Abstract
China’s rapid urbanization drive, marked by extensive urban renewal projects, necessitates a meticulous examination of their transformational impact on the human settlement environment (HSE) across urban landscapes. This study investigates the impact of China’s urban renewal progress on the spatial–temporal changes in the HSE from 2009 to 2019, using data from 40 prefecture-level cities in the Yangtze River Delta. Our findings reveal an overall positive relationship between the spatio–temporal evolution of urban renewal and the HSE, suggesting that urban renewal projects have had a beneficial impact, particularly following the announcement of China’s New Urbanization policy in 2014. However, the extent of this positive impact varied among different areas, with more significant improvements observed in core cities and economically developed areas. Additionally, our study uncovered significant variations in how urban renewal influenced the HSE over time. We found that the primary influencing factor shifted from material renewal to industrial renewal. These findings offer valuable insights for improving the HSE during urban renewal processes, both in China and other regions undergoing rapid urbanization.
1. Introduction
The human settlement environment (HSE) is a multidimensional construct, embodying the physical, socio-economic, and ecological facets of inhabited spaces across urban, suburban, and rural landscapes, where individuals dwell, engage in economic activities, and foster social connections. Since the United Nations’ establishment of the Human Settlements Programme (UN-Habitat) in 1978, the HSE concept has risen to prominence on the international stage. It has emerged as a focal point for urban strategists, researchers, and policymakers worldwide, with leading regions like North America and Europe, among others, integrating HSE enhancement at the core of their urban planning frameworks [1]. China has also acknowledged the escalating importance of nurturing a healthy human settlement environment, prompting a strategic pivot in land management policy from a strategy of ‘enclosure’ to one of ‘destocking’ [2], echoing a global commitment to sustainable urban development and a people-centric approach to urbanization. This paradigm shift underscores the nation’s recognition of the HSE as a cornerstone in its drive towards balanced and equitable urban–rural development, aligning with international efforts towards sustainable living environments for all inhabitants.
Urban renewal is viewed as a critical initiative for rejuvenating and enhancing urban areas facing decay or decline, and it stands as a key component of China’s ‘destocking’ land use policy [3]. Globally, this policy intervention is esteemed for its ambitions to elevate residents’ living standards, stimulate economic prosperity, and nurture sustainable, lively communities. Achieving these ends often entails initiatives such as infrastructure modernization, public space enhancements, housing restoration, investment stimulation, and the fostering of cultural and recreational facilities. Amid the surging prominence of urban renewal on municipal agendas worldwide, academic inquiry has intensified, either delving into the intricacies of urban renewal’s scientific and rational foundations [4,5] or adopting urban renewal as a prism to explore its multifarious societal implications through sociological, urban planning, and rural planning perspectives, among other lenses [6,7,8]. This body of research collectively paints a detailed tapestry of the theoretical and applied facets of urban renewal, guiding prospective policy formulation and implementation. Nonetheless, while the linkage between urban renewal and enhancements to the HSE seems evident, concrete empirical evidence substantiating this association remains scant. This paucity of research is particularly pressing in the Chinese context, given its unparalleled pace and scale of urbanization, coupled with marked evolutions in urban renewal strategies.
In comparison to developed nations, China’s urban renewal strategy is intimately intertwined with the objective of fostering urban-led economic progress. The unique dual land system in the country empowers local governments with extraordinary leverage for developmental land utilization. Since the 1990s, in a bid to ignite regional economic expansion, administrations have executed “strategic land allocation” tactics, marshaling resources to optimize fiscal revenues. A plethora of studies attest to local governments’ monopoly over land provision, with officials leaning on high GDP performance to ascend the ranks under the nation’s cadre promotion system [9]. Empirical evidence solidifies the notion that land allocation bolsters the local economy positively [10]. Consequently, residential and commercial plots are frequently auctioned publicly to capitalize on earnings [11], whereas industrial terrain is customarily negotiated to entice investments and invigorate the local economic landscape [12,13]. Amidst this epoch, urban rejuvenation endeavors in Chinese metropolises were predominantly fueled by rental discrepancies, culminating in the proliferation of gated micro-district communities [14]. Simultaneously, ad hoc demolition and reconstruction efforts have posed formidable obstacles to the cityscape‘s human habitat, exacerbating disparities in urban maturation [15]. Thus, urban renewal initiatives in the initial years of the new millennium prioritized less the amelioration of the human settlement environment.
Since crossing the 50% urbanization threshold in 2010 and steadily advancing towards the 80% benchmark characteristic of developed nations, China’s swift urban growth trajectory has ignited concerns surrounding sprawl, land resource depletion, and environmental deterioration [16]. In response, the government’s strategy has pivoted from a predominantly market-led model to a more directive approach in urban renewal policy. This shift was marked by the State Council’s introduction of “ten measures to stimulate domestic demand” in 2008, which spotlighted shantytown renovation as a pivotal livelihood and development endeavor. The launch of the “National New Urbanization Plan (2014–2020)” further underscored a focus on enhancing urbanization quality, transforming development paradigms, and advocating people-oriented urbanization principles. Complementing these, the “Opinions of the State Council on Deepening New Urbanization Construction” in 2016 accentuated the urgency of revamping shantytowns, urban villages, and substandard housing. The 20th National Congress in 2021 reinforced this commitment, advocating for megacity development model reforms and urban renewal strategies, outlining a roadmap for people-centered urbanization in the contemporary era. Nowadays, Chinese cities are transitioning from expansive growth to a phase of optimized land use, with the revitalization of three olds—shantytowns, micro-renewal projects, and minor transformations—emerging as key catalysts for urban evolution. These interventions, targeting enhanced human settlement environments and enriched urban functionality, signify a strategic pivot towards sustainable and quality-focused urban development.
In light of the government’s assertive stance on urban renewal, a critical evaluation is warranted to ascertain the efficacy of China’s recent endeavors in achieving the intended improvements to the HSE. Unpacking the fundamental drivers of these outcomes is equally vital. Given the protracted timeline and expansive scope of urban renewal projects, discerning potential spatial heterogeneities in the impact on HSEs across diverse urban locales emerges as a pivotal research avenue. Moreover, elucidating the temporal and spatial dynamics of urban renewal’s influence on the HSE is paramount. Attending to these inquiries holds significant implications for capitalizing on urban renewal strategies to augment the HSE and nurture environmentally sustainable and socially equitable urban progress.
