From Clustered to Networked: Multi-Dimensional and Multi-Scale Performance Evaluation of Polycentric Urban Structure Evolution in Shenzhen, China
Abstract
1. Introduction
2. Theoretical Framework
2.1. Evolutionary Stages of Polycentric Urban Structures
2.2. Impacts of Different Evolutionary Stages on Urban Performance
2.3. Summary, Definition, and Operational Approaches
- Urban center: a spatial unit within the city whose employment density significantly exceeds that of its surrounding areas [34].
- Polycentric urban structure: an urban spatial form characterized by multiple spatially separated yet functionally linked centers, which collectively promote urban development.
- Clustered polycentric structure: an urban spatial form where multiple centers provide most daily needs locally, including employment, retail, and public services, thus reducing residents’ reliance on the main center.
- Networked polycentric structure: an urban spatial form where multiple centers are linked through functional complementarity, forming a cohesive network.
- Urban performance: the comprehensive performance of a city in economic, social, environmental, and other aspects, reflecting its resource utilization capacity, residents’ well-being, and sustainable development.
- Integrated performance: urban performance in spatial, economic, and social dimensions across center/cluster, inter-center, and citywide scales.
- Cluster center: a center whose daily life service structure similarity with respect to the benchmark center in the same period is ≥0.75. The benchmark center is the center with the most developed and diversified daily life services.
- Initial polycentric structures: two or more centers exist, but none of them (except for the benchmark center) meet the cluster center criterion.
- Partially clustered polycentric structures: more than one, but not all, centers meet the cluster center criterion.
- Fully clustered polycentric structures: all centers meet the cluster center criterion.
- Intensity of networked polycentric structures: represented by the average potential collaboration intensity among centers, calculated based on their agglomeration scales, inter-center travel times, and disparities in productive industrial structures.
3. Study Area, Data and Methods
3.1. Study Area
3.2. Data Sources and Processing
3.2.1. Enterprise Big Data
3.2.2. Other Datasets
3.3. Methods
3.3.1. Two-Stage Nonparametric Approach
3.3.2. Cosine Similarity
3.3.3. Potential Collaboration Intensity
3.3.4. Performance Evaluation System for Polycentric Urban Spatial Structures
Performance Evaluation Indicators
Weight Determination: A Hybrid Subjective–Objective Approach
4. Results
4.1. Evolution of Shenzhen’s Polycentric Urban Spatial Structure
4.1.1. Evolution of the Clustered Polycentric Structure
4.1.2. Evolution of the Networked Polycentric Structure
4.1.3. Summary
4.2. Performance Evolution of the Polycentric Urban Spatial Structure
4.2.1. Spatial Performance
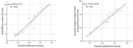
4.2.2. Economic Performance
4.2.3. Social Performance
5. Discussion
5.1. Discussion on the Co-Evolution of Polycentric Structures and Urban Performance
5.2. Methodological Reflections and Global Applicability
6. Conclusions
6.1. Planning Implications
6.2. Contributions, Limitations, and Future Research
Author Contributions
Funding
Data Availability Statement
Conflicts of Interest
Correction Statement
| 1 | The polycentricity index was calculated as , as proposed by Lee and Gordon. In this formulation,
is the ratio of employment in the i-th subcenter to that in the main center,
