Translocation of Cd and Mn from Bark to Leaves in Willows on Contaminated Sediments: Delayed Budburst Is Related to High Mn Concentrations
Abstract
:1. Introduction
2. Results and Discussion
2.1. Soil Properties and Groundwater Levels
| Soil Type | Sandy Part, Dry | Clay Part, Dry | Clay Part, Wet | |
|---|---|---|---|---|
| Samples | 3 | 11 | 9 | |
| Clay | % | 11 (4) | 40 (7) | 45 (5) |
| Silt | 30 (10) | 52 (5) | 52 (3) | |
| Sand | 59 (14) | 8 (9) | 3 (3) | |
| TOC | 1.9 (2.4) | 3.6 (1.2) | 5.1 (1.2) | |
| CaCO3 | 8.4 (1.6) | 11.5 (2.6) | 12.5 (1.1) | |
| pH-H2O | (-) | 7.8 (0.2) | 7.5 (0.1) | 7.6 (0.1) |
| P | g/kg dry soil | 2.3 (0.6) | 3.5 (0.9) | 4.0 (0.8) |
| K | 3.5 (1.3) | 6.1 (1.3) | 7.7 (0.7) | |
| Ca | 38.9 (6.2) | 51.3 (7.5) | 59.1 (5.8) | |
| Mg | 2.2 (0.7) | 4.1 (0.9) | 5.2 (0.5) | |
| Cd | mg/kg dry soil | 3.6 (2.1) | 10.2 (4.4) | 13.0 (3.9) |
| Cu | 64 (47) | 131 (35) | 177 (45) | |
| Mn | 385 (106) | 606 (143) | 689 (81) | |
| Cr | 248 (154) | 388 (103) | 485 (120) | |
| Pb | 70 (41) | 119 (22) | 142 (25) | |
| Ni | 16 (7) | 30 (7) | 36 (4) | |
| Zn | 441 (280) | 848 (240) | 1077 (269) | |
| As | 8 (3) | 14 (3) | 18 (2) | |
| S | 495 (185) | 1895 (794) | 2502 (416) | |
| S (2005) | 873 (555) | 1459 (300) | 2232 (783) | |
| EC | µS/cm | 113 (57) | 460 (374) | 469 (242) |
| EC (2005) | 122 (29) | 176 (44) | 436 (432) | |
| SO4 (2005) | mg/kg dry soil | 77 (90) | 81 (119) | 342 (229) |




| Plot | 2003 | 2004 | 2005 | 2006 | ||||||||
|---|---|---|---|---|---|---|---|---|---|---|---|---|
| amp | min | max | amp | min | max | amp | min | max | amp | min | max | |
| 1 | −1.57 | <−2.84 | −1.87 | <−2.84 | −2.74 | <−2.84 | −2.24 | <−2.84 | ||||
| 2 | 1.12 | −0.50 | −1.62 | 1.29 | −0.60 | −1.89 | 1.30 | −0.61 | −1.91 | 1.34 | −0.43 | −1.77 |
| 3 | 1.10 | −0.02 | −1.12 | 1.19 | −0.07 | −1.26 | 1.31 | 0.12 | −1.19 | |||
| 4 | 0.74 | −0.10 | −0.84 | 0.49 | −0.20 | −0.69 | 0.44 | −0.33 | −0.77 | 0.58 | −0.31 | −0.89 |
| 5 | 0.69 | −0.03 | −0.72 | 0.88 | −0.15 | −1.03 | 1.04 | −0.28 | −1.32 | 1.00 | −0.27 | −1.27 |
| 6 | 0.11 | −0.40 | −0.51 | 0.57 | −0.15 | −0.72 | 0.55 | −0.29 | −0.84 | 0.62 | −0.24 | −0.86 |
2.2. Metal Concentrations in Vegetation
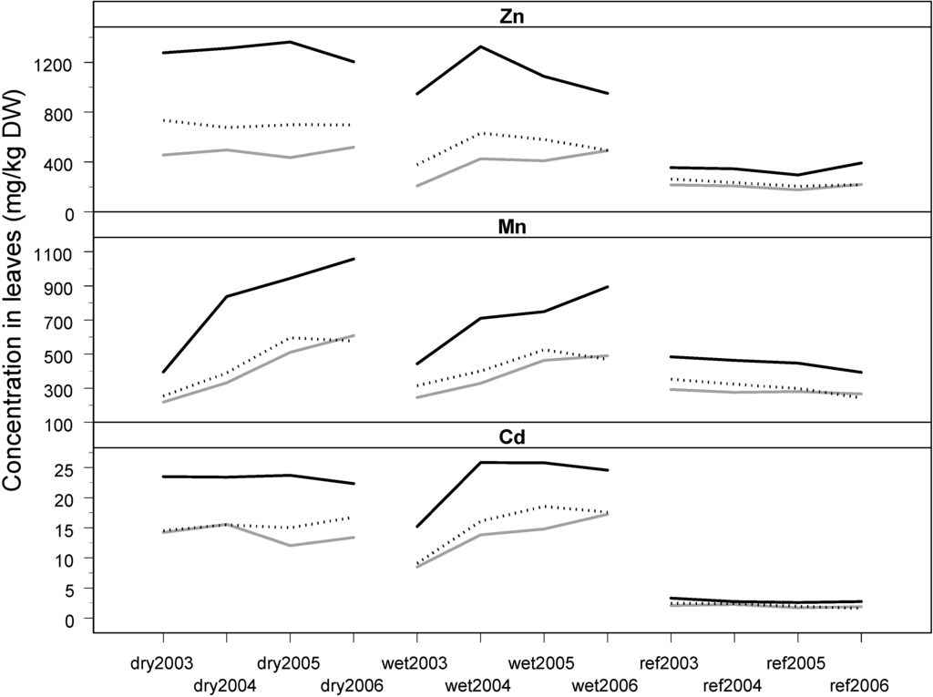
2.2.1. Foliar Concentrations

2.2.2. Stem Cuttings

| Part | Plot | Cd | Mn | Zn |
|---|---|---|---|---|
| Wood | 0 | 1.2 (0.2) | 54 (37) | 60 (31) |
| 1 | 8.7 (5.5) | 55 (50) | 294 (150) | |
| 2 | 14.4 (5.2) | 169 (36) | 225 (28) | |
| 3 | 11.5 (1.8) | 139 (33) | 147 (39) | |
| 4 | 11.2 (1.8) | 145 (27) | 182 (36) | |
| 5 | 12.2 (3.1) | 110 (27) | 186 (57) | |
| 6 | 9.2 (1.2) | 86 (30) | 112 (6) | |
| Bark | 0 | 5.7 (1.2) | 206 (121) | 342 (159) |
| 1 | 30.9 (15.1) | 157 (97) | 1077 (380) | |
