Integrating Virtual Walkthroughs for Subjective Urban Evaluations: A Case Study of Neighbourhoods in Sheffield, England
Abstract
1. Introduction
- -
- RQ1: Is there a general sense of agreement amongst people when they virtually assess a range of qualitative aspects (affordability, social inclusion, social cohesion, attitude, and overall assessment) of urban neighbourhoods?
- -
- RQ2: What kind of visual characteristics do people observe while assessing urban neighbourhoods using virtual walkthroughs?
- -
- RQ3: How do participants’ perceptions of aesthetics, social cohesion, and other relevant factors, as captured through virtual walkthroughs, correlate with the standard objective measures of deprivation?
2. Materials and Methods
2.1. Study Design and Survey
- (i)
- participants must be located in the UK,
- (ii)
- participants should have an approval rate of 95–100,
- (iii)
- participants should be using a tablet or desktop to access the survey.
- (i)
- Participants were required to read an information sheet and provide consent, as required by the ethics process at the primary authors’ institution.
- (ii)
- Participants were shown 1 location (of 10, randomly selected for each participant) on Google Street View (Figure 1, left) that focussed on a specific section of a road.
- (iii)
- As a control question, participants were asked to go up and down the road they were assigned (on Street View) and count the number of cars parked on either side of the road while observing the neighbourhood [41].
- (iv)
- Participants were then asked to answer a set of questions designed to capture their perception of the different aspects of the neighbourhood.

- (i)
- Questions included both open-ended and closed-ended questions, and most of the questions assessed qualitative perspectives of being in the neighbourhood.
- (ii)
- In order to ensure that the survey would not be too intense for participants, participants were provided with a random selection of five open-ended questions (of nine). These questions, derived from factors that have an influence on planning outcomes [42], were aimed at assessing the following aspects of the neighbourhood:
- a.
- general attractiveness (Q3.1),
- b.
- composition of neighbourhoods (Q3.2),
- c.
- local ownership of community (Q3.3),
- d.
- community spirit (Q3.4),
- e.
- aesthetic value (Q9.1),
- f.
- level of comfort (Q9.2),
- g.
- level of satisfaction (Q9.3),
- h.
- sense of belonging (Q9.4),
- i.
- sense of security (Q9.5).
These factors are difficult to quantify, are qualitative in nature, and do not appear in the standard quantitative metrics and, hence, were deemed appropriate for inclusion in the study. - (iii)
- In addition to the open-ended questions, participants were asked questions on their assessment of:
- a.
- affordability of the neighbourhood (Q4),
- b.
- social inclusion (Q5),
- c.
- social cohesion (Q6),
- d.
- overall assessment (Q7),
- e.
- positive attitude (Q8).
2.2. Participant Information
2.3. Data Collection
- (a)
- Virtual walkthrough data—The participant responses from the virtual walkthrough survey included textual, nominal, and ordinal data and were completely anonymised. The data included participants’ subjective assessments on different parameters such as safety, aesthetic appeal, community spirit, local ownership of the community, affordability, social inclusion and cohesiveness, comfort and satisfaction level of residents, and sense of belonging for ten urban neighbourhoods. The regions were selected based on different demographic profiles and Indices of Multiple Deprivation. Respondents provided their subjective assessments using Google Street View and the overall ratings of the neighbourhood they ‘visited’. Each participant was only allowed one virtual visit, and repeat contributions were disabled.
- (b)
- English indices of deprivation—This secondary dataset [43] consisted of the Lower-layer Super Output Area (LSOA) that each postcode fell within and the deprivation data for that LSOA. This included ranks and deciles of the Index of Multiple Deprivation and its seven domains—Income, Employment, Education, Skills and Training, Health and Disability, Crime, Barriers to Housing and Services, and Living Environment. Indices for Income Deprivation affecting children and older people (IDACI and IDAOPI) were used alongside other measures of deprivation to focus on specific age groups. We expected this to address age-related vulnerabilities and provide a comprehensive understanding of the socioeconomic landscape. Table 1 provides an overview of the socioeconomic profile of these regions, demonstrating the range of different locations selected for the walkthroughs.
2.4. Analysis
- (a)
- Data Preprocessing
- (b)
- Kruskal–Wallis Test
- (c)
- Keyword extraction
- (d)
- Spearman Rank Correlation
3. Results
3.1. Perception of the Participants
- Affordability: Significant variations in perception about the affordability of different places could be attributed to factors such as local economic conditions, housing policies, or demographic characteristics.
- Social Inclusion and Social Cohesion: Significant differences in perceptions for these attributes may suggest variations in community demographics, levels of diversity, social programs, or community engagement initiatives.
- Positive Attitude and Overall Ratings: Significant differences in positive attitude and overall ratings between neighbourhoods may indicate variations in factors such as residents’ perceptions of safety, amenities, public services, and overall quality of life.
3.2. Comparison of Participant Perception with IMD Scores
- (1)
- Place 5 (IMD decile 2): Despite being identified as the most deprived neighbourhood according to the IMD, a small percentage of participants rated it 1 (1.02%) and 2 (9.18%) on the Likert Scale. This indicates that some individuals have a more positive qualitative perception of this neighbourhood compared to what the IMD decile suggests.
- (2)
- Place 1 (IMD decile 3): This neighbourhood is identified as one of the deprived regions. Only 5.56% of people rated this place as 4, and none of the participants rated it as 5 (least deprived), which indicates that participants’ subjective evaluations align with the objective measure of deprivation in the identified neighbourhood.
- (3)
- Place 3 and Place 8 (IMD decile 3): These neighbourhoods, despite being identified as deprived according to the IMD, received higher ratings from a considerable number of participants. This suggests that there might be visual features of these neighbourhoods that offer a more favourable perception among certain participants.
- (4)
- Place 6 and Place 10 (IMD decile 5): These neighbourhoods are moderately deprived, and most of the participants rated them as 2, 3, and 4, which reflects a balanced perception of the neighbourhood, acknowledging both positive and negative aspects associated with moderate deprivation.
- (5)
- Place 2, Place 9, Place 4, and Place 7 (IMD deciles 7, 7, 9, and 10, respectively): These neighbourhoods, which are considered the least deprived regions based on the IMD deciles, align well with participants’ perception of being favourable neighbourhoods. This alignment indicates that participants’ perceptions are consistent with the low levels of deprivation indicated by the governmental index.

