Next Article in Journal
Smart Land Use Planning: Hotspots and Prospects
Previous Article in Journal
Urban–Agricultural–Ecological Interactions and Land Surface Temperature—A Spatiotemporal Study of the Middle Yangtze River Region
 
 
Font Type:
Arial Georgia Verdana
Font Size:
Aa Aa Aa
Line Spacing:
Column Width:
Background:
Article

Forest Species in Meadows—Do Demographic Characteristics Differ Between Contrasting Habitats?

1
Institute for Wildlife Management and Nature Conservation, Hungarian University of Agriculture and Life Sciences, Festetics u. 7, H-8360 Keszthely, Hungary
2
Festetics Doctoral School, Hungarian University of Agriculture and Life Sciences, H-8360 Keszthely, Hungary
*
Authors to whom correspondence should be addressed.
Land 2025, 14(11), 2191; https://doi.org/10.3390/land14112191
Submission received: 2 October 2025 / Revised: 31 October 2025 / Accepted: 3 November 2025 / Published: 4 November 2025

Abstract

The fritillary (Fritillaria meleagris) is a rare and endangered species that originated in forested habitats, but due to landscape changes, turned into a wet meadow plant. Currently, larger populations can be found in meadows than in forests. Nowadays, as hay production has become unnecessary, wet meadows are being slowly reforested. Little comparative evidence exists on the performance of populations in the two contrasting habitats. We examined Fritillaria meleagris populations in meadows and forests to investigate the impact of current land use changes on the demographic characteristics of this species. The study was carried out over three years in two geographical regions in Hungary, comparatively in two habitat types (forest and meadow). We used permanent quadrats to record the demographic status and morphometric traits of at least 100 fritillary plants in every population. Although some characteristics were different in each population, the results suggested that each population has a special demographic structure. There were larger variations between the different populations and only minor variations among populations across years in demographic composition. Trait variation across geographical regions exceeded the variation observed between habitat types as well. We conclude that regional differences override the role of habitat type in determining the demography and vulnerability of fritillaries.

1. Introduction

Secondary semi-natural grasslands created by human deforestation are among the most species-rich habitats in Europe [1]. Mowing and grazing were important aspects of animal husbandry and thus contributed greatly to the livelihood of the population [2]. Pastures and hay meadows have been an integral feature of the rural landscape for centuries [3].
By the end of the 20th century, technological and social changes had rendered traditional land use obsolete, endangering these secondary habitats and, consequently, the species diversity of the grasslands [4,5]. The area of wet meadows has been severely reduced through drainage and conversion for agricultural use [6,7]. Wet meadow habitat degradation has occurred in a very similar way across Europe [8]. Nowadays, even the remaining meadows are being abandoned, and scrub encroachment has become one of the biggest threats [9]. Across Europe, the decline and change in the traditional land use of grasslands are leading to a loss of biodiversity. Abandonment is causing a major transformation of the herbaceous species pool, which is subsequently leading to a secondary succession that results in slow reforestation [2,10,11,12].
In the context of this transformation, certain species that are now recognized as meadow species occupy a distinctive position.
The snake’s head fritillary (Fritillaria meleagris) is considered to be a forest species that originated in south-eastern Europe. It spread northwards and westwards as a result of forest clear-cutting, followed by the management of hay meadows [13]. It was also a popular ornamental plant and, as it spread beyond gardens, it colonized the floodplain meadows rapidly under a hay meadow management regime [14,15] and became an iconic species of floodplain meadows.
The fritillary has spread rapidly under a traditional hay meadow regime because of the plant’s ability to shed its seeds during the hay-making period. Grazing and flooding in the aftermath reduce the competitive dominance of the surrounding herbs [15], and flooding also helps with seed dispersal [16]. Mowing takes place during the seed maturation period. Turning over the hay and making haycocks and hay racks is also an effective way of dispersing seeds [17]. In the case of orchids, it has been demonstrated that some species can also progress even from the flowering stage to seed production in hay racks [18], so it is reasonable to assume that the fritillary’s capsules, which are still unripe when mown, became mature while the hay is being made. Contrarily, Magnes et al. [19] investigated the fritillary in seven forest and shrub communities beside the grassland associations in Croatia, Austria, Romania and Hungary. They did not find any differences in the abundance of the species between grassland and forest areas.
Nevertheless, the landscape and vegetation have a significant impact on plant populations. Different habitat types offer different environmental conditions, which significantly influence the demographic characteristics. In the case of rare or endangered species, these studies are particularly important and have practical implications regarding nature conservation management (e.g., [20,21,22,23]). Understanding how habitat change affects the dynamics of populations can help to estimate the extinction risk of populations as well [24].
The underlying driver of changes in population dynamics is the ability of the species to alter their morphological (and physiological) traits [25,26]. According to Tautenhahn et al. [27], intraspecific traits varied mainly between populations rather than within populations and related to climatic conditions. For these reasons, it may also be useful to study the traits of populations occurring in different habitats, not only their demographic characteristics.
Due to the complex life cycle of geophytes, little is generally known about their population biology [28]. Fritillaria meleagris is kind of an exception, because since Zhang [14], the population biology of the species has been studied by several researchers, with a good overview provided by Tatarenko [16]. However, due to the specific features of the species’ life history (mainly the long dormancy), there is still a lot of uncertainty. Furthermore, little comparative evidence exists on the performance of populations in the two contrasting habitats. To investigate the impact of current land use changes on the demographic characteristics of F. meleagris, we examined populations of this species in meadows and forests in Hungary. We provide the first multi-year, region-wide dataset on demographic states and morphometric traits for the fritillary by monitoring four populations over three years in two geographic regions.
We wanted to know whether habitat or geographical differences played a significant role in the demographic characteristics of the populations. We also wanted to find out whether morphometric traits support demographic similarities or differences.

