Abstract
Ecological security is related to human well-being, is closely linked to a region’s sustainable development, and is an essential cornerstone of any national security system. The Demonstration Zone of Green and Integrated Ecological Development (DZGIED) of the Yangtze River Delta is a critical point in implementing the integrated development strategy of the Yangtze River Delta. This paper used the Pressure–State–Response (PSR) framework to evaluate the regional ecological security (RES) in the DZGIED based on multi-source remote sensing and GIS data. And the analysis was conducted from the overall and administrative division perspective. The results show that (1) from 2000 to 2020, the ecological security of the DZGIED shows a slight decline overall. The RES decreased from 0.60 to 0.53. The RES level is kept above the critical security level and needs further improvement. (2) Significant differences in the RES across townships, with more pronounced changes in extreme values. The ecological security status of more than 80% of the townships shows solid positive spatial correlations. The ecological security of the DZGIED is more critical to the central area. (3) Human disturbance is the most important factor causing the decline in ecological security and the impact of environmental safety on the central area is more enormous. (4) The ecological security state of the DZGIED shows an improving trend, but it is still necessary to promote the construction of various demonstration projects. This paper aims to ensure the sustainable development of the DZGIED in the future and to provide guidance for policy formulation on ecological safety in the DZGIED from the perspective of administrative divisions. It also provides a reference for small-scale regional ecological safety evaluation studies such as townships.
1. Introduction
Ecological security is a cornerstone of any national security system [1]. It refers to the interrelationship of various organisms and natural resources in the ecosystem and the environment’s overall health [2]. Ecological security has become the most fundamental component of sustainable and healthy economic development and people’s well-being and happiness [3]. It is a new field of sustainable development research, and the literature provides a quantitative description of the overall security of ecosystems [4,5]. From the beginning, ecological security has placed human and natural environmental security on an equal footing, seeking to find a balance between the two, which complements and improves the traditional concept of sustainable development [6]. Increasingly rapid urbanization has led to the deterioration of regional ecological environments and resulted in significant environmental issues such as atmospheric pollution and soil degradation [7,8,9]. Furthermore, the decline in local environmental security has severely inhibited the sustainability of social, economic, and environmental development [10,11]. An increasing amount of attention is being paid to regional environmental security, and scientific and academic assessments of regional environmental security can facilitate the reasonable distribution of regional ecological resources and the accurate prediction of trends in ecological security development, as well as guaranteeing the sustainability of regional ecological development [12,13,14].
The broad concept of “Ecological Security” was first put forward in 1989 when the International Institute for Applied Systems Analysis pointed out the need to build an optimized monitoring system for ecological security worldwide [15]. In “Ecological Security and the United Nations System”, published in 1998, experts and scholars from various countries put forward views on the definition of ecological safety, the factors that lead to insecurity, the degree of risk, and the trend of change [16,17,18]. Humanity’s understanding and awareness of ecological and environmental issues have gradually deepened, and the concern has steadily increased [19]. It has slowly progressed from concern for environmental problems to environmental safety to ecological security [20,21]. The concept of sustainable development advocated during the 1980s has also been recognized worldwide and has become part of a common code of conduct for people in the future [22]. With the United Nations’ adoption of the 2030 Agenda for Sustainable Development and its 17 Sustainable Development Goals (SDGs) in 2015 [23], the issue of ecological security has become an essential topic in the international arena. Research by scholars at home and abroad into evaluating ecological safety is characterized by diversity.
With the interconnectedness and complexity of factors in urban ecosystems, the realization of regional ecological safety is deeply influenced by various environmental aspects [24,25]. Numerous studies have shown that human factors impact regional ecological safety more than natural factors [26,27,28]. Currently, the most widely used evaluative instruments regarding ecological security are still founded on the Pressure–State–Response (PSR) framework or similar environmentally relevant multi-dimensional systems. For instance, Yang et al.’s [29] Ecological Vulnerability Index (EVI) was formulated according to a typical PSR conceptual framework. The EVI was then evaluated using a comprehensive index method. Meanwhile, Sadeghi [30] implemented the PSR model to evaluate how healthy the Pishkou watershed (Yazd province, Iran) was and adaptively assigned targeted solutions for resource management. Tang et al. [31] used another watershed, namely, that of Chaohu Lake, as their study target and comprehensively evaluated the ecological safety status of the water prior to and following the introduction of the river management system. Zhao et al. [32] constructed a process analysis model regarding the environmental security of the Liaohe River basin, which considers its importance as part of the environmental macro-regulation of the northeast region. One more study has constructed an ecological and environmental security evaluation system for the Batangilin Desert and its surrounding areas based on the drivers, pressure, state, and impact [33].
However, traditional ecological security monitoring has many limitations. The use of statistical data for evaluation, for example, is easily restricted by time and space, and much data collection and collation work has a certain lag [34,35]. The emergence of remote sensing technology, on the other hand, has pointed ecological security monitoring in a new direction. Multi-temporal remote sensing data can produce a large amount of environmental information on time, improving the efficiency of monitoring work [36,37,38]. This approach enables real-time and dynamic monitoring of the environment and supervision of environmental quality, thus reducing the occurrence of ecological pollution [39,40]. Using remote sensing and GIS tools to conduct ecological security evaluation studies on large spatial scales such as watersheds [41,42,43] and wetlands [44,45,46] is more common. Ecological security-related studies have also been conducted on large urban scales [47,48,49], but only a few have been shown on small scales, such as townships.
Recognizing the crucial importance of carrying out ecological safety research on a smaller scale is essential. In small-scale ecological security assessments, researchers can develop a more nuanced understanding of the regional ecological environment’s characteristics. This enhanced understanding enables the timely detection and warning of potential ecological risks, furnishing decision-makers with a scientific foundation to avert ecological disasters. Simultaneously, this kind of research facilitates the identification of key protection areas within the ecological environment, allowing for the formulation of targeted measures for ecological protection. In turn, it promotes the rational use of regional resources, ecological environmental protection, and the coordinated development of the economy and society. Ultimately, these endeavors propel the sustainable development of the region.
How to achieve a township-scale ecological safety assessment is the key scientific issue of this study. This paper takes the Demonstration Zone of Green and Integrated Ecological Development (“DZGIED” or “Demonstration Zone”) of the Yangtze River Delta (“YRD”) as the study area, which is an early demonstration zone for reform and innovation development. The PSR model was used to evaluate the regional ecological security level within the study area and explore the changes in ecological security using accurate five-phase land use data from 2000 to 2020 and the corresponding remote sensing data. It also explored the differences in ecological security among towns and streets from the perspective of administrative divisions, which was optimized compared with previous studies. This paper aims to provide a reference for small-scale regional ecological safety evaluation studies and give guidance for the policy formulation of ecological safety in the demonstration zone to ensure the future sustainable development of the DZGIED.
2. Study Area
Taking into account the vast geographical area of the YRD and the great differences in economic and social development, the program of constructing the DZGIED has been proposed as a breakthrough in the implementation of the YRD integrated development strategy. Through the designation of demonstration zones, the program hopes to plan innovative development systems and construction projects in centralized spatial areas, to pilot integrated and comprehensive governance models across administrative boundaries, and to explore ways to transform regional ecological advantages into socio-economic development advantages. After successful piloting, the development experience of the demonstration zone will be replicated on a wider scale.
The DZGIED in the Yangtze River Delta is located on the eastern coast of China, spanning Shanghai, Jiangsu province, and Zhejiang province, adjacent to Dianshan Lake. It includes Wujiang District in Suzhou, Qingpu District in Shanghai, and Jiashan County in Jiaxing (Figure 1). The area of the DZGIED is approximately 2300 km2, of which the water area is about 350 km2. Among them, Qingpu District covers 676 km2, Wujiang District covers 1092 km2, and Jiashan County covers 506 km2.
Figure 1.
A general view and the location of the DZGIED. (a): YRD’s river system and DZGIED’s location in YRD; (b): District administrative divisions in DZGIED; (c): Elevation of DZGIED.