This research endeavors to scrutinize the transformations in the HSE instigated by China’s urban renewal ventures within the Yangtze River Delta from 2009 to 2019, harnessing data from a cohort of 40 municipalities. The outcomes suggest an overarching trend of amelioration in the region, albeit with a deceleration in the pace of improvement over time. Urban renewal endeavors emerge as pivotal in this narrative, facilitating infrastructural advancements, catalyzing industrial expansion, and driving urban sprawl. This study contributes to our understanding in several ways: it firstly forges a nationwide connection between urban renewal and the enhancement of the HSE; secondly, it impartially gauges the repercussions of urban renewal by homing in on individual cities and scrutinizing the fallout of large-scale interventions such as shantytown rehabilitation programs; and thirdly, it acknowledges the differential impact of urban renewal strategies across cities and temporal epochs, thereby furnishing insights for tailored policy formulation reflective of local contexts.
In the next section, we explore the theoretical framework for assessing the HSE and the relationship between urban renewal and the HSE in China. Section 3 outlines the methods and empirical strategy employed in this study. The presentation of the results and discussion follows in Section 4. Finally, we conclude the paper in Section 5.
2. Theoretical Framework
2.1. Assessing the Human Settlement Environment
Scholarly investigations into the HSE are bifurcated into two principal categories, each defined by the focal point of inquiry. The first category is centered on rural contexts, with an emphasis on understanding and elevating living conditions through a sociological lens. Researchers like Wang et al. have employed rigorous methodologies, such as structural equation modeling, to underscore the critical role of government support in spurring rural households to participate in environmental improvement initiatives [17]. This stream of research has evolved to encompass analyses of governance structures, advocating for more participatory, multi-stakeholder approaches in rural settings [18], alongside efforts to establish comprehensive evaluation frameworks for measuring sustainability in rural human settlements [19,20].
Conversely, the second category of research fixates on the complexities of urban habitats, encompassing several focal points. Chen’s work, for instance, underscores the vulnerabilities within urban clusters and identifies the determinants of urban settlement patterns, emphasizing the centrality of regional economic strength [21,22]. Complementary to this, Zhou’s research develops a resilience assessment model for urban settlements in China, elucidating the factors that bolster urban resilience [23]. Further, studies akin to Stal et al.’s transatlantic comparison highlight the socioeconomic benefits of strategic urban renewal plans, particularly in addressing urban poverty by tailoring interventions to the needs of disadvantaged groups [24].
These dual strands of inquiry collectively enrich our understanding of the multifaceted dynamics characterizing both rural and urban human settlements. Drawing on preceding scholarly work, the HSE is interpreted as a composite concept intimately tied to wellbeing and happiness. A superior HSE is paramount to fulfilling the escalating aspirations of populations for enhanced living standards. To facilitate analytical clarity, we parse the HSE into two discernible components: the economic environment and the ecological environment. An appraisal framework for the HSE is consequently erected upon these dual pillars (depicted in Table 1) to systematically gauge the conditions of the HSE of each city.
Table 1.
Indicator system for evaluating the HSE.
Specifically, the “economic environment” dimension encompasses metrics such as the Theil index of rural–urban income disparity, per capita consumption expenditure, and Engel’s coefficient—a gauge of food expenditure as a share of total household income. Conversely, the “ecological environment” is characterized by indicators including the waste management efficiency, park green areas, and the extent of greening coverage within built-up locales. This strategy endeavors to distill complexity while retaining the essence of what constitutes a high-caliber HSE, pivotal to addressing the escalating desires for a more fulfilling existence among urban dwellers.
2.2. Theoretical Nexus of Urban Renewal and the HSE
The intricate nexus between urban renewal and the HSE stands as a subject of profound interest transcending disciplinary boundaries, engaging scholars in economics, urban planning, environmental science, and sociology alike. Studies have dissected the multifaceted impacts of urban renewal through varied theoretical lenses, encompassing the restructuring of urban functions [26], metabolic efficiency enhancements [27], land policies [28], and human structures [29,30]. As the “people-oriented” development paradigm gains ascendancy, scholarly pursuits must prioritize examining how urban renewal efforts enhance the living environment in targeted renewal zones and, more broadly, the entire urban human settlement context. This focal shift aligns with the cardinal aspiration of urban renewal initiatives, viz., elevating the general urban environmental quality and fostering superior living standards.
A synthesis of the existing literature reveals a myriad of theoretical frameworks explicating the HSE, coupled with in-depth explorations of governance rationales tailored to distinct contextual milieus. These inquiries have shed light on key determinants and operative mechanisms influencing the rural HSE, charting pathways for improvement and their real-world implementations [31]. Notwithstanding these advances, a conspicuous imbalance in research focus prevails, with the urban HSE receiving relatively scant attention. Moreover, a gap persists in our understanding of the intricate, reciprocal interactions between processes of urban renewal and the evolution of the urban HSE. In view of the ubiquitous implementation of urban renewal interventions across cities worldwide since the dawn of the 21st century, their transformative impact on the urban habitat is undeniable.
Therefore, there arises an urgent need to systematically probe the evolutionary mechanisms driving changes in the urban HSE against the backdrop of ongoing urban renewal efforts. Such an endeavor promises to unravel the nuanced interdependencies and reciprocal feedback mechanisms that mold urban landscapes, informing the formulation of more efficacious and environmentally sustainable strategies for urban renewal. Our study adopts a comprehensive framework, designed to systematically evaluate the repercussions of urban renewal on the human settlement environment. As depicted in Figure 1, the theoretical intersection of urban renewal and the HSE manifests in multifarious ways, underscoring the transformative potential of renewal initiatives on infrastructural, industrial, and urban construction fronts.
Figure 1.
Theoretical nexus of urban renewal and the HSE.
Firstly, urban renewal plays a pivotal role in enriching infrastructure development, which, in turn, significantly bolsters the HSE. This encompasses large-scale projects aimed at modernizing urban infrastructure, congruent with national smart and sponge city agendas. Activities ranging from the rehabilitation of dilapidated housing to the revitalization of obsolete industrial zones and road network enhancements engender economic vibrancy by generating employment and boosting resident incomes. Moreover, improvements to public service amenities [32], commercial zones, and consumer experiences elevate living standards, stimulate economic expansion, and foster an optimized economic milieu. Investments in eco-friendly infrastructure, such as advanced drainage systems and waste management facilities, contribute to environmental amelioration and augment the city’s ecological resilience.
Secondly, the impact of urban renewal on the HSE is discernible through its capacity to optimize industrial layouts and recalibrate industrial structures. Historically, haphazard urban growth has resulted in inefficient land use patterns and hindered urban vitality. By strategically integrating renewal efforts with industrial strategies, cities can invigorate their economies. Theoretical frameworks posit a directional shift toward higher-value-added sectors, facilitating the migration of lower-efficiency industries and spatial rearrangement [33]. This transition, aligned with China’s push for high-quality economic development, rationalizes industrial structures, fostering knowledge-intensive industries [34] and realizing harmonious city–industry integration. Concurrently, the phase-out of polluting industries through renewal activities promotes environmental sustainability, transforming former industrial sites into green spaces that augment the ecological environment.