2. Materials and Methods

2.1. Study Species

The snake’s head fritillary (Fritillaria meleagris L.) is a perennial bulb with one to rarely two or three flowers in early spring, after the seeds ripen by May. The life span of the species has been estimated at 25 years [29], but Tatarenko [30] suggests that it can live for much longer.
The fritillary has a wide range. The plant is native to an area stretching from France to western Siberia and has been introduced to northern Europe [31]. It is in decline almost everywhere, primarily due to the loss of its wet grassland habitats [16]; only smaller populations may be susceptible to pollen limitation, which also could lead to local extinctions of the species [32]. According to Zych and Stpiczynska [33], the snake’s head fritillary is an example of a ‘new rare species’ (sensu [34]), which was once common but has become rare and threatened due to relatively recent human activities.
The species occurrence is strongly influenced by the underground water table. The fritillary requires its habitat to dry out after the higher water table in spring. For this reason, the species prefers mesotrophic wet grasslands rather than marshes or fen meadows, which have a continuously elevated water table [35].
In Britain and in Sweden, where the species is considered a neophyte [10,11,31,36], it is known to grow almost exclusively in meadows. Fritillary extensive populations form in old, traditionally managed floodplain meadows [14,15]. In Poland, the plant also occurs only in grasslands, and its huge population lives on the remnants of meadow vegetation [33]. In the Netherlands, it lives mainly in meadows but is also found in tall forb, shrub and woodland pasture communities as well [29].
In Croatia, the phytosociological and ecological amplitude of the species includes wet grasslands, mesic pioneer scrubs and flood forests of peduncular oak [37]. In Serbia, the plant grows in hygromesophilous meadows and in lowland oak forests [38]. In Romania, the fritillary has been recorded mainly from open moist oak forests, Salix cinerea scrub and also from wet meadows established on the place of former floodplain forests [39]. The habitat preference is similar in Ukraine, where fritillary occurs in floodplain forests and on wet meadows established on sites of earlier forests [16].
In Hungary, Mesterházy [40] also considers the species to be a plant of riverine and swamp woodlands, which has found its habitat in the grasslands created by deforestation as well. The largest populations occur in Arrhenatherum elatius-dominated hay meadows, as well as mesotrophic wet meadows and Molinia caerulea fens that develop following woodland clearance in river valleys. Besides many of the grassland floristic data, Kevey recorded fritillaries from three different forest associations in Hungary [17].

2.2. Study Area

The study was carried out in the western part of Hungary. We distinguished northern and southern populations as two geographic regions and one riparian forest and one mesic wet meadow habitat in each region (Table 1; Figure 1). All sites are part of the Natura 2000 system, and the sites at Gyékényes are protected by Hungarian law as a part of the Duna–Dráva National Park.
The North Forest population (Lenti) is near the river Kerka, the Western Meadow site (Tüskeszentpéter) is next to the river Zala, the South Forest and South Meadow sites (Gyékényes) are very close to each other near the river Dráva (Figure 2).

2.3. Methods

We installed 1 m × 1 m permanent quadrats along transects in each site in 2023. The quadrats were marked at their corners by nails equipped with unique identification plates. We monitored the Fritillaria meleagris individuals inside the quadrats for 3 years, between 2023 and 2025. The census was conducted in late March or early April, shortly after the flowering period. We installed the number of plots required to survey a minimum of 100 individuals at every site, but this number has increased in recent years due to the emergence of new plants. We recorded the following data on all the plants that appeared in the quadrats each year: the precise location (in centimeters), height of the individual, number of leaves, length and width of the first leaf, presence of flowers and presence of fruit.

2.4. Life Cycle

The number of seeds produced and remaining viable after being dormant (seed bank) in each year is difficult to estimate. Surveying F. meleagris seedlings in grasslands is also unfeasible. These two states were not examined in our study due to the difficulty of detection.
The life cycle of F. meleagris is complicated by prolonged dormancy. Without disturbing the habitat, dormant plants are ‘invisible’ during surveying. The life span of the species can be more than 25 years, and the longest recorded dormancy was seven years, in an eight-year monitoring [27]. So, if a plant does not appear in a given year, we cannot know whether it has died or is dormant. Therefore, we were unable to calculate mortality. We considered all individuals that did not appear above the soil surface in a given year to be ‘dormant’.
All individuals that were flowering were classified as ‘reproductive adult’, while those with more than one leaf but not flowering were classified as ‘vegetative adult’.
Tatarenko [13] classified individuals with a single leaf into two categories, based on leaf width and length: ‘juvenile’ and ‘vegetative adult’ (also known as ‘feeding leaf’). Pacsai et al. [41] also applied the ‘feeding leaf’ state in meadow populations by fitting bimodal distributions. As we only observed this phenomenon in meadows and not in forests, in order to compare the populations of the two habitats, we therefore used the states of ‘single-leaved’, ‘vegetative adult’ and ‘reproductive adult’.

2.5. Data Analysis

All statistical analyses were performed in the R environment (version 4.3.1.) [42] with the use of lmerTest (version 3.1.3.), glmmTMB (version 1.1.11.) and DHARMa (version 0.4.7.) packages, and the ggplot2 (version 3.5.1.) package was used for the visualization of the results.
Differences between demographic compositions were tested with chi-square tests, and for a better comparison, the Cramer’s V correlation coefficients were also calculated.
Comparisons of populations by morphometric parameters were performed by Kruskal–Wallis tests and post hoc pairwise Wilcoxon tests as the data displayed non-normal distribution (tested prior by performing Shapiro–Wilk tests).
Consecutive flowering and prolonged dormancy patterns were studied by examining the subsequent behavior of plants present aboveground in given years separately, as different annual climatic conditions could result in different dormancy patterns.
The effects of habitat and topology were tested on a number of leaves (nL > 2), leaf length (nL > 2), leaf width (nL > 2), plant height (nL > 2) and leaf size (length × width) of one-leaved plants with linear and generalized linear mixed models. Adequate fittings of distributions were checked prior to each analysis with the usage of DHARMa R package (version 0.4.7.). The separation of one- and more-leaved plants was justified by the complex nature of the one-leaved group, as it was observed that, in addition to juvenile, smaller individuals, a considerable number of mature, larger plants also produce a single leaf, which makes this group less coherent. Since we only compared plants (and populations) to each other, we used the simple multiplication of leaf number, leaf length and leaf width as a proxy of leaf size; we did not need to estimate the exact size of leaf area for the plants.

3. Results

3.1. Demographic Composition

The southern populations exhibited a higher proportion of one-leaved plants (28.7–45.2% on average), while the proportion of reproductive plants was lower (10.6–22.3%) in both forest and meadow populations compared to the northern populations (41.0–47.7%). However, the proportion of vegetative adults was similar in both regions; 32.5–60.8% in the south and 42.9–53.8% in the north (Figure 3).
Although the minor variations in demographic composition among populations across years in most cases were significant (Table A1), these differences were less pronounced in comparison to those observed between populations within the same year and between sites situated in the same region, in contrast with habitat sites (Table A2)

3.2. Reproduction

A significant variation in the rates of flowering was observed between different sites. The northern populations demonstrated higher rates (29–51%) compared to the southern populations (8–27%), and these differences persisted across all years (Table 2). With the exception of the SM site, the number of flowering plants that were flowering again in the following year was reduced by half on average. At the SM site, less than a tenth of the flowering plants in 2023 were found to be reproductive in 2024 as well. All these plants then flowered for a third time in 2025 (Table 2).

