Abstract
The vitality of riverfront districts, as a crucial component of urban livability, is profoundly influenced by human visual perception of the surrounding environment. This study takes the Pearl River in Guangzhou as an example and explores the relationship between the visual perception of the urban riverfront core landscape area and the vitality of Riverfront Road. Employing subjective environment perception prediction methods and analyzing the riverfront landscape pictures captured by the research team, we quantified six essential perceptual dimensions. Furthermore, we evaluated the vitality of Riverfront Road through a four-step process: 1. measuring key visual indices of Riverfront Road, including the green view index (GVI), water view index (WVI), sky view index (SVI), and building view index (BVI); 2. evaluating the proximity of cultural landmarks to Riverfront Road; 3. calculating the convenience of driving, buses, and subways for Riverfront Road with the network analysis method; 4. deriving the vitality value of Riverfront Road through the combination of hotspot data from Baidu. With the application of random forest and result comparisons, we obtained a comprehensive analysis of the correlation between visual perception of the urban riverfront core landscape area and the vitality of Riverfront Road. The results reveal the significant correlation between these two factors and highlight that visual perception of the old city landscape area is superior to that of the new city, although the cultural landmarks and transportation convenience play essential roles in the improvement of vitality in Riverfront Road. It is evident that relying solely on visual design may fail to prominently boost vitality. Overall, spatial design should adopt a multidimensional approach, integrating various factors such as transportation convenience, social interaction venues, cultural activities, etc., to create a cohesive vitality network.
1. Introduction
Regional river systems are the core of urban riverfront landscapes [1,2], which are essential for human health and socio-economic development [3,4]. As human capabilities to transform the natural environment have evolved, riverfront urban landscape areas have increasingly become crucial in enhancing our interactions with rivers [5] and showcasing urban local resources and the status of a city, which contribute to strengthening the locality and traditional characteristics of a city [6]. Riverfront landscapes, reflected in specific landscape environments, function as a composite system of nature and humanity [5], fulfilling various societal, cultural, and ecological roles. On the one hand, they provide cities with a cultural, appreciated, and healthy environment and appearance [7,8]. On the other hand, this type of landscape space offers cultural, supply, regulation, and habitat services at a near-human scale [9], such as providing residents with physical activities and recreational and social venues to relieve their stress and restore mental health [10,11]. In recent years, urban planners have gradually realized that the construction of riverfront greenway landscapes can effectively promote urban progress and act as a key driver for sustainable development. As is put forward in the Guangzhou Urban Environment Master Plan (2022–2030), water ecological protection and restoration should be emphasized to build beautiful rivers and lakes with clear water, green banks, and shallow bottoms with fish swimming, drawing a picturesque picture of the “most beautiful Guangzhou”.
Generally, this study seeks to provide a deeper understanding of the relationship between visual perception and the vitality of Riverfront Road, aiming to guide urban planning and design to enhance the vitality and livability of public spaces. The main three questions to be solved are as follows.
- The difference between subjective perception and vitality: Is there a significant disparity in pedestrians’ perception of the landscape and vitality of Riverfront Road?
- The relationship between perceptual dimensions and vitality: How do various subjective perceptual dimensions (such as sense of security, vitality, aesthetics, etc.), respectively, affect the vitality of Riverfront Road?
- The controlling effect of environmental factors: When evaluating the relationship between visual perception and vitality, how do environmental factors as control variables, such as urban cultural landmarks and accessibility, affect the results?