is the standardized distance (the ratio of the straight-line distance between the i-th subcenter and the main center to that from the farthest subcenter to the main center), and n is the total number of centers. Compared with indices that only account for center sizes (such as the Pareto exponent, HHI, or the Primacy indicator), this method accounts not only for the relative scale of centers but also for their spatial distribution. Despite employing this method, different polycentric structures may still yield similar polycentricity index values. |
| 2 | Sectoral employment statistics in Shenzhen for 1986–1988 were unavailable. |
References
- United Nations, Department of Economic and Social Affairs, Population Division. World Urbanization Prospects: The 2007 Revision; United Nations: New York, NY, USA, 2008. [Google Scholar]
- United Nations, Department of Economic and Social Affairs, Population Division. World Urbanization Prospects: The 2022 Revision; United Nations: New York, NY, USA, 2022. [Google Scholar]
- Davoudi, S. European briefing: Polycentricity in European spatial planning: From an analytical tool to a normative agenda. Eur. Plan. Stud. 2003, 11, 979–999. [Google Scholar] [CrossRef]
- Rauhut, D. Polycentricity: A critical discussion. In Proceedings of the 56th Congress of the European Regional Science Association (ERSA), Vienna, Austria, 23–26 August 2016. [Google Scholar]
- Waterhout, B.; Zonneveld, W.; Meijers, E. Polycentric development policies in Europe: Overview and debate. Built Environ. 2005, 31, 163–173. [Google Scholar] [CrossRef]
- Vandermotten, C.; Halbert, L.; Roelandts, M.; Cornut, P. European planning and the polycentric consensus: Wishful thinking? Reg. Stud. 2008, 42, 1205–1217. [Google Scholar] [CrossRef]
- Li, W.; Sun, B.; Zhang, T.; Zhang, Z. Panacea, placebo or pathogen? An evaluation of the integrated performance of polycentric urban structures in the Chinese prefectural city-regions. Cities 2022, 125, 103624. [Google Scholar] [CrossRef]
- Li, J.; Lu, J.; Ye, J. Urban spatial structure with efficiency and balance considerations: Evidence from China. Inq. Econ. Issues 2024, 2, 176–190. (In Chinese) [Google Scholar]
- Kanai, J.M.; Schindler, S. Peri-urban Promises of Connectivity: Linking Project-led Polycentrism to the Infrastructure Scramble. Environ. Plan. A Econ. Space 2019, 51, 302–322. [Google Scholar] [CrossRef]
- Meijers, E.J.; Burger, M.J. Spatial structure and productivity in US metropolitan areas. Environ. Plan. A 2010, 42, 1383–1402. [Google Scholar] [CrossRef]
- Zhang, T.; Sun, B.; Li, W. The economic performance of urban structure: From the perspective of Polycentricity and Monocentricity. Cities 2017, 68, 18–24. [Google Scholar] [CrossRef]
- Ye, M.; Derudder, B.; Jiang, L.; Caset, F.; Li, Y. The effects of urban polycentricity on particulate matter emissions from vehicles: Evidence from 102 Chinese cities. Urban Plan. 2023, 8, 39–51. [Google Scholar] [CrossRef]
- Veneri, P.; Burgalassi, D. Questioning polycentric development and its effects: Issues of definition and measurement for the Italian NUTS-2 regions. Eur. Plan. Stud. 2012, 20, 1017–1037. [Google Scholar] [CrossRef]
- Li, Y.; Liu, X. How did urban polycentricity and dispersion affect economic productivity? A case study of 306 Chinese cities. Landsc. Urban Plan. 2018, 173, 51–59. [Google Scholar] [CrossRef]
- Sun, B.; Li, W.; Zhang, Z.; Zhang, T. Is polycentricity a promising tool to reduce regional economic disparities? Evidence from China’s prefectural regions. Landsc. Urban Plan. 2019, 192, 103667. [Google Scholar] [CrossRef]
- Lee, B.; Gordon, P. Urban spatial structure and economic growth in US metropolitan areas. In Proceedings of the 46th Annual Meetings of the Western Regional Science Association, Newport Beach, CA, USA, 21–24 February 2007. [Google Scholar]
