You are currently viewing a new version of our website. To view the old version click .
Land
  • Article
  • Open Access

8 June 2020

The Impact of the Process of Academic Education on Differences in Landscape Perception between the Students of Environmental Engineering and Civil Engineering

and
1
Institute of Environmental Engineering, University of Zielona Góra, 65-417 Zielona Góra, Poland
2
Institute of Civil Engineering, University of Zielona Góra, 65-417 Zielona Góra, Poland
*
Author to whom correspondence should be addressed.
This article belongs to the Special Issue Landscape Architecture Education and Professional Practice and Its Future Challenges in Landscape Design, Planning, Conservation and Management

Abstract

As technical and technological progress takes place, there is dissonance between teaching good engineering and technological techniques and respect for the landscape. Engineering students are educated to act as initiators and performers of activities that change space. The purpose of this study is to answer question regarding how the engineering students recognize problems related to shaping the landscape. In the years 2012–2015, surveys were conducted in a group of 274 students of the University in their final year of environmental engineering and civil engineering studies, in order to find the main characteristics related to the problem. Students tended to assess the landscape in a manner determined by their education in natural science—emphasizing the division between the well-shaped natural landscape and the malformed anthropogenic one. There were differences between the groups of students—civil engineering students noticed the qualities of architectural objects and shaped greenery in their perception of the landscape in urban areas more often than the environmental engineering students did. There were no differences in the perception of the landscape in rural areas. The harmonious landscape was described as rural, modern, undeveloped and common. The landscape regarded as degraded was built-up and common. There were no changes in the perception of the landscape resulting from the educational profile among the environmental engineering students. The time has come to change methods of teaching the students of engineering and technical sciences about the landscape. This should result in an improvement in their perception of landscape phenomena.

1. Introduction

1.1. Factors Influencing Landscape Perception

The world has experienced an exceptional growth of intensive agriculture and urbanization over the last decades. The intensification of agriculture [1,2] and the progress of urbanization on a global scale [1,2,3,4] have led to in an increase in activities significantly affecting the environment and the landscape [5]. This also breaks the bond between man and nature, which may lead to the misunderstanding of its rules, laws and functions and, consequently, reduce its value in people’s eyes [6]. The contemporary perception of global phenomena requires a multi-level education that includes in its curricula different fields of study as well as the impact of designing and shaping the environment on climate change, sustainable development, land use change (including urbanization and transportation), biodiversity and environmental quality [7,8,9].
The landscape is an element of the natural environment that is difficult to precisely and objectively define, since it is a product of long-lasting and varied interactions between humans and the environment, including changes in the scientific approach to this issue over time [7,10,11,12]. This difficulty results from the current paradigm of landscape, the observers’ knowledge about the environment and landscape, their attitude and sensitivity, and even their age, gender and other individual characteristics as well as processes and usually highly dynamic phenomena actually occurring in space [7,13,14,15,16]. An important element in the assessment of the landscape are also the cognitive methods and terms used in a particular scientific discipline. There are significant differences between ecologists and historians, especially in terms of their assessment of human impact on the landscape [17], and the students of agricultural, social and natural sciences [15] in terms of their assessment of the naturalness and effects of landscape shaping. A proper perception of the landscape in all of its complexity is necessary to implement the contemporary idea of sustainable development and use of space [18] and to respect the traditions and historical values associated with the unique landscapes of particular places [19,20]. This is especially important for engineers—people who make decisions in terms of planning, design and implementation that influence the shape and functionality of the environment [15].

1.2. Problems of the Landscape Education

The development of education and technical and scientific knowledge, as well as the growing pro-environmental awareness in society have a significant impact on the anthropogenic and natural environment [2,21,22]. In this respect, there is a noticeable relation between early school education, later education, studies and the attitudes of parents towards the environment [22]. This results from the fact that the perception of the environment and the landscape is influenced by people’s strong mental attitude towards their environment. Proper education can lead to a better understanding of the environment, its laws and functions and, consequently, to the development of an opinion on its optimum form [23]. People’s attitudes result from education as well as many other vital factors concerning social matters and healthy behavior. In some places advanced projects are being implemented, including primary school pupils working in teams to solve architectural and landscape problems. This provides them with broad knowledge, skills and social competences at a relatively early stage of their education [23].
Subsequently, the acquired competences should be complemented with more advanced knowledge during late school and university education [24]. This is an important element in the preparation of conscious members of local communities to be ready to actively participate in social activities aimed at solving local problems. As a result, people may take an active part in consultations of changes that are being planned or implemented in their environment and they may also be able to better organize their lives [20,25,26]. Many authors point out that it is a difficult task to provide the students of various sciences with the sense and skills to assess aesthetics [5,17,27]. Such assessments are based on an individual approach to the beauty of the environment and they are always subjective [18,21,28] even though they are stimulated by the instruments of a particular scientific discipline [26]. Many of these assessments result from the standards developed by society at a particular stage. Nowadays, on the basis of the adopted model of values, green areas are regarded as a better solution than the expansion of built-up areas, service areas are regarded as better than industrial ones, and more interesting and functionally better architectural and urban solutions are regarded as better than monotonous landscapes and dysfunctional areas [28]. However, the elements that make a landscape more dynamic, including buildings, are important in terms of landscape perception, especially for people who are not experts on the subject, as long as these elements do not cause chaos in the landscape [29,30]. It is usually indicated that there should be balance between the complexity of elements forming the landscape and the cohesion of the landscape as a whole. At the same time, people’s perception of landscape complexity depends on individual characteristics and is different in urban, suburban and open areas [30].
Despite a number of changes taking place in education and social attitudes, over the last 40 years there has been a lack of progress in higher architectural education, including landscape science [31]. This requires actions aimed at modifying the effects of education in the fields of study related to the broadly defined shaping of space, including engineering and technical sciences. Li et al. [32] noted that traditional educational models in landscape architecture were not very effective due to the insufficient activity of the students. It was found that the use of modern educational methods and the intensification of cooperation between the students can improve their ability to analyze and solve landscape problems. An important disputable point is the relation of the students to the lecturers in terms of developing the sense of landscape aesthetics. The procedure for the assessment of student work on this subject results in the replacement of the creations of individual students by the tutor’s subjective sense of aesthetics [28].

1.3. Environmental Education in the Civil and Environmental Engineering Courses

Environmental engineering and civil engineering are dynamically developing disciplines of engineering and technical sciences, as evidenced by the expanding range of activities included in them [33]. This means that graduates of the related fields of study have more and more influence on the environment around human habitats. This influence was already significant in the traditional description of the fields of study historically associated in Poland with the construction of buildings and linear structures and sanitary engineering as well as with transmission and installation networks. This resulted both from excavation work and from the construction of buildings and implementation of construction and environmental technologies (Table 1). The changes introduced into the OECD (The Organization for Economic Co-operation and Development) system, and consequently into Polish law, have significantly expanded the interests of environmental engineering into mining, energy production and environmental development, and the interests of civil engineering into transport, geodesy and cartography. Due to the strong connection of environmental engineering and civil engineering with technical sciences, experts do not always see the need to complement engineering education with landscape sciences. This can be seen in the first level syllabi of the abovementioned fields of study (Table 1). There has been an increasing difference of opinions on this subject in recent decades due to the progress in specialization of higher education graduates [34]. The significant influence of the education of environmental engineers and civil engineers on the quality of the constructed space makes it necessary to expand the scope of their education. Environmental and landscape education should include elements of personal awareness, environmental knowledge and practical skills [23,25].
Table 1. Main assumptions and educational effects of the engineer’s course (1st level course) of environmental engineering and civil engineering as specified in the educational offer of the University *, 2018/2019.