- (a)
- Significant Negative Correlations with Affordability (p-Value ≤ 0.05):
- (b)
- No Significant Correlations with Social Inclusion, Social Cohesion, and Positive Attitude (p-Value > 0.05):
- (c)
- Significant Correlations with Overall Perception (p-Value ≤ 0.05):
| Income | Employment | Education and skills | Health and Disability | Crime | Barriers to Housing and Service | Living Environment | IDACI | IDAOPI | IMD Decile | |
|---|---|---|---|---|---|---|---|---|---|---|
| Affordability | −0.58 | −0.62 | −0.77 | −0.74 | −0.62 | −0.35 | −0.15 | −0.58 | −0.38 | −0.77 |
| p = 0.08 >0.05 | p = 0.06 >0.05 | p = 0.01 <0.05 | p = 0.02 <0.05 | p = 0.06 >0.05 | p = 0.32 >0.05 | p = 0.67 >0.05 | p = 0.01 <0.05 | p = 0.27 >0.05 | p = 0.01 <0.05 | |
| Social inclusion | −0.02 | 0.022 | 0.14 | −0.11 | 0.32 | 0.04 | −0.5 | −0.16 | −0.21 | −0.02 |
| p = 0.96 >0.05 | p = 0.95 >0.05 | p = 0.70 >0.05 | p = 0.75 >0.05 | p = 0.37 >0.05 | p = 0.92 >0.05 | p = 0.14 >0.05 | p = 0.66 >0.05 | p = 0.56 >0.05 | p = 0.96 >0.05 | |
| Social cohesion | −0.22 | −0.07 | 0.04 | −0.07 | 0.47 | 0.11 | 0.145 | 0 | −0.32 | 0.04 |
| p = 0.55 >0.05 | p = 0.84 >0.05 | p = 0.92 >0.05 | p = 0.84 >0.05 | p = 0.17 >0.05 | p = 0.76 >0.05 | p = 0.69 >0.05 | p = 1 >0.05 | p = 0.36 >0.05 | p = 0.92 >0.05 | |
| Positive attitude | 0.18 | 0.3 | 0.04 | −0.7 | 0.47 | 0.11 | 0.14 | 0 | −0.32 | 0.04 |
| p = 0.62 >0.05 | p = 0.39 >0.05 | p = 0.92 >0.05 | p = 0.84 >0.05 | p = 0.17 >0.05 | p = 0.76 >0.05 | p = 0.69 >0.05 | p = 1 >0.05 | p = 0.36 >0.05 | p = 0.92 >0.05 | |
| Overall rating | 0.67 | 0.72 | 0.75 | 0.74 | 0.72 | 0.4 | −0.05 | 0.76 | 0.55 | 0.84 |
| p = 0.03 <0.05 | p = 0.02 <0.05 | p = 0.01 <0.05 | p = 0.01 <0.05 | p = 0.02 <0.05 | p = 0.26 >0.05 | p = 0.89 >0.05 | p = 0.01 < 0.05 | p = 0.10 >0.05 | p = 0.002 <0.05 |
3.3. Analysis of Open-Ended Responses
3.3.1. Most Deprived Places
“… the houses look nice, most of them were well-maintained. There was lots of green space. It didn’t seem cramped, it wasn’t too full of cars.”
“… how safe and calm it is.”
“Well manicured gardens with plenty of evidence of civic pride in neighbourhoods, elderly housing was evident with a large number of family dwelling.”
“lower class families. just from looking at the cars and the houses. very small houses. old cars.”
“… would feel unsafe there because it feels like a poor or deprived area. This is because of the small terraced houses.”
“… not my sort of attractive area but it is ok to live in. It looks like it is made up of council houses and usually people in council houses are poor and there might be a high rate of crime in such an area”.
“… low income neighbourhood with small households.”
“… well maintained much litter and well kept houses. The appearance suggests that residents have local ownership.”
“… clean and tidy but not attractive, the street lighting is minimal but there is rails to help the elderly.”
“… great but it feels claustrophobic.”
“… wouldn’t say a strong community spirit but the houses are all well keeps, and the area is clean and tidy so some level of care has gone into the area from the community.”
“… little rough and a bit derelict. It looks quite damp and sad and there isn’t much around it like shops or parks…”
“Isolated, lonely, not very attractive.”
“… not the best example of an attractive residential area but there are plenty of worse examples in this country. The public areas were free of rubbish and the houses appeared to be in a decent state…”
3.3.2. Medium Level of Deprivation
- Income,
- Employment,
- Education and Skills,
- Health and Disability.
- Crime,
- Barriers to Housing and Society,
- Living Environment.
“… very aesthetically pleasing. There are a lot of trees and shrubbery, greenery brightens up streets and neighbourhoods. The grassy areas are well tended and the houses/flats look well maintained.”
“I sense security is high in the area again due to the appearance of the area being nice and tidy. I would suspect a very close neighbourhood where everyone looks out for each other”
“… a poor working class living there, not much social houses.”
“… no indication of any vandalism or anything. The street seemed well kept. This also gives people pride about living there which evokes a happy lifestyle.”
“… looks neglected. I appreciate that if the houses are social housing then the council are at fault, but there is very little planting or decor to suggest any pride in their home.”
“block of flats definitely feels unsafe to me as a small woman.”
“… relatively poor neighbourhood. Therefore, I think there is a higher risk of crime there.”
“working class families”.
“It’s very residential and safe for young families”.
“Some of the home owners have made efforts to enhance the appearance of their property and provide off street parking, which is aesthetically pleasing”.
3.3.3. Least-Deprived Places
“White, middle aged, lower middle class/working class, in employment.”
“It felt like a very busy road with not much garden or space for cars.”
“… well presented houses and plenty of trees/bushes. The houses are a good size with driveways/parking, however the quality of the road itself looks poor and needs upkeep—suspect it’s lacking attention or not a priority for the local council.”
“level of satisfaction would be low because it feels like a poor area and the place doesn’t look that good so.”
“… looks orderly; this invokes a sense of security. Residents have private space to park their cars.”
“… looks pleasant so has a good aesthetic value. It is tidy and quiet which makes it seem like a nice and safe place to be.”
“… attractive area, the houses are well kept with tidy gardens. The area is specious and there are plenty of trees.”
3.4. Key Findings
- There is a prevailing inclination towards a moderate level of satisfaction among participants, indicating a balanced perception of the neighbourhoods under investigation. This suggests that individuals tended to avoid expressing extreme opinions, whether overtly positive or negative, and instead, their feedback or responses fell within a more moderate and balanced range. This balanced perspective might indicate a nuanced and thoughtful evaluation of the neighbourhoods, possibly considering both positive and negative aspects without leaning towards extreme judgments.
