2000 to 2020. Ph.D. Thesis, Northeast Forestry University, Harbin, China, 2023. [Google Scholar]
- Xu, X.L. China GDP Spatial Distribution Kilometer Grid Dataset. Resource and Environmental Science Data Registration and Publishing System. 2017. Available online: https://www.resdc.cn/DOI/doi.aspx?DOIid=33 (accessed on 15 January 2024).
- Woodwell, G.M.; Whittaker, R.H.; Reiners, W.A.; Likens, G.E.; Delwiche, C.C.; Botkin, D.B. The biota and the world carbon budget. Science 1978, 199, 141–146. [Google Scholar] [CrossRef]
- Fang, J.Y.; Ke, J.H.; Tang, Z.Y.; Anping, C.E. Implications and estimations of four terrestrial productivity parameters. Chin. J. Plant Ecol. 2001, 25, 414–419. [Google Scholar]
- Sun, C.J.; Qiao, P.; Wang, J.R.; Wang, H.Y.; Sun, J.L. Spatio-temporal variation characteristics of net primary productivity in Lvliang contiguous poverty areas since 2000. Acta Ecol. Sin. 2022, 42, 277–286. [Google Scholar] [CrossRef]
- Zhu, W.Q.; Pan, Y.Z.; Zhang, J.S. Estimation of net primary productivity of Chinese terrestrial vegetation based on remote sensing. Chin. J. Plant Ecol. 2007, 31, 413–424. [Google Scholar] [CrossRef]
- Zhu, W.Q.; Chen, Y.H.; Pan, Y.Z.; Li, J. Estimation of light light utilization efficiency of vegetation in China based on GIS and RS. Geomat. Inf. Sci. Wuhan Univ. 2004, 29, 694–698. [Google Scholar] [CrossRef]
- Zhu, W.Q.; Pan, Y.Z.; He, H.; Yu, D.; Hu, B. Simulation of maximum light utilization efficiency of typical vegetation in China. Chin. Sci. Bull. 2006, 51, 700–706. [Google Scholar] [CrossRef]
- Pei, Z.Y.; Zhou, C.P.; Ouyang, H.; Yang, W.B. A carbon budget of alpine steppe area in the Tibetan Plateau. Geogr. Res. 2010, 29, 102–110. [Google Scholar] [CrossRef]
- Qian, F.Y.; Lan, A.J.; Fan, Z.M.; Wang, R.; Tao, Q.; Zhou, Y.C.; Xu, J.S. Spatiotemporal Variation Characteristics and Influencing Factors of NPP in Guizhou Province from 2000 to 2020. Res. Soil Water Conserv. 2023, 30, 408–416+426. [Google Scholar] [CrossRef]
- Xie, H.; Tong, X.J.; Li, J.; Liu, P.R.; Yu, F.Y. Changes of NDVI and EVI and their responses to climatic variables in the Yellow River Basin during the growing season of 2000–2018. Acta Ecol. Sin. 2022, 42, 4536–4549. [Google Scholar] [CrossRef]
- Wen, X.J.; Liu, Y.X.; Yang, X.J. A resilience-based analysis on the spatial heterogeneity of vegetation restoration and its affecting factors in the construction of eco-cities: A case study of Shangluo, Shaanxi. Acta Ecol. Sin. 2015, 35, 4377–4389. [Google Scholar] [CrossRef]
- Wang, J.F.; Xu, C.D. Geodetector: Principle and prospective. Acta Geogr. Sin. 2017, 72, 116–134. [Google Scholar] [CrossRef]
- Liu, F.; Zeng, Y.N. Spatial-temporal change in vegetation Net Primary Productivity and its response to climate and human activities in Qinghai Plateau in the past 16 years. Acta Ecol. Sin. 2019, 39, 1528–1540. [Google Scholar] [CrossRef]
- Liu, C.Y. The temporal-Spatial Changes and Dynamic Mechanism of Carbon Source/Sink of Provincial Ecosystem—A Case of Gansu Province. Ph.D. Thesis, Lanzhou University, Lanzhou, China, 2016. [Google Scholar] [CrossRef]
- Hashimoto, S.; Carvalhais, N.; Ito, A.; Migliavacca, M.; Nishina, K.; Reichstein, M. Global spatiotemporal distribution of soil respiration modeled using a global database. Biogeosciences 2015, 12, 4121–4132. [Google Scholar] [CrossRef]
- Chen, D. Study on Terrestrial Ecosystem NEP in Gannan Based on Romte Sense Technology. Ph.D. Thesis, Lanzhou University, Lanzhou, China, 2016. [Google Scholar] [CrossRef]
