You are currently viewing a new version of our website. To view the old version click .
Land
  • Article
  • Open Access

14 October 2024

Spatiotemporal Evolution and Influencing Factors of Coupling and Coordination between the Ecosystem Service Value and Economy in the Pearl River Delta Urban Agglomeration of China

,
,
,
and
School of Geography and Planning, Sun Yat-Sen University, Guangzhou 510006, China
*
Author to whom correspondence should be addressed.
This article belongs to the Special Issue Ecological and Cultural Ecosystem Services in Coastal Areas

Abstract

In the context of pursuing high-quality development, the coupling and coordination of the ecosystem and economy has become the fundamental goal and inevitable choice for achieving the sustainable development of urban agglomerations. Based on remote sensing and statistical data for the Pearl River Delta (PRD) region from 2005 to 2020, in this paper, we construct an index system of the ecological and economic levels to assess the ecosystem service value (ESV). We use the equivalent factor method, entropy method, coupling coordination model, and relative development model to systematically grasp the spatial pattern of the levels of the two variables, analyse and evaluate their spatial and temporal coupling and coordination characteristics, and test the factors influencing their coupling and coordination using the geographical and temporal weighted regression (GTWR) model. The results show that ① the ESV in the PRD exhibited a fluctuating decreasing trend, while the level of the economy exhibited a fluctuating increasing trend; ② the coordination degree of the ESV and economy in the PRD exhibited a fluctuating increasing trend, and the region began to enter the basic coordination period in 2007; ③ in terms of the spatial distribution of the coordination degree, there was generally a circular pattern, with the Pearl River Estuary cities as the core and a decrease in the value towards the periphery; ④ the coordinated development model is divided into balanced development, economic guidance, and ESV guidance, among which balanced development is the major type; ⑤ the results of the GTWR reveal that the influencing factors exhibited significant spatial–temporal heterogeneity. Government intervention and openness were the dominant factors affecting the coordination, and the normalised difference vegetation index was the main negative influencing factor.

1. Introduction

Sustainable development is the fundamental path through which China could achieve high-quality development. Since the reform and opening-up, China has made outstanding achievements in urbanisation and the economy. Its urbanisation rate has increased from 17.9% in 1978 to 63.89 in 2020 and its gross domestic product (GDP) has increased from 367.870 billion RMB in 1978 to 101.36 trillion RMB in 2020 []. However, the rapid increases in these two values have been accompanied by a series of ecological and environmental problems [], such as haze, water pollution, and a shortage of land resources. One of the major manifestations of the urbanisation process is the occupation of a massive number of natural landscapes, especially large areas of high-quality land, resulting in the degradation of ecosystems, which in turn impairs the supply of ecosystem services []. Because the United Nations actively advocates sustainable development [], it is necessary to explore the characteristics of the coordination between the regional economy and the ecosystem and to clarify their coordination characteristics so as to promote the realisation of an ecological civilisation and achieve high-quality development in China.
Scholars have shown great interest in the coordination of ecology and socio-economic development. Ecosystem services provide material information about, and intangible well-being for, human life, reflecting the benefits that people obtain from the natural environment [,]. They are life-supporting products and services that act directly or indirectly through the ecosystem’s structures, operation processes, and functions, and they link the economic activities of human society and the ecological processes of natural resources []. However, the growing desire for economic profit depletes ecosystem services, leading to the deterioration of the ecological environment and endangering the sustainability of development [,]. Moreover, considering that urban agglomerations are significant engines for the rapid growth of the regional socio-economy, whether they can achieve sustainable development and promote the high-quality development of a country has also attracted the attention of the academic community. Currently, there is no recognised way to evaluate the sustainable or high-quality development of urban agglomerations. In the early stages of such research, it was pointed out that sustainable development of urban agglomerations was a system that included the economy, society, and ecology []. For this reason, some studies have discussed the interaction and coupling between urbanisation and the ecological environment, and the essentialness of the socio-economy and environment in sustainable development has also been emphasised in studies of megalopolises [,]. Some scholars have proposed and utilised relevant indicators to evaluate the development quality of urban agglomerations []. Previous research has mostly focused on the coupling and coordination of the economy and ecology in urban agglomerations, as well as the implementation of a large number of empirical analyses [,,,].
Coupling and coordination has become a popular topic in global change research. As a key way to reflect the level of coordination between the regional ecological environment and social and economic development, it quantifies the coordination and its trends and can be used to analyse the impact of human activities on an ecosystem. Thus, policies conducive to regional sustainable development can be formulated accordingly [,]. Related global studies have mainly explained the theory and policy of environmental Kuznets from different perspectives [] or have analysed the relationship between the regional ecological environment and the social–economy from the pressure–state–response perspective (PSR) using the PSR model []. Some scholars have used an input–output model [] and a CGE model [] to explore the relationship between environmental protection and socio-economic development, providing a theoretical foundation for studying the relationship between the ecological environment and socio-economic changes. With the breakthroughs in quantitative research on the ecosystem service value (ESV) made by Costanza et al. [] and other researchers, studies on the ESV’s association with the social–economy have begun to be favoured. China’s relevant achievements have mainly relied on index systems of the two dimensions. As research on the human–environment relationship is deepening [], research on the coupling relationship between the social–economy and ecosystem has gradually matured. Theories of a human–environment coupling circular system [] and a social–economic–natural complex ecosystem [] have been proposed, which are of great importance when studying the coupling relationship between the ESV and the social–economy. Since Xie et al. [,] promoted quantitative studies of the ESV, the interactions between socio-economic development and the ESV have become a popular topic in academia in China. In terms of the commonly used techniques, the most important and widely recognised method is the coupling coordination model of physics. In terms of the content of such studies, many scholars only analysed the evolution process of the coupling coordination degree model in different time periods, while in-depth explorations of the influencing factors and driving mechanisms have rarely been reported. In terms of the research objects, the majority of existing studies were conducted at the province and prefecture scales, and little research has been conducted on combinations of urban agglomerations or comprehensive planning areas []. With the implementation of China’s regional synergy strategy in the new era (starting in 2012), the scientific problem of strengthening the coupling and coordination mechanism between the ESV and social–economy in typical urban agglomerations has been promoted to a high position, providing a theoretical supplement and practical guidance [].
Rapid urbanisation has caused dramatic changes in land use in the PRD region. The areas of cropland and water bodies have decreased significantly, while the area of construction land has rapidly increased. The stress on the ecological environment has increased correspondingly, making sustainable development a serious challenge. In view of this, in this study, we took the PRD urban agglomeration as the research object and used the coupling coordination degree model to measure its overall trend during 2005–2020, as well as the evolution characteristics of the different cities. The influencing factors and characteristics of the coupling coordination degree in response to the changes in and mechanism of the coupling coordination relationship between the ESV and social–economy were analysed using the spatiotemporal, geographically weighted regression model in order to provide a scientific basis for the coordinated and sustainable development of urban agglomeration in the PRD.
The purposes of this study were (a) to detect the change characteristics of the land use and ESV in the PRD region from 2005 to 2020; (b) to measure and analyse the spatiotemporal evolution characteristics of the economic level in the PRD region; (c) to explore the spatiotemporal coupling characteristics of the ESV and high-quality economic development level; and (d) to use the spatiotemporal, geographically weighted regression model to explore the factors influencing the coupling coordination degree of the ESV and economy. The main highlight of the paper is that it evaluates the influencing factors of CCD with the GTWR model. The advantage of this model is that it can directly quantify the spatial and temporal relationship between independent and dependent variables, strengthening the detailed and scientific results by observing the spatiotemporal non-stationarity of influencing factors. Additionally, the negative effects of construction land must be considered when evaluating the ecological environment. Therefore, referring to existing research, the introduced equivalent factor of construction land is negative, so that the ESV of the PRD region and its cities can be estimated more comprehensively and concretely. Last but not least, this study also constructs a comprehensive index system of economic development, differing from the traditional single-dimensional economic growth evaluation. The results not only provide policy management suggestions for the synergic development of the ecological environment and social–economy in the PRD region but also provide a reference case study for other regions for the promotion of sustainable development.