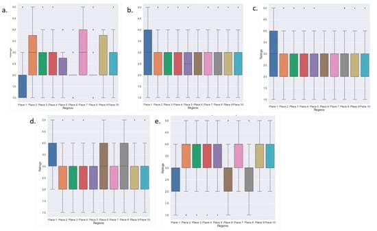
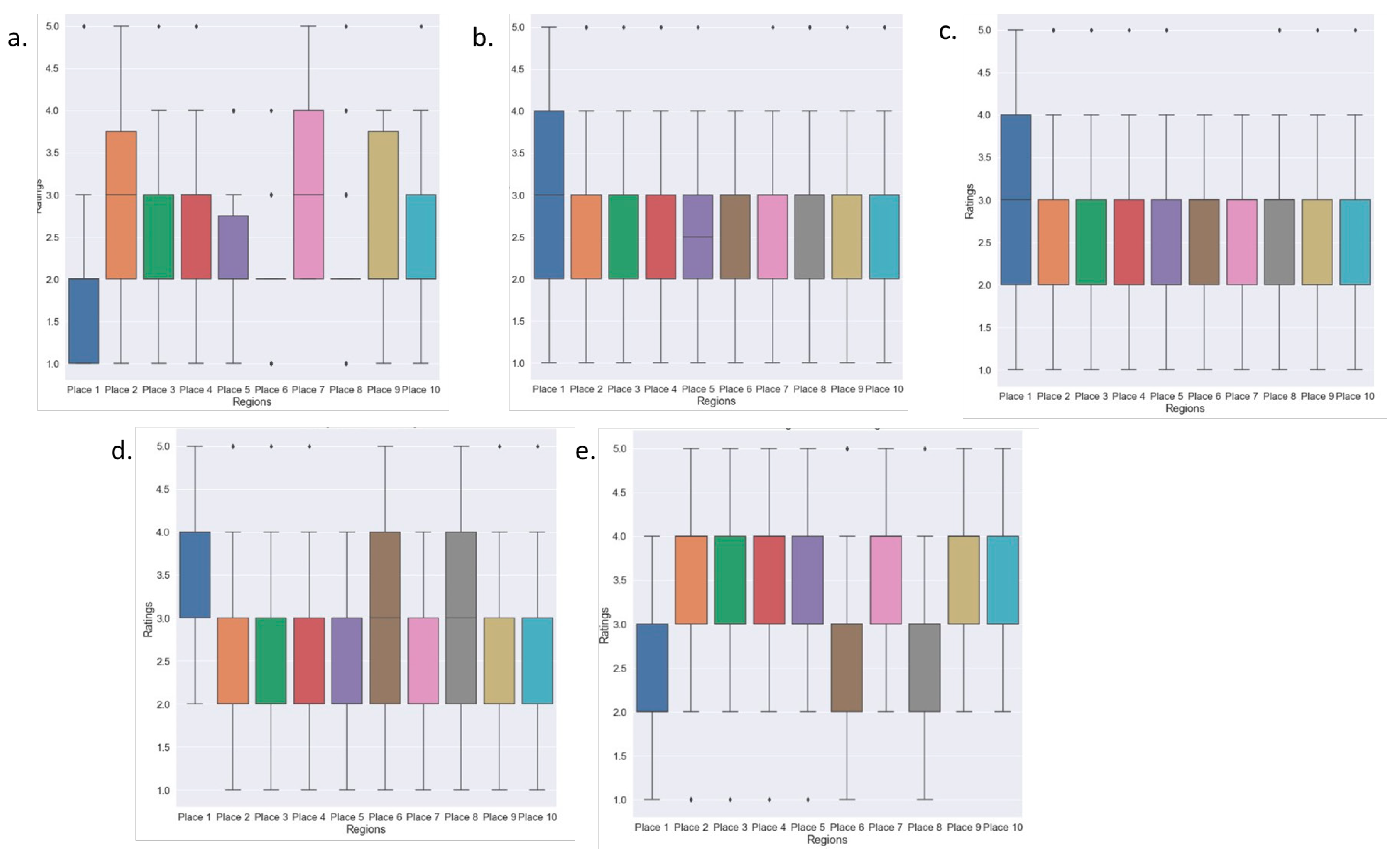
- The distribution of participants’ perceptions regarding attributes such as affordability, social inclusion, social cohesion, positive attitude, and overall perception appeared to be skewed, with the exception of a few places where a more balanced spread of perceptions was observed. The skewed distribution of the respondents were positive (a higher perception or rating) and negative (a lower perception or rating). These interpretations were, however, based on observing visual cues in the box plots (Figure 4), and there might have been ambiguity due to the inherent limitations of box plots in fully capturing the complexities of the data distributions.
- There was some evidence that the overall subjective assessments of the neighbourhoods were aligned with certain Indices of Multiple Deprivation factors, such as income, employment, education and skills, health and disability, crime, and IDACI (Income Deprivation Affecting Children Index). However, while assessing specific qualitative attributes (e.g., social inclusion, social cohesion, and positive attitude) of the neighbourhoods with respect to the IMD factors, our analysis revealed that the perceptions were, to some extent, compatible with the Index of Multiple Deprivation but not significantly correlated with any of the IMD dimensions. Participant assessments of affordability were significantly negatively correlated with Education and Skills, Health and Disability, IDACI (Income Deprivation Affecting Children Index), and overall IMD.
- In assessing the most deprived places, participants tended to observe characteristics such as aesthetically pleasing, tidy spacious, neighbourhood clean, feels secure, boundaries fenced, and street clean for their positive assessments, while observing characteristics such as well looked, rubbish street, green clean, working class, sense pride, and feels claustrophobic for their negative assessments.
- In assessing moderately deprived places, participants tended to observe characteristics such as attractive area, little cramped, tidy properties, litter graffiti, aesthetically pleasing, security high, homely neighbourhood, semi-detached, and sense pride for their positive assessments, while observing characteristics such as lower class, well kept, socialising street view, poor strangers, comfortable fairly, depressing area, and feel unsafe for their negative assessments.
- In assessing the least-deprived places, participants tended to observe characteristics such as neighbourhood attractive, nicely spaced, liked greenery, rubbish street, safe welcoming, secure boundaries, security high, security cameras, little cramped, and well maintained for their positive assessments, while observing characteristics such as new build, planting gardens, middle class, working class, privately owned, litter clean, and socialising street view for their negative assessments.
4. Discussion
Author Contributions
Funding
Data Availability Statement
Acknowledgments
Conflicts of Interest
Appendix A. Virtual Walkthrough for Assessing Urban Quality
- -
- Pay attention to the visual features of the neighbourhood as you explore it
- -
- Count the number of cars parked only on either side of the street.
- -
- Subjectively assess any qualitative aspects of the street (e.g., homely, safe, attractive)
- <Embedded Google Street View Location (1 randomly selected from 10)>
- Q25 What is your Prolific ID?
- Please note that this response should auto-fill with the correct ID
- ________________________________________________________________
- How many cars on the street did you count?
- ________________________________________________________________
- 2.
- Could you briefly (in 2 or 3 sentences) describe what did you do during the exploration of this neighbourhood?
- ________________________________________________________________
- ________________________________________________________________
- ________________________________________________________________
- ________________________________________________________________
- ________________________________________________________________
- Start of Block: Please answer the following 2 questions (Randomly selected 2 of 4)
- Q3.1 Do you think this area is attractive? What visual feature makes you feel this way? (please be as descriptive as you can)
- ________________________________________________________________
- ________________________________________________________________
- ________________________________________________________________
- ________________________________________________________________
- ________________________________________________________________
- Q3.2 From visually observing this neighbourhood, what do you feel about the composition of the neighbourhood? (please be as descriptive as you can)
- ________________________________________________________________
- ________________________________________________________________
- ________________________________________________________________
- ________________________________________________________________
- ________________________________________________________________
- Q3.3 From visually observing this neighbourhood, do you feel there is a local ownership of the community living here? (please be as descriptive as you can)
- ________________________________________________________________
- ________________________________________________________________
- ________________________________________________________________
- ________________________________________________________________
- ________________________________________________________________
- Q3.4 Do you think this neighbourhood has a strong community spirit? What visual features make you think this way? (please be as descriptive as you can)
- ________________________________________________________________
- ________________________________________________________________
- ________________________________________________________________
- ________________________________________________________________
- ________________________________________________________________
- Start of Block: Please answer the following questions:
- Q4 Do you think this is an affordable neighbourhood?
- o
- Definitely not (1)
- o
- Probably not (2)
- o
- Might or might not (3)
- o
- Probably yes (4)
- o
- Definitely yes (5)
- Q5 Do you think this area is socially inclusive? (Social inclusion is the act of making all groups of people within a society feel valued and important)
- o
- Definitely not (1)
- o
- Probably not (2)
- o
- Might or might not (3)
- o
- Probably yes (4)
- o
- Definitely yes (5)
- Q6 Do you think this area is socially cohesive? (Social cohesion refers to the strength of relationships and the sense of solidarity among members of a community)
- o
- Definitely not (1)
- o
- Probably not (2)
- o
- Might or might not (3)
- o
- Probably yes (4)
- o
- Definitely yes (5)
- Q7 On a scale of 1–5, overall, how would you rate this neighbourhood?
- o
- 1 (1)
- o
- 2 (2)
- o
- 3 (3)
- o
- 4 (4)
- o
- 5 (5)
- Q8 Do you think this neighbourhood promotes a positive attitude?