2. Literature Review
2.1. Street View Images and Visual Perception
It has been shown in research that approximately 80% of the external information perceived by humans is derived from the visual system [12,13], making the visual quality of landscapes crucial for effective environmental planning and management [14]. Kevin Lynch states in The Image of the City, “A city with good visual quality has distinct recognizability… A clear environmental impression can serve as a universal reference system, fostering a sense of security and belonging while enhancing the depth and intensity of individuals’ inner experiences [15]”. Riverfront landscapes reflect the city’s characteristic style, embodying the aesthetic subject’s perception and experience of the city’s overall landscape and cultural connotations. Quantifying the visual perception of landscape spaces is fundamental for elucidating landscape service functions and guiding landscape practices. Therefore, exploring how to quantify visual perception from a human-centric perspective and guide the construction of Riverfront Road’s landscape is vital for the enhancement of residents’ well-being [13]. In the early days, social scientists utilized traditional data collection methods to obtain quantitative data on urban perception, such as questionnaires [16] and field surveys [17], as well as photography and landscape visual preference assessments like scenery beauty evaluation (SBE) and the analytic hierarchy process (AHP) [18]. With the advancement of machine learning and computer vision, the emergence of street view images began to provide elaborate visual information on streets and urban environments. However, it is hard to reflect the aesthetic character of a landscape and precisely convey three-dimensional information due to the limitations of traditional photos’ angles [19,20]. In comparison, the introduction of deep learning technology has brought new opportunities for multidisciplinary research [14]. Image semantic segmentation has been widely applied in the regional assessment of street landscape quality and characters. Through the utilization of deep learning models like DeepLab v3+, 19 categories of Google Street View images can be defined accurately [21]. In the aspect of land identification, image-supervised classification methods have been adopted to protect landscape characteristics in coastal areas [22]. Apart from this, an artificial neural network (ANN) has been utilized to analyze and quantify the aesthetic value of urban parks and further predict the aesthetic value of other parks [23]. The support vector machine (SVM) is used in high-precision analysis and prediction of the perceived aesthetic quality of urban green space images [24]. Finally, the application of spatial simulation modeling techniques such as random forest (RF) helps to evaluate and optimize urban residential landscape design [25]. Compared with traditional landscape perception evaluation methods that rely on questionnaires and expert assessment, evaluation modeling with complex models based on artificial intelligence and neural networks outperforms in dealing with large-scale, high-precision, and complicated structured data samples [14]. Trained image processing models can predict the visual quality of images with similar landscape characters in a mass [26], which will reduce the input of time and cost prominently.
2.2. The Development of Riverfront Vitality Research
Riverfront vitality has a strong bond with stunning landscapes, where indicators such as the green view index (GVI), water view index (WVI), sky view index (SVI), and building view index (BVI) play a vital role [27,28]. In terms of the riverfront landscape, the plants’ distribution and visual richness significantly influence people’s sense of belonging and comfort [29,30]. It is reported in urban pedestrian environment research that the blocks with a high GVI can improve people’s visual pleasure and vitality of the space. As for the riverfront landscape, a correlation exists between a high SVI and factors like air ventilation and natural lighting, which create a sense of openness and safety. The sky view factor (SVF) has been proven to have an impact on human spatial perception, particularly during the design of riverfront landscapes. A high GVI will increase human visual comfort, especially in urban environments with a strong sense of isolation. Additionally, the height, density, style, and visual closedness of buildings can affect individuals’ sense of oppression and alienation. The appropriate BVI tends to strike a visual balance and increase the environmental comfort in riverfront areas. Particularly, the design of the street facade is critical for visual perception, and a rational layout of buildings reinforces a sense of spatial identification [31]. It is notable that the water surface plays a key role in riverfront landscapes. Ulrich (1984) illustrated in classical research that the existence of natural water bodies can alleviate a person’s mental stress and improve their sense of happiness, especially in urban riverfront areas [28]. What is more, water bodies have psychological effects when placed in a landscape, with studies showing that the emergence of water bodies tends to increase the spatial attractiveness and frequency of human activities.
The cultural landmark in a riverfront space comprises not only artificial constructions such as museums and monuments but also natural landscapes such as rivers and parks, which significantly enhance both attractiveness and spatial utilization. Previous studies indicated that natural resources like water bodies or green spaces can provide recreational and social venues, improving spatial perception quality and vitality [31]. Furthermore, the combination of cultural resources like historical landmarks and natural landscapes in riverfront areas makes these spaces become core venues for cultural activities and tourism, ultimately boosting local vitality and economic benefits [32]. Consequently, centralizing cultural landmarks can not only raise regional cultural value but also attract more tourists, thereby enhancing street vitality. Jacobs, J. (1961) referred, in his classical work The Death and Life of Great American Cities, that dense landmarks can increase street vitality since they attract crowds of residents and visitors, facilitating diverse social interactions [33]. Lastly, the number and density of cultural landmarks have a strong correlation with urban vitality, especially the riverfront space, with rich cultural resources usually being more attractive and vibrant [34].
