Sustainable Food Supply by Peri-Urban Diversified Farms of the Agri-Food Region of Central Córdoba, Argentina
Abstract
1. Introduction
2. Materials and Methods
2.1. Study Area
2.2. Farm Selection and Data Collection
2.2.1. Species and Characterization of Types of Crops
2.2.2. Area Suitable for Each Species and Type of Horticultural Crops Annually
2.2.3. Mean Productivity Per Species and Characterization of Type of Horticultural Crop
2.3. Statistical Analysis
3. Results
3.1. Dominant Species and Types of Vegetable Crops in the ARCC
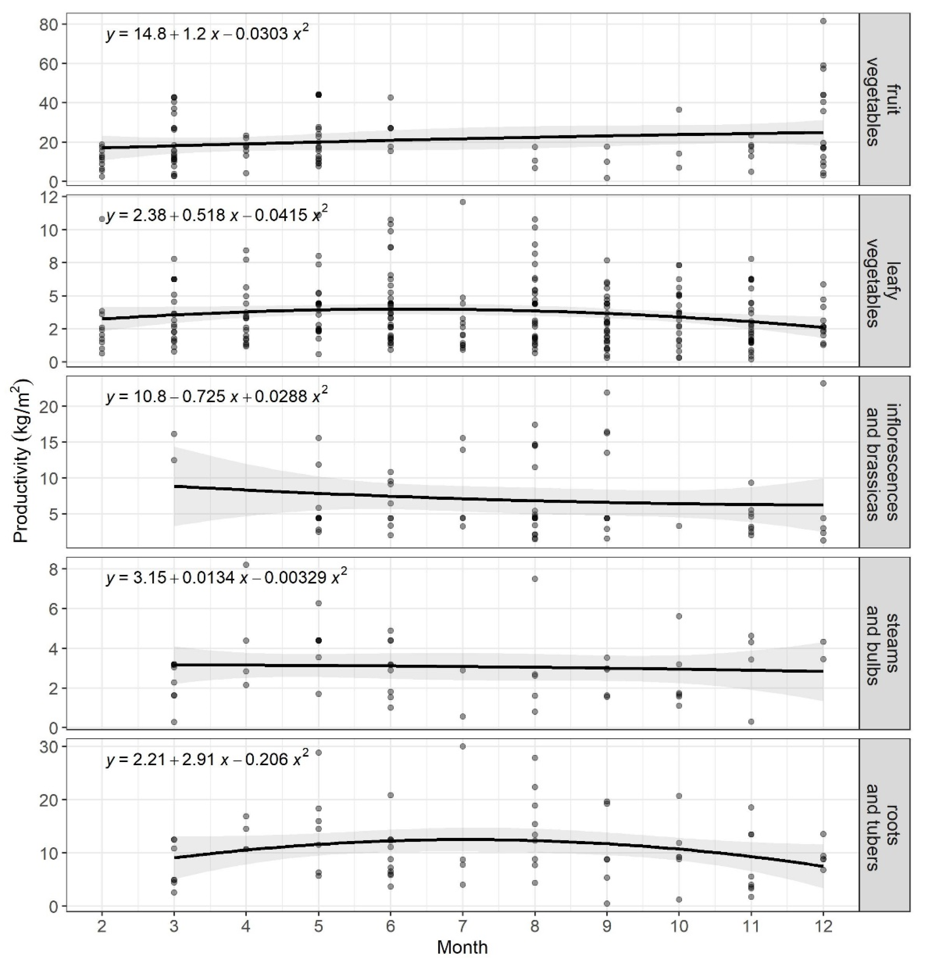
3.2. Mean Productivity per Species
4. Discussion
5. Conclusions
Supplementary Materials
Author Contributions
Funding
Data Availability Statement
Acknowledgments
Conflicts of Interest
References
- Baldini, C.; Marasas, M.E.; Drozd, A.A. Three Decades of Landscape Change across the Largest Peri-Urban Horticultural Region of Argentina: Urban Growth, Productive Intensification and the Need for Resilient Landscape Management. J. Environ. Plan. Manag. 2021, 65, 1781–1820. [Google Scholar] [CrossRef]
- Rolf, W.; Diehl, K.; Zasada, I.; Wiggering, H. Integrating Farmland in Urban Green Infrastructure Planning. An Evidence Synthesis for Informed Policymaking. Land Use Policy 2020, 99, 104823. [Google Scholar] [CrossRef]
- Ayambire, R.; Amponsah, O.; Peprah, C.; Takyi, S. A Review of Practices for Sustaining Urban and Peri-Urban Agriculture: Implications for Land Use Planning in Rapidly Urbanising Ghanaian Cities. Land Use Policy 2019, 84, 260–277. [Google Scholar] [CrossRef]
- Barsky, A. El Periurbano Productivo, Un Espacio En Constante Transformación. Introducción al Estado Del Debate, Con Referencias al Caso de Buenos Aires. Scr. Nova Rev. Electrónica Geogr. Cienc. Soc. 2005, 9. [Google Scholar]
- Díaz, S.; Pascual, U.; Stenseke, M.; Martín-López, B.; Watson, R.T.; Molnár, Z.; Hill, R.; Chan, K.M.A.; Baste, I.A.; Brauman, K.A.; et al. Assessing Nature’s Contributions to People. Science 2018, 359, 270–272. [Google Scholar] [CrossRef] [PubMed]
- Cueva, J.; Yakouchenkova, I.A.; Fröhlich, K.; Dermann, A.F.; Dermann, F.; Köhler, M.; Grossmann, J.; Meier, W.; Bauhus, J.; Schröder, D.; et al. Synergies and Trade-Offs in Ecosystem Services from Urban and Peri urban Forests and Their Implication to Sustainable City Design and Planning. Sustain. Cities Soc. 2022, 82, 103903. [Google Scholar] [CrossRef]
- TEEB. Ecosystem Services in the City—Protecting Health and Enhancing Quality of Life, Summary for Decision-Makers; Technical University of Berlin, Helmholtz Centre for Environmental Research—UFZ: Berlin, Germany; Technical University of Berlin, Helmholtz Centre for Environmental Research—UFZ: Leipzig, Germany, 2017; p. 40. [Google Scholar]