| 2 | 53.1 (19.4) | 489 (136) | 883 (248) | |
| 3 | 44.7 (6.7) | 475 (200) | 609 (123) | |
| 4 | 44.6 (11.1) | 457 (73) | 679 (107) | |
| 5 | 52.3 (10.2) | 394 (47) | 711 (99) | |
| 6 | 39.9 (9.5) | 282 (45) | 588 (63) |
2.3. Metal Translocation from Cuttings to Shoots during the First Weeks of the Growing Season

| Plot | P | Ca | S | Cd | Cu | Mn | Cr | Pb | Ni | Zn | As | CaCO3 | TOC | pHH2O | EC |
|---|---|---|---|---|---|---|---|---|---|---|---|---|---|---|---|
| g/kg dry soil | mg/kg dry soil | % | (-) | µS/cm | |||||||||||
| 0 | 0.47 (0.05) | 16.1 (5.0) | 0.39 (0.09) | 0.5 (0.1) | 13.4 (1.7) | 724 (116) | 60.3 (7.6) | 21.2 (4.5) | 23 (3) | 92.7 (7) | 11.4 (1.7) | 4.7 (1.5) | 2.5 (1.0) | 7.7 (0.1) | 189 (20) |
| 3 | 4.85 (0.07) | 55.6 (1.6) | 1.49 (0.02) | 13.4 (0.2) | 131 (3) | 777 (18) | 461 (12) | 127 (2) | 35 (1) | 1036 (36) | 15 (0.2) | 12.2 (0.8) | 4.6 (0.3) | 7.4 (0.1) | 222 (7) |
| Cutting Origin | A | B | C1 | C2 | C3 | C4 | C5 | C6 | C7 | C8 | |
|---|---|---|---|---|---|---|---|---|---|---|---|
| Plot | P0 | P3 | P0 | P3 | P3 | P2 | |||||
| Trial | 1 | 1 | 2,3 | 3 | 2,3 | 3 | 3 | 3 | 3 | 3 | |
| Concentration in the Bark | |||||||||||
| Cd | mg/kg DM | 5.8 (0.4) | 55.3 (6.8) | 3.9 (0.5) | 20.7 (7.0) | 25.6 (4) | 32.9 (2.2) | 41.0 (4.0) | 50.7 (6.2) | 50.8 (2.7) | 67.1 (6.8) |
| Zn | mg/kg DM | 326 (5) | 621 (31) | 247 (23) | 444 (55) | 407 (34) | 495 (50) | 493 (56) | 631 (57) | 660 (27) | 658 (61) |
| Mn | mg/kg DM | 93 (15) | 524 (143) | 135 (26) | 133 (7) | 524 (124) | 38 (2) | 73 (11) | 424 (49) | 402 (159) | 50 (7) |
| Concentration in the Wood | |||||||||||
| Cd | mg/kg DM | 1.4 (0.3) | 13.3 (1.3) | 1.2 (0.2) | 5.4 (1.8) | 6.7 (1.1) | 8.5 (1.2) | 10.5 (0.9) | 14.0 (4.0) | 17.4 (2.2) | 16.8 (0.9) |
| Zn | mg/kg DM | 95 (26) | 134 (6) | 70 (9) | 116 (20) | 99 (12) | 125 (21) | 126 (15) | 158 (38) | 238 (39) | 149 (13) |
| Mn | mg/kg DM | 39 (18) | 173 (43) | 46 (11) | 34 (2) | 181 (42) | 12 (1) | 24 (4) | 147 (71) | 132 (56) | 14 (2) |
2.4. Metal Translocation from Cuttings to Shoots versus Metal Uptake from Soil

2.5. Budburst of Willow Cuttings



2.6. Discussion
2.6.1. Changes in the Abiotic Context Affect Vegetation
2.6.2. Translocation of Metals from Bark to Shoots and Effects on Budburst
2.6.3. Effects of Mn on Vegetation: Ecological or Ecotoxicological Process
2.6.4. Experiments with Willow Cuttings
3. Experimental Section
3.1. Monitoring of Soil Properties and Groundwater Levels
3.2. Monitoring of Metal Concentrations in Vegetation
3.3. Greenhouse Experiment 1: Metal Translocation from Cuttings to Shoots during the First Weeks of the Growing Season
3.4. Greenhouse Experiment 2: Metal Translocation from Cuttings to Shoots versus Metal Uptake from Soil