The DZGIED is strategically located in the core area of Jiangnan water town, and the geographical position is superior. The ecosystems in the demonstration zone are of diverse types, including wetlands, forests, farmland, etc., which have high ecological services and ecological value. The DZGIED is low-lying, with an average altitude of only about 6 m above sea level. The region is densely covered with a water network and numerous lakes. Also, the demonstration zone is densely populated, and the population is highly urbanized, with an urbanization rate of about 70%. It has formed a pattern of mainly small and medium-sized towns during its historical development and has made many pioneering attempts at joint cross-border action. Still, in the wake of rapid expansion, it has also faced challenges such as damage to the ecological environment, tightening land restrictions, etc.
Therefore, as a benchmark of integrated development, carrying out the ecological security research in the demonstration zone is helpful to improve the overall ecological security level of the Yangtze River Delta region and provide a reference for the coordinated protection of ecological security in other parts of the country.
3. Materials and Methods
3.1. Data Sources
The land use dataset (30 m × 30 m) from 2000–2020 was provided by the Data Center for Resources and Environmental Sciences, Chinese Academy of Sciences (RESDC) [50] (http://www.resdc.cn (accessed on 10 March 2022)). The DMPS/OLS and NPP/VIIRS nighttime light data (1 km × 1 km) were acquired from the National Geophysical Data Center (https://ngdc.noaa.gov/ (accessed on 6 April 2022)), which were de-noised to generate stable nighttime light data dispersed in each area. They were used to calculate the township development intensity. The United States Geological Survey (USGS) remote sensing image platform was used to obtain Landsat information with 30 m spatial resolution (https://earthexplorer.usgs.gov/ (accessed on 10 March 2022)), which was used to calculate LST and NDVI metrics. Dr. Wei Jing and Professor Li Zhanqing [51,52] developed ChinaHighPM2.5 (1 km × 1 km), one of several full-coverage, high-quality, and high-resolution long-term ground-level air pollutant datasets produced in the Chinese context; it is measured in μg/m3. Additionally, the Digital Elevation Model data applied were NASADEM_HGT V001 (https://lpdaac.usgs.gov/products/nasadem_hgtv001/ (accessed on 26 May 2022)) from NASA, which have a spatial resolution of 30 m and a coverage of 60N-56S, they were used to compute topographic difference, and the Revised Universal Soil Loss Equation (RUSLE) was used to assess soil erosion. The uniform data resolution for each indicator was 200 m, and the spatial resolution of the results (RES, pressure, state, and response) was 200 m.
3.2. Regional Ecological Security Assessment Model
Based on the PSR framework established by the Organization for Economic Cooperation and Development [53,54] and combined with the current status of domestic and international research on ecological security, considering that the study area is small scale and many township-scale data are challenging to obtain. So this paper selected nine evaluation indicators from pressure, stress, and response levels. Finally, a small-scale regional ecological security assessment model applicable to the study area was established, as shown in Table 1.
Table 1.
Regional ecological security assessment model.
- (1)
- Township Development Intensity [55]. It refers to the expansion of human activities in the township. The general economy of the DZGIED has been growing, but excessive development and construction will cause damage to the environment.where refers to the township development intensity of the DZGIED; is the build-up area of the grid; is the total area of the grid; is the population concentration coefficient; is the average brightness of nighttime light; is the minimum brightness; and is the maximum brightness.
- (2)
- Township Development Speed [55,56]. If the economic development speed of the DZGIED grows too fast, it could damage the ecology.where refers to the development speed of the DZGIED; is the build-up area in year ; is the build-up area in year .
- (3)
- Soil Erosion [57,58]. Soil erosion destroys land resources and causes land degradation, loss of soil fertility, siltation, and other problems. It can have a negative ecological impact. The RUSLE model was used to calculate the soil erosion degree.where is the mean annual soil loss; is the rainfall erosivity; is the soil erodibility; is the topography; is the vegetation cover; is the factor of conservation practice.
- (4)
- Air Pollution Concentration [51,52]. Excessive concentration of PM2.5 will lead to the deterioration of air quality, which will cause pollution and damage to the ecosystem, and affect the health and stability of the ecosystem.
- (5)
- Topographic Difference [59]. Variations in slope are caused by topography. Significant differences in altitude affect other natural factors such as precipitation, temperature, and so on, affecting human socio-economic and social activities.where refers to the topographic difference index for the DZGIED; is the gradient variance; is the average gradient. It was calculated with DEM data.
- (6)
- Land Surface Temperature [60]. The Land Surface Temperature (LST) is fundamental in studying the surface thermal environment and the urban heat island effect. This paper solves the surface temperature in accordance with Statistical Mono-Window (SMW). Too high or too low land surface temperature will cause adverse effects on the ecology and destroy the ecological balance.where is the TOA brightness temperature in the TIR channel and is the surface emissivity for the same channel. , , and are algorithm coefficients. The LST indicator was calculated by using Google Earth Engine based on the study of Ermida et al. [60].
- (7)
- Landscape Fragmentation degree [61]. Landscape fragmentation is one of the most dominant aspects of the structure of ecosystems. A landscape with high fragmentation degree is vulnerable to interference by human activities and natural disasters, and its anti-interference ability is weak.where is the degree of landscape fragmentation, Number “6” represents that there are six types of land use, is the number of land patches, and is the total area of the grid.
- (8)
- Ecological Vitality. Ecological vitality is the completeness and health of the ecosystem, supporting the prosperity and development capacity of the ecosystem. The growth quality of vegetation is a sign of ecosystem vitality [62]. The maximum annual NDVI was used to express ecological vitality.where is the ecosystem vitality of the grid, is the largest NDVI.
- (9)
- Ecological Resilience [63]. Ecological resilience represents the ability of the ecosystem to keep and regulate itself while withstanding a series of external pressures and disturbances. It can mitigate the impact of external ecological pressure on regional ecological security to some extent.where is the grid system’s ecosystem resilience, is the resilient weight of the land use , is the area of the land use type , and is the grid system’s area. The ecosystem resilient weight of each land use type in the study was Forest 1; Grass Land 0.8; Cultivated Land 0.6; Artificial Surfaces 0.2; Water Body 1; Bareland 0.4.
3.3. Comprehensive RES Index
3.3.1. Data Standardization
The normalization of the indicators selected the maximum difference normalization method, which results in the raw data matrix of the DZGIED with m indicators for n years.
For positive indicators:
For negative indicators:
where represents the standardized value of each index ( = 1, 2, 3, …, n; = 1, 2, 3, …, m); represents the value of the indicator in year; , are the maximum and minimum values of the indicator , respectively.
3.3.2. Assignment of Index Weights
Indicator weights are assigned different weight values according to the importance of each indicator, and their scientific determination is of great significance to the comprehensive evaluation results. Commonly used methods for determining indicator weights include hierarchical analysis, entropy weighting method, principal component analysis, etc. The entropy weighting method can effectively solve the problem of decision accuracy and reliability [64,65]. The entropy value is the decisive factor in reflecting the decision’s accuracy and reliability, which can objectively determine the importance of each indicator and give it the corresponding weight [66]. Therefore, this paper adopted the objective entropy weighting method to obtain the weights of each regional ecological security index factor. It can avoid the subjectivity and inaccuracy of assignments.
According to the theory of the entropy weighting method, firstly, calculate the entropy of m evaluation objects and n evaluation indicators. Define as the weight of the th evaluated indicator under the th indicator and is the indicator entropy value. Utilizing the formula:
When = 0, = 0; after the entropy value of the index is determined, the entropy weight of the th index can be determined according to the following calculation formula:
After a series of calculations, the index weights were obtained, see Figure 2. In the pressure layer, the air pollution concentration was most weighted in 2000, and the topographic difference was negligible. But by 2020, the weight of township development intensity is the highest because the DZGIED is in the plain, and the impact of the topographic difference on ecological security is almost zero. In the state layer, in 2000, the effect of ecological vitality is most significant, and the land surface temperature is less weighted. While in 2020, the weighting values of the land surface temperature and landscape fragmentation remarkably increased. In the response layer, compared to 2000, in 2020, the value of the ecological resilience weighting has decreased slightly, but the degree of influence has always been more significant. It can be deduced that township development intensity, air pollution concentration, and ecological resilience are the key indicators affecting the level of ecological security in the DZGIED.