- Lin, B.B.; Philpott, S.M.; Jha, S. The Future of Urban Agriculture and Biodiversity-Ecosystem Services: Challenges and next Steps. Basic Appl. Ecol. 2015, 16, 189. [Google Scholar] [CrossRef]
- Opitz, I.; Berges, R.; Piorr, A.; Krikser, T. Contributing to Food Security in Urban Areas: Differences between Urban Agriculture and Peri-Urban Agriculture in the Global North. Agric. Hum. Values 2016, 33, 341–358. [Google Scholar] [CrossRef]
- Bradley, K.; Galt, R. Practicing Food Justice at Dig Deep Farms & Produce, East Bay Area, California: Self-Determination as a Guiding Value and Intersections with Foodie Logics. Local Environ. 2013, 19, 172–186. [Google Scholar] [CrossRef]
- Pole, A.; Gray, M. Farming Alone? What’s up with the ‘“C”’ in Community Supported Agriculture? Agric. Hum. Values 2013, 30, 85–100. [Google Scholar] [CrossRef]
- Obach, B.K.; Tobin, K. Civic Agriculture and Community Engagement. Agric. Hum. Values 2014, 31, 307–322. [Google Scholar] [CrossRef]
- DeClerck, F.A.J.; Jones, S.K.; Attwood, S.; Bossio, D.; Girvetz, E.; Chaplin-Kramer, B.; Enfors, E.; Fremier, A.K.; Gordon, L.J.; Kizito, F.; et al. Agricultural Ecosystems and Their Services: The Vanguard of Sustainability? Curr. Opin. Environ. Sustain. 2016, 23, 92–99. [Google Scholar] [CrossRef]
- Avtar, R.; Aggarwal, R.; Kharrazi, A.; Kumar, P.; Kurniawan, T.A. Utilizing Geospatial Information to Implement SDGs and Monitor Their Progress. Environ. Monit. Assess. 2020, 192, 35. [Google Scholar] [CrossRef] [PubMed]
- Jennings, S.; Cottee, J.; Curtis, T.; Miller, S. Food in an Urbanised World: The Role of City Region Food Systems. Urban Agric. Mag. 2015, 29, 5–7. [Google Scholar]
- Zasada, I.; Schmutz, U.; Wascher, D.; Kneafsey, M.; Corsi, S.; Mazzocchi, C.; Monaco, F.; Boyce, P.; Doernberg, A.; Sali, G.; et al. Food beyond the City—Analysing Foodsheds and Self-Sufficiency for Different Food System Scenarios in European Metropolitan Regions. City Cult. Soc. 2019, 16, 25–35. [Google Scholar] [CrossRef]
- Perrin, C.; Clément, C.; Melot, R.; Nougarédes, B. Preserving Farmland on the Urban Fringe: A Literature Review on Land Policies in Developed Countries. Land 2020, 9, 223. [Google Scholar] [CrossRef]
- Toma, P.; Miglietta, P.P.; Zurlini, G.; Valente, D.; Petrosillo, I. A Non-Parametric Bootstrap-Data Envelopment Analysis Approach for Environmental Policy Planning and Management of Agricultural Efficiency in EU Countries. Ecol. Indic. 2017, 83, 132–143. [Google Scholar] [CrossRef]