In the research regarding urban planning and street vitality, transportation convenience is considered a significant factor affecting the vitality of urban space. The spaces with higher transportation convenience tend to attract more individuals and activities, thereby enhancing spatial vitality. It is clear that transportation availability is positively correlated with urban vitality, pedestrian activities, and commercial prosperity. Especially in a riverfront region, effective traffic connections draw in more tourists and daily users [35]. Furthermore, some studies indicate that the convenience of walking and the efficiency of public transportation systems are the key factors affecting urban spatial vitality. Specifically, a high level of transportation convenience can stimulate street-level activities, especially in public spaces like Riverfront Road, making these spaces more accessible to both residents and tourists [31]. In addition, the convenience of sustainable transportation, including walking, cycling, and public transportation, is critical for the vitality of urban riverfront areas [36].
The correlation between population location data and urban vitality can reflect the heat value of space precisely and is closely linked to urban vitality, especially when using mobile location data (such as the number of SDK terminals) to measure the vitality of a certain area during a specific period of time. Utilizing mobile data, including the SDK location data, can capture population mobility and activity patterns in urban areas accurately and reflect urban vitality in different time periods. Location data provide important information related to spatial density, fluidity, and usage intensity [37], reflecting the population density and spatial utilization in real time, and thus serves as a conducive indicator for measuring the vitality of the urban street. It is found that the density of SDK usage within a space reflects the distribution of urban heat maps effectively. The higher statistical data of vibrant space means a larger value of spatial vitality [38]. Meanwhile, analysis of the data recorded by mobile phones uncovers patterns of the population’s spatial mobility and activity intensity across different time periods. The location data SDK can be used in the accurate examination of vitality change in certain areas [39].
2.3. The Application of GIS in Research of Urban Landscape
Nowadays, the geographic information system (GIS) has become a powerful tool in the research of urban landscapes and the evaluation of riverfront landscapes. Through spatial analysis and planning, GIS helps urban planners to optimize the urban layout and protect and improve the urban landscape. In terms of urban landscape research, GIS can manage and analyze urban cultural heritage information [40], such as historical buildings and monuments, and support the formulation of protection policies and planning measures to ensure the historical and cultural inheritance of urban landscapes [41]. Additionally, GIS can make simulations to explore the impact of different landscape design schemes on urban landscapes, providing scientific evidence for decision-makers. In the process of evaluating the riverfront landscape, GIS helps analyze the distribution and layout of landscape elements such as buildings, green spaces, and water bodies along the street through spatial analysis and visual simulation and evaluate their influence on the overall landscape. Moreover, GIS can be applied to evaluating the environmental influence and analyzing the effect of urban development on the natural environment, which offers scientific references for sustainable development [40].
3. Data and Methods
3.1. Study Area
The study takes Guangzhou, China, as an example. It is a significant port city for foreign trade and is undergoing rapid urbanization. This city has a large population, with a resident population of 18.827 million at the end of 2023. Located near the estuary of the Pearl River Basin, the inside of the city features extensive and ample river systems, forming an attractive urban riverfront landscape (Figure 1). This study focuses on the core landscape area of Guangzhou, including two ten-kilometer areas along the riverfront area, with the western ten-kilometer area running from Shamian to Guangzhou Bridge and another middle ten-kilometer area reaching from Guangzhou Bridge to the eastern end of Pazhou Island. The whole region covers Tianhe District, Yuexiu District, Haizhu District, and Liwan District. Riverfront Road passes by 8 urban main bridges and 2 Jiangxin islands, namely Ersha Island and Haixin Sha Island. This area also forms a core part of the Guangdong-Hong Kong-Macao Greater Bay Area and has witnessed the peak of urban development over the past two decades, forming the Pearl River New Town, which is the main part of Guangzhou Tianhe CBD (Central Business District) as well as one of the three national CBDs approved by the state council. Since the year 2018, the Pearl River Riverfront Framework Plan and Landscape Design (22 Guidelines), published by the Guangzhou Municipal Commission of Land, Resources, and Planning, has been an important provision for developing a vibrant global city in Guangzhou. Consequently, the background provides opportunities to assess the association between the visual perception of the urban riverfront core landscape area and the vitality of Riverfront Road.