- o
- Definitely not (1)
- o
- Probably not (2)
- o
- Might or might not (3)
- o
- Probably yes (4)
- o
- Definitely yes (5)
- Start of Block: Please answer the following 3 questions (Randomly selected 3 of 5)
- Q9.1 What do you feel about the aesthetic value of this neighbourhood? What aspects of this neighbourhood that you observed makes you feel this way? (please be as descriptive as you can)
- ________________________________________________________________
- ________________________________________________________________
- ________________________________________________________________
- ________________________________________________________________
- ________________________________________________________________
- Q9.2 What do you feel about the level of comfort of being in this neighbourhood? What aspects of this neighbourhood that you observed makes you feel this way? (please be as descriptive as you can)
- ________________________________________________________________
- ________________________________________________________________
- ________________________________________________________________
- ________________________________________________________________
- ________________________________________________________________
- Q9.3 Overall, what do you feel about your level of satisfaction being in this neighbourhood? What aspects of this neighbourhood that you observed makes you feel this way? (please be as descriptive as you can)
- ________________________________________________________________
- ________________________________________________________________
- ________________________________________________________________
- ________________________________________________________________
- ________________________________________________________________
- Q9.4 What do you feel about the sense of belonging in this neighbourhood? What aspects of this neighbourhood that you observed makes you feel this way? (please be as descriptive as you can)
- ________________________________________________________________
- ________________________________________________________________
- ________________________________________________________________
- ________________________________________________________________
- ________________________________________________________________
- Q9.5 What do you feel about the sense of security of being in this neighbourhood? What aspects of this neighbourhood that you observed makes you feel this way? (please be as descriptive as you can)
- ________________________________________________________________
- ________________________________________________________________
- ________________________________________________________________
- ________________________________________________________________
- ________________________________________________________________
- Start of Block: End of survey message
- Q26 Thank you for taking part in this survey. Please click the button below to be redirected to Prolific and register your submission
Appendix B. Geographical Description of Sheffield
Appendix C. Detailed Results
| Significantly Different Mean Ranks | Affordability | Social Inclusion | Social Cohesion | Positive Attitude | Overall Ratings |
|---|---|---|---|---|---|
| Place 1–Place 2 | ✓ | ✓ | ✓ | ✓ | |
| Place 1–Place 3 | ✓ | ✓ | ✓ | ✓ | ✓ |
| Place 1–Place 4 | ✓ | ✓ | ✓ | ✓ | ✓ |
| Place 1–Place 5 | ✓ | ✓ | ✓ | ✓ | ✓ |
| Place 1–Place 6 | ✓ | ✓ | ✓ | ||
| Place 1–Place 7 | ✓ | ✓ | ✓ | ✓ | |
| Place 1–Place 8 | ✓ | ✓ | ✓ | ✓ | |
| Place 1–Place 9 | ✓ | ✓ | ✓ | ✓ | |
| Place 1–Place 10 | ✓ | ✓ | ✓ | ✓ | |
| Place 2–Place6 | ✓ | ✓ | |||
| Place 2–Place 8 | ✓ | ✓ | ✓ | ||
| Place 2–Place 10 | ✓ | ✓ | ✓ | ||
| Place 3–Place 6 | ✓ | ✓ | ✓ | ||
| Place 3–Place 8 | ✓ | ✓ | |||
| Place 4–Place 6 | ✓ | ✓ | ✓ | ✓ | |
| Place 4–Place 8 | ✓ | ✓ | ✓ | ✓ | |
| Place 4–Place 10 | ✓ | ✓ | ✓ | ||
| Place 5–Place 6 | ✓ | ✓ | ✓ | ✓ | |
| Place 5–Place 8 | ✓ | ✓ | |||
| Place 6–Place 9 | ✓ | ✓ | |||
| Place 7–Place 8 | ✓ | ||||
| Place 8–Place 9 | ✓ | ✓ | |||
| Place 8–Place 10 | ✓ | ✓ |
| Attributes | Ratings | Place5 | Place 1 | Place 3 | Place 8 |
|---|---|---|---|---|---|
| Attractive | 1 | empty vocabulary | rundown rough, rough hell, looks rundown | empty vocabulary | empty vocabulary |
| 2 | untidy dated, scenic views, unattractive road | run scruffy, unattractive houses, rubbish visible | |||
| 3 | street England, normal street, like normal | quite busy, neater everyone, driveways cars | |||
| 4 | really buildings, look nice, buildings look | looks lovely, gardens looks, well looked | |||
| 5 | NOT RATED | well looked, rubbish street, neat tidy | |||
| Composition | 1 | houses flats, appears council, council houses | really grim, visually unappealing, unappealing street | empty vocabulary | houses flats, council houses, local authority |
| 2 | lower class, slightly kilter, composition straight | busy neighbourhood, social housing, looks cheap | safe unwelcoming, lonely attractive, isolated lonely | lower class, well kept, residential area | |
| 3 | think poor, poor neighbourhood, neighbourhood attractive | claen quiet, regular neighbourhood, like regular | general housing, housing estate, people together | poor neighbourhood, neighbourhood attractive, social house | |
| 4 | quiet attractive, attractive area, area communal | people low, low incomes, incomes live | green clean, good neighbourhood, working class | attractive area, area communal little cramped | |
| 5 | empty vocabulary | NOT RATED | empty vocabulary | empty vocabulary | |
| Local Ownership | 1 | empty vocabulary | empty vocabulary | empty vocabulary | empty vocabulary |
| 2 | community ownership, ownership community, believe much | think council, council property, property houses | community ownership, community living, shape pavement | ||
| 3 | tight neighbourhood | well cared, looks well, area looks | evidence case, sure honest, houses cars | tight neighbourhood, like area | |
| 4 | tidy properties, looks neat, front garden | well maintained, well kept, much litter | housing area, locals see, sense pride | tidy properties, looks neat, front garden | |
| 5 | empty vocabulary | NOT RATED | ownership community, community living, feel local | empty vocabulary | |
| Community Spirit | 1 | empty vocabulary | tightly packed, packed neighbourhood, houses tightly | empty vocabulary | empty vocabulary |
| 2 | run neglected, little rough | maybe honestly, honestly idea | seemed cramped, cramped urban, conservatories likely | feels like, socialising streetview, little rough | |
| 3 | neighbourhood strong, good relations, neighbors good | together tending, tending gardens, know living | possibly cul-de sac, parked manner | neighbourhood strong, good relations, spirit street | |
| 4 | cul de, street clean, litter graffiti | together easy, plus community, people interact | space community, cars space, care community | well kept, street clean, litter graffiti | |
| 5 | think communal, clothes drying | NOT RATED | tidy community, street tidy, community respect | think communal, general tidiness, drying racks | |
| Aesthetic Value | 1 | little aesthetic, individuality, flats outdated | really messy, messy unattractive, road narrow | empty vocabulary | value houses little aesthetic individuality flats |
| 2 | unkempt slightly, slightly neglected, looks poor | really pleasing, english houses, graffiti rubbish | houses fine, gardens reasonable, fine poor | THE litter looks poor low homes | |
| 3 | ordinary looking, looking estate, green space | aesthetically pleasing, look generic, views countryside | well build, tight cars, clean tidy | ordinary looking looking estate green space | |