3.3. Dormancy Patterns

The proportion of dormant individuals was found to be highest in the SM population. Following an ‘active’ year (defined as the year in which a plant produced a vegetative or reproductive shoot), an average of 64% of the individuals did not appear aboveground, while in the second year, 53% of the individuals still remained dormant. A similar trend was observed in SF, although to a lesser extent. At NM, the proportion of dormant individuals was similar after one year (average 41%), but this almost decreased by half in the second year. The proportion of dormant plants was lowest at NF, where dormancy through two years occurred in only 7% of the plants censused in the first year. The ratio of plants going into dormancy at a site was similar in 2023 and 2024 (Table 3).

3.4. Transitions and Matrices

Among the age-state changes between years, the dominant one was entering into the DOR state from most categories and in most sites (Table 4).
With the exception of the SM site, progression was more prominent than regression (we did not consider going into dormancy as regression). The other central element was the VEG state; therefore, the majority of all transitions were towards the DOR and VEG states, with entry into the REP state being less prevalent, although in general, the VEG→REP transition was as common as the VEG→DOR transition.
If we examine entry into the REP state, we see that NM and NF populations tended to flower more, but the rate of transition from the VEG state to the REP state was always higher than the rate of transition from the REP state to the REP state. This was also the case in the SF population, with minor differences. The SM population’s tendency to flower was low (see Table 2), which is also visible here, as entry into the REP state was uncommon; this population flowers only sparsely.
Entering into the 1LEAF category was dominated by the DOR→1LEAF transition, which also contains seedlings developing into young plants, as we could not count seedlings systematically. Only at the NF site was the 1LEAF→1LEAF transition (stagnation) more prevalent than the DOR→1LEAF one (Table 4).

3.5. Morphometric Parameters

3.5.1. Number of Leaves

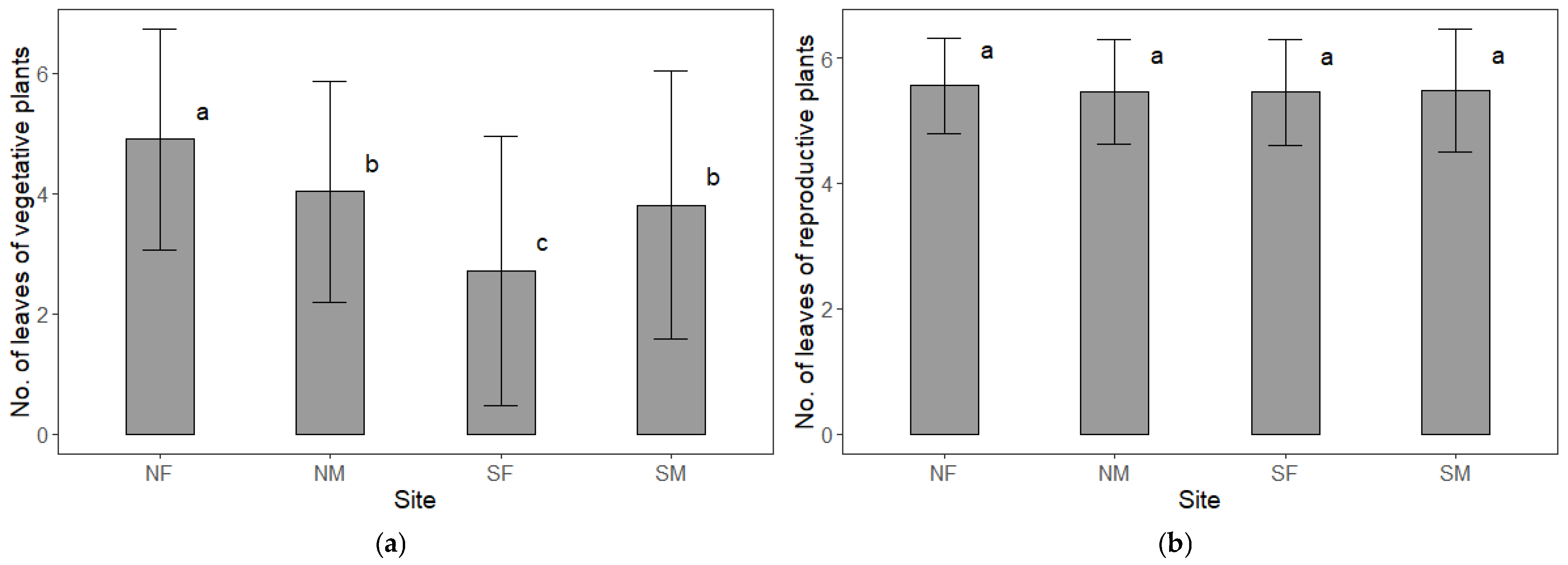
The average number of leaves of non-flowering plants was lowest at SF (2.71 ± 2.24) and highest at NF (4.9 ± 1.83). There was a statistically significant difference in the average number of leaves between the forest populations (2.71–4.90). Significant differences were observed between the meadow–forest pairs in the northern populations (4.03–4.90) and in the southern meadow–forest pairs (2.71–3.81). While there were no significant differences between the meadow populations (3.81–4.03) (Figure 4).
The proportion of individuals with one leaf was higher in the SM and SF populations (0.32–0.58) and considerably lower in the NF and NM populations (0.09–0.18). Individuals with two leaves were present in minute numbers (below 3%). The proportion of individuals with 3–8 leaves varied slightly in all four populations. There were individuals with nine and ten leaves, but they were rare (under 1%) (Figure 5).
The number of leaves of reproductive plants was remarkably similar in the four populations (5.45—5.56); there was no significant difference between different habitats or regions (Figure 4).
Each population requires at least 4 leaves to flower, and the individuals with the highest number of leaves (8–9–10 leaves, depending on location) did not flower. Only at NM it was observed that individuals with a larger number of leaves were more likely to flower with up to eight leaves (nine-leaf individuals did not flower here either), while in other populations, the flowering proportion was the highest among individuals with six leaves. (Figure 6).