Figure 2.
Weight values of each indicator.
3.3.3. Comprehensive Index of Regional Ecological Security
Through the above calculation process and steps, standardize each evaluation index and calculate index weights, then utilize Equation (15) to obtain the comprehensive value of regional ecological security.
where is the comprehensive regional ecological security value of the DZGIED; is the weight value of each indicator; is the standardized value of each indicator; i = 1, 2, 3, …, n; j = 1, 2, 3, …, m.
3.4. Assessment Level
This paper combines the characteristics of the ecological environment of the DZGIED with the degree of regional ecological security. It determines the criteria for dividing the ecological safety evaluation of the DZGIED by referring to other relevant works and materials. The regional ecological security assessment of the DZGIED is classified into five levels according to its comprehensive security value. The RES index is between 0 and 1. If the RES value is higher, it indicates an elevated level of ecological security. Conversely, if the RES value is lower, the security level of the area is dispirited. See Table 2 for details.
Table 2.
Regional ecological security assessment standards and levels.
3.5. Spatial Autocorrelation Analysis
Spatial autocorrelation refers to the correlation between different locations in spatial data. In this study, global autocorrelation and local spatial autocorrelation were applied to explore the spatial distribution pattern and the degree of spatial aggregation of regional ecological security by using Geoda 1.16 software.
where is the global Moran index; is the RES value of region i; n represents the total number of samples; Wij represents the spatial weight, which is created based on the QUEEN adjacency matrix; is the mean value of x.
where is the local Moran index, the spatial correlation patterns of local autocorrelation include five types of high–high aggregation; high–low aggregation; low–high aggregation; low–low aggregation; and not significant.
3.6. Slope Trend Analysis
Slope trend analysis is a common trend analysis method, and it can be used to study a set of data trend directions and trend degrees.
where n is the total number of years, equal to 5; denotes the th year; is the RES value corresponding to the th year. The magnitude of the SLOPE can reflect the rate of change in the RES index rising or falling. The grading criteria were determined using the natural breakpoint method of ArcGIS.
4. Results and Analysis
4.1. Regional Ecological Security for the DZGIED
The constructed regional ecological security assessment model was used to obtain the overall RES value for the study area. Figure 3 shows the spatial and temporal variation in the regional ecological security index for the DZGIED from 2000 to 2020. The average RES value of the DGZIED during the study period was 0.58, which is at a moderately secure level. From 2000 to 2005, the overall RES value increased slightly and then decreased year by year until 2020. The RES value decreased from 0.60 to 0.53. Most areas within the DZGIED have a high level of ecological security, with relatively few places having a low level. The low RES level zones are mainly in Huaxin, Chongyuan, Tongli, and Shengze. These areas are mainly within the Wujiang electrooptical communication zone, the Jiashan Specialization Cluster, and the Qingpu Industrial Zone. They have a relatively high level of economic development, and the rapid expansion of industry and commerce may impact the ecological environment. The areas with the highest RES levels are found in the Taihu Lake and Dianshan Lake basins, which is due to the superior natural resources of Jiangnan. Areas with higher RES values are also scattered around Qidu Town, Baihe Town, and Zhujiajiao Town. Zhujiajiao is an ancient town famous for its 1700-year history. It has often been likened to a lustrous pearl on the shores of Dianshan Lake.
Figure 3.
Spatial and temporal variation in the RES levels for the DZGIED from 2000 to 2020.
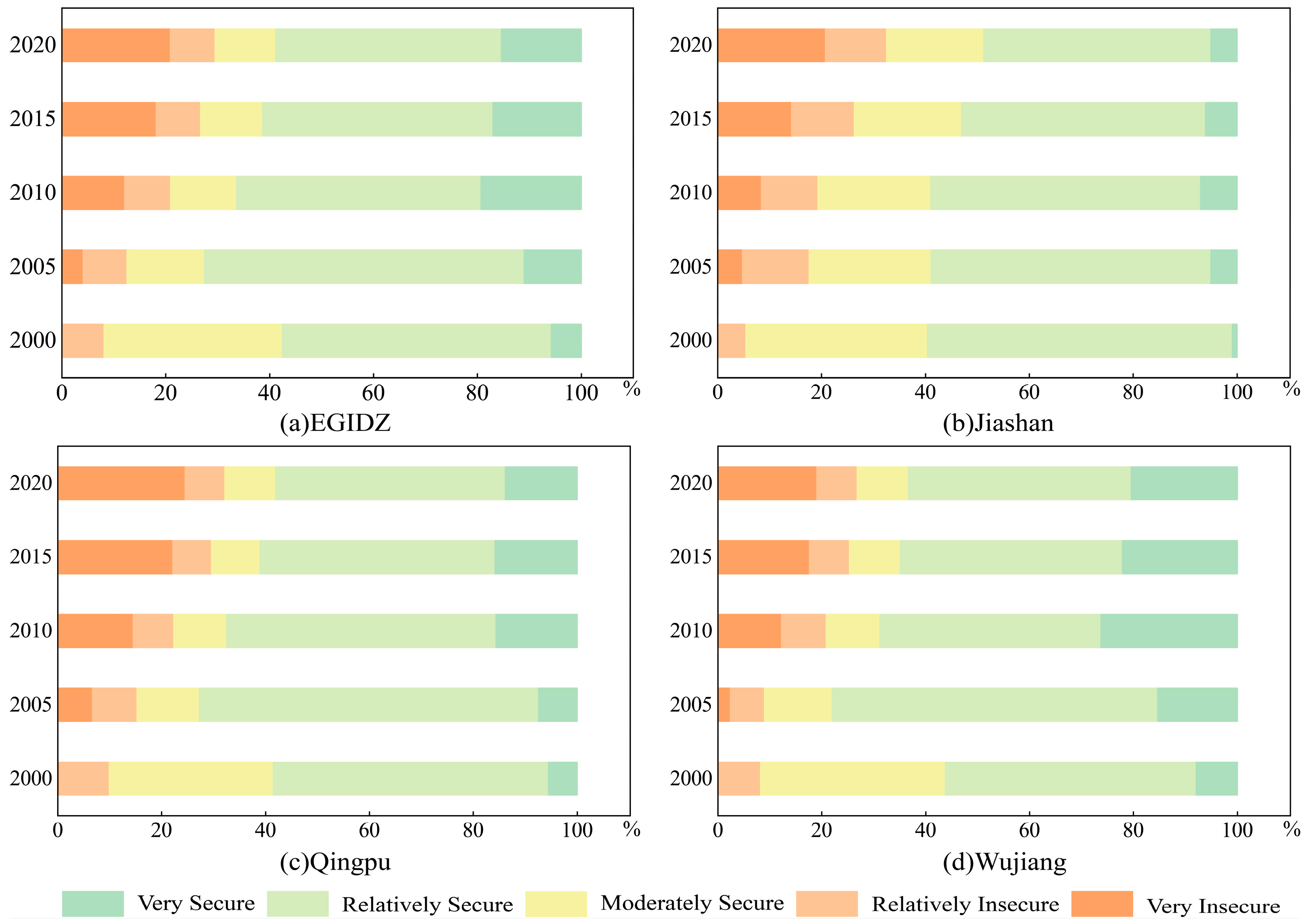
The total area of the different security levels in the DZGIED, Jiashan County, Qingpu District, and Wujiang District was calculated, see Figure 4. The proportion of zones at the unsafe level increases year by year, the ratio of areas at the less safe level more or less remains the same, the balance of zones at the critical safe level decreases year by year, the proportion of regions at the safer level increases and then falls year by year, and the ratio of areas at the safe level also decreases year by year from 2010 onward. In 2005, the proportion of areas in a good state increased by 10% compared to 2000, and the overall ecological safety level was also the highest in 2005. By 2020, the proportion of areas below the second level increased to 29.48%, but the proportion of areas at a good ecological safety level still had the highest percentage. From 2000 to 2020, the proportion of areas in a good state (the fourth level) of ecological safety was higher than in any other state, and the proportion of areas in a safe state was increasing, indicating that the overall ecological safety within the demonstration area is in a good state.