3.5. Greenhouse Experiment 3: Experiment on Budburst of Willow Cuttings
3.6. Chemical Analyses
3.7. Data Handling and Statistics
Acknowledgments
Author Contributions
Conflicts of Interest
References
- Kuzovkina, Y.A.; Quigley, M.F. Willows beyond wetlands: Uses of Salix L. species for environmental projects. Water Air Soil Pollut. 2005, 162, 183–204. [Google Scholar] [CrossRef]
- Gage, E.A.; Cooper, D.J. Controls on willow cutting survival in a montane riparian area. J. Rangeland Ecol. Manag. 2004, 57, 597–600. [Google Scholar]
- Bourret, M.M.; Brummer, J.E.; Leininger, W.C.; Heil, D.M. Effect of water table on willows grown in amended mine tailing. J. Environ. Qual. 2005, 34, 782–792. [Google Scholar] [CrossRef] [PubMed]
- Schrama, M.; Vandecasteele, B.; Carvalho, S.; Muylle, H.; van der Putten, W.H. Effects of first and second generation bioenergy crops on soil processes and legacy effects on a subsequent crop. GCB Bioenergy 2015. [Google Scholar] [CrossRef]
- Tahvanainen, L.; Rytkonen, V.M. Biomass production of Salix viminalis in southern Finland and the effect of soil properties and climate conditions on its production and survival. Biomass Bioener. 1999, 16, 103–117. [Google Scholar] [CrossRef]
- Tack, F.M.G.; Vandecasteele, B. Cycling and ecosystem impact of metals in contaminated calcareous dredged sediment-derived soils (Flanders, Belgium). Sci. Total Environ. 2008, 400, 283–289. [Google Scholar] [CrossRef] [PubMed]
- Talbot, R.J.; Etherington, J.R.; Bryant, J.A. Comparative-studies of plant-growth and distribution in relation to waterlogging. 12. Growth, photosynthetic capacity and metal-ion uptake in Salix caprea and Salix cinerea ssp oleifolia. New Phytol. 1987, 105, 563–574. [Google Scholar] [CrossRef]
- Iremonger, S.F.; Kelly, D.L. The responses of four Irish wetland tree species to raised soil water levels. New Phytol. 1988, 109, 491–497. [Google Scholar] [CrossRef]
- Barrick, K.A.; Noble, M.G. The iron and manganese status of seven upper montane tree species in Colorado, USA, following long-term waterlogging. J. Ecol. 1993, 81, 523–531. [Google Scholar] [CrossRef]
- Shabala, S.; Shabala, L.; Barcelo, J.; Poschenrieder, C. Membrane transporters mediating root signalling and adaptive responses to oxygen deprivation and soil flooding. Plant Cell Environ. 2014, 37, 2216–2233. [Google Scholar] [PubMed]
- Boyter, M.J.; Brummer, J.E.; Leininger, W.C. Growth and metal accumulation of geyer and mountain willow grown in topsoil versus amended mine tailings. Water Air Soil Pollut. 2009, 198, 17–29. [Google Scholar] [CrossRef]