Lastly, urban renewal exercises a profound influence on the HSE by comprehensively transforming the physical fabric of urban construction through extensive improvements. This multidimensional process intertwines demographic shifts, social dynamics, economic transformations, and governance strategies, necessitating a multidisciplinary approach grounded in urban planning, economics, sociology, and engineering sciences. In the Chinese context, urban renewal constitutes a strategic governmental endeavor. Local governments actively participate by financing public infrastructure improvements, issuing policy incentives to attract investments, and orchestrating spatial planning guided by high standards and digital technologies. These measures not only expedite urban construction but also catalyze industrial clusters, steer population migrations toward favorable urban nodes, exploit agglomeration economies, and heighten the appeal of human settlement environments. Collectively, these dimensions of urban renewal coalesce to forge a more resilient, prosperous, and sustainable HSE.
3. Materials and Methods
3.1. Study Area and Data
In the realm of urban renewal studies, cities constitute the epicenter of implementation, with the Yangtze River Delta region, nestled along China’s eastern seaboard, exemplifying a prime locale for such endeavors. Endowed with exceptional advantages, the region boasts well-developed transportation infrastructure and a wealth of ecological assets, furnishing a sturdy groundwork for the execution of urban renewal ventures. Characterized by brisk economic progress, the Yangtze River Delta harbors a constellation of large- and medium-sized cities, vibrant economic development zones, and robust intercity economic linkages, concurrently serving as a magnet for significant population influx. Premised on its heightened urbanization pace and pioneering role in initiating expansive urban renewal schemes, the region has cultivated a rich academic terrain for investigation. Consequently, this study envelops cities falling under the administrative ambit of three provinces within the Yangtze River Delta—Jiangsu, Zhejiang, and Anhui (Figure 2). This encompasses a total of 40 cities at the prefecture level or above, notable among them being Nanjing, Hangzhou, and Hefei. Notably, Shanghai, due to its uniquely vast economic scale and distinct development trajectory, was excluded from our study area.
Figure 2.
Study area.
To empirically ground our analysis, data spanning from 2009 to 2019 were compiled. These data were meticulously sourced from the China City Statistical Yearbook and provincial statistical yearbooks of Jiangsu, Zhejiang, and Anhui. Deliberately capping the data at 2019 aligns with our study’s focus on policy dynamics related to shantytown transformation, revitalization of old industrial zones, and urban village renovations, which were piloted in the Yangtze River Delta and largely concluded pre-2020, marking the advent of fresh developmental epochs. Observations suggest that comparable renewal endeavors are currently unfolding in less economically mature regions, thereby underscoring the broader relevance of our findings.
3.2. Baseline Model
In accordance with the methodologies established by prior scholars in [35,36,37], we adopted a rigorous two-way fixed-effects model to rigorously assess the influence of urban renewal on the human settlement environment. The analytical framework we employed is delineated below, echoing the precedent set by these seminal works to ensure both methodological soundness and the comparability of our findings.
where i and t represent cities and years, respectively. The dependent variable () signifies the index measuring the quality of the urban human settlement environment for city i in year t. The explanatory variables central to our analysis encompass , an indicator quantifying the extent of urban renewal activities in a given city and year; and , a binary policy dummy variable marking the onset of urban renewal policy initiatives aligned with the National New Urbanization Plan in each city. This variable assumes a value of 0 preceding the policy’s execution and flips to 1 post-implementation, thereby capturing the temporal shift in policy influence. Additionally, a suite of control variables, collectively represented as , is included to account for potential confounding factors. To isolate the unique impacts of our variables of interest, we incorporate individual () and time () fixed effects, mitigating any unobserved heterogeneity tied to specific cities or time periods. Lastly, symbolizes the stochastic error term encapsulating residual variability not explained by the model’s predictors, ensuring the integrity of our estimations. This comprehensive model specification thereby facilitates a nuanced understanding of the dynamic interplay between urban renewal initiatives and the evolution of human settlement environments across varying spatial and temporal contexts.
3.3. The Geographically and Temporally Weighted Regression (GTWR) Model
Following the method outlined by [38], we employed the geographically and temporally weighted regression (GTWR) model to delve deeper into the spatial and temporal heterogeneities in the influence exerted by diverse urban renewal endeavors on the HSE. The basic formulation of the GTWR model is delineated as follows:
where the tuple symbolizes the spatio–temporal coordinates for city i, with representing the longitude and latitude, respectively, and denoting the chronological marker. The term signifies the location and time-specific intercept for city i. The coefficients and denote the geospatially and temporally varying regression weights associated with the independent variables, reflecting the differential impacts of various urban renewal projects () and policy interventions () across space and time. Similarly, embodies the adaptable coefficients for the control variables (), capturing their contextual influence. All remaining variables retain their meanings consistent with those defined in Equation (1). This sophisticated modeling approach permits nuanced insights into how the effects of urban renewal strategies dynamically interact with geographical context and evolve over time.
3.4. Variables
3.4.1. Dependent Variable
The focal point of inquiry in Equations (1) and (2) rests on the HSE, a construct meticulously delineated by the evaluative framework presented in Table 1. Acknowledging the plausible implications of migratory dynamics and ancillary impacts instigated by urban renewal processes, it becomes imperative to scrutinize the presence of spatial correlation within the HSE, a premise supported by preceding scholarly endeavors. To ascertain this spatial interdependence, we employed Moran’s I index, a statistical measure that elucidates spatial autocorrelation patterns. The mathematical expression for calculating Moran’s I is thereby formulated as follows:
where i and j represent region i and region j, S2 is the sample variance, is the sample mean, and is the spatial weight matrix representing the spatial relationships between regions, including the adjacency matrix, geographic matrix, economic–geographic matrix, etc. The value of Moran’s I typically ranges from −1 to 1, where a larger absolute value indicates a stronger correlation. Specifically, if the Moran’s I value is positive, it indicates positive spatial correlation. If the Moran’s I value is zero, it indicates no spatial correlation. If the Moran’s I value is negative, it indicates a negative spatial correlation. Due to the strong economic characteristics of the human settlement environment, constructing a weight matrix based solely on geographical distance cannot objectively reflect its economic associations. Therefore, this study selected an economic–geographic weight matrix [39] (W1) and an economic–geographic nested weight matrix [40] (W2) to measure the spatial relationships. W1 is constructed by taking the reciprocal of the distance between city i and city j multiplied by the product of the ratio of the average per capita GDP of city i to the average per capita GDP of all cities. , where and represent the geographic distance weight matrix and the economic distance weight matrix, respectively. In this study, the geographic matrix and the economic matrix were considered to have equal weights, with set to 0.5.