Figure 4.
Area proportion change in different security levels.
At the district level, the temporal change in the RES levels with administrative districts is generally consistent with the change in the DZGIED. The proportion of areas with the lowest and highest ecological safety levels both show an increasing trend year by year, indicating differences in the environmental safety effects of the townships within the study area. Among them, Jiashan County has the smallest area at the safe level, and its sustainable development capacity could be weakened. Wujiang District has the highest proportion of areas in a healthy state, and its overall ecological safety level is high.
4.2. Analysis of RES at Township Scale
4.2.1. Spatiotemporal Change in RES in Each Township
The average value of the RES for each township in the DZGIED was noted and expressed in levels (see Figure 5), and the maximum and minimum values of the RES for each township were counted separately (see Figure 6). It can be seen that the mean RES decreases from 0.601 in 2000 to 0.533 in 2020, and the security level decreases from the fourth level to the third level, with little overall change, but the ecological security status of each administrative region varies significantly spatially, and the RES of each township shows fluctuating changes over two decades. In 2000, most towns were at the fourth level of ecological security. In 2020, the ecological security level in the middle towns turned to the third level, and the levels of some towns in the northeast significantly decreased. Spatially, the ecological security shows a general trend of a slight decline from the northeast and southeast to the center.
Figure 5.
RES of each township at the DZGIED.
Figure 6.
RES of each township (column chart: mean of RES; line chart: maximum and minimum of RES. (QY: Qianyao; JZ: Jinze; YP: Yingpu; CG: Chonggu; WT: Weitang; TN: Tianning; SZ: Shengze; ZZ: Zhenze; TZ: Taozhuang; XT: Xitang; YZ: Yaozhuang; QD: Qidu; PW: Pingwang; LT: Liantang; LL: Lili; ZJJ: Zhujiajiao; XY: Xiayang; XJ: Xujing; TL: Tongli; SL: Songling; XHQ: Xianghuaqiao; HX: Huaxin; BH: Baihe; ZX: Zhaoxiang; DY: Dayun; LX: Luoxing; TY: Taoyuan; HM: Huimin).
In terms of individual administrative divisions, the ecological security of Jinze Town is always at the highest level from 2000–2020, with its average RES close to 0.70, and the Jinze reservoir in the upper reaches of the Huangpu River is located here, which makes a certain contribution to the integrated ecological management of the Yangtze River Delta. In 2000, the extreme RES of Songling Town was the largest, and the extreme RES of Xujing Town was the smallest. In 2005, the extreme RES of Jinze Town was the highest, and Baihe Town had the lowest RES. In 2010, the largest extreme RES turned to Xitang Town and that of Xianghuaqiao street was the smallest. In 2015, the extreme RES of Qidu Town was the highest and that of Lili Town was the lowest. In 2020, the extreme RES of Jinze Town was the largest and that of Qidu Town was the smallest. High values of RES appeared in towns such as Taozhuang Town, Qidu Town, Zhujiajiao Town, and Songling Town, but from 2000 to 2020, their RES still showed a decline. The RES of Weitang street, Yingpu street, and Xianghuaqiao street all show a decreasing trend year by year, and the decline is large. In addition, the mean RES of Xujing Town and Huaxin Town decreased from 0.50 and 0.52 in 2000 to 0.26 and 0.25 in 2020, respectively, with the greatest decline. Both towns are in Qingpu District, and Xujing Town is one of the new suburban towns that started the earliest development of Shanghai and is the leading township in the economic and social development of Qingpu District. It has a high level of economic development, but the level of ecological safety is at the bottom of the list.
The spatial differences in the RES extremes are obvious. The RES of streets is generally lower than that of townships because they are similar to cities and have a higher level of urbanization, which causes more damage to ecology by human factors.
4.2.2. Spatial Autocorrelation Analysis of 28 Township Streets
The global spatial autocorrelation (global Moran’s I) and the local indicators of spatial autocorrelation (LISA) [67] were analyzed for the ecological safety value of each township in the study area. The results show that the ecological security of the DZGIED exhibited strong spatial autocorrelation.
Firstly, the global Moran’s I index was calculated. Global spatial autocorrelation was performed for each year. The 2000 global Moran’s I was 0.398, the 2005 global Moran’s I was 0.551, the 2010 global Moran’s I was 0.462, the 2015 global Moran’s I was 0.495, and the 2020 global Moran’s I was 0.471. The values of the Moran index in these five years are all in the [0, 1] range, indicating a positive spatial correlation in the ecological security in the demonstration zone in the past 20 years, and the spatial autocorrelation is strong. In particular, in 2005, 23 townships showed a positive spatial autocorrelation, accounting for 82.14% of the entire study area. One of the townships with a positive correlation was fewer in 2020 than in 2005. The results showed that the cities with positive spatial correlations decreased in number slightly but remained essentially unchanged.
All the calculations passed the significance test, with a z-value > 1.96 and a p-value < 0.05, indicating significant clustering. After the local Moran index was calculated (Figure 7), it can be seen from the significant cluster plot of LISA that the high–high aggregation and low–low aggregation are mainly distributed in Songling Town, Lili Town, Jinze Town, Zhaoxiang Town, and a few other towns. The results show that the ecological security of the DZGIED is more critical to the central area, and the impact of environmental safety on the central area is more significant. The central area includes Songling Town, Qidu Town, Pingwang Town, Lili Town, Jinze Town, and Liantang Town, distributed around Taihu Lake and Dianshan Lake basins, with large-scale water production and rich water resources, which have a significant impact on the ecology of the demonstration zone.
Figure 7.
LISA cluster map of regional ecological safety in 28 townships.
4.3. Influence of Different Subsystems on RES
The average value of the RES under different subsystems was calculated separately (Table 3). The environmental pressure in the DZGIED first showed a rising trend and then a decreasing trend (Figure 8). The ecological state showed a trend of declining first and then rising before decreasing again. The value of the ecological response in the DZGIED decreased continuously.
Table 3.
Comprehensive evaluation level of RES.
Figure 8.
Trend of each subsystem index from 2000 to 2020.
See Figure 9 for details. In 2005, the pressure on the ecosystem first increased and then showed a trend of continuous decline, which is consistent with the time change trend of the overall ecological security. According to this index, the overall pressure on the ecosystem in the DZGIED is increasing. From the perspective of the security level of the demonstration zone, only Qidu Town, Songling Town, and Zhujiajiao Town maintain the safety level, showing a relatively stable state. The safety level of Qingpu District’s clusters of towns in the Wujiang Development Zone is declining yearly. According to the index of the pressure layer, township development intensity and air pollution concentration have a more significant negative impact on ecological security pressure. Compared with that in 2000, the development intensity’s effect on the demonstration zone’s environmental security pressure was significantly more significant in 2020. The development intensity and pollution of the industrial park are more severe than in other regions, which will cause more pressure on the ecological security in the demonstration zone.
Figure 9.
Spatial and temporal variation in RES in different subsystems. (a–e): pressure level; (f–j): state level; (k–o): response level.