- Sanyé-Mengual, E.; Specht, K.; Vávra, J.; Artmann, M.; Orsini, F.; Gianquinto, G. Ecosystem Services of Urban Agriculture: Perceptions of Project Leaders, Stakeholders and the General Public. Sustainability 2020, 12, 10446. [Google Scholar] [CrossRef]
- IPBES. Summary for Policymakers of the Global Assessment Report on Biodiversity and Ecosystem Services. Popul. Dev. Rev. 2019, 45, 680–681. [Google Scholar]
- Novotny, I.P.; Tittonell, P.; Fuentes-Ponce, M.H.; López-Ridaura, S.; Rossing, W.A.H. The Importance of the Traditional Milpa in Food Security and Nutritional Self-Sufficiency in the Highlands of Oaxaca, Mexico. PLoS ONE 2021, 16, e0246281. [Google Scholar] [CrossRef]
- Renting, H.; Oostindie, H.; Laurent, C.; Brunori, G.; Rossi, A.; Charollais, M.; Barjolle, D.; Prestegard, S.; Jervell, A.; Granberg, L.; et al. Multifunctionality of Activities, Plurality of Identities and New Institutional Arrangements; Synthesis Report. HAL Open Science: Lyon, France, 2005. [Google Scholar]
- la Rosa, D.; Geneletti, D.; Spyra, M.; Albert, C.; Fürst, C. Sustainable Planning for Peri-Urban Landscapes. In Ecosystem Services from Forest Landscapes; Perera, A., Peterson, U., Pastur, G., Iverson, L., Eds.; Springer: Cham, Switzerland, 2018; pp. 89–126. [Google Scholar] [CrossRef]
- Ives, C.D.; Kendal, D. Values and Attitudes of the Urban Public Edwards Peri-Urban Agricultural Land. Land Use Policy 2013, 34, 80–90. [Google Scholar] [CrossRef]
- Inostroza, L.; Hamstead, Z.; Spyra, M.; Qureshi, S. Beyond Urban–Rural Dichotomies: Measuring Urbanisation Degrees in Central European Landscapes Using the Technomass as an Explicit Indicator. Ecol. Indic. 2019, 96, 466–476. [Google Scholar] [CrossRef]
- Sylla, M.; Solecka, I. Highly Valued Agricultural Landscapes and Their Ecosystem Services in the Urban-Rural Fringe–an Integrated Approach. J. Environ. Plan. Manag. 2019, 63, 883–911. [Google Scholar] [CrossRef]
- Tilman, D.; Fargione, J.; Wolff, B.; D’Antonio, C.; Dobson, A.; Howarth, R.; Schindler, D.; Schlesinger, W.H.; Simberloff, D.; Swackhamer, D. Forecasting Agriculturally Driven Global Environmental Change. Science 2001, 292, 281–284. [Google Scholar] [CrossRef] [PubMed]
- Capitanelli, R. Clima. In Geografía Física de la Provincia de Córdoba; Vázquez, J.B., Ed.; Boldt: Córdoba, Argentina, 1979; pp. 45–138. [Google Scholar]
- Tártara, E.J.; Apezteguía, J.; Roberi, A.; Bocco, M.; Adib, O. Caracterización de Los Sistemas Frutihortícolas Bajo Riego Del Cinturón Verde de La Ciudad de Córdoba; Universidad Nacional de Córdoba: Córdoba, Argentina, 1998; p. 45. [Google Scholar]
- Direccion General de Estadística y Censos. Indicadores Departamentales de la Provincia de Córdoba. Available online: https://estadistica.cba.gov.ar/conoce-cordoba/ (accessed on 11 July 2022).