3.5.2. Leaf Area of Plants

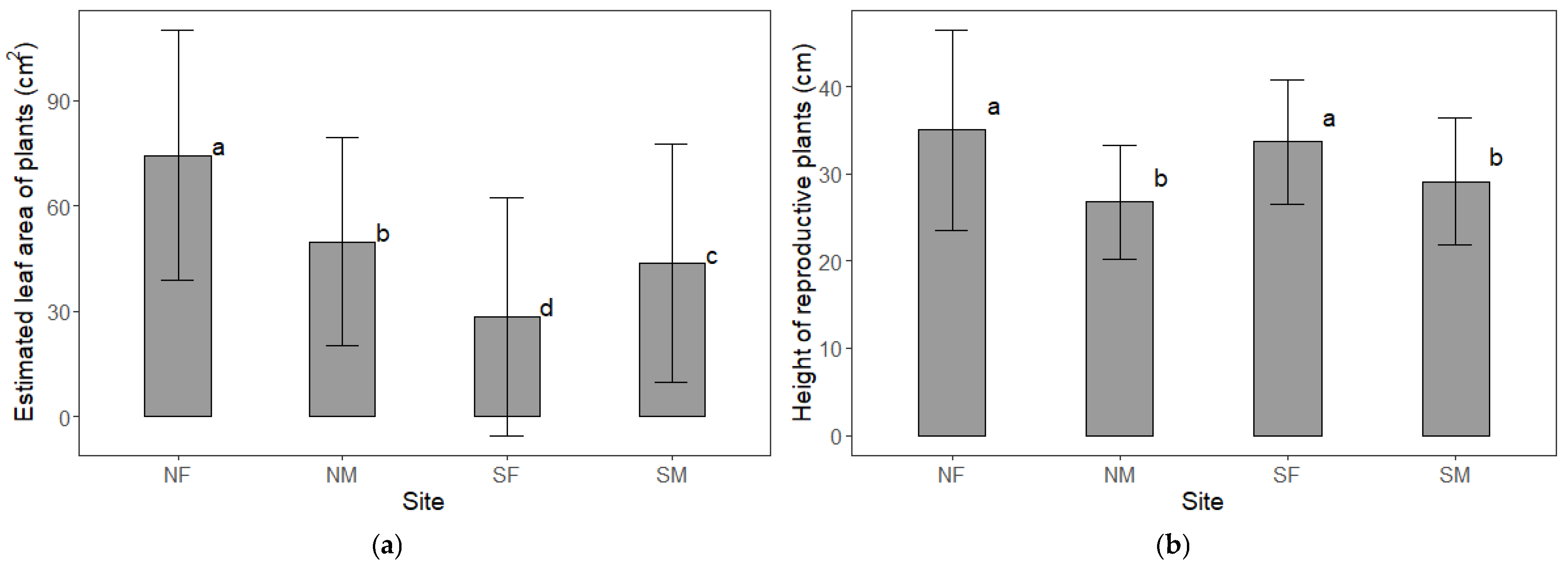
The leaf area proxy was found to be the smallest at SF (28.60 ± 33.91 cm2) and largest at NF (74.44 ± 35.6 cm2). While there were significant differences between all four populations, at the regional level, they were closer to each other (28.60–43.67 and 49.83–74.44 cm2) (Figure 7).

3.5.3. Height of Reproductive Plants

The height of reproductive plants was higher in forest populations (33.68–34.98 cm) than in meadow populations (26.76–29.12 cm). The difference was significant in both geographical regions (Figure 7).
Physical characteristics of individuals (number of leaves, leaf length, leaf width, height, and in the case of single-leaf plants, leaf size) were significantly influenced by the type of habitat (meadow or forest), but leaf length and plant height were also influenced by location (North or South) and the annual variations, with the latter factor also having a significant effect on leaf width (Table 5).

4. Discussion

Temporal and spatial variation in the demography of the species—especially in the case of rare and endangered taxa—is a studied issue.
Our results for Fritillaria meleagris showed that each population has a special demographic structure; there were larger variations between the different populations and only minor variations among populations across years in demographic composition (Figure 3; Table A1 and Table A2). Regional differences exert a greater influence on the demographic characteristics of F. meleagris than habitat type. In Britain, three fritillary populations were studied over 6 years, and in two populations, the proportion of vegetative and reproductive individuals varied significantly, while in one population it was much more stable [16]. In the case of Colchicum bulbocodium, another endangered geophyte, the effect of the weather parameters on the population dynamics was detailed investigated [28]. The life cycle of C. bulbocodium was strongly related to the actual weather parameters; the lagged effect of the previous year was weaker. Based on our results (Table 5), we also hypothesize that the driver behind these differences was not necessarily an annual effect. Our data suggest, rather, that the variations in the demographic and morphological characteristics of different sites are more likely the result of mesoclimatic differences between areas (north–south in this case).
A further significant driver of this variation may be attributed to the elevated water table. The role of the level of the groundwater table had been demonstrated in the case of the development [35] and demographic structure [16,41] of F. melegaris.
Among the hemicryptophytes (plants that have renewal buds located at ground level), Gentiana pneumonanthe was studied [20]. Both the temporal and spatial variation in demographic parameters were observed to be high within and between populations. The authors considered that most of the spatial variation was caused by the differences in habitat type and management rather than by differences in groundwater table level and vegetation structure.
We previously expected that the proportion of flowering individuals would be higher in the meadows than in the forests. Numerous publications have reported that the number of flowering plants considerably exceeded that of vegetative individuals on the meadows [14,17,33,39]; furthermore, the largest populations live on the meadows, not in the forests [13]. According to our results, larger proportions of the reproductive plants characterized the northern populations (both forest and meadow), not the meadow populations. The proportion of successive flowering was also higher in the northern populations regardless of habitat type (Table 5).
Age-state ratios and transitions (age/state changes) were the population-specific demographic traits that had changed only slightly from year to year. Thus, it could be hypothesized that a period of observation spanning only several years may enable the identification of these characteristics in individual populations.
Morphological characteristics, overall, were influenced more by habitat types than topology; however, topology had a significant effect on leaf length and plant height. It is suggested that these two traits may be associated with demographic structural variations between the study sites.
We have only made assumptions about how leaf number could be affected by the habitat. In the meadow, a smaller assimilating surface may be sufficient as the plants grow in less shade; however, the herbaceous layer is generally denser. At the same time, in early spring, when F. meleagris shoots are developing and flowering, there is hardly any foliage in the forest. The average number of leaves of vegetative adult plants was lowest in the forest population in the case of northern populations, but there were no differences between the southern populations.
We assumed that the estimated leaf area (in cm2) of plants in the same habitats should be similar. In contrast, the effect of topology was stronger. The northern populations had a significantly larger leaf area, suggesting that what influences leaf area is a landscape parameter that is less dependent on habitat (even if this was not the case for one-leaved plants).
The generalizability of the above results is severely limited by prolonged dormancy. Northern populations had lower dormancy rates than the southern ones, independently of the habitats. Tatarenko [16] considers prolonged dormancy to be characteristic of the species, based on his own observations and the literature. As stated by Tatarenko et al. [16], 30–99% of the plants can remain below-ground for more than 1 year.
Because of our short study period, we were unable to determine the mortality rate, but we detected the dormant state as the most prevalent in most age/state categories and sites.
Our result that regional factors may dominate over habitat type challenges common assumptions that meadow management alone drives population dynamics in the case of F. meleagris. In the future, we plan on recording environmental covariates (groundwater level, soil moisture, temperature and light) in order to be able to separate habitat effects from regional ones.
We plan to continue the monitoring beyond three years in order to be able to record multi-year dormancy events. It can help differentiate dormancy and mortality events. That may answer questions like what is the reason behind the SM population having the highest proportion of dormant individuals compared to others.