- Harrison, J.; Hoyler, M.; Derudder, B.; Liu, X.; Meijers, E. Governing Polycentric Urban Regions. Territ. Politics Gov. 2022, 11, 213–221. [Google Scholar] [CrossRef]
- Zou, B. The evolution of urban spatial structure in Shenzhen and the utility evaluation of its planning. Urban Rural Plan. 2017, 6, 69–79. (In Chinese) [Google Scholar]
- Zhou, C. Urban Spatial Structure and Form; Science Press: Beijing, China, 2007. (In Chinese) [Google Scholar]
- Alonso, W. Urban Zero Population Growth; Urban Land Institute: Washington, DC, USA, 1973. [Google Scholar]
- Heider, B.; Siedentop, S. Employment Suburbanization in the 21st Century: A Comparison of German and US City Regions. Cities 2020, 104, 102802. [Google Scholar] [CrossRef]
- Agyemang, F.S.K.; Silva, E.; Poku-Boansi, M. Understanding the Urban Spatial Structure of Sub-Saharan African Cities Using the Case of Urban Development Patterns of a Ghanaian City-Region. Habitat Int. 2019, 85, 21–33. [Google Scholar] [CrossRef]
- Sinclair-Smith, K. Polycentric Development in the Cape Town City-Region: Empirical Assessment and Consideration of Spatial Policy Implications. Dev. S. Afr. 2014, 31, 60–74. [Google Scholar] [CrossRef]
- Guo, J.; Wei, Y.D.; Chen, W.; Xiao, W. Progress of urban polycentricity research and planning practice in the context of spatial restructuring. Prog. Geogr. 2022, 41, 316–329. (In Chinese) [Google Scholar] [CrossRef]
- Salvati, L.; Serra, P.; Bencardino, M.; Carlucci, M. Re-urbanizing the European City: A Multivariate Analysis of Population Dynamics During Expansion and Recession Times. Eur. J. Popul. 2018, 34, 1–27. [Google Scholar] [CrossRef]
- Marshall, A. Principles of Economics, 8th ed.; Macmillan: London, UK, 1920. [Google Scholar]
- Sun, B.; Han, S.; Li, W. Effects of the polycentric spatial structures of Chinese city regions on CO2 concentrations. Transp. Res. D Transp. Environ. 2020, 82, 102333. [Google Scholar] [CrossRef]
- Meijers, E.J.; Sandberg, K. Reducing regional disparities by means of polycentric development: Panacea or placebo? Sci. Reg. 2008, 7, 71–96. [Google Scholar] [CrossRef]
- Sun, B.; He, Z.; Zhang, T.; Wang, R. Urban spatial structure and commute duration: An empirical study of China. Int. J. Sustain. Transp. 2016, 10, 638–644. [Google Scholar] [CrossRef]
- Bertaud, A. GHG Emissions, Urban Mobility, and Morphology: A Hypothesis. Responding to an Urgent Agenda. In Cities and Climate Change; Hoornweg, D., Freire, M., Lee, M.J., Bhada-Tata, P., Yuen, B., Eds.; The World Bank: Washington, DC, USA, 2011; pp. 87–123. [Google Scholar] [CrossRef]
- Burgalassi, D.; Luzzati, T. Urban spatial structure and environmental emissions: A survey of the literature and some empirical evidence for Italian NUTS-3 regions. Cities 2015, 49, 134–148. [Google Scholar] [CrossRef]
- Glaeser, E.L.; Kahn, M.E. The greenness of cities: Carbon dioxide emissions and urban development. J. Urban Econ. 2010, 67, 404–418. [Google Scholar] [CrossRef]
- Burger, M.J.; Meijers, E.J. Form follows function? Linking morphological and functional polycentricity. Urban Stud. 2012, 49, 1127–1149. [Google Scholar] [CrossRef]
- Small, K.A.; Song, S. Population and Employment Densities: Structure and Change. J. Urban Econ. 1994, 36, 292–313. [Google Scholar] [CrossRef]
- Organisation for Economic Cooperation and Development (OECD). Redefining “Urban”: A New Way to Measure Metropolitan Areas; OECD Publishing: Paris, France, 2012. [Google Scholar] [CrossRef]
- Dijkstra, L.; Poelman, H. A Harmonised Definition of Cities and Rural Areas: The New Degree of Urbanisation; European Commission: Brussels, Belgium, 2014; Available online: https://ec.europa.eu/regional_policy/en/information/publications/reports/2014/a-harmonised-definition-of-cities-and-rural-areas-the-new-degree-of-urbanisation (accessed on 16 September 2025).