2. Literature Review

Scholars have shown great interest in the coordination of the ecology and socio-economic development. Ecosystem services provide material information about resources and intangibly improve human welfare, reflecting the benefits that people obtain from the natural environment [,]. They are life-supporting products and services that act directly or indirectly through the ecosystem’s structures, operation processes, and functions, and they link the economic activities of human society and the ecological processes of natural resources []. However, the growing desire for economic profit will deplete ecosystem services, leading to the deterioration of the ecological environment and endangering the sustainability of development [,]. Moreover, considering that urban agglomerations are significant engines for the rapid growth of a region’s socio-economy, whether they can achieve sustainable development and promote the high-quality development of a country has also attracted the attention of the academic community. Currently, there is no recognised way to evaluate the sustainable or high-quality development of urban agglomerations. In the early stages of such research, it was pointed out that the sustainable development of urban agglomerations was a system that included the economy, society, and ecology []. For this reason, some studies have discussed the interaction and coupling between urbanisation and the ecological environment, and the essentialness of the socio-economy and environment in sustainable development in studies of megalopolises has also been emphasised [,]. Some scholars proposed and utilised relevant indicators to evaluate the quality of the development of urban agglomerations []. Previous research has mostly focused on the coupling and coordination of the economy and ecology in urban agglomerations, as well as the implementation of a large number of empirical analyses [,,,].
Coupling and coordination has become a popular topic in global change research. As a key way to reflect the level of coordination between the regional ecological environment and social and economic development, it quantifies the trends in coordination and can be used to analyse the impact of human activities on an ecosystem. Thus, policies conducive to regional sustainable development can be formulated accordingly [,]. Related global studies have mainly explained the theory and policy of environmental Kuznets from different perspectives [] or have analysed the relationship between the regional ecological environment and social–economy from the pressure–state–response perspective (PSR) using the PSR model []. Some scholars have used an input–output model [] and a CGE model [] to explore the relationship between environmental protection and socio-economic development, providing a theoretical foundation for studying the relationship between the ecological environment and socio-economic changes. With the breakthroughs in quantitative research on the ecosystem service value (ESV) made by Costanza et al. [] and other researchers, studies on the ESV’s association with the social–economy have begun to be favoured. China's relevant achievements have mainly relied on index systems of the two dimensions. As research on the human–environment relationship is deepening [], research on the coupling relationship between the social–economy and ecosystem has gradually matured. Theories of a human–environment coupling circular system [] and a social–economic–natural complex ecosystem [] have been proposed, which are of great importance for studying the coupling relationship between the ESV and the social–economy. Since Xie et al. [,] promoted quantitative studies of the ESV, the interactions between socio-economic development and the ESV have become a popular topic in academia in China. In terms of the commonly used techniques, the most important and widely recognised method is the coupling coordination model of physics. In terms of the content, many scholars only analysed the evolution of the coupling coordination degree model in different time periods, while in-depth explorations of the influencing factors and driving mechanisms have rarely been reported. In terms of the research objects, the majority of existing studies were conducted at the province and prefecture scales, and little research has been conducted on combinations of urban agglomerations or comprehensive planning areas []. With the implementation of China's regional synergy strategy in the new era (starting in 2012), the scientific problem of strengthening the coupling and coordination mechanism between the ESV and the social–economy in typical urban agglomerations has attracted increasing interest, providing a theoretical supplement and practical guidance [].
The main highlight of this paper is that it evaluates the influencing factors of CCD using the GTWR model. The advantage of this model is that it can directly quantify the spatial and temporal relationship between independent and dependent variables, strengthening the detailed and scientific results by observing the spatiotemporal non-stationarity of influencing factors. Additionally, the negative effects of construction land must be considered while evaluating the ecological environment. Therefore, referring to existing research, the introduced equivalent factor of construction land is negative, so that the ESV of the PRD region and its cities can be estimated more comprehensively and concretely. Last but not least, this study also constructs a comprehensive index system of economic development, differing from the traditional single-dimensional economic growth evaluation.

3. Materials and Methods

3.1. Study Area

The urban agglomeration in the PRD is located in the central–southern part of Guangdong Province, China (111°20′–115°25′ E, 21°27′–23°57′ N) (Figure 1a). The total land area is 5.47 million hectares, of which hills, mountains, and islands account for 30%. The annual average temperature is 21.4–22.4 °C, and the annual average precipitation is 1600–2300 mm. The ecosystem structure exhibits various characteristics, and forests and water bodies are the main components (Figure 1b). The PRD’s economy has been advancing rapidly. From 2000 to 2020, the GDP increased from 84.13 billion to 895.24 billion RMB, the per capita GDP increased from 20,369 to 115,459 RMB, and the urbanisation ratio increased from 69.50% to 87.24%. It can be seen that the PRD has a solid spatial ecosystem pattern that supports rapid economic development. However, rapid urbanisation and economic development have brought great challenges to the ecology of PRD’s urban agglomeration, and the synergic evolution of economy and ecology has become a significant issue in the region’s future development. The coordinated development of the environment and the economy is an important issue in the development of contemporary society, and is also the focus of attention in the PRD region and even globally. The Pearl River Delta region, at the frontier of China's reform and opening-up and an important engine of economic development, is representative of a typical metropolitan area in terms of the evolution of land development intensity and ecological environment relationship. The interactive relationship between environmental conditions and economic activities has always been a hot research topic. While the economic is improving by leaps and bounds, the region is also facing increasingly severe environmental challenges. In the future, the PRD region needs to focus more on innovation-driven development, transformation and upgrading, and ecological environmental protection, while maintaining sustained and healthy economic growth, in order to achieve a coordinated development between the economy and the environment. Our research results provide a reference and support for the development of urban agglomerations across the entire country.
Figure 1. Location of the study region. (a) Location in China, and (b) the spatial distribution of different land cover types in PRD.

3.2. Data Sources

The land-use data for 2005–2020 used in this study were obtained from the annual China Land Cover Dataset (CLCD, https://zenodo.org/records/8176941 [accessed on 2 October 2023]), with an overall accuracy of 80%. The ENVI 5.1 software was used to preprocess the remote sensing images for each year. According to China’s Land Use Status Classification standard (GB/T21010-2017), the visual interpretation was combined with actual field investigation and the utilisation of Google Earth. The maximum likelihood method was used to supervise and classify the research area, and the resampling was classified into six categories: cropland, forests, grassland, water bodies, construction land, and unused land. The digital elevation model (DEM) data were provided by the European Aviation Authority (EAA, https://panda.copernicus.eu/panda [accessed on 4 October 2023]), with a spatial resolution of 30 m × 30 m. The annual average temperature, average precipitation, and vegetation coverage data were obtained from the National Science and Technology Resource Sharing Service Platform-National Earth System Science Data Center (http://www.geodata.cn). The urban expansion was measured using the light index, and the data acquisition was conducted using a method described in a previous study []. The Defence Meteorological Program (DMSP) Operational Line-Scan System (DMSP-OLS) data for the required time series were obtained. The socio-economic and food production data for the urban agglomeration were obtained from the China City Statistical Yearbook [], the Guangdong Statistical Yearbook [], and statistical bulletins for the nine prefectures involved. Limited by the availability of the data, the missing data were replaced using the linear difference method. The data that could not be obtained directly were obtained via conversion of the relevant original data.

3.3. Research Methods

The socio-economic system and the natural ecosystem are closely related to the survival and development of human beings. There are nonlinear and open dynamic changes between them, causing them to interact and organically unify. The adjustment of the system’s structure and optimisation of its function can be realised based on coupling coordination research. The coupling coordination relationship between the two systems is summarised in Figure 2. Ecosystem services include the supply services, regulation services, support services, and cultural services utilised by human beings and constitute the material basis for socio-economic development. Socio-economic development is the driver of the use of ecosystem services, and any increase in this development strengthens the degree of access to the ecosystem. If the demands of the social–economy exceed the limits of development, it will inevitably be restricted by the ecosystem. When socio-economic development reaches a certain level, human beings can promote regional synergic and high-quality development by formulating policies for the sustainable development of the local social–economy and ecosystem.
Figure 2. Coupling coordination relationship between ecosystem services and economic development.

3.3.1. Method for Evaluation of the Comprehensive Economic Development Level

In this study, we constructed an evaluation index system for the economic development in the PRD’s urban agglomeration (Table 1). The index system measures three aspects of the comprehensive level of economic development: development level, industry structure, and dynamics [,,]. The specific calculation steps of each parameter were described in a previous study []. The detailed steps are as follows:
Table 1. Economic development evaluation index system for the PRD’s urban agglomeration.
① The index data shall be standardised using the following formula:
S i j = S i j min S i j max S i j min S i j   ( p o s i t i v e   i n d e x e s )
S i j = max S i j S i j max S i j min S i j     ( n e g a t i v e   i n d e x e s )
where S i j is the original data matrix of the index; S i j is the standardized data matrix; max S i j and m i n ( S i j ) are the maximum and minimum values of the jth indicator, respectively.
② Calculation of the entropy σ j of the indicator. The formula is as follows:
σ j = k i = 1 n P i j ln P i j
where σ j is the entropy value, 0 σ j 1 ; k = 1 ln n , n is the number of evaluation subjects; P i j = S i j i = 1 n S i j .
③ Calculation of the ω j of the indicator. The formula is as follows:
ω i j = 1 σ i j i = 1 n 1 σ i j
where ω i j is the indicator weight; σ i j is the indicator entropy value; and n is the number of indicators.
④ Calculation of the dimension layer scores. The formula is as follows:
X i = ω i j × S i j
where X i is the element level score and ω i j is the indicator weight.
Y i = W i × X i
where Y i is the dimension layer score and W i is the indicator weight.
⑤ Calculation of the target tier scores. The formula is as follows:
T i = Q i × Y i
where T i is the target layer score and Q i is the indicator weight.