The value of the ecological state in the DZGIED also showed a clear downward trend, but there was a certain fluctuation. From 2000 to 2005, it declined. From 2005 to 2010, it rose a little. And from 2010 to 2020, it showed a clear downward trend. Overall, however, from 2000 to 2020, the value of the ecological status remained in decline. The results indicate that the ecological security of the demonstration zone was greatly affected by external factors. The main reason for the fluctuations is the impact of urban expansion and environmental governance measures. After 2010, the construction land within the demonstration area increased, and the area of cultivated land and forest land decreased. The development intensity increased significantly at this stage, and there was no good environmental remediation and ecological protection. In addition, township reconstruction has been carried out in the demonstration area. New industrial parks, such as Jiashan High-tech Industrial Park, Wujiang Development Zone, and Qingpu Industrial Park, have been built.
In 2000, the impact of ecological vitality on the environmental security state layer was more significant than in 2020, when the weight value of landscape fragmentation and land surface temperature increased significantly. According to the remote sensing images and land use data, the woodland area was significantly reduced. The landscape fragmentation of the forest area increased, and the land surface temperature increased yearly. Both indicators are negative. The security index of the ecosystem state layer became smaller. The regional state safety index of Taihu Lake, Dianshan Lake, and other water bodies flowing through the demonstration area also showed a downward trend. The reason is that the NDVI value of the water body is negative, so the safety index in the water body is abnormal. Regarding the security level of each town, there was a decrease in the areas with a secure status and insecure statuses. By 2020, most of the regions had the status of relatively secure.
The value of the ecosystem response in the demonstration zone decreased. This decrease shows that the ecological security in the DZGIED is greatly affected by the pressure and state of the environmental safety of the system, and it is more challenging to implement the ecological security response of the system effectively. The DZGIED still needs to increase the response to the ecological environment policy in the future. From the perspective of the safety level of each district, the response status of the economic development zones and high-tech parks in the demonstration zone is lower than in other townships of the study area. Although the Yangtze River Delta region has always emphasized the construction of ecological civilization, governments at all levels have also realized the importance of environmental problems and have taken various measures to promote ecological security. However, because the towns in the study area are at a relatively low economic level in the Yangtze River Delta region, the pressure of ecological security is relatively large, the industrial energy level (the influence of industry on economic development in an area within a certain period) and the industry value segments of the demonstration zone are generally not high, and the economic development mode is relatively traditional, which also restricts the effect and quality of the ecological security response of the system.
4.4. Trend Analysis for RES
For the purposes of evaluating trends in ecological security within the research area over the study period, which covered the years 2000–2020, it was decided to adopt the slope trend analysis [68] (see Figure 10). Thus, five trends were identified, namely, substantial increase, slight increase, generally unchanged, slight decrease, and substantial decrease. These trends aligned with the natural points of discontinuity method associated with the geographic information system software known as ArcGIS 10.8. Subsequently, it was possible to gauge the proportion of the area linked to each trend in respect of Jiashan County, Qingpu District, and Wujiang District. Hence, for the 2000 to 2020 research period, it was determined that no significant change in trends was evident for 17.09% of the demonstration zone. The concentration of these areas in the DZGIED is markedly uniform, whilst 7.34% of the DZGIED areas revealed substantial improvements, and 56.35% of areas within the demonstration zone revealed evidence of marginal improvements.
Figure 10.
(a) Emerging trends in RES values within the demonstration zone. (b) The proportion of the region in respect of each trend in Jiashan County, Qingpu District, and Wujiang District. (c) The proportion of the area linked to each trend within the demonstration zone.
Those areas that exhibited significant trends towards more marked improvement trends tended to be located in the west, southwest, and southeast parts of the DZGIED. Moreover, the areas with only marginal improvements were dispersed throughout the entirety of the demonstration region. In addition, areas with substantial downward trends represented 9.11% of the whole demonstration zone, whereas there were slight downward trends in 10.11% of the overall demonstration zone. By superimposing the land use map over the trend chart, it is possible to discern that these areas are primarily located in the developed zone. In total, 9.88% of Qingpu District exhibited a significant increasing trend, which exceeded the trends displayed in the remaining two regions. This stands in contrast to the marginal increase demonstrated in 52.74% of the region, which was the least significant proportion out of all three demonstration areas. Furthermore, in Jiashan County, 22.01% of regions remained typically unchanged, while about 17% displayed decreasing trends, which exceeded other regions.
5. Discussion
In the literature on ecological security assessment, there are few studies on ecological security in small areas. To build on the existing research, this paper examines the situation of the DZGIED in the Yangtze River Delta and selects the indicators for a comprehensive evaluation to ensure the scientific credibility of the research. The research results are also analyzed and discussed from the perspective of administrative divisions, which can reflect the regional ecological security situation and differences more comprehensively. And it can be optimized unlike previous studies that only focus on the region as a whole.
5.1. Dynamic Change Law of Ecological Security
The ecological environment is a very complex integrated whole, and its dynamic change shows a complicated and diversified trend. In the exploration of the DZGIED, the following text discussed the dynamic change trend of ecological security from the environment, policy, population, and other aspects based on the relevant information and policy information.
Firstly, environmental factors play a key role in determining the dynamics of ecological security [69]. During the study period, environmental issues such as air quality, water quality status, and soil pollution in the demonstration zone have attracted much attention. The degradation of waterfront ecological wetland, the total amount of pollutants discharged, and other problems have caused a certain negative impact on the regional ecological security, showing a general trend of deterioration. Secondly, the government departments have intensified environmental protection policies and issued a series of plans, such as “Joint protection planning of ecological environment in Yangtze River Delta”, etc., to regulate the behavior of enterprises and individuals and strengthen ecological protection. At the same time, in order to promote regional ecological protection and green development, the government has established an ecological compensation mechanism. Thirdly, with the acceleration of economic development and urbanization in the demonstration zone, the population migration shows the characteristics of flowing from less developed areas to developed areas, leading to the change in the population structure and the improvement in the urbanization rate. Meanwhile, restricted by the ecological environment, resources, and other factors, the population capacity of the DZGIED may show fluctuations [70]. Fourthly, in the past 20 years, the industrial structure of the demonstration zone has changed a lot. Traditional industries have been gradually transformed and upgraded, and emerging industries such as green technology and eco-tourism have developed rapidly, promoting green economic growth. Regional cooperation has been strengthened, and all localities have jointly promoted ecological and environmental protection and resource sharing to achieve coordinated development.
In general, from 2000 to 2020, the dynamic change law of ecological security in the DZGIED is as follows: environmental quality still needs to be improved, policies and systems are constantly enhanced, the population structure changes, the industrial structure is optimized, and regional cooperation is strengthened. In the future, the demonstration zone will continue to adhere to the concept of integrated ecological and green development, promote the construction of ecological civilization, and ensure ecological security.
5.2. Recommendations for Future Enhancement of Ecological Security
This study shows that the overall ecological security situation of the demonstration zone is dominated by the critical security state, which needs to be improved. It is still necessary to promote the construction of various demonstration projects ahead, including projects concerning ecological environmental protection, industrial innovation, and the quality of human settlements, thus guaranteeing the orderly implementation of high-quality integrated construction in the demonstration zone in the future. It is also suggested that the DZGIED should strengthen the natural regulation capacity of the ecological environment, optimize the land use structure, formulate scientific and reasonable ecological planning, clarify the ecological red line, ecological corridor, etc., so as to fundamentally reduce the regional ecological environment pressure and improve the environmental security level. For towns with a higher security level, they should continue to strengthen ecological awareness and maintain a high level of ecological security; for towns with larger decreases in RES, they should pay more attention to ecological civilization construction, and the development of green and low-carbon industries should be encouraged. In addition, the ecological monitoring network system should be established to conduct real-time monitoring of key regions and key ecological elements, which can improve the ecological risk early warning ability, and strive to balance the relationship between economic development and ecological security, thus ensuring the steady improvement in the regional ecological security level to realize regional sustainable development.