1.4. Aim and Scope of the Work

The students of different faculties can be taught the basics of how to shape space consistent with the views of various scientific circles. This provides a basis for searching for individual interpretations of landscape quality. Engineering often deals with technical issues based on sciences. Structural solutions and technology are the main issues discussed in this area. The question arises about the need to include the knowledge, skills and social competence necessary to analyze landscape quality into the educational process of environmental and civil engineers. An individual approach to the landscape problem is also conditioned by demographic issues, including place of residence. According to experts, this effect has not been sufficiently verified [35].
The aim of this research was to determine whether the students of the two technical fields of study could recognize environmental and spatial problems related to landscape organization, structure, properties and impacts as the influence of human activities on spatial arrangement and aesthetics as well. At this point, the authors ask questions about the attitude of the students of technical sciences towards the environment and landscape as a matter that they will shape in their professional life and about their understanding of its rules. This analysis is also intended to complement the very small number of studies on landscape assessment in Poland—one of the Central and Eastern European countries [36].

2. Methods

In the years 2012–2015, a survey was conducted among 244 students of environmental engineering who were in their 4th year of the first level course. This means that they were in their final year of studies leading to the title of professional engineer. The questionnaire was sent to the students in electronic form to be filled at a convenient time. In 2015 the survey was expanded onto a group of 30 students of civil engineering. The analysis covered all environmental engineering students and two groups of civil engineering students studying at the Faculty in the systems of full-time and extramural studies in the described period. The main goal of such an expansion was to show the differences and similarities between the students of related technical courses that included a relatively small number of classes related to environmental problems in their syllabi (Table 1).
The questionnaire included the following information:
-
Type of studies: major (EnvEng, CivEng), type of study—full-time (FTS)/part-time (PTS);
-
Gender of the person surveyed: male, female;
-
Place of residence: city (Liv-C), suburbs (Liv-S), village (Liv-V);
-
Opinion of the person surveyed about the landscape:
What do you think determines our perception of the landscape in urban areas? Interesting architecture (LU-arch), diversity in building types (LU-build), greenery (LU-green), new functions (LU-newf), building density (LU-dens), roads (LU-road)—multiple choices were accepted;
What do you think determines our perception of the landscape in rural areas? Building tradition (LV-btrad), diversity in building types (LV-build), agricultural function (LV-agric), new functions (LV-newf)—multiple choices were accepted;
Do you think that green areas are important for city dwellers? Extremely important (GA-ext), very important (GA-very), moderately important (GA-mod), not very important (GA-notver), negligible (GA-neg)—single choice questionnaire question;
Do you consider the landscape in your area to be harmonious? Yes (PL-harm)/no (PL-nonh)—single choice questionnaire question;
The questionnaire also included three types of individual descriptions:
-
Example of a harmonious landscape—a photograph with a description
Location: city (LH-C), suburbs (LH-S), village (LH-V)—single choice questionnaire question;
Character of the place: historic (LH-hist)/contemporary (LH-cont), built-up (LH-build)/undeveloped (LH-open), unique (LH-uniq)/common (LH-comm)—multiple choices were accepted;
Mention up to five features of the selected harmonious landscape.
-
Example of a degraded landscape—a photograph with a description
Location: city (LD-C), suburbs (LD-S), village (LD-V); single choice questionnaire question;
Character of the place: historical (LD-hist)/contemporary (LD-cont), built-up (LD-build)/undeveloped (LD-open), unique (LD-uniq)/common (LD-comm)—multiple choices were accepted;
Mention up to five features of the selected degraded landscape.
-
What do you think can be done to repair a degraded landscape to restore harmony? give up to three examples.
In relation to individual descriptions, it was recommended to take photographs of a harmonious and a degraded landscape and include them in the questionnaire. Each photo was accompanied by a simple description based on the assumptions of the survey. The geographical spectrum of the descriptions was not limited. The only initial assumption was that the descriptions had to refer to landscapes personally seen and known to the respondents. The aim was to obtain descriptions based on personal contact with the environment, excluding the possibility of relying only on the first impression, e.g., an analysis of a randomly selected photograph. It was supposed to be based on full landscape perception using all senses. In this way, a modified methodical approach was suggested in relation to the most common analyses exclusively based on impressions made by photos [13,14,15,37], which are merely a partial reflection of the landscape. This requirement was intended to eliminate the subjectivism typical of the standard procedure, which resulted from the photographer’s technical proficiency or the need to pre-select the photographs.
The results of the research were statistically analyzed using the software StatSoft Statistica 13.1 (TIBCO, 3307 Hillview Avenue, Palo Alto, CA, USA). The basic statistics were shown for the whole population and samples were divided into categories using the following factors as independent variables:
-
Year of survey;
-
Gender of the people surveyed;
-
Place of residence of the people surveyed;
-
Subject and type of study;
And as dependent variables:
-
Perception of the landscape of their place of residence;
-
Selection of the significance of the size of the place for the quality of life;
-
Selection of an optimum place to live;
-
Opinions of the person surveyed regarding the landscape;
-
Individual descriptions of harmonious and degraded landscapes.
The correlations between the factors were calculated with the significance threshold set at p < 0.01. The following analyses were made both for EnvEng and CivEng students combined, as well as for these two groups separately.
Moreover, data regarding the quality assessment of harmonious and degraded landscapes by male and female students were analyzed, including their place of residence, and compared with the most common descriptions for both types of landscapes. The analysis was performed using cluster analysis (MCA), because this method makes it possible to assign objects to individual classes (clusters) that contain objects that are the most similar to each other [8]. Before this type of analysis no assumptions are made about the distribution of variables, and the number of classes to which the objects belong is not known a priori. The most popular grouping methods include hierarchical methods, which are also best developed in terms of methodology. These methods make it possible to obtain a complete hierarchy of clusters characterized by a monotonically increasing similarity factor. In hierarchical methods, agglomeration procedures (iterative ones, characterized by pre-assumed metrics, for example: nearest neighborhood, furthest neighborhood, median, group average, center of gravity) and division procedures can be used to build clusters. Cluster analysis makes it possible to graphically present results in the form of a dendrogram—a connection tree [38,39] and a map grouping the objects and characteristics of a particular phenomenon. This approach makes it possible to interpret the spatial relations between the clusters and to create a classification of landscape characteristics [40,41].
For the purpose of this study, based on the map grouping the objects and on the characteristics, a classification of the assessment of harmonious and degraded landscapes and possible remedial actions was created depending on the place of residence of the men and women participating in the study. The following analyses were made both for EnvEng and CivEng students combined, as well as and for these two groups separately. After the strength of connections between the objects and characteristics was determined, a division into five classes (the harmonious landscape and the degraded landscape) or six classes (possibilities of repairs) was obtained, based on the scale presented in Table 2. In each case, Class I has the smallest strength of connections and this strength increases with the number of the class.
Table 2. Classification of the assessment of the harmonious landscape, the degraded landscape and the possibility of remedial actions.

3. Results

3.1. Demographic Distribution

The University is a regional unit of higher education with full academic rights. Its students come mainly from the Lubusz region, and the number of students from neighboring regions is much smaller. From the other groups, based on the place of permanent residence, up to 5% come from more distant regions of Poland and from other countries. The foreign students either participate in the whole educational process or use the Erasmus+, Most or Mostech student exchange programs. The Lubusz region is characterized by a large area of forests—51.0% of the total area—and agricultural land—40.6% of the total area; the presence of two cities with a population of over 120,000 residents, four towns with a population of 20–40 thousand residents and 38 smaller ones, with about 64.9% of the population [42], was reflected by the spectrum of the people surveyed, based on the place of residence: 169 from cities (61.2%), 33 from suburbs and 71 from villages (38.8% in total). At the two technical courses there was a different gender structure: among the civil engineering students men accounted for 70% and women for 30%, whereas among the environmental engineering students 41% were men and 59% were women. In the final year of the first-level course, there was a similar interest in full-time and part-time studies—135 and 139 students, respectively.