3.3.2. ESV Assessment Method

Costanza et al. [,] first proposed the theory and method of ESV evaluation in 1997, and it has been used ever since. However, this method has many defects and is not suitable for the conditions in China. There are significant differences in the ecosystem types and service functions in different research areas. Based on this, Xie et al. revised the equivalent table on the basis of Costanza’s study and finally obtained the equivalent value of ecosystem services per unit area.
(i) Referring to the method of Xie et al. [,,], in this study, we took 1/7 of the average economic value of grain production in Guangdong Province as the equivalent factor of the ESV. The formula is as follows:
E a = 1 7 × P Q S ,
where E a is the economic value of grain per unit area of cropland (RMB/hm2); P is the average grain purchase price (RMB); Q is the grain yield (kg); and S is the sown area of grain (hm2). According to the weekly data on national grain variety purchase prices, the average value of P was calculated to be 3.05 RMB/kg and the economic value of the cropland per unit area was calculated to be 2418.58 RMB/hm2; then, this was multiplied by the correction coefficient λ ( λ = the average grain yield per unit area in each year; the average grain yield per unit area of the country = 0.968 ). Finally, the economic value of the cropland per unit area in the PRD was calculated to be 2341.52 RMB/hm2.
(ii) Accordingly, the ecological service value coefficient (VC) can be calculated on the basis of the economic value of the cropland per unit area in the region according to the ESV equivalent table per unit area of the ecosystem. Previous studies have generally concluded that there is no ESV coefficient for construction land; however, it was recently found that construction land still has ecological functions, such as culture and entertainment. According to the literature [,,,,], the service value per unit area of the PRD ecosystem is summarised in Table 2. The specific formula is as follows:
V C i j = e i j × E a   ( i , j = 1,2 , n )
where e i j is the ESV unit equivalent of class j for land-use type i .
Table 2. ESV per unit area in PRD.
(iii) Based on the land-use data and the calculated unit area value table, each year’s ESV accounting method for the PRD is as follows:
E S V = i = 1 n V C i × A i .

3.3.3. Coupling Coordination Degree Model

The coupling coordination degree model was used to study the co-evolution relationship between the ecological environment and economic development [], and was used to quantitatively analyse the interaction between the PRD’s ESV and economy. The specific calculation equations are as follows:
C = 2 × f ( x ) · g ( x ) ( f x + g ( x ) ) 2 2 ,
T = α f x + β g x ,
D = C × T ,
where C is the coupling degree; T is the comprehensive coordination index; D is the coupling coordination degree; and f ( x ) and g ( x ) are the scores of the ecological environment and economic development, respectively. The larger the value, the higher the corresponding ecological environment and economic development degree. α   a n d   β are undetermined weights, reflecting the influence coefficient of the two dimensions. Based on the existing research results [,], we believe that the ecological environment and economic development were equally important in the study area, so we set α = β = 0.5 . There is no unified standard for classifying the coupling coordination degree at present. In this study, we referred to the existing literature on classifying the criterion of coupling and the coupling coordination degree [,] and divided them into six levels (Table 3 and Table 4).
Table 3. Classification of ESV and economic coupling degree.
Table 4. Classification of ESV and economic coupling coordination degree.

3.3.4. Geographical and Temporal Weighted Regression Model

After introducing the temporal dimension, the limitation of the traditional geographical weighted regression model that only considers non-spatial stationarity is overcome. The GTWR model helps to more accurately identify the spatial distribution and temporal dynamics of the influencing factors. The mathematical expression of the model is as follows []:
Y i = β 0 u i , v i , t i + j = 1 n β j u i , v i , t i X i j + ε i ,
where Y i is the coupling coordination degree (CCD) between the ESV of city i and economic development. u i , v i , a n d   t i are the spatiotemporal coordinates of point i . β 0 u i , v i , t i is the regression constant of point i , that is, the intercept term. β j u i , v i , t i is the parameter estimation of the j th explanatory variable at the i th point in year t . X i j is the value of the explanatory variable X j at point i . ε i is the random error term. n is the number of explanatory variables.
In order to analyse the influencing factors regarding the ESV and economy in the PRD’s urban agglomeration, we referred to studies on the actual situation in the PRD [,,] and selected ten social–economic and natural indicators as driving factors (Table 5). According to the research perspectives provided in literatures, the significance of factors selected include government intervention [,], opening-up [,,], urbanisation [], population [,], urban expansion [,] and ecological environment factors [,].
Table 5. Classification of ESV and economic coupling coordination degree.

4. Analyses of Results

4.1. Comprehensive Analysis of ESV and Economic Development Level

4.1.1. Continuous Decreasing Trend of the Total ESV in the PRD

Ecosystem services exhibit different characteristics in different urbanisation stages []. Compared with the existing research on the stages of urbanisation [,], the urbanisation process in the PRD can be divided into a stage III mature period (70–80%; 2005–2007) and a stage IV post-mature period (>80%; after 2008). During the research period, the urbanisation process in the PRD was in stages III and IV (Figure 3 and Figure 4). From the perspective of the temporal evolution, the total value of the ecosystem services in the PRD exhibited a decreasing trend. Among them, the total ESV increased in stage III and decreased significantly in stage IV. The ESV of the different land types exhibited different evolution characteristics; that is, in stage III, the ESV of the cropland continued to decrease, the absolute ESV of the construction land services continued to increase, and the ESV of the forests, grassland, water bodies, and unused land continued to increase. The forests and water bodies had a significant positive effect on the total ESV, and the construction land had a significant negative effect on the total ESV. In stage IV, the ESV of the construction land and unused land increased, and the ESV of the cropland, forests, grassland, and water bodies decreased. During the entire study period, the cropland, forests, water bodies, and construction land greatly influenced the total ESV in the PRD, indicating that the occupation of cropland, forests, and water bodies by urban construction during the urbanisation process was the core factor leading to the decrease in the total ESV.
Figure 3. Trend of the total ESV in the PRD from 2005 to 2020.
Figure 4. Trends of the ESV of the various land-use types in the PRD from 2005 to 2020.
From the perspective of the evolution of the ESV from 2005 to 2020, the spatial pattern of the cities in the PRD urban agglomeration remained relatively stable (Figure 5). In 2005, Zhaoqing’s total ESV was greater than that of the other cities because of the high ESV of the forests and water bodies. Huizhou and Jiangmen ranked high in terms of the total ESV because of the relatively high ESV of their cropland, forests, and water bodies. The ESV of the water bodies in Guangzhou, Foshan, and Zhuhai were relatively high, so their total ESV was at a medium level. Due to the high absolute values of the ESV of the water bodies and construction land, the total ESV in Dongguan and Zhongshan was at a medium–low level. Shenzhen’s total ESV was relatively very low due to the low ESV of its forests and water bodies, even though the absolute value of the ESV of its construction land was high. In 2020, the spatial pattern of the ESV in the PRD exhibited a trend of stable fine-tuning. Foshan’s ESV was mainly due to the decrease in the ESV of its water bodies and the increase in the absolute value of the ESV of its construction land, and its total ESV was reduced to the medium–low level. Dongguan’s ESV was mainly due to the decrease in the ESV of its water bodies and cropland and the increase in the absolute value of the ESV of its construction land, and its total ESV was degraded to a very low level.
Figure 5. Spatial distribution of ESV in the PRD urban agglomeration from 2005 to 2020.