| 4 | look nice, side congested, parking cars | would happy, cant look, people houses | great feels feels claustrophobic maintained houses | look nice side congested parking can | |
| 5 | tidy spacious, neighbourhood clean, aesthetically pleasing | NOT RATED | attractive every style personalised kept tidy | tidy spacions. neighbouthood clean, aesthetically pleasing | |
| Level of Comfort | 1 | run poor, poor strangers, greeted suspicion | empty vocabulary | empty vocabulary | poor strangers feel comfortable—poer |
| 2 | comfortable area, feel comfortable | comfort neighbourhood. ove friendly quiet safe | comfortable area world contained comfortable fairly | ||
| 3 | really boasting, boasting comfort, may comfort | look big looking bricks comfort looking | neighbourhood beating boasting comfort beaten track | ||
| 4 | nice place, looked nice, size cramped | noise free, free area, driving noise | nice place size cramped looked nice | ||
| 5 | empty vocabulary | NOT RATED | empty vocabulary | empty vocabulary | |
| Level of Satisfaction | 1 | long neighborhood, nothing interest | satisfied neighborhood, neighbourhood appealing, depressing live | empty vocabulary | stay long Jong neighborhood improve houses |
| 2 | quite depressing, depressing area | low level, level satisfaction, better areas | live unstractive looks satisfying satisfaction high | quite depressing pretty average depressing area | |
| 3 | pretty clean, clean neighbourhood, always satisfying | satisfied attractive, attractive neighbourhood, nice lock | particularly attractive ok neighbourhood really ok | pretty clean always satisfying clean neighbourhood | |
| 4 | safe quiet, felt safe, attractive neighbourhood | unkeep houses, residents satisfied, shows residents | good clean clean tids relatively happy | safe quiet, attractive neighbourhood threatened crowded | |
| 5 | feels nice, access cleanliness, strong community | NOT RATED | well kept neighbouhood well feel satisfied | access cleaniness. stro community satisfied area | |
| Sense of Belonging | 1 | empty vocabulary | uninviting doubt, looks uninviting, doubt people | empty vocabulary | empty vocabulary |
| 2 | know maybe, feel excluded, excluded neighbourhood | belonging street, open space neighborhood surrow | think sense think people people - | ||
| 3 | feel belonging | well cared, neighbourhood hard. look well | gardens everyone well kept kept gardens | feel belonging belonging opposite | |
| 4 | empty vocabulary | surrounding clean | stands belonging belonging neighbourhood working class | included respect houses similar feel included | |
| 5 | NOT RATED | well conjuntained street gardens houses well | empty vocabulary | ||
| Sense of Security | 1 | empty vocabulary | unsafe opinion. street garages, rough unsafe | empty vocabulary | empty vocabulary |
| 2 | secure lots, open space, unsafe small | ground floor | people unlikeh safer everything, eventhing cramped | secure lots, open space feels unsafe | |
| 3 | feel safe, safety security | street lighthing lighting cameras property unlikely | feel conforable conforable cars. concerned sobberies | feel safe safety security security area | |
| 4 | secure boundaries, boundaries fenced, feels secure | closeness house helps people secure neighbour | houses drives secure quite quite secure | secure boundaries feels secure boundaries fenced | |
| 5 | security high, nice tidy, high area | NOT RATED | trouble street good obviously good | security high suspect close. close neighbourhood |
| Attributes | Ratings | Place 6 | Place 10 |
|---|---|---|---|
| Attractive | 1 | empty vocabulary | NOT RATED |
| 2 | empty vocabulary | ||
| 3 | |||
| 4 | |||
| 5 | |||
| Composition | 1 | houses flats, council houses, local authority | NOT RATED |
| 2 | lower class, well kept, residential area | working class, spacious neighbourhood, cramped narrow | |
| 3 | poor neighbourhood, neighbourhood attractive, social house | young families, residential safe, safe young | |
| 4 | attractive area, area communial, little cramped | class area, social houses, poor working | |
| 5 | empty vocabulary | empty vocabulary | |
| Local Ownership | 1 | empty vocabulary | NOT RATED |
| 2 | community ownership, community living, shape pavement | type families, take pride, properties road | |
| 3 | tight neighbouhood, like area | know local, maintenance street, yes street | |
| 4 | tidy properties, looks neat, front grades | understanding people, street understanding, nice live | |
| 5 | empty vocabulary | empty vocabulary | |
| Community Spirit | 1 | empty vocabulary | NOT RATED |
| 2 | feels like, socialising streetview, little rough | upkeep renovation, clean looked, think street | |
| 3 | neighbourhood strong, good relations, sprit street | looked people, determined street, think strong | |
| 4 | well kept, street clean, litter graffiti | people work, street front, front yards | |
| 5 | think communal, general tidiness, drying racks | empty vocabulary | |
| Aesthetic Value | 1 | value houses, little aesthetic, individuality flats | NOT RATED |
| 2 | run litter, looks poor, low houses | quite cheap, houses look, road attractive | |
| 3 | ordinary looking, looking estate, green space | average houses, street honest, much greenery | |
| 4 | look nice, side congested, parking cars | style houses, neighborhood cars, homely neighborhood | |
| 5 | tidy spacious, neighbourhood clean, aesthetically pleasing | empty vocabulary | |
| Level of comfort | 1 | poor strangers, feel comfortable, run poor | NOT RATED |
| 2 | comfortable area, small contained, comfortable fairly | think comfortable, security would | |
| 3 | neighbourhood beaten, boasting comfort, beaten track | neighbourhood aesthetically, aesthetically pleasing, quite clean | |
| 4 | nice place, size cramped, looked nice | street neighbourhood, kids played, terraces flats | |
| 5 | empty vocabulary | empty vocabulary | |
| Level of Satisfaction | 1 | stay long, long neighborhood, improve homes | NOT RATED |
| 2 | quite depressing, pretty average, depressing area | people area, area look, neighborhood sburban | |
| 3 | pretty clean, always satisfying, clean neighbourhood | satisfied comfortable, comfortable looking, unsatisfied street | |
| 4 | safe quiet, attractive neighbourhood, threatened crowded | satisfied extent, feels safe, nice street | |
| 5 | access cleanliness, strong community, satisfied area | empty vocabulary | |
| Sense of Belonging | 1 | empty vocabulary | NOT RATED |
| 2 | think sense, think people, people sense | feel belonging, personally feel, seem cared | |
| 3 | feel belonging, belonging opposite | belonging visuals, assess belonging | |
| 4 | included respect, house similar, feel included | tell neighbours, semi-detached, big houses | |
| 5 | empty vocabulary | empty vocabulary | |
| Sense of Security | 1 | empty vocabulary | NOT RATED |
| 2 | secure lots, open space, feels unsafe | security hard, impact security, unsafe area | |
| 3 | feel safe, safety security, security area | determine street, reasonably safe, secure street | |
| 4 | secure boundaries, feels secure, boundaries fenced | strong feelings, sense pride, safe street | |
| 5 | security high, suspect close, close neighbourhood | empty vocabulary |
| Attributes | Ratings | Place 2 | Place 9 | Place 4 | Place 7 |
|---|---|---|---|---|---|
| Attractive | 1 | empty vocabulary | NOT RATED | empty vocabulary | NOT RATED |
| 2 | new build, way attractive, planting gardens | empty vocabulary | empty vocabulary | empty vocabulary | |
| 3 | yes houses, quite nice, houses quite | trees plants, stone walls, looked tidy | |||
| 4 | organisation neighbourhood, neighbourhood attractive, tidy houses | liked greenery, street clean, rubbish street | |||
| 5 | spaced small, small neighbourhood, nicely spaced | structure buildings, stone bricks, trees flowers | |||