5. Conclusions

The fritillary was originally a forest species that spread during the clearings of riparian forests, creating much larger meadow populations than were found in forest habitats. It could therefore be assumed that meadow populations may have different demographic and morphological characteristics from forest populations; meadow populations have altered traits compared to forest populations.
Based on our results, there were no significant differences in demographic characteristics or morphological traits between meadow and forest F. meleagris populations. Consequently, the processes of meadow abandonment and afforestation are unlikely to pose a direct threat to snake’s head fritillary populations. Indeed, it is reasonable to hypothesize that meadow populations will have the opportunity to survive even after their habitat has been transformed into a forested one. Evidence points to larger demographic, morphological traits and dormancy differences between regions than between habitats, thus directly supporting the conclusion that regional differences override the role of habitat type
The findings of our study demonstrate that individual populations exhibit stable demographic characteristics, with minimal annual fluctuations. This observation underscores the efficacy of even brief temporal studies in establishing the basic demographic foundation for the conservation management of individual populations. Furthermore, populations possess specific characteristics (dormancy and mortality in the first place) that can only be ascertained through extended research.

Author Contributions

Conceptualization, V.L., B.P. and J.B.; methodology, V.L., B.P. and J.B.; software, B.P.; formal analysis, V.L. and B.P.; investigation, V.L., B.P. and J.B.; resources, V.L. and J.B.; data curation, V.L. and B.P.; writing—original draft preparation, V.L., B.P. and J.B.; writing—review and editing, J.B.; visualization, B.P. All authors have read and agreed to the published version of the manuscript.

Funding

This research received no external funding.

Data Availability Statement

The data presented in this study are available on request from the corresponding author, the data are not publicly available due to privacy.

Acknowledgments

We would like to thank the employees of the Balaton Uplands National Park Directorate and the Kiskunság National Park Directorate for their assistance in designating the study sites and obtaining permits. We are grateful for the assistance provided in the fieldwork by Boglárka Barcza, Emese Anna Bognár, Dalma Budahelyi, Kata Daróczi, Veronika Gecseg, Máté Pados, Zoltán Tamás Samu, and Zsófia Nagy.

Conflicts of Interest

The authors declare no conflicts of interest. The funders had no role in the design of the study; in the collection, analyses, or interpretation of data; in the writing of the manuscript; or in the decision to publish the results.

Appendix A

Table A1. p-values resulting from chi-square tests of differences between demographic compositions of the four studied populations between 2023 and 2025.
Table A1. p-values resulting from chi-square tests of differences between demographic compositions of the four studied populations between 2023 and 2025.
NF23NF24NF25SF23SF24SF25SM23SM24SM25NM23NM24NM25
NF231.000.1570.03358.7 × 10−107 1.23 × 10−62 0.0786
NF240.09501.001.25 × 10−5 3.7 × 10−154 6.34 × 10−49 7.78 × 10−8
NF250.02386.34 × 10−51.00 9.08 × 10−78 1.32 × 10−42 1.33 × 10−8
SF233.55 × 10−13 1.004.58 × 10−40.8355.43 × 10−26 3.48 × 10−23
SF24 7.49 × 10−25 4.65 × 10−51.001.35 × 10−3 3.03 × 10−16 2.87 × 10−31
SF25 3.63 × 10−150.8031.17 × 10−31.00 5.87 × 10−9 3.52 × 10−21
SM232.38 × 10−39 1.10 × 10−26 1.000.1500.02342.30 × 10−100
SM24 7.96 × 10−31 1.11 × 10−14 0.1571.000.701 1.16 × 10−39
SM25 3.00 × 10−11 3.07 × 10−80.01850.6811.00 1.3 × 10−47
NM230.259 1.85 × 10−78 1.43 × 10−53 1.002.41 × 10−70.798
NM24 0.0343 8.47 × 10−41 2.53 × 10−17 6.65 × 10−41.002.55 × 10−3
NM25 1.23 × 10−5 1.75 × 10−64 1.29 × 10−420.7544.78 × 10−71.00
Table A2. The Cramer’s V correlation coefficients in the four populations in the three years.
Table A2. The Cramer’s V correlation coefficients in the four populations in the three years.
NF23NF24NF25SF23SF24SF25SM23SM24SM25NM23NM24NM25
NF230.00 0.100.130.40 0.41 0.40
NF240.100.000.22 0.50 0.50 0.03
NF250.130.220.00 0.42 0.33 0.22
SF230.40 0.000.160.030.03 0.42
SF24 0.50 0.160.000.14 0.34 0.42
SF25 0.420.030.140.00 0.24 0.43
SM230.44 0.35 0.000.070.100.48
SM24 0.46 0.26 0.070.000.03 0.36
SM25 0.19 0.240.100.030.00 0.45
NM230.08 0.42 0.48 0.000.160.03
NM24 0.15 0.42 0.36 0.160.000.16
NM25 0.34 0.43 0.450.030.160.00