3.2. Analysis of Individual Descriptions

The students used a wide range of key words to describe landscape situations: 27 to describe the harmonious landscape; 33 to describe the degraded landscape; and 31 to describe possibilities of improving the existing situation (Table 3). Nevertheless, it was found that just a few terms had been used in the group descriptions: five to describe the harmonious landscape (used by 39–58% of the respondents), four to describe the degraded landscape (used by 44–50% of the respondents) and five to describe possibilities of improving the existing situation (used by 31–57% of the respondents). Among the 10 most frequently used terms that appeared in particular in the descriptions of the natural landscape, words with positive (e.g., harmony, order, aesthetics, cleanliness, peace, rest, attractiveness) or neutral connotations (e.g., naturalness, greenery, architecture, water, colors) were used. The degraded landscape was described with definitely negative words (e.g., pollution, disorder, degradation, neglect, chaos), but sometimes also with neutral ones (e.g., anthropogenic, buildings, colors, unification).
Table 3. Number of people who mentioned individual landscape characteristics and methods for improving the degraded landscape (EnvEng and CivEng students combined, n = 244).
The typical harmonious landscape described by the students was usually found in rural and forest areas (59.9% of selections), in modern areas (80.3% of selections), in open areas (73.7% of selections) and one typical of the region described (66.8%) (Figure 1). In terms of the development of the area, there was a difference between the civil engineering students, 40% of whom were of the opinion that a built-up area could be harmonious, and the environmental engineering students, only 24.6% of whom shared this opinion in the questionnaires. A number of strongly significant correlations (at p < 0.01) were found between the characteristics described (Table 4). The majority of them described the opposite positions of urban and open landscapes, even when they were perceived as harmonious ones (LH-C_LH-V, LH-C_LH-open negative correlations). The open landscapes were expected to be located in the village area (LH-open_LH-V positive correlation), and unique landscapes were largely identified with historic ones (LH-unique_LH-hist positive correlation).
Figure 1. Characteristics of the harmonious landscape selected for description by the students (EnvEng and CivEng students combined, n = 244).
Table 4. Comparison of highly significant correlations (p > 0.01) between individual characteristics of the harmonious and the degraded landscapes (EnvEng and CivEng students combined, n = 244).
The students’ descriptions of the degraded landscape varied depending on location (45.6% of agricultural and forest areas and 36.5% of urban areas), but they were relatively uniform in terms of other basic characteristics: modern areas were selected by 87.2% of the students, followed by built-up areas (63.9%) and areas typical of the region described (84.7%) (Figure 2). In this case, the selections made by the civil engineering students and the environmental engineering students were very similar.
Figure 2. Characteristics of the degraded landscape selected for description by the students (EnvEng and CivEng students combined, n = 244).
A number of strongly significant correlations (at p < 0.01) were found between the characteristics described (Table 4). The degraded landscapes have been identified the same way as harmonious ones (LD-C_LD-V, LD-C_LD-open, LD-V_LD-built negative correlations and LD-C_LD-built, LD-V_LD-open positive correlations).

3.3. Analysis of Landscape Assessments

The following elements in the urban environment were regarded by the students as the most important characteristics of the landscape that were decisive for its perception by observers: interesting architecture (59.1%), shaped greenery (50.7%) and roads (44.5%), and to a lesser extent also the density of buildings, new land functions and diversity in building types (Figure 3). The civil engineering students, also educated in architecture, perceived interesting architecture, shaped greenery and roads as more important (76.7%, 60.0% and 56.7% of answers, respectively) than did the environmental engineering students—technologists and installers (57.0%, 49.6% and 43.0% of answers, respectively). Additionally, in other elements the difference between students was noted—the higher indices were in the group of civil engineers.
Figure 3. Characteristics determining the perception of the urban landscape (EnvEng and CivEng students combined, n = 244).
A number of strongly significant correlations (at p < 0.01) were found between the characteristics described (Table 5). Urban architecture as a decisive factor in the perception of the city was strongly associated with the construction of green areas (LU-arch_LU-green positive correlation). On the other hand, however, there was a change in the students’ approach to urban features in the following years of analysis (LU-arch_year, LU-road_year positive correlations).
Table 5. Comparison of highly significant correlations (p > 0.01) between individual characteristics determining the perception of the urban and the rural landscapes (EnvEng and CivEng students combined, n = 244).
The following elements in the rural environment were regarded by the students as the most important characteristics of the landscape, decisive for its perception by observers: agricultural function (75.9%) and traditional buildings (59.1%), and to a lesser extent diversity in building types, and marginally also the new functionality of the areas (Figure 4). In the case of the rural landscape, dominated in Poland by the presence of arable fields, this element was noticed as dominant by 76.7% of the civil engineering students and by 75.8% of the environmental engineering students. The construction engineering tradition was ranked as second in importance. The diversity of building types and new land functions were mentioned relatively rarely. Only the indication of new functions showed different characteristics among students of the two courses (indications of 20.0% of civil engineers and 11.1% of environmental engineers).
Figure 4. Characteristics determining the perception of the rural landscape (EnvEng and CivEng students combined, n = 244).
A number of strongly significant correlations (at p < 0.01) were found between the characteristics described (Table 5). However, it should be noted in this case that the correlation indicators have relatively low values. The negative correlations were noted between the indices related to buildings (LV-build_LV-btrad, LV-btrad_LV-newf), but they were positive between the traditional objects and building density (LV-btrad_LV-dens). It should be noted that the students’ observation on how the new functions coexist with traditional agriculture had a negative correlation (LV-agric_LV-newf).
Among other factors determining the quality of the place of residence were: the availability of services (15), peace and quiet (14), rest and relaxation (10), low traffic density (7) and cleanliness (5). Some individuals mentioned the proximity of the workplace (2), sentiment (2), architecture (1), social integration (1) and the cost of housing (1).
According to 90.9% of the respondents (on average), residents regarded urban greenery as important or very important. It is noteworthy that there were very few answers that it was of little importance (1.1%) and no answers that the issue was insignificant. 8.0% of the respondents rated the importance of greenery as average (Figure 5). The indication "extremely important" was selected by 66.7% of the civil engineering students and by 49.6% of the environmental engineering students. At the same time, it should be noted that if we also take into account the indication "very important", the statistics show (respectively) 86.7% and 91.4%.
Figure 5. Opinion of the respondents on the perception of greenery by city inhabitants (EnvEng and CivEng students combined).
Only a few strongly significant correlations (at p < 0.01) were found between the characteristics described (Table 6). The first choice index (extremely important, GA-very) was chosen dependently on the form of study (negative correlation with FTS, positive with PTS). The second one (very important, GA-big) was dependent on the student’s place of residence (negative correlation with Liv-V, positive with Liv-C). An unexpectedly negative indicator correlated a moderate importance of green areas (GA-mid) with urban green areas (LU-green).
Table 6. Comparison of highly significant correlations (p > 0.01) between the individual perception of greenery by city inhabitants and other characteristics (EnvEng and CivEng students combined, n = 244).
A majority of the respondents were satisfied with the landscape of their place of residence and 69.3% of them gave a positive answer (Figure 6). No significant correlations were found between the answers of the respondents and other characteristics. Some additional information about the students’ observations and expectations related to the place of residents show as important position of proximity to the park or forest, greenery quantity and some localization issues (see the Supplementary Material).
Figure 6. General assessment of the respondents of the landscape at their place of residence (EnvEng and CivEng students combined, n = 244).