- Yang, W.; Ding, Z.; Zhao, F.; Wang, Y.; Zhang, X.; Zhu, Z.; Yang, X. Comparison of manganese tolerance and accumulation among 24 Salix clones in a hydroponic experiment: Application for phytoremediation. J. Geochem. Explor. 2015, 149, 1–7. [Google Scholar] [CrossRef]
- Vandecasteele, B.; Du Laing, G.; Tack, F.M.G. Effect of submergence-emergence sequence and organic matter or aluminosilicate amendment on metal uptake by woody wetland plant species from contaminated sediments. Environ. Pollut. 2007, 145, 329–338. [Google Scholar] [CrossRef] [PubMed]
- Vandecasteele, B.; Du Laing, G.; Lettens, S.; Jordaens, K.; Tack, F.M.G. Influence of flooding and metal immobilising soil amendments on availability of metals for willows and earthworms in calcareous dredged sediment-derived soils. Environ. Pollut. 2010, 158, 2181–2188. [Google Scholar] [CrossRef] [PubMed]
- Bourret, M.M.; Brummer, J.E.; Leininger, W.C. Establishment and growth of two willow species in a riparian zone impacted by mine tailings. J. Environ. Qual. 2009, 38, 693–701. [Google Scholar] [CrossRef] [PubMed]
- Thomas, F.M.; Sprenger, S. Responses of two closely related oak species, Quercus robur and Q. petraea, to excess manganese concentrations in the rooting medium. Tree Physiol. 2008, 28, 343–353. [Google Scholar] [CrossRef] [PubMed]
- Shanahan, J.O.; Brummer, J.E.; Leininger, W.C.; Paschke, M.W. Manganese and zinc toxicity thresholds for mountain and Geyer willow. Int. J. Phytorem. 2007, 9, 437–452. [Google Scholar] [CrossRef]
- El-Jaoual, T.; Cox, D.A. Manganese toxicity in plants. J. Plant Nutr. 1998, 21, 353–386. [Google Scholar] [CrossRef]
- Kitao, M.T.T.; Leia, M.; Nakamuraa, T.; Koikea, T. Manganese toxicity as indicated by visible foliar symptoms of Japanese white birch (Betula platyphylla var. japonica). Environ. Pollut. 2001, 111, 89–94. [Google Scholar] [CrossRef] [PubMed]
- Vandecasteele, B.; Quataert, P.; Tack, F.M.G. Uptake of Cd, Zn and Mn by willow increases during terrestrialisation of initially ponded polluted sediments. Sci. Total Environ. 2007, 380, 133–143. [Google Scholar] [CrossRef] [PubMed]
- Vermeulen, J.; van Gool, M.P.M.; Dorleijn, A.S.; Joziasse, J.; Bruning, H.; Rulkens, W.H.; Grotenhuis, J.T.T. Biochemical ripening of dredged sediments. Part 1. Kinetics of biological organic matter mineralization and chemical sulfur oxidation. Environ. Toxicol. Chem. 2007, 26, 2530–2539. [Google Scholar] [CrossRef] [PubMed]
- Vandecasteele, B.; Quataert, P.; Genouw, G.; Lettens, S.; Tack, F.M.G. Effects of willow stands on heavy metal concentrations and top soil properties of infrastructure spoil landfills and dredged sediment-derived sites. Sci. Total Environ. 2009, 407, 5289–5297. [Google Scholar] [CrossRef] [PubMed]