References

  1. Bakker, J.P.; van Andel, J.; van der Maarel, E. Plant species diversity and restoration ecology: Introduction. Appl. Veg. Sci. 1998, 1, 5–8. [Google Scholar] [CrossRef]
  2. Török, P.; Janišová, M.; Kuzemko, A.; Rūsiņa, S.; Stevanović, Z.D. Grasslands, their threats and management in Eastern Europe. In Grasslands of the World; Squires, V.R., Dengler, J., Hua, L., Feng, H., Eds.; CRC Press: Boca Raton, FL, USA, 2018; pp. 78–102. [Google Scholar]
  3. Plieninger, T.; Höchtl, F.; Spek, T. Traditional land-use and nature conservation in European rural landscapes. Environ. Sci. Policy 2006, 9, 317–321. [Google Scholar] [CrossRef]
  4. Garcia, A. Conserving the species-rich meadows of Europe. Agric. Ecosyst. Environ. 1992, 40, 219–232. [Google Scholar] [CrossRef]
  5. Habel, J.C.; Dengler, J.; Janišová, M.; Török, P.; Wellstein, C.; Wiezik, M. European grassland ecosystems: Threatened hotspots of biodiversity. Biodivers. Conserv. 2013, 22, 2131–2138. [Google Scholar] [CrossRef]
  6. Biró, É.; Simon, Z.; Bódis, J. A kockásliliom (Fritillaria meleagris L.) tüskeszentpéteri (Zalaszentgrót) élőhelyének tájhasználat története. Kitaibelia 2018, 23, 25–30. [Google Scholar] [CrossRef][Green Version]
  7. Fluet-Chouinard, E.; Stocker, B.D.; Zhang, Z.; Malhotra, A.; Melton, J.R.; Poulter, B.; Kaplan, J.O.; Goldewijk, K.K.; Stefan Siebert, S.; Minayeva, T.; et al. Extensive global wetland loss over the past three centuries. Nature 2023, 614, 281–286. [Google Scholar] [CrossRef]
  8. Búzás, E.; Bódis, J. Lessons Learned from the Last Moments Captured of Traditional Small-Scale Land Use in a European Fen Meadow. Land 2024, 13, 2155. [Google Scholar] [CrossRef]
  9. World Resources Institute. Millennium Ecosystem Assessment—Ecosystems and Human Well-Being: Biodiversity Synthesis; Island Press: Washington, DC, USA, 2005. [Google Scholar]
  10. Losvik, M.H. Plant species diversity in an old, traditionally managed hay meadow compared to abandoned hay meadows in southwest Norway. Nord. J. Bot. 1999, 19, 473–487. [Google Scholar] [CrossRef]
  11. Krause, B.; Culmsee, H.; Wesche, K.; Bergmeier, E.; Leuschner, C. Habitat loss of floodplain meadows in north Germany since the 1950s. Biodivers. Conserv. 2011, 20, 2347–2364. [Google Scholar] [CrossRef]
  12. Pruchniewicz, D. Abandonment of traditionally managed mesic mountain meadows affects plant species composition and diversity. Basic Appl. Ecol. 2017, 20, 10–18. [Google Scholar] [CrossRef]
  13. Day, P.D. Studies in the Genus Fritillaria L. (Liliaceae). Ph.D. Thesis, Queen Mary University of London, London, UK, 2017. [Google Scholar]
  14. Zhang, L. Vegetation ecology and population biology of Fritillaria meleagris L. at the Kungsängen Nature Reserve, Eastern Sweden. Acta Phytogeogr. Suec. 1983, 73, 1–96. [Google Scholar]
  15. Walker, K. Snake’s- head fritillary Fritillaria meleagris (Liliaceae) in Britain: Its distribution, habitats and status. Br. Ir. Bot. 2021, 3, 263–278. [Google Scholar] [CrossRef]
  16. Tatarenko, I.; Walker, K.; Dyson, M. Biological flora of Britain and Ireland: Fritillaria meleagris. J. Ecol. 2022, 110, 1704–1726. [Google Scholar] [CrossRef]
  17. Bódis, J.; Takács, A.; Óvári, M.; Virók, V.; Kulcsár, L.; Magos, G.; Sulyok, J.; Notári, K.; Molnár, A.; Barna, C.; et al. Az év vadvirága 2016-ban: A mocsári kockásliliom (Fritillaria meleagris). Kitaibelia 2020, 25, 79–100. [Google Scholar] [CrossRef]
  18. Molnár, V.A. ‘Make Hay While the Sun Shines’—The Potential for Seed Production in Rare Terrestrial Orchids Mown During the Flowering Stage. Ecol. Evol. 2025, 15, e71578. [Google Scholar] [CrossRef]
  19. Magnes, M.; Drescher, A.; Nestroy, O. Zur pflanzensoziologischen Eingliederung von Fritillaria meleagris-Beständen im Grenzbereich von Mittel-und Südosteuropa. Tuexenia 2013, 33, 165–187. [Google Scholar]
  20. Oostermeijer, J.G.B.; Luijten, S.H.; den Nijs, J.C.M. Integrating demographic and genetic approaches in plant conservation. Biol. Conserv. 2003, 113, 389–398. [Google Scholar] [CrossRef]
  21. Fréville, H.; Colas, B.; Riba, M.; Caswell, H.; Mignot, A.; Imbert, E.; Olivieri, I. Spatial and temporal demographic variability in the endemic plant species Centaurea corymbosa (Asteraceae). Ecology 2004, 85, 694–703. [Google Scholar] [CrossRef]
  22. Heinken-Šmídová, A.; Münzbergová, Z. Population dynamics of the endangered, long-lived perennial species, Ligularia sibirica. Folia Geobot. 2012, 47, 193–214. [Google Scholar] [CrossRef]
  23. Dostálek, T.; Münzbergová, Z. Comparative population biology of critically endangered Dracocephalum austriacum (Lamiaceae) in two distant regions. Folia Geobot. 2013, 48, 75–93. [Google Scholar] [CrossRef]
  24. Schleuning, M.; Matthies, D. Habitat change and plant demography: Assessing the extinction risk of a formerly common grassland perennial. Conserv. Biol. 2009, 23, 174–183. [Google Scholar] [CrossRef]
  25. Nicotra, A.B.; Atkin, O.K.; Bonser, S.P.; Davidson, A.M.; Finnegan, E.J.; Mathesius, U.; Poot, P.; Purugganan, M.D.; Richards, C.L.; Valladares, F.; et al. Plant phenotypic plasticity in a changing climate. Trends Plant Sci. 2010, 15, 684–692. [Google Scholar] [CrossRef]
  26. Araújo, I.; Marimon, B.S.; Scalon, M.C.; Cruz, W.J.; Fauset, S.; Vieira, T.C.; Galbraith, D.R.; Gloor, M.U. Intraspecific variation in leaf traits facilitates the occurrence of trees at the Amazonia–Cerrado transition. Flora 2021, 279, 151829. [Google Scholar] [CrossRef]
  27. Tautenhahn, S.; Grün-Wenzel, C.; Jung, M.; Higgins, S.; Römermann, C. On the relevance of intraspecific trait variability—A synthesis of 56 dry grassland sites across Europe. Flora 2019, 254, 161–172. [Google Scholar] [CrossRef]
  28. Kiss, R.; Lukács, K.; Godó, L.; Tóth, Á.; Miglécz, T.; Szél, L.; Demeter, L.; Deák, B.; Valkó, O. Understanding the effects of weather parameters on the population dynamics of an endangered geophyte supports monitoring efficiency. Sci. Rep. 2024, 14, 25974. [Google Scholar] [CrossRef] [PubMed]