| Composition Local Ownership | 1 | empty vocabulary | NOT RATED | empty vocabulary | NOT RATED |
| 2 | houses fairly, fairly spaced | lower class, well kept, residential area | working class, center town, class area | lower class, well kept, residential area | |
| 3 | quiet looking, middle class, family neighbourhood | poor neighbourhood, neighbourhood attractive, social house | average middle, suburban area, private housing | poor neighbourhood, neighbourhood attractive, social house | |
| 4 | good looking, safe welcoming, middle class | attractive area, area communal, little cramped | lovely street, nice friendly, looked nice | attractive area, area communal, little cramped | |
| 5 | neat passers, nicely designed, well thought | empty vocabulary | felt safe, peaceful neighbourhood, working class | empty vocabulary | |
| Community Spirit | 1 | privately owned, people rent, newbuilds assume | NOT RATED | empty vocabulary | NOT RATED |
| 2 | looked close, fences separating, community living | community ownership, community living, shape pavement | tidy gardens, space cars, litter clean | white cladding, red brick, feels narrow | |
| 3 | fairly clean, proud houses, notice people | tight neighbourhood, like area | ownership view, sense local, nice enough | tight neighbourhood, like area | |
| 4 | well cared, looks well, houses next | tidy properties, properties distinctive, front garden | seems peaceful, many houses, nice neighbourhood | tidy properties, properties distinctive, front garden | |
| 5 | include unemployment, seems affluent, information economy | empty vocabulary | empty vocabulary | empty vocabulary | |
| Aesthetic Value | 1 | empty vocabulary | empty vocabulary | NOT RATED | |
| 2 | roads fence, parking issues, fence seperating | feels like, socialising streetview, little rough | ordinary street, good community, cars parked | feels like, socialising streetview, little rough | |
| 3 | think gardens, personalised houses, clean tidy | neighbourhood strong, good relations, spirit street | yes terraced, houses likely, tidy litter | neighbourhood strong, good relations, spirit street | |
| 4 | kept clean, gardens kept, yes clean | well kept, strret clean, litter graffiti | well maintained, looked tidy, tidy well | well kept, strret clean, litter graffiti | |
| 5 | small culdesac, culdesac people, seems small | think communal, general tidiness, drying racks | empty vocabulary | empty vocabulary | |
| Level of comfort | 1 | empty vocabulary | NOT RATED | empty vocabulary | NOT RATED |
| 2 | much individuality, individuality houses, colour gardens | run litter, looks poor, low houses | street appeal, private land, crowded area | run litter, looks poor, low houses | |
| 3 | colour houses, tidy trees, pleasant enough | ordinary looking looking estate, green space | well maintained, looked attractive, trees aesthetically | ordinary looking looking estate, green space | |
| 4 | calming tidy, houses gardens, ways clean | look nice, side congested, parking cars | looks okay, looked gardens, clean area | look nice, side congested, parking cars | |
| 5 | spaced apart, nicely spaced, gardens space | tidy spacious, neighbourhood clean, aesthetically pleasing | empty vocabulary | empty vocabulary | |
| Level of Satisfaction | 1 | empty vocabulary | NOT RATED | empty vocabulary | NOT RATED |
| 2 | comfortable look, cheap 80’s, small compact | comfortable area, small contained, comfortable fairly | fairly comfortable, trees general, gardens make | comfortable area, feel comfortable, fairly small | |
| 3 | seemed quiet, comfortable nice, feel uneasy | neighbourhood beaten, boasting comfort, beaten track | suburban area, reasonable clean, litter graffiti | really boasting, boasting comfort, beaten track | |
| 4 | quiet, clean secure, modern houses | nice place, size cramped, looked nice | cleanliness damage, comfortable welcoming, safe neighbourhood | range properties, nice place, size cramped | |
| 5 | fences observe, would safe, walking street | empty vocabulary | nice looked, feel comfortable, trees gardening | empty vocabulary | |
| Sense of Belonging | 1 | empty vocabulary | NOT RATED | empty vocabulary | NOT RATED |
| 2 | live neighbourhood, especially strangers, neighbourhood like | quite depressing, pretty average, depresing area | satisfying neighbourhood, parked outside, people decent | quite depressing, pretty average, depressing area | |
| 3 | happy live, would disappointed, clean area | pretty clean, always satisfying, clean nighbourhood | living cramped, satisfied living, little crowded | pretty clean, always satisfying, clean neighbourhood | |
| 4 | living area, seems pleasant, pleasant prosperous | safe quiet, attractive neighbourhood, theatened crowded | warm inviting, scenery trees, enjoyed neighbourhood | safe quiet, attractive neighbourhood, threatened crowded | |
| 5 | good thing, satisfied living, sense community | acess cleanliness, strong community, satsfied area | nice community, welcomes people, safe could | acess cleanliness, strong community, satisfied area | |
| Sense of Security | 1 | empty vocabulary | NOT RATED | NOT RATED | NOT RATED |
| 2 | hate people, belong hate, sense identity | think sense, think people, people sense | counting cars, belonging focussed, focussed counting | think sense, think people, people sense | |
| 3 | relate aspects, belonging houses, aspects neighbourhood | feel belonging, belonging opposite | white fairly, stood either | feel belonging, belonging opposite | |
| 4 | looks calm, calm inviting, neighbourhood interesting | included respect, houses similar, feel included | get feelings, look nice, feelings belonging | included respect, houses similar, feel included | |
| 5 | people similar, belong people, amount income | empty vocabulary |
References
- Delpino-Chamy, M.; Albert, Y.P. Assessment of Citizens’ Perception of the Built Environment throughout Digital Platforms: A Scoping Review. Urban Sci. 2022, 6, 46. [Google Scholar] [CrossRef]
- Tan, R.K.J.; Wu, D.; Day, S.; Zhao, Y.; Larson, H.J.; Sylvia, S.; Tang, W.; Tucker, J.D. Digital approaches to enhancing community engagement in clinical trials. npj Digit. Med. 2022, 5, 27. [Google Scholar] [CrossRef] [PubMed]
- Herre, B.; Arriagada, P. The Human Development Index and Related Indices: What They Are and What We Can Learn from Them. Our World in Data. 12 February 2024. Available online: https://ourworldindata.org/human-development-index (accessed on 22 February 2024).
- ICOI. What Is the Quality of Life Index|ICOI. 2 May 2019. Available online: https://www.icoi.org/glossary/quality-of-life-index (accessed on 22 February 2024).
- GOV.UK. English Indices of Deprivation 2019. 26 September 2019. Available online: https://www.gov.uk/government/statistics/english-indices-of-deprivation-2019 (accessed on 22 February 2024).
- Wang, Z.; Chan, K.Y.; Poon, A.N.; Homma, K.; Guo, Y. Construction of an area deprivation index for 2869 counties in China: A census-based approach. J. Epidemiol. Community Health 2021, 75, 114–119. [Google Scholar] [CrossRef] [PubMed]
- Arfeen, M.I.; Sarantis, D.; Pereira, A.F. Assessment of Citizen Perception: A Case Study of Municipal Solid Waste Management System in Guimaraes. In Proceedings of the International Conference on Innovation & Entrepreneurship, Washington, DC, USA, 5–6 March 2018. [Google Scholar]
- Hoehner, C.M.; Brennan Ramirez, L.K.; Elliott, M.B.; Handy, S.L.; Brownson, R.C. Perceived and objective environmental measures and physical activity among urban adults. Am. J. Prev. Med. 2005, 28, 105–116. [Google Scholar] [CrossRef] [PubMed]
- City of Xenia Citizen Perception Survey. 2009. Available online: https://www.cityofxenia.org/Archive/ViewFile/Item/87 (accessed on 22 February 2024).