- Du Laing, G.; de Meyer, B.; Meers, E.; Lesage, E.; van de Moortel, A.; Tack, F.M.G.; Verloo, M.G. Metal accumulation in intertidal marshes along the river Scheldt: Role of sulfide precipitation. Wetlands 2008, 28, 735–746. [Google Scholar] [CrossRef]
- Du Laing, G.; Meers, E.; Dewispelaere, M.; Vandecasteele, B.; Rinklebe, J.; Tack, F.M.G.; Verloo, M.G. Heavy metal mobility in intertidal sediments of the Scheldt estuary: Field monitoring. Sci. Total Environ. 2009, 407, 2919–2930. [Google Scholar] [CrossRef] [PubMed]
- Du Laing, G.; Meers, E.; Dewispelaere, M.; Rinklebe, J.; Vandecasteele, B.; Verloo, M.G.; Tack, F.M.G. Effect of water table level on metal mobility at different depths in wetland soils of the Scheldt estuary (Belgium). Water Air Soil Pollut. 2009, 202, 353–367. [Google Scholar] [CrossRef]
- Du Laing, G.; Vanthuyne, D.R.J.; Vandecasteele, B.; Tack, F.M.G.; Verloo, M.G. Influence of hydrological regime on pore water metal concentrations in a contaminated sediment-derived soil. Environ. Pollut. 2007, 147, 615–625. [Google Scholar] [CrossRef] [PubMed]
- Stephens, S.R.; Alloway, B.J.; Parkern, A.; Cartern, J.E.; Hodson, M.E. Changes in the leachability of metals from dredged canal sediments during drying and oxidation. Environ. Pollut. 2001, 114, 407–413. [Google Scholar] [CrossRef] [PubMed]
- Maxted, A.P.; Black, C.R.; West, H.M.; Crout, N.M.J.; McGrath, S.P.; Young, S.D. Phytoextraction of cadmium and zinc by Salix from soil historically amended with sewage sludge. Plant Soil 2007, 290, 157–172. [Google Scholar] [CrossRef]
- Unterbrunner, R.; Puschenreiter, M.; Sommer, P.; Wieshammer, G.; Tlustos, P.; Zupan, M.; Wenzel, W.W. Heavy metal accumulation in trees growing on contaminated sites in Central Europe. Environ. Pollut. 2007, 148, 107–114. [Google Scholar] [CrossRef]
- Nissen, L.R.; Lepp, N.W. Baseline concentrations of copper and zinc in shoot tissues of a range of Salix species. Biomass Bioenerg. 1997, 12, 115–120. [Google Scholar] [CrossRef]
- Vandecasteele, B.; Willekens, K.; Zwertvaegher, A.; Degrande, L.; Tack, F.M.G.; Du Laing, G. Effect of composting on the Cd, Zn and Mn content and fractionation in feedstock mixtures with wood chips from a short-rotation coppice and bark. Waste Manag. 2013, 33, 2195–2203. [Google Scholar] [CrossRef] [PubMed]
- Vollenweider, P.; Cosio, C.; Günthard-Goerg, M.; Keller, C. Localization and effects of phyto-extracted cadmium in leaves of tolerant willows (Salix viminalis L.) II. Microlocalization and cellular effect of cadmium. Environ. Exp. Botany 2006, 58, 25–40. [Google Scholar] [CrossRef]
- Lepp, N.W.; Madejón, P. Cadmium and zinc in vegetation and litter of a voluntary woodland that has developed on contaminated sediment-derived soil. J. Environ. Qual. 2007, 36, 1123–1131. [Google Scholar] [CrossRef] [PubMed]