- Fernández Lozano, J.; La Producción de Hortalizas En Argentina. Report; Gerencia de Calidad y Tecnología, Mercado Central de Buenos Aires: Buenos Aires, Argentina, 2012; Available online: https://www.academia.edu/23974120/La_produccion_de_hortalizas_en_argentina (accessed on 1 June 2020).
- Marinelli, M.V.; Valente, D.; Scavuzzo, C.M.; Petrosillo, I. Landscape Service Flow Dynamics in the Metropolitan Area of Córdoba (Argentina). J. Environ. Manag. 2021, 280, 111714. [Google Scholar] [CrossRef] [PubMed]
- Barchuk, A.; Suez, L.; Locati, L. Cobertura y Uso de La Tierra En El Área Periurbana de La Ciudad de Córdoba, Argentina. Aportes a La Planificación Territorial. Rev. Asoc. Argent. Ecol. Paisajes 2017, 7, 15–30. [Google Scholar]
- Giobellina, B.L. La Alimentación de Las Ciudades. Transformaciones Territoriales y Cambio Climático en el Cinturón Verde de Córdoba; Ediciones INTA: Buenos Aires, Argentina, 2018. [Google Scholar]
- Mari, N.A.; Giobellina, B.; Benitez, A.; Marinelli, V. Mapping and Characterizing the Green Belt of Córdoba: Land Dynamics and the Urban-Rural Transformation Process. J. Agron. Res. 2019, 2, 29–46. [Google Scholar] [CrossRef]
- Celiz, Y. Transformaciones en Territorios de Interfase un Aporte a la Planificación de Sierras Chicas en Córdoba desde los Socio-Ecosistemas. Ph.D. Thesis, Universidad Nacional de La Plata, La Plata, Argentina, 2020. [Google Scholar]
- Giobellina, B.L.; Marinelli, V.; Lobos, D.; Eandi, M.; Bissio, C.; Butinof, M.; Narmona, L.; Romero, M. Caracterización y Mapeo de La Producción Fruti-Hortícola de La Región Alimentaria de Córdoba Córdoba, Argentina; Ediciones INTA: Buenos Aires, Argentina, 2021. [Google Scholar]
- Lanfranconi, L.; Tuda, E.; Buteler, M.; Fontán, H.; Beretta, R.; Robledo, C. Situación de Contexto Del Área Central Bajo Riego de La Provincia de Córdoba; Córdoba, Argentina; Report; Estación Experimental Agropecuaria Manfredi: Cordoba, Argentina; Centro Regional Córdoba: Cordoba, Argentina; Instituto Nacional de Tecnología Agropecuaria (INTA): Buenos Aires, Argentina, 1987; Volume I, 100p. [Google Scholar]
- FAO. FAOSTAT. Food and Agriculture Organization of the United Nations; Food and Agriculture Organization of the United Nations: Rome, Italy, 2019; Available online: https://www.fao.org/faostat/en/#home (accessed on 1 February 2021).