- Gumah, B.; Aziabah, M.A. Our Lives Are Affected by Government Agencies: Citizens’ Perception Survey as a Measure of Public Service Efficiency in Ghana. SAGE Open 2020, 10, 2158244020935900. [Google Scholar] [CrossRef]
- Kubiszewski, I.; Zakariyya, N.; Costanza, R. Objective and subjective indicators of life satisfaction in Australia: How well do people perceive what supports a good life? Ecol. Econ. 2018, 154, 361–372. [Google Scholar] [CrossRef]
- Petrosillo, I.; Costanza, R.; Aretano, R.; Zaccarelli, N.; Zurlini, G. The use of subjective indicators to assess how natural and social capital support residents’ quality of life in a small volcanic island. Ecol. Indic. 2013, 24, 609–620. [Google Scholar] [CrossRef]
- Weden, M.M.; Carpiano, R.M.; Robert, S.A. Subjective and objective neighborhood characteristics and adult health. Soc. Sci. Med. 2008, 66, 1256–1270. [Google Scholar] [CrossRef]
- Voukelatou, V.; Gabrielli, L.; Miliou, I.; Cresci, S.; Sharma, R.; Tesconi, M.; Pappalardo, L. Measuring objective and subjective well-being: Dimensions and data sources. Int. J. Data Sci. Anal. 2021, 11, 279–309. [Google Scholar] [CrossRef]
- Gray, M.; Lobao, L.; Martin, R. Making space for well-being. Camb. J. Reg. Econ. Soc. 2012, 5, 3–13. [Google Scholar] [CrossRef]
- Fiona, M. Understanding regional cities: Combining quantitative and qualitative methods in case studies of Orange and Goulburn, NSW. Australas. J. Reg. Stud. 2015, 21, 303–322. [Google Scholar]
- Ho, H.C.; Man, H.Y.; Wong, M.S.; Shi, Y.; Walker, B.B. Perceived differences in the (re) production of environmental deprivation between sub-populations: A study combining citizens’ perceptions with remote-sensed and administrative data. Build. Environ. 2020, 174, 106769. [Google Scholar] [CrossRef]
- Labib, S.M.; Lindley, S.; Huck, J.J. Estimating multiple greenspace exposure types and their associations with neighbourhood premature mortality: A socioecological study. Sci. Total Environ. 2021, 789, 147919. [Google Scholar] [CrossRef] [PubMed]
- Ambrose, A.; Goodchild, B.; O’flaherty, F. Understanding the user in low energy housing: A comparison of positivist and phenomenological approaches. Energy Res. Soc. Sci. 2017, 34, 163–171. [Google Scholar] [CrossRef]
- Stiglitz, J.E.; Sen, A.; Fitoussi, J.P. Report by the Commission on the Measurement of Economic Performance and Social Progress. 2009. Available online: https://ec.europa.eu/eurostat/documents/8131721/8131772/Stiglitz-Sen-Fitoussi-Commission-report.pdf (accessed on 22 February 2024).
- Sirgy, M.J.; Widgery, R.N.; Lee, D.-J.; Yu, G.B. Developing a measure of community well-being based on perceptions of impact in various life domains. Soc. Indic. Res. 2010, 96, 295–311. [Google Scholar] [CrossRef]
- Venerandi, A.; Quattrone, G.; Capra, L.; Quercia, D.; Saez-Trumper, D. Measuring urban deprivation from user generated content. In Proceedings of the 18th ACM Conference on Computer Supported Cooperative Work & Social Computing, Vancouver, BC, Canada, 14–18 March 2015; pp. 254–264. [Google Scholar]
- McNutt, K. Public engagement in the Web 2.0 era: Social collaborative technologies in a public sector context. Can. Public Adm. 2014, 57, 49–70. [Google Scholar] [CrossRef]
- Mahabir, R.; Schuchard, R.; Crooks, A.; Croitoru, A.; Stefanidis, A. Crowdsourcing street view imagery: A comparison of mapillary and OpenStreetCam. ISPRS Int. J. Geo-Inf. 2020, 9, 341. [Google Scholar] [CrossRef]
- Li, Y.; Peng, L.; Wu, C.; Zhang, J. Street View Imagery (SVI) in the built environment: A theoretical and systematic review. Buildings 2022, 12, 1167. [Google Scholar] [CrossRef]
- Li, Y. Using Google Street View to investigate the association between street greenery and physical activity. Landsc. Urban Plan. 2019, 191, 103435. [Google Scholar]
- Cinnamon, J.; Jahiu, L. 360-degree video for virtual place-based research: A review and research agenda. Comput. Environ. Urban Syst. 2023, 106, 102044. [Google Scholar] [CrossRef]
- Wang, Z.; Zhu, Z.; Xu, M.; Qureshi, S. Fine-grained assessment of greenspace satisfaction at regional scale using content analysis of social media and machine learning. Sci. Total. Environ. 2021, 776, 145908. [Google Scholar] [CrossRef] [PubMed]
- Trento Oliveira, L.; Kuffer, M.; Schwarz, N.; Pedrassoli, J.C. Capturing deprived areas using unsupervised machine learning and open data: A case study in São Paulo, Brazil. Eur. J. Remote Sens. 2023, 56, 2214690. [Google Scholar] [CrossRef]
- Larkin, A.; Hystad, P. Evaluating street view exposure measures of visible green space for health research. J. Expo. Sci. Environ. Epidemiol. 2019, 29, 447–456. [Google Scholar] [CrossRef] [PubMed]
- Suel, E.; Polak, J.W.; Bennett, J.E.; Ezzati, M. Measuring social, environmental and health inequalities using deep learning and street imagery. Sci. Rep. 2019, 9, 6229. [Google Scholar] [CrossRef] [PubMed]
- Nguyen, Q.C.; Khanna, S.; Dwivedi, P.; Huang, D.; Huang, Y.; Tasdizen, T.; Brunisholz, K.D.; Li, F.; Gorman, W.; Nguyen, T.T.; et al. Using Google Street View to examine associations between built environment characteristics and US health outcomes. Prev. Med. Rep. 2019, 14, 100859. [Google Scholar] [CrossRef] [PubMed]
- Kang, Y.; Zhang, F.; Gao, S.; Lin, H.; Liu, Y. A review of urban physical environment sensing using street view imagery in public health studies. Ann. GIS 2020, 26, 261–275. [Google Scholar] [CrossRef]
- Porzi, L.; Rota Bulò, S.; Lepri, B.; Ricci, E. Predicting and understanding urban perception with convolutional neural networks. In Proceedings of the 23rd ACM International Conference on Multimedia, Brisbane, Australia, 26–30 October 2015. [Google Scholar]
- Law, S.; Paige, B.; Russell, C. Take a look around: Using street view and satellite images to estimate house prices. ACM Trans. Intell. Syst. Technol. 2019, 10, 1–19. [Google Scholar] [CrossRef]
- Li, X.; Zhang, C.; Li, W.; Ricard, R.; Meng, Q.; Zhang, W. Assessing street-level urban greenery using Google Street View and a modified green view index. Urban For. Urban Green. 2015, 14, 675–685. [Google Scholar] [CrossRef]
- Nan, H.; Li, G. Urban neighbourhood environment assessment based on street view image processing: A review of research trends. Environ. Chall. 2021, 4, 100090. [Google Scholar]
- Wang, L.; Han, X.; He, J.; Jung, T. Measuring residents’ perceptions of city streets to inform better street planning through deep learning and space syntax. ISPRS J. Photogramm. Remote. Sens. 2022, 190, 215–230. [Google Scholar] [CrossRef]
- Zhu, J.; Gong, Y.; Liu, C.; Du, J.; Song, C.; Chen, J.; Pei, T. Assessing the Effects of Subjective and Objective Measures on Housing Prices with Street View Imagery: A Case Study of Suzhou. Land 2023, 12, 2095. [Google Scholar] [CrossRef]
- Aditya, S. Is street design and infrastructure perceived differently by persons of different ages, genders, and hierarchy of street? Innov. Infrastruct. Solut. 2022, 7, 278. [Google Scholar]
- Larkin, A.; Krishna, A.; Chen, L.; Amram, O.; Avery, A.R.; Duncan, G.E.; Hystad, P. Measuring and modelling perceptions of the built environment for epidemiological research using crowd-sourcing and image-based deep learning models. J. Expo. Sci. Environ. Epidemiol. 2022, 32, 892–899. [Google Scholar] [CrossRef] [PubMed]
- Mazumdar, S.; Qi, J.; Thakker, D.; Goodchild, B. Understanding Urban Planning Outcomes in the UK: Practitioner Perspectives in Outcome Assessment. Int. J. E-Plan. Res. IJEPR 2023, 12, 1–40. [Google Scholar] [CrossRef]
- English Indices of Deprivation 2019: Postcode Lookup. Available online: https://imd-by-postcode.opendatacommunities.org/imd/2019 (accessed on 22 February 2024).