3.4.2. Key Independent Variable
In our research, the pivotal independent variable revolves around the degree of urban renewal undertaken in a given city at a specific temporal juncture. Urban renewal, recognized as a multidimensional phenomenon, not only entails the physical revitalization of spaces but also embraces advancements in the intangible facets of urbanity. To measure the intensity of urban renewal, we adopted a suite of indicators that collectively encapsulate the breadth and depth of urban transformation. These indicators are structured under three principal categories: urban infrastructure development, industrial development, and urban construction. Firstly, urban infrastructure development (Infra) is assessed through metrics such as the total completed fixed asset investments in municipal public facilities (Invest), the length of urban drainage pipeline networks (Pipe), and the per capita availability of the road surface area (Road). Secondly, the industrial development (Industry) is gauged by examining the shares of the secondary (Second) and tertiary sectors (Third) in the city’s Gross Domestic Product (GDP), highlighting structural shifts and economic diversification. Lastly, urban construction (Urban) encompasses fiscal health and spatial expansion, measured via the local government’s general public budget revenue (Income), the area designated for residential land use (Floor), and the allocation for industrial land (Industrial). This ensemble of indicators furnishes a comprehensive perspective on the multifaceted dimensions of urban renewal efforts in the studied cities.
3.4.3. Control Variable
Given the presence of various factors that can influence the urban human settlement environment, this study focused on representative variables from four key aspects: population density, external investment, employment situation, and human capital level.
- (1)
- Population density (Pop): The rapid urbanization process has resulted in a significant influx of rural population into cities. High population density can exert considerable pressure on urban transportation, the ecological environment, and living conditions, leading to frequent urban challenges. To measure population density, this study used the number of people per square kilometer.
- (2)
- External investment (Foreign): As comprehensive national strength grows, capital investments from foreign countries or regions play a crucial role in driving urban development and improving the living standards of urban residents. To represent the intensity of external investment, this study employed the number of contracted projects for foreign direct investment.
- (3)
- Unemployment (Unemployed): Unemployment directly affects household income and consumption levels for the majority of the urban population, consequently impacting the urban economic environment. To evaluate the level of unemployment, this study utilized the number of registered unemployed individuals in the city.
- (4)
- Human capital (Education): The level of human capital in cities directly reflects the quality of the urban economic environment. Enhanced human capital can increase individual employment opportunities, elevate income levels, and subsequently influence urban consumption levels. To measure the level of human capital in cities, this study considered the proportion of higher education students to the registered population.
4. Result and Discussion
4.1. Mapping the Spatial Variability and Temporal Trajectories of the HSE
Figure 3 graphically represents the city-level distribution of the HSE scores for the years 2009, 2014, and 2019, employing the natural breaks classification methodology. The visual depiction reveals stark spatial heterogeneity in the HSE, with a conspicuous trend of elevated scores clustering along the eastern coastal belt relative to the more inland, western territories. Over the decade under scrutiny, a pervasive trend of improvement in HSE is evident across the Jiangsu, Zhejiang, and Anhui provinces. Initially, in 2009, the aggregate mean HSE score for the 40 surveyed cities stood at roughly 0.3. By the conclusion of the study period in 2019, this mean had ascended appreciably to approach 0.4. This temporal evolution is further underscored by a broad-based enhancement across all score categories, evidenced by the lowest recorded HSE value escalating from 0.107 in 2009 to a peak of 0.919 in 2019. Collectively, these observations attest to a salutary shift in the HSE landscape throughout the timeframe investigated, underscoring the efficacy of urban renewal and development strategies in fostering more livable and sustainable human settlements.
Figure 3.
Geospatial depiction of HSE scores across cities, 2009–2019.
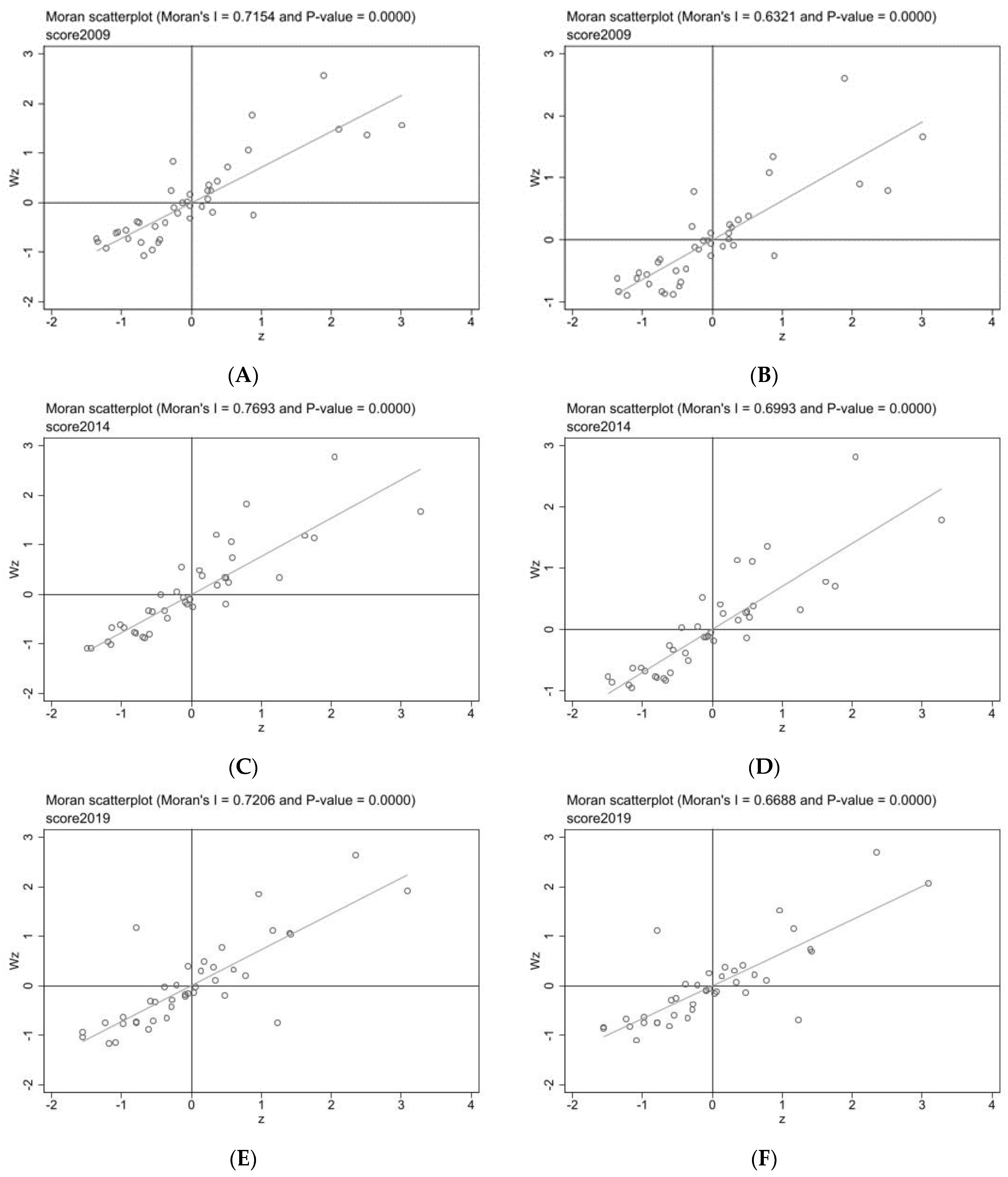
To further unravel the intricate spatio–temporal dynamics of the HSE, we computed Moran’s I index for every city within the tri-provincial domain encompassing Jiangsu, Zhejiang, and Anhui from 2009 through 2019 (detailed in Table 2). Focusing on the landmark years 2009, 2014, and 2019 as illustrative instances, the HSE scores were classified into four quadrants—high–high, low–high, low–low, and high–low—reflecting varying combinations of spatial autocorrelation. These classifications facilitate the understanding of the clustering of high or low HSE scores in geographical proximity. To visualize these patterns explicitly, Local Indicators of Spatial Association (LISA) scatterplots (Figure 4) were constructed, offering a graphical interpretation of the HSE’s specific distributional characteristics across time and space. These visual analyses provide critical insights into the geographic concentrations of HSE performance and potential drivers behind the observed trends.