4.1.2. Fluctuating Increasing Trend of the Economic Development Level in the PRD

A comprehensive index of economic development was obtained using the weighted sum of the entropy method. The results show that the vitality of the development had a great influence on the comprehensive level of the economic development. Combined with Chenery’s economic stage division standard [], the economic development in the PRD was divided into five stages: stage I—primary product production (before 1993); stage II—early industrialisation (1994–2001); stage III—medium industrialisation (2002–2005); stage IV—late industrialisation (2006–2011); and stage V—early developed economy (after 2012). Throughout the study period, the economic development in the PRD occurred in the later part of stage IV (industrialisation; 2005–2011) and stage V (developed economy; 2012–2020). From the perspective of the time series, the comprehensive level of economic development in the PRD significantly improved, especially in stages IV and V, after 2008. The main reasons for the slowdown in stage V include the low demand for foreign trade, a decline in real estate growth, the weakening of the domestic trade driving force, the erosion of corporate profits by structural inflation, and a rise in commodity prices (Figure 6).
Figure 6. Comprehensive level of economic development in the PRD from 2005 to 2020.
Regarding the evolution of the comprehensive level of economic development from 2005 to 2020 (Figure 7), the cities in the PRD’s urban agglomeration were quite different and the spatial pattern remained relatively stable. In 2005, due to the high level of the industrial structure and development vitality, the comprehensive levels of economic development in Guangzhou and Shenzhen were ahead of the levels in the other cities. The comprehensive levels of economic development in Dongguan and Zhuhai were higher due to their higher levels of development vitality. Due to their relatively high levels of development vitality, the overall economic development in Foshan and Zhongshan was at the middle level. The comprehensive levels of economic development in Huizhou and Jiangmen were relatively low due to the low levels of their industrial structures and development vitality. Zhaoqing’s comprehensive economic level was very low due to the low values of the three dimensions. In 2020, the levels of these three dimensions were higher in Guangzhou, Shenzhen, and Zhuhai, and their comprehensive economic levels were ahead of those in the other cities. Foshan, Dongguan, Zhuhai, Huizhou, and Jiangmen were in the middle comprehensive level of economic development due to the balance between these three dimensions. The comprehensive level of economic development in Zhaoqing lagged behind that of the other cities. Its development level, industrial structure, and development vitality were the lowest in the PRD’s urban agglomeration.
Figure 7. Spatial distribution of economic development in the PRD from 2005 to 2020.

4.2. Spatiotemporal Evolution Characteristics and Models of the Coordination Degree

4.2.1. Fluctuating Increasing Trend of the Coordination Degree in the PRD

According to the results, the coupling relationship between the ESV and the economy in the PRD from 2005 to 2020 was always in a low coupling state (Table 6). The coordination degree of the ESV and the economy increased in a fluctuating manner (Figure 8). These two phenomena indicate that the coordination of the two dimensions was reinforced. The turning point regarding the coordination degree occurred in 2007. At the earlier stage, the mutual promotion between the ESV and the economy was weak and the coordination degree was low. At the later stage, the economy developed rapidly and its promotion effect on the ESV was enhanced. The year 2007 was not only an important change point regarding urbanisation in the PRD from the mature stage to the post-mature stage, but it was also a critical period for the transition of economic development from the middle stage of industrialisation to the late stage of industrialisation.
Table 6. Coupling stage and coordination classification of ESV and economic level in the PRD.
Figure 8. Trend of the coordination degree of ESV and the economic level in the PRD.

4.2.2. Spatial Distribution of the Coordination Degree, Taking Estuary Cities as the Core and Decreasing in an Outwards Direction

From 2005 to 2020, the two dimensions of the coordination degree in the PRD exhibited a spatial distribution, with the cities along the Pearl River Estuary serving as the core, showing gradually decrease in this degree towards the periphery of the circle. The regional differences gradually decreased, and the coordination level evolved from moderate imbalance to basic coordination (Figure 9). In 2005, the coordination degree in the PRD urban agglomeration ranged from 0.31 to 0.46, indicating a state of mild imbalance to basic coordination, and the overall level was poor. Among the cities, Shenzhen, Zhuhai, and Dongguan exhibited basic coordination, and the others exhibited moderate imbalance. By 2020, the coordination degree in all of the cities in the PRD’s urban agglomeration had improved, ranging from 0.35 to 0.49, and the overall change was from moderate imbalance to basic coordination. Among them, Guangzhou, Foshan, and Zhongshan rapidly attained basic coordination, while Zhaoqing, Jiangmen, and Huizhou remained in a state of moderate imbalance.
Figure 9. Spatial distribution of coordination degree in the PRD.

4.2.3. Types and Evolution Models of the Coordination Relationship between the ESV and Economic Development

To explore the evolution of the coordination of the ESV and economic development, referring to a relevant study [], the order of the ESV and the economic development level during the study period were compared to divide the evolution into types. ESV guidance was defined as the case when the ESV of the economic development was more than two. Economic guidance was defined as when the ESV of the economic development was more than two. Balanced development was defined as the case when the difference between the two positions was less than or equal to 2 (Figure 10).
Figure 10. Types of coordination evolution for cities in the PRD.
From 2005 to 2010, the number of balanced development cities increased slightly; the number of ESV guidance cities did not change; and the number of economic guidance cities decreased from three to two. From the perspective of the spatial distribution of the types of evolution, the balanced development cities were concentrated in the east, the ESV guidance cities were concentrated in the west, and the economic guidance cities were mainly distributed along the Pearl River Estuary. From 2010 to 2015, the number of balanced development cities decreased slightly. The number of ESV guidance cities did not change, but the spatial disparity was more significant. The number of economic guidance cities increased from 2 to 3. The characteristics of the spatial distribution of the types during this period showed that the area of balanced development cities shrank towards the west, the area of the economic guidance cities shrank towards the north, and the ESV guidance cities exhibited a dispersed pattern. From 2015 to 2020, only the balanced development and economic guidance cities changed. Among them, the area of the balanced development type spread southward, the economic guidance type exhibited a uniform distribution on the east and west sides of the Pearl River Estuary, and the ESV guidance type still exhibited a dispersed distribution.

4.3. Analysis of Factors Influencing the Coordination Degree

4.3.1. Fluctuating Increasing Trend of the Coordination Degree in the PRD

Using the GTWR model, the coupling coordination degree between the ESV and economic development was taken as the dependent variable, and the annual openness [], population size [], government intervention [], urban expansion [,], urbanisation [,], precipitation [,], temperature [,], and normalised difference vegetation index (NDVI) [,] were taken as the explanatory variables. Before utilizing the GTWR model, all of the variables needed to be standardised. In order to avoid the phenomenon of pseudo-regression in the regression, the regression analysis method was used to test the multicollinearity of all of the variables after standardisation, and the variables with variance inflation factors (VIFs) of greater than 10 were eliminated. Finally, five indicators, namely, openness (OPEN), government intervention (GOV), urban expansion (UE), annual average temperature (TEM), and NDVI, were determined, serving as explanatory variables for the GTWR model. The regression coefficients were calculated by the spatiotemporal, geographically weighted regression analysis module of ArcGIS 10.8, with the bandwidth set to automatic optimisation, and the ratio of the space–time distance parameter set to 1. The results are shown in Table 7, where the residual square is the residual sum of the squares of the model, and σ is the square root of the normalised residual sum of the squares. The smaller both values are, the more explanatory they are. The residual squares and σ values in this study are 0.0019 and 0.0036, respectively, indicating that the model fits the observation data well. AICC is a measure of model performance, and models with lower AlCC values usually fit the data better. Given that the AICC value in this study is −730.9710 and the adjusted R2 is 0.9942, the GTWR model is able to effectively measure the influence of the driving factors on the coupling coordination degree by combining the numerical results of each parameter.
Table 7. Relevant parameters of the GTWR model.