6. Conclusions
This paper constructed a regional ecological security assessment model for the DZGIED using the PSR framework and evaluated the ecological security situation of the demonstration zone from 2000 to 2020. The ecological security status of the study area was also analyzed at a small scale of townships. Moreover, the influencing factors of ecological security in the demonstration zone were analyzed from the perspective of the ecological security subsystem. In turn, a trend analysis of the ecological safety status of the demonstration zone was conducted. The main results are as follows:
- (1)
- From 2000 to 2020, the regional ecological security of the DZGIED first shows a trend of rising and then a slight decline overall. The RES decreased from 0.60 to 0.53. The ecological security level is kept above the critical security level. The areas with the highest RES levels are found in the regions that have the superior natural resources of Jiangnan. The lower RES level zones are mainly within the Wujiang electrooptical communication zone, the Jiashan Specialization Cluster, and the Qingpu Industrial Zone. They have a relatively high level of economic development, and the rapid expansion of industry and commerce may impact the ecological environment.
- (2)
- The spatial differences in the ecological safety status among administrative districts are significant, and the RES of townships shows fluctuating changes. The spatial differences in the RES extremes are obvious. The streets are more urbanized, and the RES values are generally lower than those of townships. The ecological security situation of each township in the DZGIED presents a strong spatial autocorrelation. More than 80% of townships in the study area have positive spatial correlations. The cities with positive spatial correlations decreased in number slightly but remained essentially unchanged. The regional ecological security is more critical to the central area and the impact of environmental safety on the central area is more significant.
- (3)
- Different subsystems of the regional ecosystem have other effects on ecological security. Among them, the ecological pressure subsystem is the most critical driver of the decline in environmental safety. The ecological state and response subsystems exacerbate the downward trend in ecological safety. Human disturbance is the crucial issue causing a deterioration in environmental security. Excessive land development is the direct driver of the ecological security decline in the demonstration zone. Ecological issues such as air pollution and urban heat islands also negatively impact the DZGIED’ s ecological security.
- (4)
- The ecological security of the DZGIED generally shows an improving trend. Regions associated with significant increasing trends were identified around the DZGIED, specifically in the west, southwest, and southeast. Nonetheless, the increasing rate with which urbanization is occurring has still adversely affected specific regions.
There are still some imperfections in this paper. In the selection of regional ecological security assessment indicators, although the selection principles of many indicators are mentioned and the results are also in line with expectations, there is still much space for improvement in the option of indicators, and more natural, economic, and other aspects of the elements will be considered in the future, so that the ecological security assessment of the demonstration zone will be more comprehensive. In addition, the analysis of the influencing factors of RES is relatively simple and not inclusive enough. It selected only the factors in the assessment model and explored the magnitude of each factor’s influence on the RES level in the study area. Follow-up studies will consider adding multi-dimensional factors to enrich the ecological security driving force research of the demonstration zone. Moreover, it is expected to predict the future ecological security level in the study area; thus, the study will be more diverse.
Author Contributions
Conceptualization, E.R., W.L., B.L., Y.J. and Y.Z.; Methodology, E.R. and W.L.; Software, E.R., W.L. and B.L.; Validation, E.R., B.L., Y.Z. and Y.Y.; Formal analysis, E.R., B.L., Y.J., Y.Z. and Y.Y.; Investigation, E.R.; Resources, W.L.; Data curation, E.R.; Writing—original draft, E.R.; Writing—review & editing, E.R., W.L., B.L. and Y.J.; Visualization, E.R., B.L. and Y.J.; Supervision, W.L.; Project administration, W.L.; Funding acquisition, W.L. All authors have read and agreed to the published version of the manuscript.
Funding
This work has been supported by the Shanghai Natural Science Foundation (23ZR1446700).
Data Availability Statement
The data presented in this study are available in article.
Conflicts of Interest
The authors declare no conflict of interest.
References
- Ying, L.X.; Kong, L.Q.; Xiao, Y.; Ouyang, Z.Y. The research progress and prospect of ecological security and its assessing approaches. Acta Ecol. Sin. 2022, 42, 1679–1692. [Google Scholar] [CrossRef]
- Deng, H.D.; Ye, L.F.; Liu, L.X. Review of urban ecological security research. J. Environ. Eng. Technol. 2022, 12, 248–259. [Google Scholar] [CrossRef]
- Wang, L.; Pang, Y.S. A Review of Regional Ecological Security Evaluation. Appl. Mech. Mater. 2012, 178–181, 337–344. [Google Scholar] [CrossRef]
- Huang, J.; Yu, H.; Han, D.; Zhang, G.; Wei, Y.; Huang, J.; An, L.; Liu, X.; Ren, Y. Declines in global ecological security under climate change. Ecol. Indic. 2020, 117, 106651. [Google Scholar] [CrossRef]
- Tian, S.; Zhang, Y.; Xu, Y.; Wang, Q.; Yuan, X.; Ma, Q.; Chen, L.; Ma, H.; Xu, Y.; Yang, S.; et al. Urban ecological security assessment and path regulation for ecological protection—A case study of Shenzhen, China. Ecol. Indic. 2022, 145, 109717. [Google Scholar] [CrossRef]
- R Edward Grumbine. Assessing environmental security in China. Front. Ecol. Environ. 2014, 12, 403–411. [Google Scholar] [CrossRef] [PubMed]
- Alberti, M.; Marzluff, J.M. Ecological resilience in urban ecosystems: Linking urban patterns to human and ecological functions. Urban Ecosyst. 2004, 7, 241–265. [Google Scholar] [CrossRef]
- Zou, C.; Zhu, J.; Lou, K.; Yang, L. Coupling coordination and spatiotemporal heterogeneity between urbanization and ecological environment in Shaanxi Province, China. Ecol. Indic. 2022, 141, 109152. [Google Scholar] [CrossRef]
- Shi, Z.; Wang, Y.; Zhao, Q. Analysis of Spatiotemporal Changes of Ecological Environment Quality and Its Coupling Coordination with Urbanization in the Yangtze River Delta Urban Agglomeration, China. Int. J. Environ. Res. Public Health 2023, 20, 1627. [Google Scholar] [CrossRef]
- Li, W.; Yi, P.; Zhang, D.; Zhou, Y. Assessment of coordinated development between social economy and ecological environment: Case study of resource-based cities in Northeastern China. Sustain. Cities Soc. 2020, 59, 102208. [Google Scholar] [CrossRef]
- Chen, Q.; Zhu, M.; Zhang, C.; Zhou, Q. The driving effect of spatial-temporal difference of water resources carrying capacity in the Yellow River Basin. J. Clean. Prod. 2023, 388, 135709. [Google Scholar] [CrossRef]
- Jin, W.; Cui, Y.; Wu, S.; Cheng, D. Ecological risk resonance of urbanization and its effect on geohazard disaster: The case of Freetown, Sierra Leone. Urban Ecosyst. 2020, 23, 1141–1152. [Google Scholar] [CrossRef]
- Sun, X. Green city and regional environmental economic evaluation based on entropy method and GIS. Environ. Technol. Innov. 2021, 23, 101667. [Google Scholar] [CrossRef]
- Zhang, M.; Bao, Y.; Xu, J.; Han, A.; Liu, X.; Zhang, J.; Tong, Z. Ecological security evaluation and ecological regulation approach of East-Liao River basin based on ecological function area. Ecol. Indic. 2021, 132, 108255. [Google Scholar] [CrossRef]
- Fang, C.L.; Zhang, X.L. The progress of ecological reconstruction and economic sustainable development in arid region. Acta Ecol. Sin. 2001, 21, 1163–1170. [Google Scholar] [CrossRef]
- Pirages, D. Ecological Security: Micro-Threats to Human Well-Being. In People and Their Planet: Searching for Balance; Baudot, B.S., Moomaw, W.R., Eds.; Palgrave Macmillan: London, UK, 1999; pp. 284–298. ISBN 978-1-349-27184-9. [Google Scholar]
- People and their Planet: Searching for Balance; Baudot, B.S., Moomaw, W.R., Eds.; Palgrave Macmillan: London, UK, 1999; ISBN 978-1-349-27184-9. [Google Scholar]
- Zou, C.X.; Shen, W.S. Advances in ecological security. J. Ecol. Rural. Environ. 2003, 19, 56–59. [Google Scholar] [CrossRef]
- Villanueva, X.; Villarroel, J.D.; Antón, A. Environmental Awareness and Its Relationship with the Concept of the Living Being: A Longitudinal Study. Sustainability 2018, 10, 2358. [Google Scholar] [CrossRef]
- Liu, C.; Li, W.; Xu, J.; Zhou, H.; Li, C.; Wang, W. Global trends and characteristics of ecological security research in the early 21st century: A literature review and bibliometric analysis. Ecol. Indic. 2022, 137, 108734. [Google Scholar] [CrossRef]
- Calculli, C.; D’Uggento, A.M.; Labarile, A.; Ribecco, N. Evaluating people’s awareness about climate changes and environmental issues: A case study. J. Clean. Prod. 2021, 324, 129244. [Google Scholar] [CrossRef]
- Janoušková, S.; Hák, T.; Nečas, V.; Moldan, B. Sustainable Development—A Poorly Communicated Concept by Mass Media. Another Challenge for SDGs? Sustainability 2019, 11, 3181. [Google Scholar] [CrossRef]
- Nations, U. Transforming Our World: The 2030 Agenda for Sustainable Development. 2015. Available online: https://sustainabledevelopment.un.org/post2015/transformingourworld/publication (accessed on 21 March 2023).