Figure 1.
(a) Basic information of study area; (b) riverfront core landscape area in Guangzhou (source from: https://www.163.com/dy/article/F7I8KHC605129QAF.html/ (accessed on 20 November 2024)).
3.2. Research Workflow and Data
The research workflow in this study is divided into 3 sections. First of all, according to the prediction methods of subjective perception used in previous research, we have calculated the subjective environmental perception in the study area by collecting images of the riverfront landscape and using the semantic segmentation method, which is the variable we have concerned. Then, we identified the vitality of Riverfront Road, taking 4 steps: 1. According to the riverfront landscape images, we measured important visual indicators like GVI, WVI, SVI, and BVI. 2; we calculated the accessibility (that is, the level of convenience) of 3 types of transportation (like driving, bus systems, and the subway); 3. We marked the cultural landmarks POI data (CL POI) and determined the proximity indicators to urban cultural landmarks; and 4. We evaluated vitality by using Baidu hotspot data. Eventually, we conducted random forest analysis and compared the outcomes to obtain a comprehensive understanding of the association between visual perception of the urban riverfront core landscape area and the vitality of Riverfront Road (Figure 2).
Figure 2.
Research workflow.
3.2.1. Perception Measurement of Riverfront Landscape Images
- Machine learning models selection
The effect of semantic segmentation depends on the quality of the dataset and selected models. Therefore, it is crucial for this study to select appropriate ones corresponding to the study area. Firstly, as for the dataset construction, many urban street analyses employed the cityscapes dataset; however, this type of dataset is not entirely applicable since the areas shared by pedestrians and vehicles, as well as the elevated sections and water bodies, cannot be distinguished; nevertheless, they were finally uniformly classified as blank categories. This study uses the more powerful ADE20K [42] dataset, which incorporates the merits of these two types of datasets, including common objects and those suitable for scene identification. In recent years, semantic segmentation, trained by ADE20K in some research, has been used to extract the landscape elements of urban outdoor environments in street images. Therefore, the ADE20K dataset is more suitable for Riverfront Road research with complex scenes.
In the field of semantic segmentation, GluonCV has achieved a series of advanced deep learning algorithms [43], providing state-of-the-art technology for current computer vision. The library of GluonCV includes numerous commonly used semantic segmentation models for selection and application in image segmentation and visual landscape element extraction of Riverfront Road landscape character. By comparison, in pre-experiments, the DeepLabV3+ResNeSt model stood out in terms of accuracy. This model effectively combines two independent models, which are DeepLabV3+ and ResNeSt.
To further verify the accuracy of the results in semantic segmentation models, this study randomly selected 16 photo samples from the database and used the Labelme tool for image annotation to obtain actual pixel information. In the meantime, the DeepLabV3+ResNeSt model was applied to process the samples to gain predicted pixel information. Then, the confusion matrix for the samples was calculated, and the segmentation effect of the model was evaluated by using overall accuracy (OA) and mean intersection over union (MIoU) (see Figure 3 for the process). These indicators were used by Long, Jonathan et al. [44] to assess the accuracy of the FCN model in semantic segmentation tasks, which became the measurement standard in the field of semantic segmentation due to simplicity and high representativeness.
Figure 3.
The construction of images semantic segmentation model and the test flow.