4.3.2. Temporal Heterogeneity of GTWR Fitting Coefficients

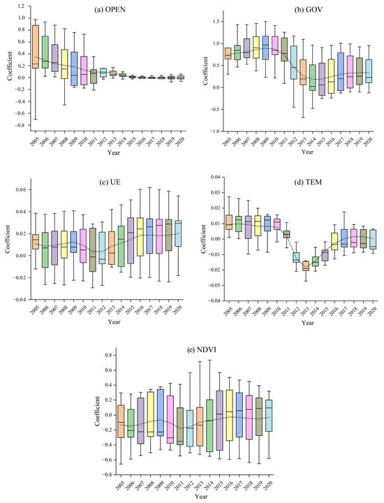
According to the GTWR model, a regression analysis of the driving factors of the coupling coordination degree between the ESV and the economy in the cities in the PRD during the study period was carried out, and box plots of its evolution were drawn based on the regression coefficients of these factors (Figure 11).
Figure 11. Trends of regression coefficients of driving factors.
From the perspective of the socio-economic factors, first, the degree of opening to the outside world (OPEN) mainly exerted a positive driving effect, and its dispersion generally exhibited a convergence trend, indicating that a higher level of opening to the outside world attracted a large amount of foreign investment into the PRD. Foreign investment not only directly promotes economic growth but also brings advanced environmental protection technology and equipment, which helps to enhance the ESV. Foreign-funded enterprises often pay more attention to environmental protection and sustainable development in the production process, thus promoting the coordinated development of the ESV of the ecosystem and the economy []. Second, it was found that the regression coefficient of the opening (OPEN) had a significant impact on the coupling coordination in stage IV (later period of industrialisation), which confirms the division of the development stage in the PRD. It also indirectly shows that the degree of opening promoted economic–environmental coordination in the PRD mainly by affecting economic development. The degree of government intervention (GOV) mainly exerted an N-type positive driving effect, but its positive effect gradually decreased, and its dispersion exhibited an expanding trend. This implies that, in the processes of guiding the economic layout, supporting industry, and promoting ecological protection, the industrial structure in the PRD was optimised and upgraded, and growth in regional, green, low-carbon, and environmental protection industries was encouraged accordingly. The policies helped to reduce the damage to ecosystems, enhance the ESV, and help the economy transition to a sustainable economy []. Third, the change trend of the GOV coefficient was basically consistent with the economic development and urbanisation stage division for the PRD described in this paper, indicating that government intervention promoted the coordinated development of the economy and environment in the PRD by affecting the ESV and economy. Urban expansion (UE) mainly exerted a positive driving effect, and its overall positive effect gradually increased. Its dispersion exhibited an expanding trend. The process of urban expansion may be associated with a reduction in ecological land area; however, through reasonable planning, the win–win situation of improvements in both the ESV and the economy can be achieved. This coupling coordination model is not only conducive to the sustainable development of the city but also provides residents with a more liveable living environment [,]. Furthermore, it was found that the change trend of the urban expansion (UE) coefficient was at its largest in around 2011, indicating that the UE promoted economic–environmental coordination in the PRD by affecting economic development.
From the perspective of natural factors, first, the temperature (TEM) mainly exerted a positive V-type driving effect and exhibited obvious stage characteristics. Before 2011, it had a promoting effect, while after 2011, this changed to a restraining effect. As an important factor of the natural environment, TEM can be affected by reasonable regulation, resource allocation optimisation, and ecological resilience enhancements [,], thus promoting sustainable development in the PRD. Second, the NDVI mainly exerted a negative driving effect during the study period, and its inhibitory effect generally exhibited a weakening trend. In general, the higher the vegetation coverage was, the stronger the stability and resistance of the ecosystem, and the impacts of natural disasters (such as soil erosion and desertification) weakened, so the ecosystem service functions were well reflected. In the wetlands, forests, and other ecosystems in the PRD, the high NDVI values reflected richer vegetation resources and ecological services, which can play roles in services such as water conservation, climate regulation, and air purification. The NDVI is usually positively correlated with the beauty of the natural environment and the ecological landscape, and ecotourism and green industry in the PRD can be used to obtain these development conditions accordingly [,]. The results show that the NDVI played an increasingly important role in the coupling and coordination of the ESV and economy in the PRD during the study period.

4.3.3. Spatial Heterogeneity of GTWR Fitting Coefficients

Using the spatial analysis tool, we applied the natural fracture method and set 0 as the breakpoint. Based on the results, the spatial heterogeneity of the local driving factors of the coupling coordination effect in the PRD was determined (Figure 12).
Figure 12. Spatial heterogeneity of regression coefficients of driving factors.
From the perspective of the socio-economic factors, the openness (OPEN) basically exerted a negative effect in the north and a positive effect in the south. The city with the lowest OPEN fitting coefficient was Huizhou. This indicates that following improvements in the level of openness, the coordination of the ESV and economy is more worthy of attention. The regression coefficient of government intervention (GOV) exhibited a negative double-winged spatial pattern. The high-value areas of its negative effects were located in Huizhou and Zhaoqing, indicating that these two cities need to improve the incentive compatibility mechanism of environmental governance among government departments, organically combine environmental regulation with economic transformation, and reduce the distortion impact of financial pressure and/or promotion incentives on environmental protection in the future, so as to reduce the loss of ecological efficiency due to imperfect institutional mechanisms and to ensure the coordination of the ecological environment and urban development. The spatial distribution of the UE regression coefficients revealed that the expansion of most of the cities in the PRD was positively correlated with the coordination of the ecology and economy, with the exception of Zhuhai, in which ecological deficits and environmental damage occurred during the urbanisation process, presenting obstacles to coordination and sustainable development.
From the perspective of the natural factors, the coefficients of the TEM were mostly negative, with the exception of those in Shenzhen, Zhuhai, and Zhaoqing. An increase in temperature often has an inhibitory effect on grasslands and forests [], which leads to the heat island effect and restricts coupling and coordinated development. The coefficients of the NDVI were positive in the north and negative in the south, exhibiting significant agglomeration characteristics. The promoting effect extended from Zhaoqing to the east, and the inhibiting effect extended from Zhuhai to the surrounding cities.

5. Discussion

The PRD has long played a leading role in China’s economic development in the past, but it has also sacrificed its ecological environment. At present, under the requirements of high-quality development, the PRD is not only committed to maintaining a strong economic position but also to achieving leading levels of innovation, coordination, greenness, openness, and sharing (known as the new development philosophy). After 2005, development in the Pearl River Basin entered a golden age, and Guangdong Province’s economy made a great leap forward. During this stage, urbanisation began to occupy a large amount of land-use types with a high ESV []. The traditional economic model of the excessive consumption of natural resources had a serious negative impact, resulting in a decrease in the ESV [,,,]. In order to restore the damaged ecosystem, Guangdong Province and the PRD have issued a number of ecological protection plans since 2005, aiming to provide guidance for and a guarantee of regional environmental improvements and sustainable development. The implementation of this planning has reasonably controlled the intensity of regional land space development and the scale of pollutant emissions, increased the area of green space coverage, achieved cleaner production, and promoted eco-economic synergy in the PRD. From 2005 to 2020, the number of cities characterised by basic coordination and above increased significantly. It should be noted that by 2020, the basic coordination type was dominant in the PRD region, and the overall proportion of moderate imbalance was small, indicating that the coupling and coordination level of the ESV and economic development in each city had greatly improved.
The coupling coordination degree of the ESV and economic development in each city exhibited the characteristics of aggregation, and the higher-level cities were mainly concentrated in the Pearl River Estuary. This is consistent with previous research results []. From 2005 to 2020, the area of the high-value agglomeration areas continued to expand. These areas included two national central cities, Guangzhou and Shenzhen, the GDPs of which accounted for 58.86% of the GDP of the PRD. This had a dual-core driving effect on the regional pattern and led to the formation of an economic layout that was closely related to the neighbouring areas. The spillover of production factors and technology could promote the coordinated development of the ecological environment and economic growth in the surrounding areas. The moderate imbalance area was mainly concentrated in Jiangmen, Zhaoqing, and Huizhou, which are located on the periphery of the PRD, far from the growth pole. Their low levels of economic development restricted the coordination in this area. The moderate imbalance area had a significant negative spatial transmission effect and also affected the coordinated development of the region [].
As one of the most economically dynamic and influential regions in China, the PRD is facing both ecological and economic challenges, but there are also opportunities for improvement. The key to achieving prosperity and harmony is to integrate the two dimensions into a comprehensive framework. Our research shows that the coordinated development of the PRD’s urban agglomeration is affected by the comprehensive influence of socio-economic and natural environmental factors. Based on this, the following strategies and recommendations are proposed:
(1) We should deepen international cooperation and broaden the degree of opening up. According to the results for the openness, the PRD’s urban agglomeration should strengthen economic and trade cooperation with neighbouring countries and regions along the Belt and Road, promote the diversified development of foreign trade, and enhance the competitiveness of the international market. We should take advantage of the policy advantages of the Guangdong–Hong Kong–Macao Greater Bay Area, deepen cooperation with Hong Kong and Macao, jointly create a world-class business environment, and attract foreign investment and advanced technology. We should actively participate in the reformation and construction of the global economic governance system, promote the liberalisation and facilitation of trade and investment, and create a good external environment for economic development.
(2) We should strengthen policy guidance and promote economic transformation and upgrading. According to the results regarding government intervention, scientific economic development plans should be formulated to clarify the industrial positioning and development direction in each city and avoid industrial isomorphism and vicious competition. More policies and measures need to be introduced to promote economic transformation and upgrading, encourage enterprises to increase R&D investment, and promote the development of industry in the direction of high-end, intelligent, and green production. The government’s investment in and allocation of innovation resources should also be strengthened to support the construction of high-level scientific and technological innovation platforms and research and development institutions.
(3) We should accelerate the formation of green productivity and promote the development of regional economic cooperation. According to the results for urban expansion, temperature, and NDVI, urban expansion should strictly follow the principle of ecological protection, avoid damage to the ecological environment, and pay attention to greening and ecological restoration to improve the quality of the urban ecological environment. Green buildings and low-carbon travel modes are worth promoting to help reduce the negative impacts of urban expansion. The cities in the PRD should establish a regional coordinated development mechanism to jointly promote integrated development, especially the joint prevention and control of ecological protection. The best pathway is to rely on resource sharing and complementary advantages to enhance the overall competitiveness of the region. The PRD should also adhere to the construction of an intensive and efficient development pattern, give full play to the exemplary role of advanced cities in management, innovation, industry, and green development, and cooperate with Hong Kong and Macao to build a world-class urban agglomeration.
Against the background of the increasing proportion of urban areas, the negative impact of construction land on ecology must be considered. Based on relevant research [,,] and the actual situation in the PRD, we introduced the negative value of the equivalent factor to make a more comprehensive and specific estimation of the ESV of each city in the PRD. This paper analyses the coordinated development of ecology and the economy in the PRD from a geographic perspective, and our empirical results broaden the understanding of the evolution of the coupling and coordination of the watershed environment and economy at the urban agglomeration scale. Our research also provides a new perspective when studying the response of the ecology to social and economic development. Based on our analysis of the spatial and temporal evolution characteristics and driving factors of the coupling coordination degree, we suggest important measures that can be taken to achieve environmental protection and economic development. Our approach has broad applicability in determining the impacts of land-use changes, ecological changes, and socio-economic changes in the study area, and it can be used to determine the impacts of relevant policies and management practices. The results of this study provide new evidence for the formulation and implementation of ecological restoration and environmental protection policies in the PRD urban agglomeration, as well as a theoretical and practical basis for realising the sustainable development of the ecological society and economy in the Pearl River Basin.
In this study, we constructed an ecological–economic index system suitable for the PRD and used it to optimise the values of the traditional single economic evaluation index into categories. We estimated the ESV in the PRD as a quantitative indicator of the ecological environment and analysed the impacts of external factors on the sustainable and high-quality development of the PRD’s urban agglomeration.
However, some limitations of this study need to be improved in future studies. First, due to the availability of the data and previous research, the individual indicators of some of the cities could not be fully included in the evaluation system. Therefore, establishing a more comprehensive evaluation method will be a focus of future research. Second, the classification of land-use types in most studies is relatively extensive. For example, forest land was not specifically divided into broad-leaved forests or shrub forests in this study. However, in practice, the ESV of specific types of forests are different. The subdivision of land-use types could better reveal the supply of various ecological functions. In addition, due to the lack of evaluation criteria for construction land and the relative lack of background data, the accuracy of the measurement results cannot be fully verified. Relevant research methods need to be improved to improve the accuracy of the evaluation.