- FAO. Producción de Hortalizas; FAO Bolivia: La Paz, Bolivia, 2011; Available online: https://www.fao.org/3/as972s/as972s.pdf (accessed on 15 November 2021).
- R Core Team. R: A Language and Environment for Statistical Computing; R Foundation for Statistical Computing: Vienna, Austria, 2021; Available online: https://www.r-project.org/ (accessed on 15 October 2021).
- Baude, M.; Meyer, B.C.; Schindewolf, M. Land Use Change in an Agricultural Landscape Causing Degradation of Soil Based Ecosystem Services. Sci. Total Environ. 2019, 659, 1526–1536. [Google Scholar] [CrossRef]
- Chen, T.; Feng, Z.; Zhao, H.; Wu, K. Identification of Ecosystem Service Bundles and Driving Factors in Beijing and Its Surrounding Areas. Sci. Total Environ. 2019, 711, 134687. [Google Scholar] [CrossRef]
- Larondelle, N.; Haase, D. Urban Ecosystem Services Assessment along a Rural–Urban Gradient: A Cross-Analysis of European Cities. Ecol. Indic. 2013, 29, 179–190. [Google Scholar] [CrossRef]
- Shen, J.; Li, S.; Liang, Z.; Liu, L.; Li, D.; Wu, S. Exploring the Heterogeneity and Nonlinearity of Trade-Offs and Synergies among Ecosystem Services Bundles in the Beijing-Tianjin-Hebei Urban Agglomeration. Ecosyst. Serv. 2020, 43, 101103. [Google Scholar] [CrossRef]
- Spyra, M.; la Rosa, D.; Zasada, I.; Sylla, M.; Shkaruba, A. Governance of Ecosystem Services Trade-Offs in Peri-Urban Landscapes. Land Use Policy 2020, 95, 104617. [Google Scholar] [CrossRef]
- Busck, A.G.; Kristensen, S.P.; Præstholm, S.; Primdahl, J. Porous Landscapes—The Case of Greater Copenhagen. Urban Urban Green 2008, 7, 145–156. [Google Scholar] [CrossRef]
- Gren, Å.; Andersson, E. Being Efficient and Green by Rethinking the Urban-Rural Divide—Combining Urban Expansion and Food Production by Integrating an Ecosystem Service Perspective into Urban Planning. Sustain. Cities Soc. 2018, 40, 75–82. [Google Scholar] [CrossRef]
- Świąder, M.; Szewrański, S.; Kazak, J.K.; van Hoof, J.; Lin, D.; Wackernagel, M.; Alves, A. Application of Ecological Footprint Accounting as a Part of an Integrated Assessment of Environmental Carrying Capacity: A Case Study of the Footprint of Food of a Large City. Resources 2018, 7, 52. [Google Scholar] [CrossRef]
- Maes, J.; Paracchini, M.L.; Zulian, G. A European Assessment of the Provision of Ecosystem Services—Towards an Atlas of Ecosystem Services EUR-Scie. Ed; Publications Office of the European Union: Luxembourg, 2011. [Google Scholar] [CrossRef]
- Moragues-Faus, A.; Morgan, K. Reframing the Foodscape: The Emergent World of Urban Food Policy. Environ. Plan. A Econ. Space 2015, 47, 1558–1573. [Google Scholar] [CrossRef]
- Blay-Palmer, A.; Santini, G.; Dubbeling, M.; Renting, H.; Taguchi, M.; Giordano, T. Validating the City Region Food System Approach: Enacting Inclusive, Transformational City Region Food Systems. Sustainability 2018, 10, 1680. [Google Scholar] [CrossRef]