- Ghosh, S.; Das Chatterjee, N.; Dinda, S. Urban ecological security assessment and forecasting using integrated DEMATEL-ANP and CA-Markov models: A case study on Kolkata Metropolitan Area, India. Sustain. Cities Soc. 2021, 68, 102773. [Google Scholar] [CrossRef]
- Lin, B.B.; Egerer, M.H. Global social and environmental change drives the management and delivery of ecosystem services from urban gardens: A case study from Central Coast, California. Glob. Environ. Chang. 2020, 60, 102006. [Google Scholar] [CrossRef]
- Li, N.; Zhang, Y.; Wang, T.; Li, J.; Yang, J.; Luo, M. Have anthropogenic factors mitigated or intensified soil erosion over the past three decades in South China? J. Environ. Manag. 2022, 302, 114093. [Google Scholar] [CrossRef] [PubMed]
- Dong, J.; Lyu, Y. Appraisal of urban land ecological security and analysis of influencing factors: A case study of Hefei city, China. Environ. Sci. Pollut. Res. Int. 2022, 29, 90803–90819. [Google Scholar] [CrossRef] [PubMed]
- Zhang, Y.; She, J.; Long, X.; Zhang, M. Spatio-temporal evolution and driving factors of eco-environmental quality based on RSEI in Chang-Zhu-Tan metropolitan circle, central China. Ecol. Indic. 2022, 144, 109436. [Google Scholar] [CrossRef]
- Yang, H.; Zhai, G.; Zhang, Y. Ecological vulnerability assessment and spatial pattern optimization of resource-based cities: A case study of Huaibei City, China. Hum. Ecol. Risk Assess. Int. J. 2021, 27, 606–625. [Google Scholar] [CrossRef]
- Sadeghi, S.H.; Vafakhah, M.; Moosavi, V.; Pourfallah Asadabadi, S.; Sadeghi, P.S.; Khaledi Darvishan, A.; Bagheri Fahraji, R.; Mosavinia, S.H.; Majidnia, A.; Gharemahmudli, S.; et al. Assessing the health and ecological security of a human induced watershed in central iran. Ecosyst. Health Sustain. 2022, 8, 2090447. [Google Scholar] [CrossRef]
- Tang, Y.; Zhao, X.; Jiao, J. Ecological security assessment of Chaohu Lake Basin of China in the context of River Chief System reform. Environ. Sci. Pollut. Res. Int. 2020, 27, 2773–2785. [Google Scholar] [CrossRef] [PubMed]
- Zhao, C.; Wang, C.; Yan, Y.; Shan, P.; Li, J.; Chen, J. Ecological Security Patterns Assessment of Liao River Basin. Sustainability 2018, 10, 2401. [Google Scholar] [CrossRef]
- Xi, H.; Chen, Y.; Zhao, X.; Sindikubwabo, C.; Cheng, W. Safety assessment of fragile environment in Badain Jaran Desert and its surrounding areas based on the DPSIR model. Ecol. Indic. 2023, 146, 109874. [Google Scholar] [CrossRef]
- Genton, M.G.; Sun, Y. Comments on: Data science, big data and statistics. Test 2019, 28, 338–341. [Google Scholar] [CrossRef]
- Zhang, B.H.; Zhai, H. Ecological Security Evaluation of Coal Resource-Exhausted Cities: A Case Study of Zaozhuang City in China. Appl. Mech. Mater. 2013, 392, 943–948. [Google Scholar] [CrossRef]
- Guo, M. Application of Remote Sensing Technology in Macro-Ecological Environment Monitoring. Remote Sens. 2020, 9, 26. [Google Scholar] [CrossRef]
- Niu, Z.; He, H.; Peng, S.; Ren, X.; Zhang, L.; Gu, F.; Zhu, G.; Peng, C.; Li, P.; Wang, J.; et al. A Process-Based Model Integrating Remote Sensing Data for Evaluating Ecosystem Services. J. Adv. Model. Earth Syst. 2021, 13, e2020MS002451. [Google Scholar] [CrossRef]
- White, H.J.; Gaul, W.; Sadykova, D.; León-Sánchez, L.; Caplat, P.; Emmerson, M.C.; Yearsley, J.M. Quantifying large-scale ecosystem stability with remote sensing data. Remote Sens. Ecol. Conserv. 2020, 6, 354–365. [Google Scholar] [CrossRef] [PubMed]
- Li, J.; Pei, Y.; Zhao, S.; Xiao, R.; Sang, X.; Zhang, C. A Review of Remote Sensing for Environmental Monitoring in China. Remote Sens. 2020, 12, 1130. [Google Scholar] [CrossRef]
- Wang, Y.; He, X.; Bai, Y.; Tan, Y.; Zhu, B.; Wang, D.; Ou, M.; Gong, F.; Zhu, Q.; Huang, H. Automatic detection of suspected sewage discharge from coastal outfalls based on Sentinel-2 imagery. Sci. Total Environ. 2022, 853, 158374. [Google Scholar] [CrossRef] [PubMed]
- Gao, J.; Zhang, X.; Jiang, Y.; Ou, X.; He, D.; Shi, J. Key issues on watershed ecological security assessment. Chin. Sci. Bull. 2007, 52, 251–261. [Google Scholar] [CrossRef]
- Hu, Y.; Gong, J.; Li, X.; Song, L.; Zhang, Z.; Zhang, S.; Zhang, W.; Dong, J.; Dong, X. Ecological security assessment and ecological management zoning based on ecosystem services in the West Liao River Basin. Ecol. Eng. 2023, 192, 106973. [Google Scholar] [CrossRef]
- Xie, H.; He, Y.; Choi, Y.; Chen, Q.; Cheng, H. Warning of negative effects of land-use changes on ecological security based on GIS. Sci. Total Environ. 2020, 704, 135427. [Google Scholar] [CrossRef]
- Sun, T.; Lin, W.; Chen, G.; Guo, P.; Zeng, Y. Wetland ecosystem health assessment through integrating remote sensing and inventory data with an assessment model for the Hangzhou Bay, China. Sci. Total Environ. 2016, 566–567, 627–640. [Google Scholar] [CrossRef]
- Sun, J.; Yuan, X.; Liu, G.; Tian, K. Emergy and eco-exergy evaluation of wetland restoration based on the construction of a wetland landscape in the northwest Yunnan Plateau, China. J. Environ. Manag. 2019, 252, 109499. [Google Scholar] [CrossRef] [PubMed]
- Zhu, W.; Miao, C.; Zheng, X.; Cao, G.; Wang, F. Study on ecological safety evaluation and warning of wetlands in Tumen River watershed based on 3S technology. Acta Ecol. Sin. 2014, 34, 1379–1390. [Google Scholar] [CrossRef]
- Chen, J.; Wang, S.; Zou, Y. Construction of an ecological security pattern based on ecosystem sensitivity and the importance of ecological services: A case study of the Guanzhong Plain urban agglomeration, China. Ecol. Indic. 2022, 136, 108688. [Google Scholar] [CrossRef]
- He, D.; Hou, K.; Wen, J.F.; Wu, S.Q.; Wu, Z.P. A coupled study of ecological security and land use change based on GIS and entropy method-a typical region in Northwest China, Lanzhou. Environ. Sci. Pollut. Res. 2021, 29, 6347–6359. [Google Scholar] [CrossRef]
- Peng, C.; Li, B.; Nan, B. An analysis framework for the ecological security of urban agglomeration: A case study of the Beijing-Tianjin-Hebei urban agglomeration. J. Clean. Prod. 2021, 315, 128111. [Google Scholar] [CrossRef]
- Xu, X.L.; Liu, J.Y.; Zhang, S.W.; Li, R.D.; Yan, C.Z.; Wu, S.X. China’s Multi-Period Land Use Land Cover Remote Sensing Monitoring Dataset (CNLUCC). Data Registration and Publishing System of the Resource and Environmental Science Data Center of the Chinese Academy of Sciences. 2018. Available online: https://www.scirp.org/reference/referencespapers?referenceid=2687440 (accessed on 12 January 2024).