- Chen, J.; Gao, M.; Cheng, S.; Hou, W.; Song, M.; Li, Y.; Liu, X.; Liu, Y.; Wang, Y.; Li, S.; et al. Global 1 km × 1 km gridded revised real gross domestic product and electricity consumption during 1992–2019 based on calibrated nighttime light data. Sci. Data 2022, 9, 202. [Google Scholar] [CrossRef]
- Liu, S.; Liu, W.; Zhou, Y.; Wang, S.; Wang, F.; Wang, Z. Mapping gridded GDP distribution of China based on remote sensing data and machine learning methods. Remote Sens. 2025, 17, 1709. [Google Scholar] [CrossRef]
- Wei, J.; Li, Z.; Lyapustin, A.; Sun, L.; Peng, Y.; Xue, W.; Su, T.; Cribb, M. Reconstructing 1-km-resolution high-quality PM2.5 data records from 2000 to 2018 in China: Spatiotemporal variations and policy implications. Remote Sens. Environ. 2021, 252, 112136. [Google Scholar] [CrossRef]
- Wei, J.; Li, Z.; Cribb, M.; Huang, W.; Xue, W.; Sun, L.; Guo, J.; Peng, Y.; Li, J.; Lyapustin, A.; et al. Improved 1 km resolution PM2.5 estimates across China using enhanced space-time extremely randomized trees. Atmos. Chem. Phys. 2020, 20, 3273–3289. [Google Scholar] [CrossRef]
- McMillen, D.P. Nonparametric employment subcenter identification. J. Urban Econ. 2001, 50, 448–473. [Google Scholar] [CrossRef]
- Beiderbeck, D.; Frevel, N.; von der Gracht, H.A.; Schmidt, S.L.; Schweitzer, V.M. Preparing, Conducting, and Analyzing Delphi Surveys: Cross-Disciplinary Practices, New Directions, and Advancements. MethodsX 2021, 8, 101401. [Google Scholar] [CrossRef]
- Manyara, A.M.; Purvis, A.; Ciani, O.; Collins, G.S.; Taylor, R.S. Sample size in multistakeholder Delphi surveys: At what minimum sample size do replicability of results stabilize? J. Clin. Epidemiol. 2024, 174, 111485. [Google Scholar] [CrossRef]
- Saaty, T.L. How to Make a Decision: The Analytic Hierarchy Process. Interfaces 1994, 24, 19–43. Available online: http://www.jstor.org/stable/25061950 (accessed on 16 September 2025). [CrossRef]
- Melillo, P.; Pecchia, L. What is the Appropriate Sample Size to Run Analytic Hierarchy Process in a Survey-Based Research? In Proceedings of the International Symposium on the Analytic Hierarchy Process 2016, London, UK, 4–7 August 2016; Available online: https://www.isahp.org/uploads/isahp16_proceeding_1155987.pdf (accessed on 16 September 2025).