- Langemeyer, J.; Madrid-Lopez, C.; Mendoza Beltran, A.; Villalba Mendez, G. Urban Agriculture—A Necessary Pathway towards Urban Resilience and Global Sustainability? Landsc. Urban Plan 2021, 210, 104055. [Google Scholar] [CrossRef]
- Nicholls, E.; Ely, A.; Birkin, L.; Basu, P.; Goulson, D. The Contribution of Small-Scale Food Production in Urban Areas to the Sustainable Development Goals: A Review and Case Study. Sustain. Sci. 2020, 15, 1585–1599. [Google Scholar] [CrossRef]
- Michler, J.D.; Josephson, A.L. To Specialize or Diversify: Agricultural Diversity and Poverty Dynamics in Ethiopia. World Dev. 2017, 89, 214–226. [Google Scholar] [CrossRef]
- Birthal, P.S.; Hazrana, J.; Negi, D.S. Diversification in Indian Agriculture towards High Value Crops: Multilevel Determinants and Policy Implications. Land Use Policy 2020, 91, 104427. [Google Scholar] [CrossRef]
- Barbero, M.L. Estudio Sobre Hábitos de Consumo de Frutas y Verduras de Los Consumidores Cordobeses; Programa de Desarrollo Territorial en el Area Metropolitana de Córdoba-ADEC: Córdoba, Argentina, 2012; Available online: https://desarrolloterritorial.adec.org.ar/horticola/images/habitos-de-consumo-de-frutas-y-verduras.pdf (accessed on 1 March 2021).
- FAO. Fruit and Vegetables—Your Dietary Essentials; FAO: Rome, Italy, 2020. [Google Scholar] [CrossRef]
- Altieri, M.A.; Nicholls-Estrada, C.I. Agroecología Urbana: Diseño de Granjas Urbanas Biodiversas, Productivas y Resilientes; CELIA Ediciones: Medellin, Colombia, 2019. [Google Scholar]
- IPBES-FOOD. From Uniformity to Diversity: A Paradigm Shift from Industrial Agriculture to Diversified Agroecological Systems. Report. 2016. Available online: https://www.ipes-food.org/_img/upload/files/UniformityToDiversity_FULL.pdf (accessed on 10 April 2021).
- Sarmiento, C. Evaluación de La Sustentabilidad de Establecimientos Rurales Orgánicos. Ph.D. Thesis, Universidad Nacional De Río Cuarto, Río Cuarto, Argentina, 2018. [Google Scholar]
- Holt, A.R.; Alix, A.; Thompson, A.; Maltby, L. Food Production, Ecosystem Services and Biodiversity: We Can’t Have It All Everywhere. Sci. Total Environ. 2016, 573, 1422–1429. [Google Scholar] [CrossRef] [PubMed]








| Mean Productivity per Cycle (kg/m2) | |||||
|---|---|---|---|---|---|
| Species | n | Mean | S.D. | Min | Max |
| lettuce | 75 | 3.64 | 1.57 | 0.62 | 10.42 |
| chard | 61 | 6.25 | 2.24 | 2 | 12.08 |
| beet * | 45 | 12.5 | 5.76 | 3.35 | 28.84 |
| cabbage | 40 | 9.15 | 6 | 1.28 | 23.22 |
| spinach | 37 | 2.65 | 1.25 | 0.65 | 5.38 |
| arugula | 34 | 1.77 | 1.11 | 0.3 | 4.42 |
| chicory | 31 | 2.26 | 1.12 | 0.5 | 4.42 |
| leek | 29 | 3.16 | 1.78 | 0.29 | 7.5 |
| summer squash var. zapallito * | 26 | 27.13 | 13.43 | 6.4 | 59.1 |
| eggplant * | 24 | 15.55 | 6.09 | 7.76 | 35.75 |
| green onion | 23 | 3.2 | 1.4 | 1.54 | 8.21 |
| broccoli | 20 | 3.33 | 1.26 | 1.44 | 5.82 |
| parsley | 12 | 2.08 | 1.71 | 0.2 | 4.4 |
| french bean * | 11 | 12.26 | 5.86 | 2.52 | 21.93 |