Table 2.
Global Moran’s I index for the HSE in Jiangsu, Zhejiang, and Anhui (2009–2019).
Figure 4.
Spatial distribution of cities based on HSE using W1 and W2, 2009–2019. (A) Scatterplot distribution for W1 2009. (B) Scatterplot distribution for W2 2009. (C) Scatterplot distribution for W1 2014. (D) Scatterplot distribution for W2 2014. (E) Scatterplot distribution for W1 2019. (F) Scatterplot distribution for W2 2019.
Drawing upon the evidentiary base provided in Table 2, it emerges that both the economic–geographical weight matrix and the nested variant thereof yield positively valued Moran’s I indices for the HSE. Importantly, these indices consistently surpassed the 1% significance threshold, affirming the robustness of our findings. This collectively underscores that the distribution of the HSE across the cities was not arbitrary; rather, it manifested a pronounced level of spatial dependence, implying that the HSE of a city is intricately tied to that of its spatial neighbors. Consequently, these results emphasize the pivotal role of spatial elements in shaping the HSE dynamics amidst the backdrop of urban renewal initiatives. It becomes imperative, therefore, to incorporate spatial correlation in assessments of urban renewal’s repercussions on the human settlement environment, acknowledging that HSE outcomes are not solely a function of local factors but are also influenced by the broader spatial context. Inspection of the LISA scatterplots further illuminate this narrative, revealing a concentration of cities in the third quadrant, indicative of a scenario where cities with high (low) HSE scores tend to be surrounded by similarly high (low) scoring neighbors. This clustering pattern reinforces the notion that spatial contiguity significantly modulates HSE distributions and accentuates the necessity of adopting a spatially explicit analytical lens when deciphering the complexities of urban renewal’s impact on the HSE.
4.2. The Impact of Urban Renewal on the HSE: Benchmark Findings
Based on Equation (1), we probed the relationship between urban renewal activities and their repercussions on the HSE, with the resultant findings tabulated in Table 3. In this structured analysis, Model 1 initiates the exploration by concentrating on the direct impacts of the primary explanatory variables on the HSE without additional controls. Expanding upon this, Model 2 integrates supplementary control measures such as population density and external investment into the mix, alongside the variables retained from Model 1, thereby enhancing the complexity and robustness of the model. Acknowledging the longitudinal nature of the dataset and to further refine our estimates, Model 3 adopts a two-way fixed-effects model, informed by the outcomes of the Hausman test and the inclusion of policy-specific dummy variables. This model rigorously assesses the temporal and cross-sectional dynamics influencing the connection between urban renewal and the HSE.
Table 3.
Benchmark results on the impact of urban renewal on HSE.
Notably, the reported R-squared statistics for the trio of models—0.763 for Model 1, 0.689 for Model 2, and 0.975 for Model 3—reveal the escalating explanatory power, with Model 3 demonstrating the highest capacity to account for the variance in HSE outcomes. These values signify the degree to which our models captured the variability in the HSE, with Model 3 achieving an especially high explanatory adequacy. Crucially, all three models attained statistical significance at the stringent 1% confidence level, attesting to the robust and credible nature of the observed associations between the explanatory variables and the HSE. This statistical significance reinforces our conviction in the reliability of the findings, underscoring that the dynamics of urban renewal indeed exert a quantifiable and substantial influence on shaping the human settlement environment.
The outcomes of the regression analyses for Models 1 and 2 affirmatively highlight a substantial, positive association between urban renewal endeavors and enhancements in the HSE. Progressing to Model 3, which employs a sophisticated two-way fixed-effects methodology, a more nuanced dissection of the underlying mechanisms was conducted. Specifically, this model delves into the roles of urban infrastructure advancements and shifts in industrial composition. Of note is the fact that Model 3 discloses that completed fixed asset investments channeled into urban municipal public facilities exert a profound, beneficial effect on the human settlement environment, evidenced by a statistically significant coefficient of 0.013 at the 0.01 significance level. This finding underscores the paramount importance of robust infrastructure development in fostering improved living environments. Furthermore, the coefficients pertaining to the contributions of the secondary (0.025) and tertiary (0.024) industries to the GDP, both statistically significant at the 5% level, attest to the transformative power of industrial restructuring and upgradation in augmenting the environmental quality for human habitation. This implies that urban renewal’s facilitation of industrial transitions towards higher value-added and service sectors is instrumental in elevating the HSE.
Regarding the multifaceted impact of urban construction, the results are twofold. A positive contribution arises from enhancements in local general public budget revenue, reflected in a coefficient of 0.021, and an expansion in industrial land area, with a coefficient of 0.013, both of which significantly boost the human settlement environment. Conversely, an unexpected negative coefficient (−0.03) was attached to residential land area, intimating that while expanding residential areas might intuitively benefit the environment, it inadvertently introduces countervailing pressures. This paradox could stem from a complex interplay between residential expansion and its dual implications for economic development and ecological sustainability, necessitating careful calibration in urban planning.