- Shannon, C.E. A Mathematical Theory of Communication. Bell Syst. Tech. J. 1948, 27, 379–423. [Google Scholar] [CrossRef]
- Morán Uriel, J.; Camerin, F.; Córdoba Hernández, R. Urban Horizons in China: Challenges and Opportunities for Community Intervention in a Country Marked by the Heihe-Tengchong Line. In Diversity as Catalyst: Economic Growth and Urban Resilience in Global Cityscapes; Siew, G., Allam, Z., Cheshmehzangi, A., Eds.; Springer: Singapore, 2024; pp. 105–125. [Google Scholar] [CrossRef]
- Cui, Y. Research on Harbin Polycentric Spatial Structure Control Based on Spatial Structure Performance. Ph.D. Thesis, Harbin Institute of Technology, Harbin, China, 2020. [Google Scholar]
- Gu, Y.; Cai, S. Research on the impact of polycentric city network on economic growth in the Yangtze River Delta. Sustainability 2025, 17, 3267. [Google Scholar] [CrossRef]
- Huang, Y.; Hong, T.; Ma, T. Urban Network Externalities, Agglomeration Economies and Urban Economic Growth. Cities 2020, 107, 102882. [Google Scholar] [CrossRef]
- Sun, B.; Cai, Y.; Wang, X. Economic performance of polycentric spatial structures in mega-cities: Empirical evidence from China. Urban Plan. 2015, 39, 39–45. (In Chinese) [Google Scholar]
- Yadav, A.; Anwer, N.; Mahapatra, K.; Shrivastava, M.K.; Khatiwada, D. Analyzing the Role of Polycentric Governance in Institutional Innovations: Insights from Urban Climate Governance in India. Sustainability 2024, 16, 10736. [Google Scholar] [CrossRef]
- Lv, Y.; Zheng, X.; Zhou, L.; Zhang, L. Decentralization and Polycentricity: Spatial Changes of Employment in Beijing Metropolitan Area, China. Sustainability 2017, 9, 1880. [Google Scholar] [CrossRef]
- Aguilar, A.G.; Hernández, J. Metropolitan Change and Uneven Distribution of Urban Sub-Centres in Mexico City, 1989–2009. Bull. Lat. Am. Res. 2016, 34, 191–209. [Google Scholar] [CrossRef]
- Dietzel, C.; Oguz, H.; Hemphill, J.J.; Clarke, K.; Gazulis, N. Diffusion and Coalescence of the Houston Metropolitan Area: Evidence Supporting a New Urban Theory. Environ. Plan. B Plan. Des. 2005, 32, 231–246. [Google Scholar] [CrossRef]
















| Performance | Level | Indicator | Indicator Meaning | Subjective Weight | Objective Weight | Combined Weight |
|---|---|---|---|---|---|---|
| Spatial performance | Center/Cluster | Employment number | It reflects the level of agglomeration scale of the center. | 0.0339 | 0.0409 | 0.0360 |
| Employment density | It reflects the level of agglomeration intensity of the center. | 0.0361 | 0.0160 | 0.0300 | ||
| Inter-center | Passenger travel-time distance | It reflects the level of passenger transport connectivity between centers. | 0.0318 | 0.0055 | 0.0239 | |
| Freight travel-time distance | It reflects the level of freight transport connectivity between centers. | 0.0289 | 0.0155 | 0.0249 | ||
| Scale–distance coordination | It reflects the degree of coordination between center scale and inter-center distance. | 0.0396 | 0.0727 | 0.0495 | ||
| Citywide | Proportion of residents within clusters | It reflects the proportion of residents covered by urban clusters. | 0.1260 | — 1 | 0.1260 | |
| Proportion of residents within rational coordination clusters | It reflects the proportion of residents covered by urban rational coordination clusters. | 0.0767 | — | 0.0767 | ||
| Economic performance | Center/Cluster | Number of industries with LQ over 1.5 | It reflects the degree of industrial specialization of the center. | 0.0309 | 0.0101 | 0.0247 |
| Economic output (at constant prices) | It reflects the level of economic development of the center. | 0.0413 | 0.0468 | 0.0430 | ||
| Patents per thousand enterprises | It reflects the level of innovation capacity of the center. | 0.0309 | 0.0658 | 0.0414 | ||
| Inter-center | Potential collaboration intensity | It reflects the level of collaboration intensity between centers. | 0.0719 | 0.0441 | 0.0636 | |
| Citywide | Real GDP per worker | It reflects the level of economic development of the city. | 0.0483 | — | 0.0483 | |
| GDP growth rate | It reflects the economic development trend of the city. | 0.0387 | — | 0.0387 | ||