- Wei, J.; Li, Z.; Cribb, M.; Huang, W.; Xue, W.; Sun, L.; Guo, J.; Peng, Y.; Li, J.; Lyapustin, A.; et al. Improved 1 km resolution PM2.5 estimates across China using enhanced space–time extremely randomized trees. Atmos. Chem. Phys. 2020, 20, 3273–3289. [Google Scholar] [CrossRef]
- Wei, J.; Li, Z.; Lyapustin, A.; Sun, L.; Peng, Y.; Xue, W.; Su, T.; Cribb, M. Reconstructing 1-km-resolution high-quality PM2.5 data records from 2000 to 2018 in China: Spatiotemporal variations and policy implications. Remote Sens. Environ. 2021, 252, 112136. [Google Scholar] [CrossRef]
- Zhang, R.; Wang, C.; Xiong, Y. Ecological security assessment of China based on the Pressure-State-Response framework. Ecol. Indic. 2023, 154, 110647. [Google Scholar] [CrossRef]
- Hu, X.; Xu, H. A new remote sensing index based on the pressure-state-response framework to assess regional ecological change. Environ. Sci. Pollut. Res. Int. 2019, 26, 5381–5393. [Google Scholar] [CrossRef]
- Sang, S.; Wu, T.; Wang, S.; Yang, Y.; Liu, Y.; Li, M.; Zhao, Y. Ecological Safety Assessment and Analysis of Regional Spatiotemporal Differences Based on Earth Observation Satellite Data in Support of SDGs: The Case of the Huaihe River Basin. Remote Sens. 2021, 13, 3942. [Google Scholar] [CrossRef]
- Liu, J.; Cao, X.; Zhao, L.; Dong, G.; Jia, K. Spatiotemporal Differentiation of Land Ecological Security and Its Influencing Factors: A Case Study in Jinan, Shandong Province, China. Front. Environ. Sci. 2022, 10, 8. [Google Scholar] [CrossRef]
- Dong, L.; Ge, C.; Zhang, H.; Liu, Z.; Yang, Q.; Jin, B.; Ritsema, C.J.; Geissen, V. an optimized method for extracting slope length in rusle from raster digital elevation. Catena 2022, 209, 105818. [Google Scholar] [CrossRef]
- Islam, M.R.; Jaafar, W.Z.W.; Hin, L.S.; Osman, N.; Karim, M.R. Development of an erosion model for Langat River Basin, Malaysia, adapting GIS and RS in RUSLE. Appl. Water Sci. 2020, 10, 1–11. [Google Scholar] [CrossRef]
- Liu, C.; Wu, X.; Wang, L. Analysis on land ecological security change and affect factors using RS and GWR in the Danjiangkou Reservoir area, China. Appl. Geogr. 2019, 105, 1–14. [Google Scholar] [CrossRef]
- Ermida, S.L.; Soares, P.; Mantas, V.; Göttsche, F.-M.; Trigo, I.F. Google Earth Engine Open-Source Code for Land Surface Temperature Estimation from the Landsat Series. Remote Sens. 2020, 12, 1471. [Google Scholar] [CrossRef]
- Wang, S.; Zhang, X.; Wu, T.; Yang, Y. The evolution of landscape ecological security in Beijing under the influence of different policies in recent decades. Sci. Total Environ. 2019, 646, 49–57. [Google Scholar] [CrossRef]
- Zuo, W.; Wang, Q.; Wang, W.J.; Liu, J.J.; Yang, Y.P. Study on Regional Ecological Security Assessment Index and Standard. Geogr. Territ. Res. 2002, 18, 67–71. [Google Scholar] [CrossRef]
- Li, Y.; Sun, X.; Zhu, X.; Cao, H. An early warning method of landscape ecological security in rapid urbanizing coastal areas and its application in Xiamen, China. Ecol. Model. 2010, 221, 2251–2260. [Google Scholar] [CrossRef]
- Cheng, W.; Xi, H.; Sindikubwabo, C.; Si, J.; Zhao, C.; Yu, T.; Li, A.; Wu, T. Ecosystem health assessment of desert nature reserve with entropy weight and fuzzy mathematics methods: A case study of Badain Jaran Desert. Ecol. Indic. 2020, 119, 106843. [Google Scholar] [CrossRef]
- Liu, H.Y.; Liu, Y.C.; Meng, L.H.; Jiao, K.Q.; Zhu, M.Y.; Chen, Y.K.; Zhang, P.F. Research progress of entropy weight method in water resources and water environment. J. Glaciol. Geocryol. 2022, 44, 299–306. [Google Scholar] [CrossRef]
- Wang, C.; Xu, M.; Olsson, G.; Liu, Y. Characterizing of water-energy-emission nexus of coal-fired power industry using entropy weighting method. Resour. Conserv. Recycl. 2020, 161, 104991. [Google Scholar] [CrossRef]
- Lai, S.; Sha, J.; Eladawy, A.; Li, X.; Wang, J.; Kurbanov, E.; Lin, Z.; Wu, L.; Han, R.; Su, Y.-C. Evaluation of ecological security and ecological maintenance based on pressure-state-response (PSR) model, case study: Fuzhou city, China. Hum. Ecol. Risk Assess. Int. J. 2022, 28, 734–761. [Google Scholar] [CrossRef]
- Gocic, M.; Trajkovic, S. Analysis of changes in meteorological variables using Mann-Kendall and Sen’s slope estimator statistical tests in Serbia. Glob. Planet. Change 2013, 100, 172–182. [Google Scholar] [CrossRef]
- Zhu, B.; Hashimoto, S.; Cushman, S.A. Navigating ecological security research over the last 30 years: A scoping review. Sustain. Sci. 2023, 18, 2485–2498. [Google Scholar] [CrossRef]
- Zhu, M.; Zhang, Z.; Zhu, B.; Kong, R.; Zhang, F.; Tian, J.; Jiang, T. Population and Economic Projections in the Yangtze River Basin Based on Shared Socioeconomic Pathways. Sustainability 2020, 12, 4202. [Google Scholar] [CrossRef]
Disclaimer/Publisher’s Note: The statements, opinions and data contained in all publications are solely those of the individual author(s) and contributor(s) and not of MDPI and/or the editor(s). MDPI and/or the editor(s) disclaim responsibility for any injury to people or property resulting from any ideas, methods, instructions or products referred to in the content. |
© 2024 by the authors. Licensee MDPI, Basel, Switzerland. This article is an open access article distributed under the terms and conditions of the Creative Commons Attribution (CC BY) license (https://creativecommons.org/licenses/by/4.0/).