3.4. Cluster Analysis

The cluster analysis of results obtained was conducted using two individual tools—grouping of objects and classification of the assessment. The analytical results were graphically presented on Figure 7, Figure 8, Figure 9, Figure 10, Figure 11, Figure 12, Figure 13 and Figure 14. For the following characteristics the connection trees (dendrograms) were drawn, which made it possible to link objects to each other and present a clear structure of objects similar to each other reflected by separate branches. In the dendrograms at each node where a new cluster was created, the distance was defined at which particular objects were linked together to form a single cluster. In the case of the analyses presented in this study, this distance was determined as a Euclidean distance (a geometric distance in multidimensional space). The following figures there have been presented the results of the grouping of objects and characteristics carried out in order to identify clusters of respondents who are similar in terms of their assessment of the harmonious and the degraded landscapes and the method for identifying activities aimed at improving the degraded landscape. The resulting chart illustrates the hierarchical structure of a set of objects arranged according to the decreasing similarity between them. After the analysis of the results in the form of connection trees and maps that group objects and their characteristics, we can conclude that:
Figure 7. Grouping of the assessment indicators of the harmonious landscape (EnvEng and CivEng students combined, n = 244).
Figure 8. Standardized assessment of the harmonious landscape with respect to the five most common characteristics depending on the gender and place of residence (EnvEng and CivEng students combined, n = 244).
Figure 9. Grouping of the assessment indicators of the degraded landscape (EnvEng and CivEng students combined, n = 244).
Figure 10. Standardized assessment of the degraded landscape with respect to the five most common characteristics depending on the gender and place of residence. (EnvEng and CivEng students combined, n = 244).
Figure 11. Grouping of the assessment indicators of possible actions aimed at improving the landscape (EnvEng and CivEng students combined, n = 244).
Figure 12. Standardized assessment of possible actions aimed at improving the landscape in relation to the five most common features depending on the gender and place of residence (EnvEng and CivEng students combined, n = 244).
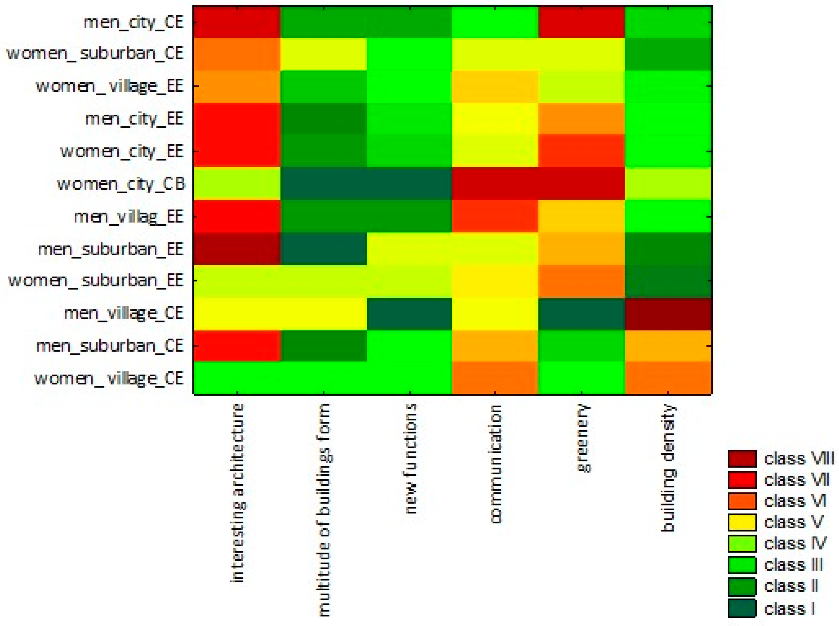
Figure 13. Grouping of characteristics in the perception of the urban landscape (EnvEng and CivEng students combined, n = 244).
Figure 14. Perception of the urban landscape depending on the field of study, gender and place of residence (EnvEng and CivEng students combined, n = 244).
-
Using the agglomeration procedure to create the clusters presented in the dendrograms, the following clusters were obtained:
In the case of the harmonious landscape, the set was divided into two classes (Figure 7). The classes obtained were Class I (naturalness + harmony) and Class II (greenery + order + aesthetics);
In the case of the degraded landscape, one class was obtained that combined all characteristics (pollution + disorder + anthropogenic + degradation + lack of green). However, when analyzing the dendrogram, it can be noted that at the first step of the algorithm there was a class constructed of the characteristics: disorder and anthropogenic (Figure 9);
In the case of the classification of actions aimed at improving the landscape, two classes can be distinguished (Figure 11): Class I (treatment + development + reclamation + reconstruction) and Class II (greenery). Also in this classification, at the first step of the algorithm there was a class consisting of two characteristics: purification + management. This means that these two characteristics are closest to each other in terms of the Euclidean distance, i.e., in their answers the respondents often combined purification and management as activities improving the landscape.
-
As a result of the grouping of characteristics and objects the following relations were determined:
In the case of the harmonious landscape for men and women living in all areas (with the exception of women living in cities and suburban areas), the most important feature was harmony, and the least important features for all respondents regardless of their gender and place of residence were order and aesthetics;
In the case of the degraded landscape for all respondents, the most important feature in their assessment was pollution and, to a lesser extent, degradation, while the least important feature was the lack of greenery. Men living in suburban areas mentioned two important features: disorder and anthropogenic changes in the landscape;
For men and women living in cities and for women living in the country, the most important action that could be taken to improve the landscape was the introduction of greenery, while for men and women from suburban areas it was reclamation. Other remedial actions gained little recognition in all surveyed groups.
Characteristics and objects were also arranged in groups to analyze the relationship between urban landscape perception depending on the field of study, gender and place of residence. In terms of the field of study, the greatest differences could be seen in the perception of building density. This was a decisive element for the students of civil engineering, but not very significant for the students of environmental engineering. However, greenery was a more important feature for the students of environmental engineering than for the students of civil engineering. Interesting architecture received a similar assessment from the students of both fields of study, who placed it on the highest level in the hierarchy of characteristics affecting the perception of the landscape. Diversity in building types and new functions also received a similar assessment, but these two elements were considered to have little impact on the perception of the landscape. The analysis of the results presented in Figure 13 as a dendrogram indicates that the respondents combined characteristics into two main clusters: (1) interesting architecture, greenery, communication and diversity in building types; and (2) a multitude of building forms and new functions.