- Hannah, R. Smart Handling of Missing Data in R—Towards Data Science. Medium. 10 September 2022. Available online: https://towardsdatascience.com/smart-handling-of-missing-data-in-r-6425f8a559f2 (accessed on 24 February 2024).
- Daniel, J. Stemming and Lemmatization in Python NLTK with Examples. Guru99. 13 December 2023. Available online: https://www.guru99.com/stemming-lemmatization-python-nltk.html (accessed on 25 February 2024).
- Juan, R. Using tf-idf to determine word relevance in document queries. In Proceedings of the First Instructional Conference on Machine Learning, Los Angeles, CA, USA, 23–24 June 2003; Volume 242. [Google Scholar]
- Piwowarczyk, T.C.; Oliveira, G.; Lourenço, L.; Behlau, M. Vocal symptoms, voice activity, and participation profile and professional performance of call center operators. J. Voice 2012, 26, 194–200. [Google Scholar] [CrossRef] [PubMed]
- Badowski, D.; Rossler, K.L.; Reiland, N. Exploring student perceptions of virtual simulation versus traditional clinical and manikin-based simulation. J. Prof. Nurs. 2021, 37, 683–689. [Google Scholar] [CrossRef] [PubMed]
- Bobbitt, Z. Dunn’s Test for Multiple Comparisons. Statology. 30 September 2020. Available online: https://www.statology.org/dunns-test (accessed on 25 February 2024).
- Aljedaani, W.; Abuhaimed, I.; Rustam, F.; Mkaouer, M.W.; Ouni, A.; Jenhani, I. Automatically detecting and understanding the perception of COVID-19 vaccination: A middle east case study. Soc. Netw. Anal. Min. 2022, 12, 128. [Google Scholar] [CrossRef] [PubMed]
- García-Ceberino, J.M.; Gamero, M.G.; Ibáñez, S.J.; Feu, S. Are Subjective Intensities Indicators of Player Load and Heart Rate in Physical Education? Healthcare 2022, 10, 428. [Google Scholar] [CrossRef] [PubMed]
- Puth, M.T.; Neuhäuser, M.; Ruxton, G.D. Effective use of Spearman’s and Kendall’s correlation coefficients for association between two measured traits. Anim. Behav. 2015, 102, 77–84. [Google Scholar] [CrossRef]
- Dario, F. Crime, Housing Tenure, and Urban Space: A study of Sheffield. Ph.D. Thesis, University of Sheffield, Sheffield, UK, 2022. [Google Scholar]
- Deans, J. Steel in the UK: A Timeline of Decline. The Guardian. 2016. Available online: https://www.theguardian.com/business/2016/mar/30/steel-in-the-uk-a-timeline-of-decline (accessed on 24 February 2024).
- Palan, S.; Schitter, C. Prolific. ac—A subject pool for online experiments. J. Behav. Exp. Financ. 2018, 17, 22–27. [Google Scholar] [CrossRef]
- Bolton, T.; Larkin, K.; Swinney, P. Advancing Ambitions: Creating a Sustainable Economic Future for Sheffield—Centre for Cities. Centre for Cities. 2 September 2014. Available online: https://www.centreforcities.org/publication/advancing-ambitions-creating-a-sustainable-economic-future-for-sheffield (accessed on 24 February 2024).



| Neighbourhoods | Index of Multiple Deprivation Ranking | Index of Multiple Deprivation Decile |
|---|---|---|
| Place 1 | 6974 | 3 |
| Place 2 | 22,081 | 7 |
| Place 3 | 9219 | 3 |
| Place 4 | 28,869 | 9 |
| Place 5 | 5089 | 2 |
| Place 6 | 13,615 | 5 |
| Place 7 | 31,235 | 10 |
| Place 8 | 8346 | 3 |
| Place 9 | 21,492 | 7 |
| Place 10 | 14,494 | 5 |
| Urban Neighbourhoods | Median Ratings | IMD deciles (Level of Deprivation Index) |
|---|---|---|
| Place 1 | 2 | 3 |
| Place 2 | 4 | 7 |
| Place 3 | 3 | 3 |
| Place 4 | 4 | 9 |
| Place 5 | 3 | 2 |
| Place 6 | 3 | 5 |
| Place 7 | 4 | 10 |
| Place 8 | 3 | 3 |
| Place 9 | 4 | 7 |
| Place 10 | 3 | 5 |
| Kruskal–Wallis Test | |||
|---|---|---|---|
| Test Statistic (H) | Degrees of Freedom (df) | Asymp Sig (2-Sided) | |
| Overall Perception | 244.67 | 9 | 0 |
| Affordability | 234.82 | 9 | 0 |
| Socially Inclusive | 33.44 | 9 | 0 |
| Socially Cohesive | 51.38 | 9 | 0 |
| Positive Attitude | 205.36 | 9 | 0 |
Disclaimer/Publisher’s Note: The statements, opinions and data contained in all publications are solely those of the individual author(s) and contributor(s) and not of MDPI and/or the editor(s). MDPI and/or the editor(s) disclaim responsibility for any injury to people or property resulting from any ideas, methods, instructions or products referred to in the content. |
© 2024 by the authors. Licensee MDPI, Basel, Switzerland. This article is an open access article distributed under the terms and conditions of the Creative Commons Attribution (CC BY) license (https://creativecommons.org/licenses/by/4.0/).
Share and Cite
Roychowdhury, S.; Mazumdar, S.; Thakker, D.; Checco, A.; Lanfranchi, V.; Goodchild, B. Integrating Virtual Walkthroughs for Subjective Urban Evaluations: A Case Study of Neighbourhoods in Sheffield, England. Land 2024, 13, 831. https://doi.org/10.3390/land13060831
Roychowdhury S, Mazumdar S, Thakker D, Checco A, Lanfranchi V, Goodchild B. Integrating Virtual Walkthroughs for Subjective Urban Evaluations: A Case Study of Neighbourhoods in Sheffield, England. Land. 2024; 13(6):831. https://doi.org/10.3390/land13060831
Chicago/Turabian StyleRoychowdhury, Sneha, Suvodeep Mazumdar, Dhavalkumar Thakker, Alessandro Checco, Vitaveska Lanfranchi, and Barry Goodchild. 2024. "Integrating Virtual Walkthroughs for Subjective Urban Evaluations: A Case Study of Neighbourhoods in Sheffield, England" Land 13, no. 6: 831. https://doi.org/10.3390/land13060831
APA StyleRoychowdhury, S., Mazumdar, S., Thakker, D., Checco, A., Lanfranchi, V., & Goodchild, B. (2024). Integrating Virtual Walkthroughs for Subjective Urban Evaluations: A Case Study of Neighbourhoods in Sheffield, England. Land, 13(6), 831. https://doi.org/10.3390/land13060831