  29. Horsthuis, M.A.P.; Corporaal, A.; Schaminée, J.H.J.; Westhoff, V. Die Schachblume (Fritillaria meleagris) in Nordwest-Europa, insbesondere in den Niederlanden: Ökologie, Verbreit. Pflanzensoziol. Lage 1994, 24, 627–647. [Google Scholar]
  30. Tatarenko, I. Having a break: Prolonged dormancy observed in a rare species, Fritillaria meleagris. Environ. Hum. Ecol. Stud. 2019, 9, 302–324. [Google Scholar] [CrossRef]
  31. POWO. Plants of the World Online. Facilitated by the Royal Botanic Gardens, Kew. 2025. Available online: https://powo.science.kew.org/ (accessed on 31 October 2025).
  32. Zych, M.; Stpiczyńska, M.; Roguz, K. Pollination biology and breeding system of European Fritillaria meleagris L. (Liliaceae). In Reproductive Biology of Plants; CRC Press: Boca Raton, FL, USA, 2014; pp. 147–163. [Google Scholar]
  33. Zych, M.; Stpiczyńska, M. Neither protogynous nor obligatory out-crossed: Pollination biology and breeding system of the European Red List Fritillaria meleagris L. (Liliaceae). Plant Biol. 2012, 14, 285–294. [Google Scholar] [CrossRef]
  34. Huenneke, L.F. Ecological implications of genetic variation in plant populations. In Genetics and Conservation of Rare Plants; Oxford University Press: Oxford, UK, 1991; pp. 31–44. [Google Scholar]
  35. Zhang, L.; Hytteborn, H. Effect of ground water regime on development and distribution of Fritillaria meleagris. Ecography 1985, 8, 237–244. [Google Scholar] [CrossRef]
  36. Rose, F.; O’Reilly, C.; Smith, D.P.; Collings, M. The Wild Flower Key: How to Identify Wild Flowers, Trees and Shrubs in Britain and Ireland; Frederick Warne Books: London, UK, 2006. [Google Scholar]
  37. Ilijanić, L.; Stančić, Z.; Topić, J.; Šegulja, N. Distribution and phytosociological relationships of snake’s-head (Fritillaria meleagris L.) in Croatia. Acta Bot. Croat. 1998, 57, 65–88. [Google Scholar]
  38. Tomovic, G. Phytogeographycal Reference, Distribution and Diversity Centres of the Balkan Endemic Flora in Serbia. Ph.D. Thesis, University of Belgrade, Belgrade, Serbia, 2007. [Google Scholar]
  39. Csergő, A.M.; Frink, J.P. Some phytocoenological and population structure features of Fritillaria meleagris L. in the upper Șard Valley (Cluj County, Romania). Contrib. Bot. 2003, XXXVIII, 163–172. [Google Scholar]
  40. Mesterházy, A. A Rába-völgyi erdők élőhelyeinek és lágyszárú fajainak vizsgálata. Tilia 2013, 17, 1–238. [Google Scholar]
  41. Pacsai, B.; Lábadi, V.; Biró, É.; Bognár, E.A.; Bódis, J. Flowering Rate Can Vary Considerably Between Geographically Close Populations of Fritillaria meleagris. Acta Bot. Hung. 2025, 67, 397–409. [Google Scholar] [CrossRef]
  42. R Core Team. R: A Language and Environment for Statistical Computing; R Foundation for Statistical Computing: Vienna, Austria, 2021; Available online: https://www.R-project.org/ (accessed on 31 October 2025).
Figure 1. Forest habitat of F. meleagris (2025, left) categorized as ‘Riparian mixed forests along the great rivers’ in the Natura 2000 habitat system. Meadow habitat (2024, right) belonging to the ‘Lowland hay meadows’ at Gyékényes.
Figure 1. Forest habitat of F. meleagris (2025, left) categorized as ‘Riparian mixed forests along the great rivers’ in the Natura 2000 habitat system. Meadow habitat (2024, right) belonging to the ‘Lowland hay meadows’ at Gyékényes.
Land 14 02191 g001
Figure 2. Location of the sample sites in Hungary. NF: northern forest; NM: northern meadow; SF: southern forest; SM: southern meadow.
Figure 2. Location of the sample sites in Hungary. NF: northern forest; NM: northern meadow; SF: southern forest; SM: southern meadow.
Land 14 02191 g002
Figure 3. Distribution of individuals appeared aboveground each year by the 3 age states (one-leaved individuals: light green, vegetative individuals: dark green and reproductive individuals: pink) in the four populations. NF: northern forest; NM: northern meadow; SF: south forest; SM: south meadow.
Figure 3. Distribution of individuals appeared aboveground each year by the 3 age states (one-leaved individuals: light green, vegetative individuals: dark green and reproductive individuals: pink) in the four populations. NF: northern forest; NM: northern meadow; SF: south forest; SM: south meadow.
Land 14 02191 g003
Figure 4. Average number of leaves of vegetative (a) and reproductive (b) individuals in the four populations. NF: northern forest; NM: northern meadow; SF: southern forest; and SM: southern meadow. Letters (a–c) indicate significantly different groups separated by Tukey-tests.
Figure 4. Average number of leaves of vegetative (a) and reproductive (b) individuals in the four populations. NF: northern forest; NM: northern meadow; SF: southern forest; and SM: southern meadow. Letters (a–c) indicate significantly different groups separated by Tukey-tests.
Land 14 02191 g004
Figure 5. Distribution of individuals by leaf numbers in the four populations. NF: northern forest; NM: northern meadow; SF: southern forest; SM: southern meadow. Interactions between these factors were not significant, hence they were omitted from the table.
Figure 5. Distribution of individuals by leaf numbers in the four populations. NF: northern forest; NM: northern meadow; SF: southern forest; SM: southern meadow. Interactions between these factors were not significant, hence they were omitted from the table.
Land 14 02191 g005
Figure 6. Average ratio of reproductive and vegetative individuals as a function of leaf number in the four populations: NF: northern forest; NM: northern meadow; SF: southern forest; SM: southern meadow.
Figure 6. Average ratio of reproductive and vegetative individuals as a function of leaf number in the four populations: NF: northern forest; NM: northern meadow; SF: southern forest; SM: southern meadow.