4. Discussion

The European Landscape Convention stipulates that individual countries will implement instruments into the education system, also in higher education, to educate specialists in the field of landscape protection. The aim is to identify landscapes and characterize them, and to indicate changes and mechanisms of anthropogenic impact on them, as well as estimating the value of individual landscapes [10]. At present, the students of environmental engineering and civil engineering at the University are not sufficiently taught about landscape issues (Table 1). Even in the relatively large group of natural sciences included in the syllabus of environmental engineering there is no reference to this topic.
As part of their research, the students of environmental engineering and civil engineering defined positive landscape characteristics using the standard concepts of environmental protection. This approach to the phenomena occurring in the environment is based on biological and ecological education and is shaped by the media and activities of local environmental organizations. Especially the latter factor is important for the present young generation in Poland, which is socially active. The vast majority of characteristics of the harmonious landscape, such as naturalness, harmony, greenery, cleanliness, order and aesthetics, indicate a simple approach to this problem. The characteristics that could suggest the impact of technical knowledge acquired during technical studies on landscape perception, such as architecture, colors, functionality, openness, dynamism, communication, infrastructure, security, and building homogeneity, were much less frequently mentioned. In this case, the analysis of the dendrograms indicates that in their descriptions the respondents combined naturalness and harmony, and in another group order and aesthetics were combined with greenery. The assessment of the degraded landscape also turned out to be based on the standard approach to this issue and was characterized by frequent use of the terms disorder, lack of greenery, pollution and degradation. It is surprising that the students of technical sciences, educated in construction and installation, ranked highly in their descriptions anthropogenic impact and the presence of buildings as negative landscape characteristics. Some of the respondents tried to specify in a more advanced way negative landscape characteristics by describing the effects and possible causes of the existing situation, including: neglect, chaos, devastation of buildings, colors, litter, unification, lack of pavements, insufficient greenery, artificiality, durability of changes, lack of water and lack of animals. The vocabulary used by the students to describe landscape phenomena could be regarded as typical and even described in the literature as expected. Leibenath and Otto [43] indicated that in professional discussions traditional landscape terms were used, such as: beauty, recreation, cohesion, cleanliness, conservation, nature and rural areas, which, according to the authors, were in contrast with: city, pollution, factory, highway, devastation, fragmentation and noise. It was also noted that the students tended to mention neatness, aesthetics, the presence of trees and naturalness as characteristics of a well-shaped landscape [15].
In the descriptions of methods that could be used to improve the situations regarded by the respondents as faulty, the prevalent opinion was that greenery and purification were the best activities regardless of the present condition of the degraded areas. Subsequent answers seem to be a combination of information obtained during education, since concepts such as reconstruction, reclamation, management, renovation, revitalization, ordering or naturalization are often used in environmental engineering and in civil engineering. An interesting point to be considered is that the students relatively rarely mentioned the problem of legal regulations and principles of social life illustrated by such concepts as restrictions, monitoring, awareness, waste management, emission reduction and care for greenery. Only eight people used the phrase "lack of possibilities", previously mentioning currently operating large industrial plants as degraded areas. It can be clearly seen that by indicating the possibility of introducing changes, based on the agglomeration procedure used to classify activities, the respondents pointed to cleansing and management as joint remedial actions. Leibenath and Otto [43] noted that in terms of cultural landscapes, frequently used phrases are: development, reclamation, and spatial management. According to the authors, in this case individual opinions of professionals in their discussion of landscape phenomena depend on crucial regional or local problems that need to be solved—including the problem of the impact of wind turbines and opencast mines on the landscape. Landscape degradation and the need to protect it and (if needed) reclaim it are more and more often breaking into people’s mentality. Nevertheless, many of them still associate these elements with soil, agricultural production and problems with the chemical state of the environment. This applies especially to rural communities living off agricultural production [44].
The abovementioned comparisons show that the division into a well-shaped natural landscape and a malformed anthropogenic landscape is deeply rooted in the perception of the world of the technical science students who participated in the survey.
However, the analysis of this information leads to the conclusion that the civil engineering students, also educated in architecture, perceived shaped greenery as more important than did the environmental engineering students—technologists and installers. The importance of the vegetation in an area as a decisive factor determining the positive perception of its landscape was confirmed by Wang et al. [18] and Konkoly-Gyuró [12]. In particular, the presence of forests and large urban parks is described as an important landscape-forming factor that is perceived visually as a definitely positive element [18]. However, some authors point out that people may have pre-coded expectations of landscapes. Cities are expected to have cultural landscapes with historical traditions, whereas the countryside is expected to have agricultural and natural landscapes that fulfill economic, recreational and aesthetic functions [35,45]. Some people, recognizing the great importance of greenery (55.4–68.2% of respondents), identify strongly with their place on earth as well—despite the disadvantages of greenery [46]. The paradigm about the high quality of natural landscapes, consistent with the idea of ecology, is typical of observers with a higher education [16]. However, the literature describes the differences in the description of spatial reality by the architecture students and the civil engineering students that result from the different artistic foundations of the syllabi [5]. It was also noted that there are differences between the students of natural, social, agricultural and technical sciences who prefer nature—the students of natural, forest and agricultural sciences—or those who prefer shaped landscapes—the students of economics, history, pedagogy, psychology, architecture, gardening and landscape architecture [15]. Similar differences were found between the surveyed students of civil engineering and environmental engineering.
These results, based on the students’ opinions, poorly correspond with the undoubtedly true thesis that engineering and technical activities may sometimes have a destructive impact on the landscape but sometimes they may also shape its beauty. In only a few questionnaires all types of construction objects were mentioned (including historical and modern buildings as well as bridges, viaducts and windmills) as interesting, beautiful, enriching the landscape or introducing dynamism. Engineering structures, especially industrial buildings and roads, were clearly regarded as a negative anthropogenic impact on the landscape. In the literature, it is possible to find opinions that buildings are an element that especially attracts the attention of the less-advanced landscape observers [29]. However, this does not mean that experts regard them as a minor element. Area development was mentioned in the studies of Konkoly-Gyuró [12] as the second most important landscape-forming factor, which is in contrast to this study. The role of buildings was more often associated with the tradition of past centuries—landmarks and cultural heritage. However, it should be noted that the cited surveys were conducted near the French–German-border in a different age and professional group—experts over 40 years of age. Moreover, the existence of buildings was not clearly assessed in this case, but it was only noted that it made an important contribution to the perception of the landscape. Some engineering structures, for example wind turbines, arouse mixed feelings in communities, but are often the subject mentioned in discussions about the landscape [20,43]. Overhead transmission grids, masts and wastelands are also regarded as negative elements [47]. Based on the results of the students’ assessments (positive and negative) presented in this paper, it can be stated that engineering structures were also assessed as an important element, although not always having a positive impact on landscapes.
Other analyses also indicated that students had problems with advanced landscape perception, including the aesthetics of the environment [21,29]. They appear especially in assessments of mixed landscapes, which connect the natural environment with buildings [18,48]. Sometimes, it is noted that the positive perception of the landscape is connected with the presence of spectacular forms that make it more dynamic and interesting. The common landscape with little variation is usually perceived as less attractive [24]. The sense of beauty as such cannot be learned [27]. However, according to the authors, it is possible to show the students different aspects of the landscape, based on various theories, analyses and observations. In particular, a practical approach to education, aimed at showing real examples, discussions and solutions to problems, can improve the students’ perception of the landscape [31].
About 59.1% of the surveyed students recognized architecture, and especially unique architecture in terms of appearance and history, as an important element improving the urban landscape. About 44.5% indicated roads as another one of the decisive elements shaping the landscape in cities. Complex elements in terms of perception, such as the density of buildings, new functions of areas and diversity in building types, were mentioned much less frequently. Buildings were also considered to be an important element of the rural landscape (59.1%), which is confirmed by the results obtained in 14 European countries [36]. Konkoly-Gyuró [12] obtained similar results from 13% of her respondents. In this case, the surveyed experts also mentioned the condition of this type of architecture, and 25% of them said that this was a very important landscape-forming element. The presence of historical monuments, towers and village buildings was also noticed as an important landscape element by inhabitants of villages near Warsaw [49] and a few municipalities in Lombardy region, Italy [50]. In the aspects discussed, the answers given by the civil engineering students were different from the answers given by the environmental engineering students. The former much more often regarded architectural elements as important for the urban landscape (76.7% vs. 57.0%, respectively). Garip and Garip [5] described the differences in the reception of the architecture of modern buildings by the students of architecture and civil engineering. Their studies showed that although in general the representatives of these disciplines often used similar terms, it was possible to notice that the architects focused on the aesthetics of objects and the civil engineers on structural complexity. The selection of such a hierarchy of rural landscape components with the agricultural function of the area as a decisive element in perception is present in the literature describing European countries [35,36]. The mosaic layout of fields, the domination of agricultural fields, green linear patterns and historical buildings are the main elements. This is the standard perception of the countryside, which is typical of farmers and tourists who want contact with the traditional countryside [13,14,37,51,52]. Sayadi et al. [53] also stated that people aged 18–25 and people with a higher education had more appreciation for the agricultural landscape. In the literature there is mention of a good perception of meadows and pastures [37,50,51], as well as landscapes where agricultural areas are mixed with forests and tree lines [54], lakes and even urban areas [13]. In view of the respondents’ place of residence—25.9% lived in rural areas and next 24.9% in small cities—with the presence of 40.4% of agricultural land in the total area of the region [42], this approach was expected. It should also be noted that people tend to get used to familiar landscapes to such an extent that they cease to respond to their dynamics and variability [51]. A positive human–landscape interaction, effecting the creation of harmonious and pretty complex landscapes, can be a key factor to acceptance of space by the locals and people from outside the rural areas [51,52]. The effect of promoting harmonious agricultural landscapes and nature among urban population shows an increasing tendency [50].
The students’ perception of the landscape is most frequently characterized by relatively little experience, since the school education system and the system of values learned at home usually ignore this aspect. The research shows that respondents rather point to the relatively simple biological features of ecosystems, showing a clear difficulty in moving to the much more complex concepts of landscape ecology. To change this, it is necessary to redefine the paradigm of environmental education and sciences, with a clear indication of the need for an interdisciplinary approach [55]. Moreover, Poland as a Central European country is characterized by the prevalence of landscape transformations that disturb the current perception of the environment. Since the students do not usually have a broad comparative spectrum, most of them perceive the landscape as shaped properly. This can be seen in the answers given by the respondents, as 70% of them say that the landscape in their place of residence is harmonious. In this aspect of the analysis, 68.4% of the environmental engineering students and 76.7% of the civil engineering students gave a positive answer. Such a high percentage of positive responses was confirmed by literature data showing the respondents’ good approach to their “small homelands”, regardless of the individual construction of the landscape [46].
Based on the data obtained in this study, it can be concluded that the ability of the environmental engineering and civil engineering students for independent advanced interpretation of the landscape was based on standard patterns, which is also confirmed in the literature [16]. The reasons for this state of affairs could be found in school education, which is based on classroom education with minimum practical contact between the pupils and nature. Many authors have indicated that practical elements play the key role in educating people about the environment [22,23,27,56,57,58]. Creativity is equally important, because it provides the ability to make complex assessments and to have a flexible approach to specific problems [59]. By adopting different methods for teaching both pupils and students, it is possible to change their attitude to acquiring knowledge as well as solving real landscape problems [24]. Nevertheless, many initial activities are necessary to prepare pupils [23] and students [32] for more active work. A related method is used at the University during project classes in the field of environmental engineering and civil engineering. Unfortunately, this is not a continuation of the previous methods used in primary and secondary schools. For this reason, this is the first time most of the students have worked in teams on complex problems. The University’s experience also indicates that the key motivating factors for the students are their expectations of the labor market, which stimulate them to focus in particular on the aspects important for prospective employers.
The truth of the assumption that the progress of students working in a new, stimulating system should be connected with the importance of particular subjects in the whole syllabus was confirmed by other analyses [32]. However, this results in narrowing the scope of education in a particular field [59]. Muller and Flohr [9] suggested adding global aspects to education about shaping the environment during Engineer’s and Master’s studies in architecture, landscape architecture and spatial planning. At the same time, they suggested confronting university education with the external environment. This was done as voluntary public presentations, also for professional planners and designers. They also pointed out that the students showed little interest in the suggestion, although the ones who made the presentations achieved much better results than the other students. The analysis of the student seminars at the University shows that the student’s attitudes are very similar. However, it is necessary to confront the skills that the students acquired during the course with real-life situations to provide proper landscape education [59]. Undoubtedly, work should be continued on this element of education.