- King, R.F.; Royle, A.; Putwain, P.D.; Dickinson, N.M. Changing contaminant mobility in a dredged canal sediment during a three-year phytoremediation trial. Environ. Pollut. 2006, 143, 318–326. [Google Scholar] [CrossRef] [PubMed]
- Du Laing, G.; Bontinck, A.; Samson, R.; Vandecasteele, B.; Vanthuyne, D.R.J.; Meers, E.; Lesage, E.; Tack, F.M.G.; Verloo, M.G. Effect of decomposing litter on the mobility and availability of metals in the soil of a recently created floodplain. Geoderma 2008, 147, 34–46. [Google Scholar] [CrossRef]
- Lei, Y.; Korpelainen, H.; Li, C. Physiological and biochemical responses to high Mn concentrations in two contrasting Populus cathayana populations. Chemosphere 2007, 68, 686–694. [Google Scholar] [CrossRef] [PubMed]
- Kozlov, M.V.; Eränen, J.K.; Zverev, V.E. Budburst phenology of white birch in industrially polluted areas. Environ. Pollut. 2007, 148, 125–131. [Google Scholar] [CrossRef] [PubMed]
- Punshon, T.; Dickinson, N.M. Acclimation of Salix to metal stress. New Phytol. 1997, 137, 303–314. [Google Scholar] [CrossRef]
- Mleczek, M.; Łukaszewski, M.; Kaczmarek, Z.; Rissmann, I.; Golinski, P. Efficiency of selected heavy metals accumulation by Salix viminalis roots. Environ. Exp. Bot. 2009, 65, 48–53. [Google Scholar] [CrossRef]
© 2015 by the authors; licensee MDPI, Basel, Switzerland. This article is an open access article distributed under the terms and conditions of the Creative Commons Attribution license (http://creativecommons.org/licenses/by/4.0/).
Share and Cite
Vandecasteele, B.; Quataert, P.; Piesschaert, F.; Lettens, S.; De Vos, B.; Du Laing, G. Translocation of Cd and Mn from Bark to Leaves in Willows on Contaminated Sediments: Delayed Budburst Is Related to High Mn Concentrations. Land 2015, 4, 255-280. https://doi.org/10.3390/land4020255
Vandecasteele B, Quataert P, Piesschaert F, Lettens S, De Vos B, Du Laing G. Translocation of Cd and Mn from Bark to Leaves in Willows on Contaminated Sediments: Delayed Budburst Is Related to High Mn Concentrations. Land. 2015; 4(2):255-280. https://doi.org/10.3390/land4020255
Chicago/Turabian StyleVandecasteele, Bart, Paul Quataert, Frederic Piesschaert, Suzanna Lettens, Bruno De Vos, and Gijs Du Laing. 2015. "Translocation of Cd and Mn from Bark to Leaves in Willows on Contaminated Sediments: Delayed Budburst Is Related to High Mn Concentrations" Land 4, no. 2: 255-280. https://doi.org/10.3390/land4020255
APA StyleVandecasteele, B., Quataert, P., Piesschaert, F., Lettens, S., De Vos, B., & Du Laing, G. (2015). Translocation of Cd and Mn from Bark to Leaves in Willows on Contaminated Sediments: Delayed Budburst Is Related to High Mn Concentrations. Land, 4(2), 255-280. https://doi.org/10.3390/land4020255