Moreover, the control variables conformed to anticipated patterns. Higher human capital was positively correlated with better human settlement environments, as more educated urban residents typically see improved job prospects, heightened incomes, greater consumption, accelerated economic growth, and a more favorable living environment. Conversely, population density, foreign investment counts, and unemployment figures showed no substantial bearing on the urban HSE. This may be due to China’s rapid urbanization, marked by uniformly high population densities across cities, especially in the Yangtze River Delta region of Jiangsu, Zhejiang, and Anhui. Hence, additional population density has marginal relevance to the HSE. Amidst the progress towards high-quality economic growth, foreign investments, though contributory, hold lesser sway than domestic investments, particularly from local firms. With minimal foreign capital involvement and a stable economic trajectory averaging a 7.8% annual GDP growth from 2009 to 2019, alongside low unemployment rates, the effect of unemployment on the HSE is negligible.
4.3. The Impact of Urban Renewal on the HSE: Mechanisms
The results from our GTWR analysis, summarized in Table 4, delve into the intricate web of relationships that exist between the dynamic changes in the HSE and a multitude of urban renewal indicators over space and time. This advanced modeling approach yielded notably high R-squared and adjusted R-squared values, both surpassing 0.95, which affirm the model’s exceptional fitness and its prowess in accurately explicating the complex interplay between the independent variables and the HSE. These statistical measures assure us of the model’s capability to provide a robust and nuanced understanding of the underlying mechanisms driving the impact of urban renewal on shaping and enhancing the human settlement environment across diverse spatial–temporal contexts.
Table 4.
GTWR parameter estimates.
Figure 5, Figure 6, Figure 7 and Figure 8 visually depict the geographic disparities in how various factors influence the HSE over distinct chronological intervals. Notably, the analysis accounts for a policy intervention—the State Council’s 2013 directive on shantytown rehabilitation. Acknowledging a latency in policy execution, our study demarcates 2014 as the inception year of national policy enforcement, thereby defining 2009–2013 as the pre-policy epoch and 2015–2019 as the post-policy era.
Figure 5.
Spatio-temporal dynamics of policy effects in urban renewal’s influence on the HSE.
Figure 6.
Spatio-temporal dynamics of infrastructure investment effects in urban renewal’s influence on the HSE.
Figure 7.
Spatio-temporal dynamics of industrial progress effects in urban renewal’s influence on the HSE.
Figure 8.
Spatio-temporal dynamics of material renewal effects in urban renewal’s influence on the HSE.
Overall, the temporal dynamics reveal evolving HSE factor impacts. Post-2009, the urban renewal policies’ HSE enhancement weakened, with local budgets and residential land dominating until 2013, joined by the tertiary sector’s GDP share. However, post-2014, the tertiary and secondary sectors’ GDP shares emerged as prime influencers, signaling industrial transformation’s ascendancy in sculpting the human settlement environment. The key observations include the following:
- (1)
- Policy Dimension (Figure 5): Local policy interventions are largely conducive to the HSE enhancement, with their potency escalating over time following their implementation. Pivoting around the 2014 national policy milestone, the 2009–2013 phase saw Jiangsu and Zhejiang provinces bask in the zenith of positive policy impact. Conversely, from 2015 to 2019, Anhui and Jiangsu emerged as new focal points, albeit with some southern Zhejiang cities, prominently Wenzhou, encountering adverse effects.
- (2)
- Infrastructure Investment Dynamics (Figure 6): The trajectory of fixed asset investments in municipal public facilities’ influence on HSE transitioned from adverse to favorable. Until 2013, all cities registered detrimental regression coefficients. Post-2014, however, a reversal in the coefficient polarity became prevalent across many cities, implying a strengthening constructive influence. This transformation aligns with the advent of the “Lucid Waters and Lush Mountains” green development philosophy, highlighting infrastructure investments’ escalating role in bolstering the HSE. Meanwhile, the contribution of urban drainage pipeline length to HSE improvement was generally positive but stabilizing. Between 2009 and 2013, regions in Zhejiang and southern Jiangsu reaped the lion’s share of benefits from extended drainage systems. Post-2014, the ameliorative effect dropped off, potentially due to rapid urbanization and mature infrastructure in these locales, diminishing the incremental advantage of further pipeline extensions on the HSE.
- (3)
- Industrial Progress (Figure 7): The progress of industrial structure exerts a substantial effect on the HSE, with the secondary industry’s GDP contribution displaying a stable, primarily positive impact. Between 2009 and 2013, the regression coefficients for 40 cities consistently hovered within a [0.04, 0.07] band. While Wenzhou and Taizhou momentarily showed a 2014 decline, the period from 2015 to 2019 witnessed a stronger, predominantly positive influence across the cities, particularly in Jiangsu and northern Anhui. The tertiary industry’s GDP share had a more substantial bearing, with cities like Yancheng, Huai’an, Taizhou, Nanjing, Hangzhou, and Hefei consistently benefitting. Moreover, the Yangtze River cities registered significantly higher coefficients compared to their southern Zhejiang coastal counterparts, highlighting the tertiary sector’s enhanced HSE impact in the Yangtze region.
- (4)
- Material Renewal (Figure 8): The physical revitalization of spaces significantly shapes the HSE landscape through multiple avenues. Local general public budget revenue, despite being generally positive, waned in influence over the timeline. The northern Anhui cities initially saw the most positive impact, yet post-2014 policy implementation, the southern Zhejiang cities exhibited a positive surge, except for Lianyungang’s marginal negative coefficient. Residential land area generally fostered a positive HSE environment, yet with notable fluctuations, transitioning from negative dominance in northern Anhui and Jiangsu (2009–2013) to a positive swing favoring Zhejiang post-2014. Industrial land area mostly positively influenced the HSE, with initial mixed signals at provincial borders evolving into a more definitive positive trend concentrated in cities like Lu’an, Hefei, and Huai’an from 2015 to 2019, while southern Zhejiang cities experienced negative effects.
5. Conclusions
This investigation employed an extensive analytical framework utilizing panel data spanning from 2009 to 2019, leveraging ordinary panel regression and fixed-effects models to scrutinize the determinants and pathways through which urban renewal shapes the HSE. To unravel the geographical and chronological nuances, a geographically and temporally weighted regression model was adopted, shedding light on the spatial–temporal heterogeneities in urban renewal’s environmental impact. Our findings reveal a general upward trend in HSE quality across the cities since 2009, with progression rates diverging across various phases. Metropolises such as Nanjing, Hangzhou, Hefei, and Suzhou, characterized by advanced economies, have outpaced less prosperous zones in northern Jiangsu and Anhui in environmental quality. The spatial clustering analyses underscored the existence of high–high and low–low agglomerations, reflecting areas with consistently superior or inferior human settlement conditions, respectively.