5. Conclusions and Perspectives for Further Research

5.1. Conclusions

Now is the time when changes are necessary in the education of the students of engineering and technical sciences about landscape. Without a new approach, aimed at extending the students’ awareness of the impact of their actions on space, it will be impossible to implement the provisions of the European Landscape Convention, which specifies the need for a conscious, multi-level action to protect natural and cultural landscapes [10].
The way in which the environmental engineering and civil engineering students perceive the landscape is strongly influenced by their earlier education in natural sciences. Focusing in educational syllabi on narrow practical aspects related to planning, designing and supervising construction projects does not contribute to changing stereotypes in this area. In the case of the civil and environmental engineering students at the University, education in landscape perception is included in a module with only three ECTS points. Moreover, the educational content included in the natural science module concerns not so much landscape education as nature conservation or microbiological engineering. As a result, the students are taught to understand phenomena and processes in a manner typical for biological sciences. The students look for explanations of these phenomena at a high level of detail with no interest in complex ecological and spatial aspects. The students of applied sciences, whose future activities will affect the shape of the environment, should be able to notice problems on various levels, including issues related to the landscape.
In their perception of the landscapes the students combine several assessment categories—naturalness and harmony, greenery, order and aesthetics, anthropogenic impact, pollution, disorder, degradation and the lack of greenery, cleaning, development, reclamation and reconstruction. As a result, they tend to trivialize landscape issues that obviously have an impact on a number of other complex elements. Construction and installation activities as such have an impact on the shape, and sometimes also on the perception of space. Therefore, the quality of education in the abovementioned fields of study determines whether different elements will fit well into the environment, for which civil engineering and environmental engineering graduates will be responsible.
Education in the field of civil engineering, which includes architectural issues as well as a wide range of problems related to construction, develops the ability to perceive architectural objects as important elements in landscape perception. In this group of respondents, shaped greenery is also regarded as an important landscape-forming element. The environmental engineers focus on environmental techniques and technologies and express opinions that a clean, natural environment is both the most important element and the objective of their future professional work.
Studies have shown that human impact is not regarded as causing positive changes in the landscape, which should be pointed out as disturbing since the students of technical sciences will create these changes in their future work. This stands in clear contradiction with the assumption that the graduates of civil engineering and environmental engineering will be aware and understand the importance of non-technical aspects and effects of engineering activities, including their impact on the environment. The graduates should correctly understand the role of humans as the creators and implementers of the idea of sustainable development and use of space to properly fill their roles in society. These include providing the public with verified information and relevant opinions on the achievements and other aspects of engineering activities.
The contemporary system of education in Poland at the following levels assumes the implementation of precisely defined core curricula narrowed to the specificity of given classes. Studies have shown that the effect of this approach to education is unsatisfactory. The result of this conclusion should be a change in the education paradigm towards the possible closest combination of content from various fields. It would be closer to the realities found in the world. It would give the opportunity to introduce landscape information for various analyses carried out by teachers, pupils and students during the education processes also.

5.2. Perspectives for Further Research

Landscape perception is the result of a combination of objectively existing landscape-forming elements and subjective impressions. The latter group of characteristics is subject to numerous external factors and changes depending on the growing level of education, wider exchange of ideas with other people, journeys, or behavioral changes occurring with age. In terms of shaping human views on the landscape, it would be important to take into account the significance of the impact of particular factors on the variability in this area. In the literature it is possible to find general analyses of the impact of changing expectations of people of different ages on landscape perception. However, there are no studies focused on groups of people with a specific education. How it affects landscape cognition and the introduction of integrated education combining content from different disciplines could also be investigated. Even in the fields of mathematics or physics, it would be possible to conduct analyses on real environmental objects. In Poland, at the primary education level, geography and biology have been combined into a block of environmental classes. It would be a good idea to carry out analyses in relation to the further extension of education integration. It would be particularly interesting to analyze to what extent young people share their teachers’ ideas at subsequent levels of their educational process and whether it lasts over time. In this way it would be possible to show whether individual ideas, typical of the perception of landscape phenomena, undergo unification during the educational process, and if so, to what extent. From an international perspective, it would also be interesting to analyze whether observers from different countries tend to accept the opinions of teachers/experts about the landscape regardless of whether they are compatible or inconsistent with their previous personal views.