6. Conclusions

Focusing on urban agglomeration, this study measures the coordinated development of the economy and ecology in the PRD region. The results can not only expand the understanding of the high-quality development of urban agglomerations, but provide a new research perspective regarding the response of ecology to socio-economic development. By analysing the spatiotemporal evolution of CCD in the PRD’s urban agglomeration and its driving factors, this study proposes important measures for environmental protection and sustainable development. Our approach has broad applicability in determining the impact of changes in regional land use, ecology, and the socio-economy, as well as changes in relevant policies and management practices. Additionally, the results provide new evidence for the formulation and implementation of ecological restoration and environmental protection policies within the PRD, helping to introduce a theoretical and practical basis for achieving sustainability in other regions of the Pearl River Basin. The main conclusions are as follows:
(1) From 2005 to 2020, the areas of cropland, water bodies, and grassland in the PRD generally decreased, and the area of construction land continued to increase, resulting in a decrease in the total ESV.
(2) In terms of the spatiotemporal evolution characteristics of the ESV and economic development, the coordination degree of the two exhibited trends of increasing volatility, and the study area began to enter the basic adjustment stage after 2007. The coordination degree between the two exhibited a pattern of gradually decreasing from the coastal cities of the Pearl River Estuary towards the periphery of the study area. The evolution mode of the coordination relationship was mainly balanced development, among which the balanced development areas were concentrated in Guangzhou, Foshan, Dongguan, and Zhongshan. The ESV guidance areas were mostly scattered within Zhaoqing, Huizhou, and Jiangmen. The economic guidance areas were concentrated in Shenzhen and Zhuhai along the Pearl River Estuary.
(3) The influence direction and degree of each factor were different in distinct spatiotemporal positions. In terms of the time scale, the degree of external development, government intervention, and urban expansion all exerted positive impacts. The order of their influence was as follows: government intervention > openness > urban expansion. The NDVI always had a negative impact during the study period. The regression coefficient of the annual average temperature exhibited obvious stage characteristics, and exerted a positive–negative–positive effect trend during the study period. From the perspective of the spatial scale, openness generally exerted a negative effect in the northern part of the region and a positive effect in the southern part of the region. The regression coefficient of GOV exhibited a negative double-winged spatial pattern. The UE had a positive impact in most of the study area, and it only had a negative impact in Zhuhai. The TEM exhibited a southeast–southwest negative effect pattern in the study area. The regression coefficient of the NDVI was positive in the north and negative in the south.

Author Contributions

Conceptualization, C.Z.; Methodology, Z.Z. (Zeduo Zou) and X.L.; Software, X.Y.; Formal analysis, Z.Z. (Zeduo Zou) and Z.Z. (Zhuo Zhang); Investigation, X.Y.; Data curation, Z.Z. (Zhuo Zhang); Writing—original draft, Z.Z. (Zeduo Zou); Visualization, X.L.; Supervision, C.Z.; Funding acquisition, C.Z. All authors have read and agreed to the published version of the manuscript.

Funding

This research received no external funding.

Data Availability Statement

The raw data supporting the conclusions of this article will be made available by the authors on request.

Conflicts of Interest

The authors declare no conflict of interest.