A salient discovery entails the affirmation of a positive correlation between urban renewal endeavors and HSE improvement, suggesting that renewal projects yield favorable outcomes. Nonetheless, these enhancements exhibited spatial disparities, with Yangtze River Delta hubs and economically vibrant territories witnessing more dramatic enhancements. Moreover, our work underscores the multifaceted influence of urban renewal on the HSE through infrastructural enhancements, industrial stimulation, and construction activities. Initial potent policy effects have attenuated over time amidst intricate interplays among impacting variables, while the roles of population density, external investment, and urban unemployment remain inconclusive in our present study. The spatial–temporal dynamics also unveiled variable importance shifts among influencing factors, pivoting from an urban construction magnitude to an industrial development emphasis, underlining the centrality of industrial restructuring and modernization for HSE enhancement.
Our study innovatively contributes to the discourse by establishing an HSE assessment framework and deploying sophisticated modeling techniques to explore the causal mechanisms and spatio–temporal dynamics of urban renewal’s HSE impact. We affirm the pivotal role of industrial evolution in shaping the HSE and advocate for urban renewal strategies harmonized with local industrial contexts, emphasizing tailored policies that prioritize structural adjustments in urban industries. Such an approach paves the way for human-centric urbanization and HSE augmentation.
While offering empirical insights into HSE uplift via urban renewal and bridging a research gap by integrating urban renewal with HSE considerations, we acknowledge limitations. Data constraints necessitated focusing on shantytown renovation as a proxy for broader urban renewal and limiting the scope to prefectural cities, bypassing granular analysis at the county level. Future inquiries should aspire to broaden the purview of urban renewal activities under examination and delve deeper into county-level impacts for a holistic comprehension of HSE transformations.
Author Contributions
Conceptualization, writing—original draft preparation, methodology, supervision: L.Z.; reviewing and editing, data curation, visualization: Y.Z.; methodology, data curation: Z.F. All authors have read and agreed to the published version of the manuscript.
Funding
This research was funded by the following foundations: National Social Science Foundation of China (No. 22BJY122); Ministry of Education Chunhui Programme (No. HZKY20220324).
Data Availability Statement
The data presented in this study are available on request from the corresponding author. The data are not publicly available due to the fact that it contains data that is subject to further research.
Conflicts of Interest
The authors declare no conflicts of interest.
References
- Kang, Y.H.; Zhang, F.; Gao, S.; Peng, W.Z.; Ratti, C. Human settlement value assessment from a place perspective: Considering human dynamics and perceptions in house price modeling. Cities 2021, 118, 103333. [Google Scholar] [CrossRef]
- Xia, C.; Yeh, A.G.-O.; Zhang, A. Analyzing spatial relationships between urban land use intensity and urban vitality at street block level: A case study of five Chinese megacities. Landsc. Urban Plan. 2020, 193, 103669. [Google Scholar] [CrossRef]
- Cao, K.; Deng, Y.; Wang, W.; Liu, S. The spatial heterogeneity and dynamics of land redevelopment: Evidence from 287 Chinese cities. Land Use Policy 2023, 132, 106760. [Google Scholar] [CrossRef]
- Zhu, H.; Yu, W.; Li, J. The Spatial Injustice in Tourism-Led Historic Urban Area Renewal: An Analytical Framework from Stakeholder Analysis. Curr. Issues Tour. 2024, 27, 1229–1248. [Google Scholar] [CrossRef]
- Li, H.; Dong, A.; Hu, X.; Fu, H. Innovative Research on Urban Renewal Operation Mechanism and Evolution: Based on Ecological Theory. Fresenius Environ. Bull. 2021, 30, 7933–7938. [Google Scholar]
- Lee, C.; Liang, C.-M.; Chen, C.-Y. The Impact of Urban Renewal on Neighborhood Housing Prices in Taipei: An Application of the Difference-in-Difference Method. J. Hous. Built Environ. 2017, 32, 407–428. [Google Scholar] [CrossRef]
- Ferrari, E. Competing Ideas of Social Justice and Space:Locating Critiques of Housing Renewal in Theory and in Practice. Int. J. Hous. Policy 2012, 12, 263–280. [Google Scholar]
- Zhang, W.; Zhang, X.; Wu, G. The Network Governance of Urban Renewal: A Comparative Analysis of Two Cities in China. Land Use Pol. 2021, 106, 105448. [Google Scholar] [CrossRef]
- Li, H.; Zhou, L.-A. Political turnover and economic performance: The incentive role of personnel control in China. J. Public Econ. 2005, 89, 1743–1762. [Google Scholar] [CrossRef]
- Han, L.; Lu, M. Housing prices and investment: An assessment of China’s inland-favoring land supply policies. J. Asia Pac. Econ. 2017, 22, 106–121. [Google Scholar] [CrossRef]
- Li, J. Land sale venue and economic growth path: Evidence from China’s urban land market. Habitat Int. 2014, 41, 307–313. [Google Scholar] [CrossRef]
- Huang, Z.; Du, X. Strategic interaction in local governments’ industrial land supply: Evidence from China. Urban Stud. 2017, 54, 1328–1346. [Google Scholar] [CrossRef]
- Zhou, L.; Tian, L.; Cao, Y.; Yang, L. Industrial land supply at different technological intensities and its contribution to economic growth in China: A case study of the Beijing-Tianjin-Hebei region. Land Use Policy 2021, 101, 105087. [Google Scholar] [CrossRef]
- Deng, F. Gated community and residential segregation in urban China. GeoJournal 2017, 82, 231–246. [Google Scholar] [CrossRef]
- Chen, Q.X.; Zhang, K.W.; Zhang, G.Y.; Zhang, M.Y. Vulnerability assessment on human settlement environment of coastal towns with entire-array-polygon method: Evidence from Ninghai, China. Environ. Dev. Sustain. 2024, 1–24. [Google Scholar] [CrossRef]