Supplementary Materials

The following are available online at https://www.mdpi.com/2073-445X/9/6/188/s1, Figure S1: Characteristics determining the perception of the place of residence (EnvEng and CivEng students combined, n = 244), Table S1: Share of responses of students regarding their relationship to the place of residence, in % (EnvEng and CivEng students combined, n = 244).

Author Contributions

Conceptualization, A.G.; methodology, A.G. and M.M.; investigation, A.G. and M.M.; writing—original draft preparation, A.G. and M.M.; writing—review and editing, A.G. and M.M.; visualization, A.G. and M.M.; supervision, A.G.; funding acquisition A.G. and M.M. All authors have read and agreed to the published version of the manuscript.

Funding

This research was funded by the Ministry of Science and Higher Education of the Republic of Poland, Project number 507-07-02-01.

Conflicts of Interest

The authors declare no conflict of interest.

References

  1. Nelson, E.; Sander, H.; Hawthorne, P.; Conte, M.; Ennaanay, D.; Wolny, S.; Manson, S.; Polasky, S. Projecting global land use change and its effects on ecosystem services provision and biodiversity with simple models. PLoS ONE 2010, 5, e14327. [Google Scholar] [CrossRef] [PubMed]
  2. Frélichova, J.; Fanta, J. Ecosystem service availability in view of long-term land-use changes: A regional case study in the Czech Republic. Ecosyst. Health Sustain. 2015, 1, 31. [Google Scholar] [CrossRef]
  3. UN. World Urbanization Prospects: The 2018 Revision. United Nations, Department of Economic and Social Affairs, Population Division. 2018. Available online: https://www.un.org/development/.../2018-revision-of-world-urbanization-prospects.html (accessed on 10 January 2019).
  4. UN. Population distribution, urbanization, internal migration and development: An international perspective. Department of Economic and Social Affairs, Population Division. United Nations Publication. ESA/P/WP/223. 2011. Available online: http://wedocs.unep.org/hamdle/20.500.11822/18920 (accessed on 10 January 2019).
  5. Garip, E.; Garip, B. Aesthetic evaluation differences between two interrelated disciplines: A comparative study on architecture and civil engineering students. Procedia Soc. Behav. Sci. 2012, 51, 533–540. [Google Scholar] [CrossRef]
  6. Greinert, A.; Drozdek, M.E. (Eds.) "Green" Zielona Góra—Strategy for the Development of Green Areas in the City of Zielona Góra; University of Zielona Gora Publishing House: Zielona Góra, Poland, 2015; p. 363. [Google Scholar]
  7. Barau, A.S.; Ludin, A.N.M. Intersection of Landscape, Anthropocene and Fourth Paradigm. Living Rev. Landsc. Res. 2012, 6, 1–30. [Google Scholar] [CrossRef][Green Version]
  8. Fisher, T. An education in geodesign. Landsc. Urban Plan. 2016, 156, 20–22. [Google Scholar] [CrossRef]
  9. Muller, B.; Flohr, T. A Geodesign approach to environmental design education: Framingthe pedagogy, evaluating the results. Landsc. Urban Plan. 2016, 156, 101–117. [Google Scholar] [CrossRef]
  10. ELC. European Landscape Convention. Florence, 20.10.2000, Council of Europe, European Treaty Series, No. 176. 2000. Available online: http://rm.coe.int/1680080621 (accessed on 10 March 2019).
  11. Kosieradzka, A.; Ludwig, B. Restoration of cultural landscapes in spatial planning. Civ. Environ. Eng. Rep. 2016, 1, 27–36. [Google Scholar] [CrossRef][Green Version]
  12. Konkoly-Gyuró, E. Conceptualisation and perception of the landscape and its changes in a transboundary area. A case study of the Southern German-French borderland. Land Use Policy 2018, 79, 556–574. [Google Scholar] [CrossRef]
  13. Kaltenborn, B.P.; Bjerke, T. Associations between environmental value orientations and landscape preferences. Landsc. Urban Plan. 2002, 59, 1–11. [Google Scholar] [CrossRef]
  14. Howley, P. Landscape aesthetics: Assessing the general publics’ preferences towards rural landscapes. Ecol. Econ. 2011, 72, 161–169. [Google Scholar] [CrossRef]
  15. Zheng, B.; Zhang, Y.; Chen, J. Preference to home landscape: Wildness or neatness? Landsc. Urban Plan. 2011, 99, 1–8. [Google Scholar] [CrossRef]
  16. Wang, R.; Zhao, J. Demographic groups’ differences in visual preference for vegetated landscapes in urban green space. Sustain. Cities Soc. 2017, 28, 350–357. [Google Scholar] [CrossRef]
  17. Bürgi, M.; Russell, E.W.B. Integrative methods to study landscape changes. Land Use Policy 2001, 18, 9–16. [Google Scholar] [CrossRef]
  18. Wang, R.; Zhao, J.; Liu, Z. Consensus in visual preferences: The effects of aesthetic quality and landscape types. Urban For. Urban Green. 2016, 20, 210–217. [Google Scholar] [CrossRef]
  19. Van Eetvelde, V.; Antrop, M. Indicators for assessing changing landscape character of cultural landscapes in Flanders (Belgium). Land Use Policy 2009, 26, 901–910. [Google Scholar] [CrossRef]
  20. Jenkins, V. Protecting the natural and cultural heritage of local landscapes: Finding substance in law and legal decision making. Land Use Policy 2018, 73, 73–83. [Google Scholar] [CrossRef]
  21. Danaci, H.M. Aesthetics in Cultural Landscape and Architectural Education. WCES 2014. Procedia Soc. Behav. Sci. 2015, 191, 190–195. [Google Scholar] [CrossRef]
  22. Wolsink, M. ‘Sustainable City’ requires ‘recognition’—The example of environmental education under pressure from the compact city. Land Use Policy 2016, 52, 174–180. [Google Scholar] [CrossRef]
  23. Seitamaa-Hakkarainen, P.; Kangas, K.; Raunio, A.M.; Viilo, M. Architecture Project: City Plan, Home and Users Children as Architects. The 5th Intercultural Arts Education Conference: Design Learning. Procedia Soc. Behav. Sci. 2012, 45, 21–31. [Google Scholar] [CrossRef]
  24. Mocior, E.; Kruse, M. Educational values and services of ecosystems and landscapes—An overview. Ecol. Indic. 2016, 60, 137–151. [Google Scholar] [CrossRef]
  25. Rodríguez Romero, E.J.; Sáenz de Tejada Granados, C.; Santo-Tomás Muro, R. Landscape Perception in Peri-Urban Areas: An Expert-Based Methodological Approach. Landsc. Online 2019, 75, 1–22. [Google Scholar] [CrossRef]
  26. Mahdavinejad, M.; Abedi, M. Community-oriented landscape design for sustainability in architecture and planning. 2011 International Conference on Green Buildings and Sustainable Cities. Procedia Eng. 2011, 21, 337–344. [Google Scholar] [CrossRef]
  27. Mahdavinejad, M.; Bahtooei, R.; Hosseinikia, S.M.; Bagheri, M.; Motlagh, A.A.; Farhat, F. Aesthetics and Architectural Education and Learning Process. Procedia Soc. Behav. Sci. 2014, 116, 4443–4448. [Google Scholar] [CrossRef][Green Version]
  28. Danaci, H.M. Architectural education and environmental aesthetics. ARTSEDU 2012. Procedia Soc. Behav. Sci. 2012, 51, 879–883. [Google Scholar] [CrossRef][Green Version]