| Industrial structure index | It reflects the industrial structure development trend of the city. | 0.0435 | — | 0.0435 | ||
| Average commuting distance | It reflects the level of employment accessibility within the cluster. | 0.0295 | 0.0272 | 0.0288 | ||
| Social performance | Center/Cluster | Primary school supply-demand ratio | It reflects the supply-demand relationship of educational resources within the cluster. | 0.0235 | 0.0572 | 0.0336 |
| Hospital supply-demand ratio | It reflects the supply-demand relationship of healthcare resources within the cluster. | 0.0266 | 0.0379 | 0.0300 | ||
| Parks and urban squares supply-demand ratio | It reflects the supply-demand relationship of public space within the cluster. | 0.0280 | 0.0199 | 0.0256 | ||
| PM2.5 concentration | It reflects the level of air quality within the cluster. | 0.0267 | 0.0199 | 0.0247 | ||
| Inter-center | Accessibility of major public cultural facilities | It reflects the degree of sharing of major public cultural facilities between centers. | 0.0210 | 0.0214 | 0.0211 | |
| Citywide | Standard deviation of commuting distance | It reflects the degree of equity in commuting distance across clusters. | 0.0388 | — | 0.0388 | |
| Standard deviation of primary school supply-demand ratio | It reflects the degree of equity in the supply-demand relationship of educational resources across clusters. | 0.0364 | — | 0.0364 | ||
| Standard deviation of hospital supply-demand ratio | It reflects the degree of equity in the supply-demand relationship of healthcare resources across clusters. | 0.0357 | — | 0.0357 | ||
| Standard deviation of parks and urban squares supply-demand ratio | It reflects the degree of equity in the supply-demand relationship of public space across clusters. | 0.0285 | — | 0.0285 | ||
| Standard deviation of PM2.5 concentration | It reflects the degree of equity in air quality across clusters. | 0.0268 | — | 0.0268 |
| City/Region | Evolutionary Pathway | Nonlinear/Hybrid Features | Influencing Factors |
|---|---|---|---|
| Kumasi City-Region (Ghana) | Shift from monocentric to a deconcentrated, dispersive pattern. |
|
|
| Beijing (China) | From monocentric to polycentric with dispersed sub-centers |
|
|
| Mexico City (Mexico) | Multiple sub-centers without a clear transition to full polycentricity. |
|
|
| Houston (USA) | Diffusion and coalescence in metropolitan expansion |
|
|
Disclaimer/Publisher’s Note: The statements, opinions and data contained in all publications are solely those of the individual author(s) and contributor(s) and not of MDPI and/or the editor(s). MDPI and/or the editor(s) disclaim responsibility for any injury to people or property resulting from any ideas, methods, instructions or products referred to in the content. |
© 2025 by the authors. Licensee MDPI, Basel, Switzerland. This article is an open access article distributed under the terms and conditions of the Creative Commons Attribution (CC BY) license (https://creativecommons.org/licenses/by/4.0/).
Share and Cite
Duan, L.; Gu, Z.; Zhang, Y.; Chen, Y. From Clustered to Networked: Multi-Dimensional and Multi-Scale Performance Evaluation of Polycentric Urban Structure Evolution in Shenzhen, China. Land 2025, 14, 1899. https://doi.org/10.3390/land14091899
Duan L, Gu Z, Zhang Y, Chen Y. From Clustered to Networked: Multi-Dimensional and Multi-Scale Performance Evaluation of Polycentric Urban Structure Evolution in Shenzhen, China. Land. 2025; 14(9):1899. https://doi.org/10.3390/land14091899
Chicago/Turabian StyleDuan, Lipeng, Zhihui Gu, Yan Zhang, and Yongxu Chen. 2025. "From Clustered to Networked: Multi-Dimensional and Multi-Scale Performance Evaluation of Polycentric Urban Structure Evolution in Shenzhen, China" Land 14, no. 9: 1899. https://doi.org/10.3390/land14091899
APA StyleDuan, L., Gu, Z., Zhang, Y., & Chen, Y. (2025). From Clustered to Networked: Multi-Dimensional and Multi-Scale Performance Evaluation of Polycentric Urban Structure Evolution in Shenzhen, China. Land, 14(9), 1899. https://doi.org/10.3390/land14091899