| autumn squash * | 9 | 16.1 | 9.79 | 4.84 | 34.56 |
| zucchini * | 9 | 42.68 | 16.5 | 22.8 | 81.65 |
| small radish * | 8 | 2.09 | 1.68 | 0.22 | 4.41 |
| broad bean * | 7 | 11.95 | 4.58 | 6.74 | 17.61 |
| carrot * | 7 | 14.65 | 8.76 | 5.35 | 30 |
| sweet corn | 6 | 3.06 | 0.92 | 1.74 | 4.41 |
| sweet potato | 4 | 4.9 | 0.73 | 4 | 5.79 |
| turnip | 4 | 6.03 | 1.2 | 4.38 | 7.19 |
| cucumber * | 4 | 40.47 | 15.47 | 20 | 57.4 |
| cauliflower | 3 | 5.14 | 1.13 | 4.38 | 6.43 |
| artichoke | 2 | 3.41 | 1.37 | 2.44 | 4.38 |
| celery | 2 | 1.64 | 0 | 1.64 | 1.64 |
| bell pepper * | 2 | 12.25 | 0 | 12.25 | 12.25 |
| chili * | 1 | 7.65 | 0 | 7.65 | 7.65 |
| garlic | 1 | 0.31 | 0 | 0.31 | 0.31 |
| basil | 1 | 0.89 | 0 | 0.89 | 0.89 |
| Global production | 9.34 | ||||
| Type | n | Covered Farm Area (%) | Mean Monthly Productivity (kg/m2) |
|---|---|---|---|
| Leaves | 25 | 8.55 | 3.62 |
| Roots and Tubers * | 68 | 6.76 | 10.91 |
| Inflorescences and Brassicas | 65 | 4.47 | 7.00 |
| Stems and Bulbs | 55 | 3.87 | 3.07 |
| Fruit vegetables * | 99 | 3.20 | 20.59 |
Disclaimer/Publisher’s Note: The statements, opinions and data contained in all publications are solely those of the individual author(s) and contributor(s) and not of MDPI and/or the editor(s). MDPI and/or the editor(s) disclaim responsibility for any injury to people or property resulting from any ideas, methods, instructions or products referred to in the content. |
© 2022 by the authors. Licensee MDPI, Basel, Switzerland. This article is an open access article distributed under the terms and conditions of the Creative Commons Attribution (CC BY) license (https://creativecommons.org/licenses/by/4.0/).
Share and Cite
Marinelli, M.V.; Argüello Caro, E.B.; Petrosillo, I.; Kurina, F.G.; Giobellina, B.L.; Scavuzzo, C.M.; Valente, D. Sustainable Food Supply by Peri-Urban Diversified Farms of the Agri-Food Region of Central Córdoba, Argentina. Land 2023, 12, 101. https://doi.org/10.3390/land12010101
Marinelli MV, Argüello Caro EB, Petrosillo I, Kurina FG, Giobellina BL, Scavuzzo CM, Valente D. Sustainable Food Supply by Peri-Urban Diversified Farms of the Agri-Food Region of Central Córdoba, Argentina. Land. 2023; 12(1):101. https://doi.org/10.3390/land12010101
Chicago/Turabian StyleMarinelli, María Victoria, Evangelina Beatriz Argüello Caro, Irene Petrosillo, Franca Giannini Kurina, Beatriz Liliana Giobellina, Carlos Marcelo Scavuzzo, and Donatella Valente. 2023. "Sustainable Food Supply by Peri-Urban Diversified Farms of the Agri-Food Region of Central Córdoba, Argentina" Land 12, no. 1: 101. https://doi.org/10.3390/land12010101
APA StyleMarinelli, M. V., Argüello Caro, E. B., Petrosillo, I., Kurina, F. G., Giobellina, B. L., Scavuzzo, C. M., & Valente, D. (2023). Sustainable Food Supply by Peri-Urban Diversified Farms of the Agri-Food Region of Central Córdoba, Argentina. Land, 12(1), 101. https://doi.org/10.3390/land12010101