Land 14 02191 g006
Figure 7. (a) Estimated leaf area (in cm2) of plants in the four populations and (b) Height (in cm) of reproductive plants in the four populations. NF: northern forest; NM: northern meadow; SF: southern forest; and SM: southern meadow. Letters (a–d) indicate significantly different groups separated by Tukey-tests.
Figure 7. (a) Estimated leaf area (in cm2) of plants in the four populations and (b) Height (in cm) of reproductive plants in the four populations. NF: northern forest; NM: northern meadow; SF: southern forest; and SM: southern meadow. Letters (a–d) indicate significantly different groups separated by Tukey-tests.
Land 14 02191 g007
Table 1. List of the sample sites in Hungary, with data relevant to the study.
Table 1. List of the sample sites in Hungary, with data relevant to the study.
SitesCoordinates (WGS 84 x; y)RegionHabitatAbbreviation
Lenti Parkerdő46.62816; 16.55583NorthForestNF
Tüskeszentpéter Csicseri-alja46.97148; 17.06275NorthMeadowNM
Gyékényes Lankóczi-erdő46.24557; 17.02094SouthForestSF
Gyékényes Hideg-kúti-dűlő46.24704; 17.02009SouthMeadowSM
Table 2. Ratio of consecutive flowerings of different lengths compared to the original number of censused plants in the starting respective years at the four sites (NF: northern forest; NM: northern meadow; SF: southern forest; SM: southern meadow).
Table 2. Ratio of consecutive flowerings of different lengths compared to the original number of censused plants in the starting respective years at the four sites (NF: northern forest; NM: northern meadow; SF: southern forest; SM: southern meadow).
SiteNFNMSFSM
Starting Year202320242025202320242025202320242025202320242025
No. of plants (unit)10992112199215199169171142221181163
1-year flowering (%)41.351.129.548.243.350.826.615.224.77.711.112.9
2-year flowering (%)24.718.520.1207.77.60.50.6
3-year flowering (%)11.011.14.10.5
Table 3. Ratio of dormant (or dead) plants compared to the number of plants censused in the respective starting years at the four sites (NF: northern forest; NM: northern meadow; SF: southern forest; SM: southern meadow). The 1-year dormancy data were available for 2023–2024 and 2024–2025 years, and 2-year continuous dormancy data were available only in the 2023–2025 timespan.
Table 3. Ratio of dormant (or dead) plants compared to the number of plants censused in the respective starting years at the four sites (NF: northern forest; NM: northern meadow; SF: southern forest; SM: southern meadow). The 1-year dormancy data were available for 2023–2024 and 2024–2025 years, and 2-year continuous dormancy data were available only in the 2023–2025 timespan.
SitesNFSFNMSM
Starting Year20232024202320242023202420232024
No. of plants (0y)10992169171199215221181
1-year dormancy0.2110.1740.4910.3920.3770.4370.6200.669
2-year dormancy0.0730.4380.2160.534
Table 4. Matrices quantifying the average ratio of all transitions between the four categories (1LEAF: one-leaved individuals; VEG: vegetative adults; REP: reproductive adults) between 2023 and 2025 in the four populations (NF: northern forest; NM: northern meadow; SF: southern forest; SM: southern meadow).
Table 4. Matrices quantifying the average ratio of all transitions between the four categories (1LEAF: one-leaved individuals; VEG: vegetative adults; REP: reproductive adults) between 2023 and 2025 in the four populations (NF: northern forest; NM: northern meadow; SF: southern forest; SM: southern meadow).
NFDOR1LEAFVEGREPSFDOR1LEAFVEGREP
DOR0.350.300.200.20DOR0.470.450.390.41
1LEAF0.120.300.000.001LEAF0.410.300.010.05
VEG0.440.400.300.49VEG0.100.210.200.29
REP0.090.000.490.31REP0.010.040.390.25
SMDOR1LEAFVEGREPNMDOR1LEAFVEGREP
DOR0.500.770.620.60DOR0.330.540.430.36
1LEAF0.200.120.030.031LEAF0.130.100.020.04
VEG0.260.120.300.29VEG0.340.340.100.28
REP0.040.000.050.08REP0.200.030.450.32
Table 5. Proportion of variance explained by different factors (***: p < 0.001, **: p < 0.01, *: p < 0.05, and ns: p > 0.05).
Table 5. Proportion of variance explained by different factors (***: p < 0.001, **: p < 0.01, *: p < 0.05, and ns: p > 0.05).
No. of Obs.HabitatTopologyYear
Number of leaves (nL > 2)13380.002 **1.52 × 10−10 ns2.06 × 10−13 ns
Leaf length (nL > 2)18080.025 ***0.053 ***0.085 ***
Leaf width (nL > 2)13380.017 ***1.51 × 10−10 ns1.24 × 10−3 *
Plant height (nL > 2)13380.020 ***4.54 × 10−3 ***0.030 ***
Size of one-leaved plants (nL = 1)4450.022 ***7.06 × 10−15 ns9.11 × 10−11 ns
Disclaimer/Publisher’s Note: The statements, opinions and data contained in all publications are solely those of the individual author(s) and contributor(s) and not of MDPI and/or the editor(s). MDPI and/or the editor(s) disclaim responsibility for any injury to people or property resulting from any ideas, methods, instructions or products referred to in the content.

Share and Cite

MDPI and ACS Style

Lábadi, V.; Pacsai, B.; Bódis, J. Forest Species in Meadows—Do Demographic Characteristics Differ Between Contrasting Habitats? Land 2025, 14, 2191. https://doi.org/10.3390/land14112191

AMA Style

Lábadi V, Pacsai B, Bódis J. Forest Species in Meadows—Do Demographic Characteristics Differ Between Contrasting Habitats? Land. 2025; 14(11):2191. https://doi.org/10.3390/land14112191

Chicago/Turabian Style

Lábadi, Vivien, Bálint Pacsai, and Judit Bódis. 2025. "Forest Species in Meadows—Do Demographic Characteristics Differ Between Contrasting Habitats?" Land 14, no. 11: 2191. https://doi.org/10.3390/land14112191

APA Style

Lábadi, V., Pacsai, B., & Bódis, J. (2025). Forest Species in Meadows—Do Demographic Characteristics Differ Between Contrasting Habitats? Land, 14(11), 2191. https://doi.org/10.3390/land14112191

Note that from the first issue of 2016, this journal uses article numbers instead of page numbers. See further details here.

Article Metrics

Back to TopTop