References

  1. Zou, Z.; You, M.; Zhao, W.; Fu, C.; Zhang, W.; He, Z. Changes in the “Production-Living-Ecological Space” Pattern in the Interlocking Mountain and River Zones of the Yellow River Basin—Taking Xinxiang City as an Example. J. Resour. Ecol. 2023, 14, 479–492. [Google Scholar]
  2. Cheng, Y.; Kang, Q.; Liu, K.; Cui, P.; Zhao, K.; Li, J.; Ma, X.; Ni, Q. Impact of Urbanization on Ecosystem Service Value from the Perspective of Spatio-Temporal Heterogeneity: A Case Study from the Yellow River Basin. Land 2023, 12, 1301. [Google Scholar] [CrossRef]
  3. Hong, X.; Peng, Q.; Zheng, R.; Lin, W.; Fan, S.; Su, K. Evaluating the Spatial Evolution of the Eco-Economy Harmony in Anxi County, China, Based on Ecosystem Services Value. Sustainability 2024, 16, 1491. [Google Scholar] [CrossRef]
  4. Li, S.; Ma, S. A Quantitative Analysis on the Coordination of Regional Ecological and Economic Development Based on the Ecosystem Service Evaluation. Land 2024, 13, 207. [Google Scholar] [CrossRef]
  5. Costanza, R.; de Groot, R.; Braat, L.; Kubiszewski, I.; Fioramonti, L.; Sutton, P.; Farber, S.; Grasso, M. Twenty years of ecosystem services: How far have we come and how far do we still need to go? Ecosyst. Serv. 2017, 28, 1–16. [Google Scholar] [CrossRef]
  6. Daily, G.C.; Soderqvist, T.; Aniyar, S.; Arrow, K.; Dasgupta, P.; Ehrlich, P.R.; Folke, C.; Jansson, A.; Jansson, B.-O.; Kautsky, N.; et al. Ecology. The value of nature and the nature of value. Science 2000, 289, 395–396. [Google Scholar] [CrossRef]
  7. Wu, M.; Kang, Q.; Cheng, Y.; Mi, W. Analysis of the Evolution of Ecosystem Service Value and the Coordinated Development of Eco-Economy in Xi’an Metropolitan Area. Yellow River 2023, 45, 97–102. [Google Scholar]
  8. Bateman, I.J.; Harwood, A.R.; Mace, G.M.; Watson, R.T.; Abson, D.J.; Andrews, B.; Binner, A.; Crowe, A.; Day, B.H.; Dugdale, S.; et al. Bringing ecosystem services into economic decision-making: Land use in the United Kingdom. Science 2013, 341, 45–50. [Google Scholar] [CrossRef]
  9. Kaletova, T.; Loures, L.; Castanho, R.A.; Aydin, E.; da Gama, J.T.; Loures, A.; Truchy, A. Relevance of Intermittent Rivers and Streams in Agricultural Landscape andTheir Impact on Provided Ecosystem Services-A Mediterranean Case Study. Int. J. Environ. Res. Public Health 2019, 16, 2693. [Google Scholar] [CrossRef]
  10. Yao, S.; Li, Q.; Wu, Q.; Roger, C.; Chen, K.; Zhang, L. Study on the development trend and direction of Chinese urban agglomerations. Geogr. Res. 2010, 29, 1345–1354. [Google Scholar]
  11. Fang, C.; Zhou, C.; Wang, Z. Sustainable development strategy and priorities of spatially differentiated development of urban agglomerations along the Yangtze River Economic Belt. Prog. Geogr. 2015, 34, 1398–1408. [Google Scholar]
  12. Fang, C.; Zhou, C.; Gu, C.; Chen, L.; Li, S. Theoretical analysis of interactive coupled effects between urbanization and eco-environment in mega-urban agglomerations. Acta Geogr. Sin. 2016, 71, 531–550. [Google Scholar] [CrossRef]
  13. Wang, D. Comprehensive Measurement and Evolution Law of Urbanization Development Quality of Urban Agglomeration in China. Chin. J. Popul. Sci. 2018, 46–59, 127. [Google Scholar]
  14. Liu, C.; Duan, D.; Yu, R.; Wang, T. Spatio-temporal Structure of Coupling of the Economy-Resources-Environment System in Wuhan Metropolitan Area. China Popul. Resour. Environ. 2014, 24, 145–152. [Google Scholar]
  15. Ma, J.; Li, X.; Zhang, H. The Coordination of Urban Development Quality System in Urban Agglomeration in the Middle Reaches of the Yangtze River. Econ. Geogr. 2016, 36, 53–61. [Google Scholar]
  16. Sun, H.; Huang, Z.; Xu, D.; Shi, X.; Liu, H.; Tan, L.; Ge, J. The Spatial Characteristics and Drive Mechanism of Coupling Relationship between Urbanization and Eco-Environment in the Pan Yangtze River Delta. Econ. Geogr. 2017, 37, 163–170, 186. [Google Scholar]
  17. Li, F.; Zhang, M. Coupling and Coordination Differences of the Economy-Resources-Environment System in the Yangtze River Delta Megalopolis. East China Econ. Manag. 2018, 32, 59–65. [Google Scholar]
  18. Shi, T.; Yang, S.; Zhang, W.; Zhou, Q. Coupling coordination degree measurement and spatiotemporal heterogeneity between economic development and ecological environment-Empirical evidence from tropical and subtropical regions of China. Cleaner Prod. 2020, 244, 118739. [Google Scholar] [CrossRef]
  19. Tomal, M. Evaluation of coupling coordination degree and convergence behaviour of local development: A spatiotemporal analysis of all Polish municipalities over the period 2003–2019. Sustain. Cities Soc. 2021, 71, 102992. [Google Scholar] [CrossRef]
  20. Clark, W.C. Sustainability science: A room of its own. Proc. Natl. Acad. Sci. USA 2007, 104, 1737–1738. [Google Scholar] [CrossRef]
  21. Levrel, H.; Kerbiriou, C.; Couvet, D.; Weber, J. OECD pressure-state-response indicators for managing biodiversity: A realistic perspective for a French biosphere reserve. Biodivers. Conserv. 2009, 18, 1719–1732. [Google Scholar] [CrossRef]
  22. Allan, G.; Hanley, N.; McGregor, P.; Swales, K.; Turner, K. The impact of increased efficiency in the industrial use of energy: A computable general Equilibrium analysis for the United Kingdom. Energy Econ. 2007, 29, 779–798. [Google Scholar] [CrossRef]
  23. Galinis, A.; Van Leeuwen, M.J. A CGE model for Lithuania: The future of nuclear energy. J. Policy Model. 2000, 22, 691–718. [Google Scholar] [CrossRef]
  24. Costanza, R.; d’Arge, R.; de Groot, R.; Farber, S.; Grasso, M.; Hannon, B.; Limburg, K.; Naeem, S.; O’Neill, R.V.; Paruelo, J.; et al. The value of the world’s ecosystem services and natural capital. Ecol. Econ. 1998, 25, 3–15. [Google Scholar] [CrossRef]
  25. Qiu, J.; Liu, Y.; Chen, C.; Huang, Q. Spatial structure and driving pathways of the coupling between ecosystem services and human well-beings: Acase study of Guangzhou. J. Nat. Resour. 2023, 38, 760–778. [Google Scholar]
  26. Ma, F.; Guo, Y.; Yuen, K.F.; Woo, S.; Shi, W. Association between new urbanization and sustainable transportation: A symmetrical coupling perspective. Symmetry 2019, 11, 192. [Google Scholar] [CrossRef]
  27. Fang, C. Interaction theory for regional eco-environmental circle and development circle. Stud. Dialect. Nat. 1999, 15, 32–34. [Google Scholar]
  28. Xie, G.; Lu, C.X.; Leng, Y.; Zheng, D.; Li, S. Ecological assets valuation of the Tibetan Plateau. J. Nat. Resour. 2003, 18, 189–196. [Google Scholar]
  29. Xie, G.; Zhang, C.; Zhang, L.; Chen, W.; Li, S. Improvement of the evaluation method for ecosystem services value based on per unit area. J. Nat. Rescour. 2015, 30, 1243–1254. [Google Scholar]
  30. Kong, F.B.; Yang, W.C.; Xu, C.Y. Coordinated relationship and influencing factors of ecological environment and socio-economic coupling of urban agglomeration around Hangzhou Bay in China. Acta Ecol. Sin. 2023, 43, 2287–2297. [Google Scholar]
  31. Duan, D.; Chen, Y.; Du, D. Regional Integration Process of China's Three Major Urban Agglomerations from the Perspective of Techmolog. Trnsfer. Sci. Geogr. Simica 2019, 39, 1581–1591. [Google Scholar]
  32. Wu, Y.; Shi, K.; Chen, Z.; Liu, S.; Chang, Z. Developing Improved Time-Series DMSP-OLS-Like Data (1992–2019) in China by Integrating DMSP-OLS and SNPP-VIIRS. IEEE Trans. Geosci. Remote Sens. 2022, 60, 4407714. [Google Scholar] [CrossRef]
  33. National Bureau of Statistics. China Urban Statistical Yearbook (2006~2022); China Statistical Publishing House: Beijing, China, 2021.
  34. Guangdong Provincial Bureau of Statistics. Guangdong Statistical Yearbook (2005~2021); Guangdong Provincial Bureau of Statistics: Guangzhou, China, 2021.
  35. Tang, X.; Qiu, F.; Zhu, C.; Zhang, C.; Yao, X. Temporal-spatial change of coordinated development between economy and environment in Jiangsu province. World Reg. Stud. 2015, 24, 68–77. [Google Scholar]
  36. Liu, K.; Qiao, Y.; Shi, T.; Zhou, Q. Study on coupling coordination and spatiotemporal heterogeneity between economic development and ecological environment of cities along the Yellow River Basin. Environ. Sci. Pollut. Res. Int. 2020, 28, 6898–6912. [Google Scholar] [CrossRef] [PubMed]
  37. Zhang, Q.; Shen, J.; Sun, F. Spatiotemporal differentiation of coupling coordination degree between economic development and water environment and its influencing factors using GWR in China’s province. Ecol. Model. 2021, 462, 109794. [Google Scholar] [CrossRef]