  29. Dupont, L.; Antrop, M.; Van Eetvelde, V. Does landscape related expertise influence the visual perception of landscape photographs? Implications for participatory landscape planning and management. Landsc. Urban Plan. 2015, 141, 68–77. [Google Scholar] [CrossRef]
  30. Kuper, R. Evaluations of landscape preference, complexity, and coherence for designed digital landscape models. Landsc. Urban Plan. 2017, 157, 407–421. [Google Scholar] [CrossRef]
  31. Tzonis, A. A framework for architectural education. Front. Archit. Res. 2014, 3, 477–479. [Google Scholar] [CrossRef]
  32. Li, D.H.; Jiang, B.S.; Li, H.Y.; Liu, X.P. Design of Experiment Course “Computer-Aided Landscape Design” Based on Flipped Classroom. Comput. Aided Landsc. Des. 2016, 24, 234–240. [Google Scholar] [CrossRef]
  33. OECD. Revised field of science and technology (FOS) classification in the Frascati Manual. Working Party of National Experts on Science and Technology Indicators. Directorate for Science, Technology and Industry, Committee for Scientific and Technological Policy. DSTI/EAS/STP/NESTI(2006)19/FINAL. 2007. Available online: http://www.oecd.org/science/inno/3825147.pdf (accessed on 10 January 2019).
  34. Parasonis, J.; Jodko, A. Competence Model for the Architectural Engineering Professional. Procedia Eng. 2013, 57, 876–881. [Google Scholar] [CrossRef][Green Version]
  35. Müller, K.; Artner, A.; Knierim, A. Demographic changes and the demands on agricultural landscapes: Refl ections on a new research topic. Landsc. Online 2008, 9, 1–16. [Google Scholar] [CrossRef]
  36. Van Zanten, B.T.; Verburg, P.H.; Koetse, M.J.; van Beukering, P.J.H. Preferences for European agrarian landscapes: A meta-analysis of case studies. Landsc. Urban Plan. 2014, 132, 89–101. [Google Scholar] [CrossRef]
  37. Sang, A.O.; Tveit, M.S. Perceptions of stewardship in Norwegian agricultural landscapes. Land Use Policy 2013, 31, 557–564. [Google Scholar] [CrossRef]
  38. Carlier, J.; Moran, J. Landscape typology and ecological connectivity assessment to inform Greenway design. Sci. Total Environ. 2019, 651, 3241–3252. [Google Scholar] [CrossRef] [PubMed]
  39. Kiełkowska, J.; Tokarczyk-Dorociak, K.; Kazak, J.; Szewrański, S.; van Hoof, J. Urban adaptation to climate change plans and policies—The conceptual framework of a methodological approach. J. Ecol. Eng. 2018, 19, 50–62. [Google Scholar] [CrossRef]
  40. Atik, M.; Canay Işıklı, R.; Ortaçeşme, V. Clusters of landscape characters as a way of communication in characterisation: A study from side, Turkey. J. Environ. Manag. 2016, 182, 385–396. [Google Scholar] [CrossRef]
  41. Atik, M.; Canay Işıklı, R.; Ortaçeşme, V.; Yıldırım, E. Exploring a combination of objective and subjective assessment in landscape classification: Side case from Turkey. Appl. Geogr. 2017, 83, 130–140. [Google Scholar] [CrossRef]
  42. SO ZG. Statistical Yearbook of lubuskie voivodship. Statistical Office in Zielona Gora. 2018. Available online: https://zielonagora.stat.gov.pl/download/gfx/zielona-gora/defaultaktualnosci/752/4/14/1/rocznik.wojewodzki.pdf (accessed on 10 October 2019).
  43. Leibenath, M.; Otto, A. Local debates about ‘landscape’ as viewed by German regional planners: Results of a representative survey in a discourse-analytical framework. Land Use Policy 2013, 32, 366–374. [Google Scholar] [CrossRef]
  44. Pulido, J.; Bocco, G. Local Perception of Land Degradation in Developing Countries: A Simplified Analytical Framework of Driving Forces, Processes, Indicators and Coping Strategies. Living Rev. Landsc. Res. 2014, 8, 1–22. [Google Scholar] [CrossRef]
  45. Zhou, T.; Koomen, E.; van Leeuwen, E.S. Residents’ preferences for cultural services of the landscape along the urban-rural gradient. Urban For. Urban Green. 2018, 29, 131–141. [Google Scholar] [CrossRef]
  46. Priego, C.; Breuste, J.-H.; Rojas, J. Perception and Value of Nature in Urban Landscapes: A Comparative Analysis of Cities in Germany, Chile and Spain. Landsc. Online 2008, 7, 1–22. [Google Scholar] [CrossRef]
  47. Soini, K.; Pouta, E.; Salmiovirta, M.; Uusitalo, M.; Kivinen, T. Local residents’ perceptions of energy landscape: The case of transmission lines. Land Use Policy 2011, 28, 294–305. [Google Scholar] [CrossRef]
  48. Purcell, A.T.; Lamb, R.J. Landscape perception: An examination and empirical investigation of two central issues in the area. J. Environ. Manage. 1984, 19, 31–63. [Google Scholar]
  49. Kupidura, A.; Łuczewski, M.; Home, R.; Kupidura, P. Public perceptions of rural landscapes in land consolidation procedures in Poland. Land Use Policy 2014, 39, 313–319. [Google Scholar] [CrossRef]
  50. Mazzocchi, C.; Sali, G.; Ruggeri, G. Tourists’ Preferences for Alpine Pastures Maintenance. Landsc. Online 2019, 68, 1–18. [Google Scholar] [CrossRef][Green Version]
  51. Bacher, M.; Walde, J.; Pecher, C.; Tasser, E.; Tappeiner, U. Are interest groups different in the factors determining landscape preferences? Landsc. Online 2016, 47, 1–18. [Google Scholar] [CrossRef]
  52. Torquati, B.; Tempesta, T.; Vecchiato, D.; Venanzi, S.; Paffarini, C. The Value of Traditional Rural Landscape and Nature Protected Areas in Tourism Demand: A Study on Agritourists’ Preferences. Landsc. Online 2017, 53, 1–18. [Google Scholar] [CrossRef]
  53. Sayadi, S.; Gonzalex Roa, M.C.; Requenta, J.C. Ranking versus scale rating in conjoint analysis: Evaluating landscapes in mountainous regions in Southeastern Spain. Ecol. Econ. 2005, 55, 539–550. [Google Scholar] [CrossRef]
  54. Raatikainen, K. The Importance of Engaging Local People in Landscape Management—Experiences from an EU Project. Landsc. Online 2018, 57, 1–22. [Google Scholar] [CrossRef]
  55. Ferrari, I.; Ferrarini, A. From Ecosystem to Landscape Ecology: A Progression Calling for a Well-founded Research and Appropriate Disillusions. Landsc. Online 2008, 6, 1–12. [Google Scholar] [CrossRef]
  56. Ballantyne, R.; Packer, J. Introducing a fifth pedagogy: Experience-based strategies for facilitating learning in natural environments. Environ. Edu. Res. 2009, 15, 243–262. [Google Scholar] [CrossRef]
  57. Mannion, G.; Fenwick, A.; Lynch, J. Place-responsive pedagogy: Learning from teachers’ experiences of excursions in nature. Environ. Edu. Res. 2013, 19, 792–809. [Google Scholar] [CrossRef]
  58. Mrówczyńska, M.; Sztubecka, M.; Skiba, M.; Bazan-Krzywoszańska, A.; Bejga, P. The use of artificial intelligence as a tool supporting sustainable development local policy. Sustainability (Switzerland) 2019, 11, 4199. [Google Scholar] [CrossRef]
  59. Gazvoda, D. Characteristics of modern landscape architecture and its education. Landsc. Urban Plan. 2002, 60, 117–133. [Google Scholar] [CrossRef]

Article Metrics

Citations

Article Access Statistics

Multiple requests from the same IP address are counted as one view.