- Li, J.B.; Huang, X.J.; Kwan, M.P.; Yang, H.; Chuai, X.W. The effect of urbanization on carbon dioxide emissions efficiency in the Yangtze River Delta, China. J. Clean. Prod. 2018, 188, 38–48. [Google Scholar] [CrossRef] [PubMed]
- Wang, B.; Hu, D.; Hao, D.; Li, M.; Wang, Y. Influence of Government Information on Farmers’ Participation in Rural Residential Environment Governance: Mediating Effect Analysis Based on Moderation. Int. J. Environ. Res. Public Health 2021, 18, 12607. [Google Scholar] [CrossRef] [PubMed]
- Chen, L.; Tao, J. Will Model of Polycentric Synergetic Governance Be “The Good Road to Governance” of Rural Habitat Environment? J. Northwest AF Univ. (Soc. Sci. Ed.) 2024, 24, 10–21. [Google Scholar]
- Lin, S.; Hou, L. SDGs-Oriented Evaluation of the Sustainability of Rural Human Settlement Environment in Zhejiang, China. Heliyon 2023, 9, e13492. [Google Scholar] [CrossRef] [PubMed]
- Wang, Y.; Zhu, Y. Exploring the Effects of Rural Human Settlement on Rural Development: Evidence from Xianju County in Zhejiang Province, China. Environ. Dev. 2023, 46, 100845. [Google Scholar] [CrossRef]
- Chen, J. Temporal-Spatial Assessment of the Vulnerability of Human settlement environment in Urban Agglomerations in China. Environ. Sci. Pollut. Res. 2023, 30, 3726–3742. [Google Scholar] [CrossRef] [PubMed]
- Gao, J.; Cao, F.; Sun, D.; Bai, Z.; Lang, Z. Composite Characteristic and Mechanism Analysis of Human settlement environment in Jinan City Based on Demand Hierarchy Theory. Buildings 2023, 13, 1624. [Google Scholar] [CrossRef]
- Zhou, X.; Ao, R.; Zhu, Y.; Chen, J.; Shen, X.; Aihemaitijiang, Y. Urban human settlements’ resilience measurement and characteristics and their mechanism model in China. PLoS ONE 2023, 18, e0289754. [Google Scholar] [CrossRef] [PubMed]
- Stal, G.Y.; Zuberi, D.M. Ending the Cycle of Poverty through Socio-Economic Integration: A Comparison of Moving to Opportunity (MTO) in the United States and the Bijlmermeer Revival Project in the Netherlands. Cities 2010, 27, 3–12. [Google Scholar] [CrossRef]
- Wang, Y.; Li, J.; Zhang, G.; Li, Y.; Asare, M.H. Fuzzy Evaluation of Comprehensive Benefit in Urban Renewal Based on the Perspective of Core Stakeholders. Habitat Int. 2017, 66, 163–170. [Google Scholar] [CrossRef]
- Yao, Z. The Design of Marine Architecture: A Renewal and Development of Coastal City Space Perspective. J. Coast. Res. 2020, 106, 347–350. [Google Scholar]
- Tang, M.; Hong, J.; Wang, X.; He, R. Sustainability Accounting of Neighborhood Metabolism and Its Applications for Urban Renewal Based on Emergy Analysis and SBM-DEA. J. Environ. Manag. 2020, 275, 111177. [Google Scholar] [CrossRef] [PubMed]
- Li, X.; Hui, E.C.M.; Chen, T.; Lang, W.; Guo, Y. From Habitat III to the New Urbanization Agenda in China: Seeing through the Practices of the “Three Old Renewals” in Guangzhou. Land Use Pol. 2019, 81, 513–522. [Google Scholar] [CrossRef]
- Page, B.; Ross, E. Legacies of a Contested Campus: Urban Renewal, Community Resistance, and the Origins of Gentrification in Denver. Urban Geogr. 2017, 38, 1293–1328. [Google Scholar] [CrossRef]
- Wallace, A. The Inbetweeners: Living with Abandonment, Gentrification and Endless Urban ‘Renewal’ in Salford, UK: A Cross-National Perspective. In Social Housing and Urban Renewal; Emerald Publishing Limited: Bingley, UK, 2017. [Google Scholar]
- Yang, R.; Lin, Y. Rural Spatial Transformation and Governance from the Perspective of Land Development Rights: A Case Study of Fenghe Village in Guangzhou. Growth Chang. 2022, 53, 1102–1121. [Google Scholar] [CrossRef]
- Konove, A. Making a Modern Barrio: Infrastructure and Progress in Mexico City, 1900–1903. J. Urban Hist. 2020, 46, 516–540. [Google Scholar] [CrossRef]
- Dai, M.; Zhang, H. Luo Wanting. Theory and Practice of Urban Development Transformation--An Introduction to Shenzhen’s Development Transformation. Urban Probl. 2013, 12, 84–88. [Google Scholar]
- Chang, J.F.; Wang, W.; Liu, J.L. Industrial upgrading and its influence on green land use efficiency. Sci. Rep. 2023, 13, 2813. [Google Scholar] [CrossRef] [PubMed]
- Ye, L.; Peng, X.; Aniche, L.Q.; Scholten, P.H.T.; Ensenado, E.M. Urban Renewal as Policy Innovation in China: From Growth Stimulation to Sustainable Development. Public Adm. Dev. 2021, 41, 23–33. [Google Scholar] [CrossRef]
- Hsu, K.-W.; Chao, J.-C. Economic Valuation of Green Infrastructure Investments in Urban Renewal: The Case of the Station District in Taichung, Taiwan. Environments 2020, 7, 56. [Google Scholar] [CrossRef]
- Deng, Y.; Fu, B.; Sun, C. Effects of Urban Planning in Guiding Urban Growth: Evidence from Shenzhen, China. Cities 2018, 83, 118–128. [Google Scholar] [CrossRef]
- Wu, P.; Zhong, K.; Wang, L.; Xu, J.; Liang, Y.; Hu, H.; Wang, Y.; Le, J. Influence of Underlying Surface Change Caused by Urban Renewal on Land Surface Temperatures in Central Guangzhou. Build. Environ. 2022, 215, 108985. [Google Scholar] [CrossRef]
- Shuai, S.; Xin, L.; Jianhua, C.; Lili, Y. China’s Economic Policy Choices for Governing Smog Pollution Based on Spatial Spillover Effects. Econ. Res. J. 2016, 51, 73–88. [Google Scholar]
- Li, W.; Cai, J.; Zhu, Y.; Li, J.; Li, Z. Can digital finance development drive green transformation in manufacturing? Evidence from China. Environ. Sci. Pollut. Res. 2024, 31, 23876–23895. [Google Scholar] [CrossRef]
Disclaimer/Publisher’s Note: The statements, opinions and data contained in all publications are solely those of the individual author(s) and contributor(s) and not of MDPI and/or the editor(s). MDPI and/or the editor(s) disclaim responsibility for any injury to people or property resulting from any ideas, methods, instructions or products referred to in the content. |
© 2024 by the authors. Licensee MDPI, Basel, Switzerland. This article is an open access article distributed under the terms and conditions of the Creative Commons Attribution (CC BY) license (https://creativecommons.org/licenses/by/4.0/).