  38. Jiang, X.; Yang, Q.; Geng, Q.; Wang, X.; Liu, J. Spatial-temporal Differentiation and Driving Mechanism of Coordinated Development of Ecological-Economic-Society Systems in the Yangtze River Economic Belt. Resour. Environ. Yangtze Basin 2019, 28, 493–504. [Google Scholar]
  39. Zhang, G. Impact Assessment of Land Use Change on Ecosystem Service Value under Multi-Scenario; Guangdong University of Technology: Guangzhou, China, 2022. [Google Scholar]
  40. Xuege, W.; Fengqin, Y.; Fenzhen, S. Impacts of Urbanization on the Ecosystem Services in the Guangdong-Hong Kong-Macao Greater Bay Area, China. Remote Sens. 2020, 12, 3269. [Google Scholar] [CrossRef]
  41. Ye, Y.; Zhang, J.; Wang, T.; Bai, H.; Wang, X.; Zhao, W. Changes in Land-Use and Ecosystem Service Value in Guangdong Province, Southern China, from 1990 to 2018. Land 2021, 10, 426. [Google Scholar] [CrossRef]
  42. Wang, X.; Yan, F.; Zeng, Y.; Chen, M.; Su, F.; Cui, Y. Changes in Ecosystems and Ecosystem Services in the Guangdong-Hong Kong-Macao Greater Bay Area since the Reform and Opening Up in China. Remote Sens. 2021, 13, 1611. [Google Scholar] [CrossRef]
  43. Zhang, H.; Wang, Y.; Wang, C.; Yang, J.; Yang, S. Coupling analysis of environment and economy based on the changes of ecosystem service value. Ecol. Indic. 2022, 144, 109524. [Google Scholar] [CrossRef]
  44. Dong, W.; Wang, C.; Zhang, Z. The space-time coupling between rural revitalization strategy and rural tourism development in Shandong Province. Sci. Geogr. Sin. 2020, 40, 628–636. [Google Scholar]
  45. Zhang, G.; Wang, J.; Wu, K.; Xu, Z. Spatial-temporal characteristics and influencing factors of coordination between economic and environmental development of three major urban agglomerations in China. Geogr. Res. 2020, 39, 272–288. [Google Scholar]
  46. Yin, J.; Shi, P.; Huang, W.; Shi, Z.; Li, Y. Spatiotemporal differentiation characteristics and influencing factors of coupling coordinated development of rural revitalization and new urbanization at the county level in Gansu province. J. Nat. Resour. 2023, 38, 2148–2168. [Google Scholar] [CrossRef]
  47. Zhao, J.; Liu, Y.; Zhu, Y.; Qin, S.L.; Wang, Y.H.; Miao, C. Spatiotemporal differentiation and influencing factors of the coupling and coordinated development of new urbanization and ecological environment in the Yellow River Basin. Resour. Sci. 2020, 42, 159–171. [Google Scholar] [CrossRef]
  48. Huang, B.; Wu, B.; Barry, M. Geographically and temporally weighted regression for modeling spatio-temporal variation in house prices. Int. J. Geogr. Inf. Sci. 2010, 24, 383–401. [Google Scholar] [CrossRef]
  49. Zhang, S.; Huang, C.; Li, X.; Song, M. The spatial-temporal evolution and influencing factors of the coupling coordination of new-type urbanization and ecosystem services value in the Yellow River Basin. Ecol. Indic. 2024, 166, 112300. [Google Scholar] [CrossRef]
  50. Huang, Z.; Chen, Y.; Zheng, Z.; Wu, Z. Spatiotemporal coupling analysis between human footprint and ecosystem service value in the highly urbanized Pearl River Delta urban Agglomeration, China. Ecol. Indic. 2023, 148, 110033. [Google Scholar] [CrossRef]
  51. Liu, W.; Zhan, J.; Zhao, F.; Yan, H.; Zhang, F.; Wei, X. Impacts of urbanization-induced land-use changes on ecosystem services: A case study of the Pearl River Delta Metropolitan Region, China. Ecol. Indic. 2019, 98, 228–238. [Google Scholar] [CrossRef]
  52. Chengjing, C.; Yihua, L. Spatiotemporal changes of ecosystem services value by incorporating planning policies: A case of the Pearl River Delta, China. Ecol. Model. 2021, 461, 109777. [Google Scholar]
  53. Feng, P.; Growe, A.; Shen, Y. The Middle-aged and Knowledge Workers: Demographic and Economic Changes in the Pearl River Delta, China. Chin. Geogr. Sci. 2022, 32, 1–17. [Google Scholar] [CrossRef]
  54. Song, M.; Zhu, M.; Wang, H.; Ji, Y.; Li, T. Comparing the farmland preservation goals of the government and the public from insights of ecosystem services trade-offs: Evidence from Hubei, China. Habitat Int. 2024, 145, 103014. [Google Scholar] [CrossRef]
  55. Wang, K.; Liew, S.K.V. The Impact of Vertical Fiscal Imbalances and Local Government Tax Efforts on the Quality of Economic Development—A Study Based on Threshold Regression and Simultaneous Equation Models. Sustainability 2024, 16, 3173. [Google Scholar] [CrossRef]
  56. Zhou, C.; Huang, W.; Liu, Y. Spatio-temporal Evolution and Influencing Factors of City Economic Openness in China. Areal Res. Dev. 2018, 37, 1–8. [Google Scholar]
  57. Zhang, G.; Deng, H. Spatial-temporal Evolution of the Coordination Relationship between Service Industry and Urbanization in the Pearl River Delta Region. Sci. Geogr. Sin. 2018, 38, 1118–1128. [Google Scholar]
  58. Yang, M.; Gao, X.; Siddique, K.H.; Wu, P.; Zhao, X. Spatiotemporal exploration of ecosystem service, urbanization, and their interactive coercing relationship in the Yellow River Basin over the past 40 years. Sci. Total Environ. 2022, 858, 159757. [Google Scholar] [CrossRef] [PubMed]
  59. Yuan, X.; Chen, B.; He, X.; Zhang, G.; Zhou, C. Spatial Differentiation and Influencing Factors of Tertiary Industry in the Pearl River Delta Urban Agglomeration. Land 2024, 13, 172. [Google Scholar] [CrossRef]
  60. Cai, B.; Zhao, W.; Li, Y.; Li, Z. Spatial Pattern and Influencing Factors of Coupling Coordination Degree Between Regional Innovation and Regional Economy in China. Sci. Technol. Manag. Res. 2019, 39, 96–105. [Google Scholar]
  61. Zhang, G.; Deng, M.; Yao, Y.; Li, X. Comprehensive level of the green development of industry in Guangdong province and spatial econometric analysis of the influencing factors. J. Nat. Resour. 2019, 34, 1593–1605. [Google Scholar] [CrossRef]
  62. Huang, H.; Huang, H.; Xiao, Y.; Xiang, X. Industrial structure upgrading, government’s attention to ecological environment and the efficiency of green innovation: Evidence from 115 resource-based cities in China. J. Nat. Resour. 2024, 39, 104–124. [Google Scholar] [CrossRef]
  63. Li, X.; Wang, L.; Zhang, Y. Spatial-temporal Evolution Pattern and Influencing Factors of Development of New Productivity Forces Along the Yangtze River Economic Belt. Resour. Environ. Yangtze Basin 2024, 33, 909–923. [Google Scholar]
  64. Ma, H.; Lu, S.; Zhang, W. Coupling process and mechanism of urbanization and innovation in Beijing-Tianjin-Hebei Urban Agglomeration. Geogr. Res. 2020, 39, 303–318. [Google Scholar]
  65. Liu, Z.; Chang, Y.; Pan, S.; Zhang, P.; Tian, L.; Chen, Z. Unfolding the spatial spillover effect of urbanization on composite ecosystem services: A case study in cities of Yellow River Basin. Ecol. Ind. 2024, 158, 111521. [Google Scholar] [CrossRef]
  66. Liu, W.; Zhan, J.; Zhai, Y.; Zhao, F.; Asiedu Kumi, M.; Wang, C.; Bai, C.; Wang, H. Linking Ecosystem Service Supply and Demand to Evaluate the Ecological Security in the Pearl River Delta Based on the Pressure-State-Response Model. Int. J. Environ. Res. Public Health 2023, 20, 4062. [Google Scholar] [CrossRef] [PubMed]
  67. Liang, G.; Fang, F.; Li, J. Spatial and temporal evolution and drivers of eco-efficiency in the Pearl River Delta urban agglomeration. Chin. J. Ecol. 2023, 42, 1973–1981. [Google Scholar]
  68. Tian, Y.; Zhou, D.; Jiang, G. Conflict or Coordination? Multiscale assessment of the spatio-temporal coupling relationship between urbanization and ecosystem services: The case of the Jingjinji Region, China. Ecol. Indicat. 2020, 117, 106543. [Google Scholar] [CrossRef]
  69. Ye, Y.; Bryan, B.A.; Zhang, J.; Connor, J.; Chen, D.; Qin, Z.; He, M. Changes inland-use and ecosystem services in the Guangzhou-Foshan Metropolitan Area, China from 1990 to 2010: Implications for sustainability under rapid urbanization. Ecol. Ind. 2018, 93, 930–941. [Google Scholar] [CrossRef]
  70. Ye, C.; Dong, Y. Effects of Land Use Change on Ecosystem Service Value of the Pearl River Delta. Trop. Geogr. 2010, 30, 603–608, 621. [Google Scholar]
Disclaimer/Publisher’s Note: The statements, opinions and data contained in all publications are solely those of the individual author(s) and contributor(s) and not of MDPI and/or the editor(s). MDPI and/or the editor(s) disclaim responsibility for any injury to people or property resulting from any ideas, methods, instructions or products referred to in the content.

Article Metrics

Citations

Article Access Statistics

Multiple requests from the same IP address are counted as one view.