- Wang, F.; Cao, Y.Q.; Zhou, S.H.; Fan, S.B.; Jiang, X.M. Estimation of vegetation carbon sink in the Yellow River Basin ecological function area andanalysis of its main meteorological elements. Acta Ecol. Sin. 2023, 43, 2501–2514. [Google Scholar] [CrossRef]
- Zhou, S.H. Spatio-Temporal Distribution of Carbon Source/Sink and Carbon Deficitprediction in Northeast China. Ph.D. Thesis, Liaoning Normal University, Dalian, China, 2023. [Google Scholar]
- Fan, Y.P. Spatio-Temporal Variation of Carbon Source/Sink of Vegetation and Its Response to Climate Change in the Hexi Corridor. Ph.D. Thesis, Northwest Normal University, Lanzhou, China, 2019. [Google Scholar]
- Xie, Y.C.; Hou, Z.M.; Liu, H.J.; Cao, C.; Qi, J. The sustainability assessment of CO2 capture, utilization and storage (CCUS) and the conversion of cropland to forestland program (CCFP) in the Water–Energy–Food (WEF) framework towards Chinas carbon neutrality by 2060. Environ. Earth Sci. 2021, 80, 468. [Google Scholar] [CrossRef]
- Wang, G.P.; Ma, J. Connotation, Characteristics, and Values: A Three Dimensional Interpretation of Xi Jinping’s Ecological Civilization Thought. J. Jiangxi Univ. Sci. Technol. 2021, 42, 7–13. [Google Scholar] [CrossRef]
- Xu, Y.; Huang, W.T.; Zheng, Z.W.; Dai, Q.Y.; Li, X.Y. Detecting Influencing Factor of Vegetation NPP in Southwest China Based on Spatial Scale Effect. Environ. Sci. 2023, 44, 900–911. [Google Scholar] [CrossRef]








| NEP Trend | Hurst Value | Type | Area/(1 × 104 km2) | Percent/% |
|---|---|---|---|---|
| Sen > 0 | H > 0.5 | Persistent increase | 26.65 | 58.44 |
| H < 0.5 | Potential decrease | 9.10 | 19.95 | |
| Sen = 0 | H > 0.5 | No changing trend | 1.86 | 4.09 |
| Sen < 0 | H < 0.5 | Potential increase | 2.57 | 5.65 |
| H > 0.5 | Persistent decrease | 5.42 | 11.88 |
Disclaimer/Publisher’s Note: The statements, opinions and data contained in all publications are solely those of the individual author(s) and contributor(s) and not of MDPI and/or the editor(s). MDPI and/or the editor(s) disclaim responsibility for any injury to people or property resulting from any ideas, methods, instructions or products referred to in the content. |
© 2024 by the authors. Licensee MDPI, Basel, Switzerland. This article is an open access article distributed under the terms and conditions of the Creative Commons Attribution (CC BY) license (https://creativecommons.org/licenses/by/4.0/).
Share and Cite
Zhang, H.; He, Z.; Zhang, L.; Cong, R.; Wei, W. Spatial–Temporal Changes and Driving Factor Analysis of Net Ecosystem Productivity in Heilongjiang Province from 2010 to 2020. Land 2024, 13, 1316. https://doi.org/10.3390/land13081316
Zhang H, He Z, Zhang L, Cong R, Wei W. Spatial–Temporal Changes and Driving Factor Analysis of Net Ecosystem Productivity in Heilongjiang Province from 2010 to 2020. Land. 2024; 13(8):1316. https://doi.org/10.3390/land13081316
Chicago/Turabian StyleZhang, Hui, Zhenghong He, Liwen Zhang, Rong Cong, and Wantong Wei. 2024. "Spatial–Temporal Changes and Driving Factor Analysis of Net Ecosystem Productivity in Heilongjiang Province from 2010 to 2020" Land 13, no. 8: 1316. https://doi.org/10.3390/land13081316
APA StyleZhang, H., He, Z., Zhang, L., Cong, R., & Wei, W. (2024). Spatial–Temporal Changes and Driving Factor Analysis of Net Ecosystem Productivity in Heilongjiang Province from 2010 to 2020. Land, 13(8), 1316. https://doi.org/10.3390/land13081316