The confusion matrix, as an effective tool, mainly includes the following parameters: n represents the total number of categories; Cii represents the true positives (TP) of category i in the matrix; and Cij represents the number of samples that are actually category i and predicted as category j in the model. Cji represents the number of pixels of category j predicted as category i. The following indicators can be calculated:
Overall accuracy (OA) measures the correct classification ratio of the classifier for all categories. The formula is: OA = Σi Cii/Σi Σj Cij
The mean intersection over union (mIoU) is a comprehensive indicator for measuring the classifier’s classification performance for all categories. It calculates the intersection over union for each category, then takes the average of all categories’ intersections over union. The formula is as follows: mIoU = (1/n) Σi (Cii/(Σj Cij + Σj Cji − Cii)).
It is shown that through segmenting the elements of the riverfront landscape in the DeepLabV3+ResNeSt semantic segmentation model, the accuracy of segmentation meets the experimental requirements, and it has high identification accuracy of different labels. In such a complex environment as Guangzhou’s street landscape, the overall accuracy (OA) of image segmentation reached as high as 0.87, and the mean intersection over union (MIoU) reached 0.76. This indicates that this algorithm can accurately identify visual elements in images of urban riverfront landscapes, demonstrating strong promotability and universality. The key labels focused on in this experiment include lanes, walkways, structures, nature, sky, water surfaces, and other facilities (such as tables, chairs, streetlights, traffic lights, trash bins, signs, posters, etc.) (Table 1). The results showed that, despite the complexity of other facilities, the model demonstrates high accuracy in these vital visual elements that are focused on in this experiment, such as nature, constructions, sky, and water surfaces. Generally speaking, the DeepLabV3+ResNeSt model exhibits high accuracy and potential for wider application in the image semantic segmentation of riverfront landscapes.
Table 1.
Statistical data of Riverside Road’s landscape character labels.
- Measurement of visual perception in Riverfront Road core landscape area
In order to simulate the real visual perception of pedestrians in the urban landscape along Riverfront Road, the data collection personnel took photos from west to east along the sidewalk of Riverfront Road. In the process of photography, good weather conditions are required, as well as avoiding pedestrians and other undesirable elements. Four cameras were used to capture the pedestrian viewpoint images in four directions (front, back, left, and right). The cameras, equipped with basic shooting information and coordinates, were fixed on support poles to ensure that the viewpoint position of a person at 1.6 m remained unchanged and was parallel to the direction of Riverfront Road. Photos were taken every 5 m, collecting 737 pedestrian points and a total of 2948 images. These images comprehensively recorded the landscape characters that are visible to pedestrians from all directions (north, south, east, and west). Subsequently, the collected data were preprocessed. After collecting these photos, the Exif (exchangeable image file format) of the photos was read by using Python’s Exifread (a third-party library), providing information on the shooting location, time, and photography parameters. Finally, a Python script was composed to compile the latitude and longitude information of each pedestrian position into a data table, which generated links on the ArcGIS platform with the photo information and the location points on the map.
Based on the subjective perception prediction methods used in existing research [45,46], subjective environmental perceptions (such as a sense of safety, liveliness, beauty, richness, depression, and boredom) in the study area were calculated by taking photos of the riverfront urban landscape (taken on 1 April 2022). The perception scores of each pedestrian position in 4 directions were calculated, respectively, and then were added to obtain the final perception scores of the whole landscape area (Figure 4). According to the shooting coordinates, the best and worst images of 6 types of subjective perception were displayed to describe the visual perception of the whole riverfront landscape area (Table 2).

Figure 4.
The spatial distribution of selected streetscape perception indices.
Table 2.
Data distribution of 6 types of street view perception.
3.2.2. Analysis of Key Visual Perception Indicators for Riverfront Road Landscape (KVPI)
Previous research has revealed that the quality of landscape character is closely related to material and formal elements [47,48], among which the water bodies, sky, plants, buildings, and roads have a significant impact on the aesthetics of landscape character [49]. The beauty and comfort of the landscape can be judged by the matching forms and proportions of these elements. The SVI not only affects the urban microclimate but also affects the frequency of public space utilization and people’s behavior patterns, especially in outdoor waterfront activities [50]. Ewing and Handy have mentioned that the appearance and perspective of buildings have a direct impact on the vitality of streets, people’s perceptions, and behavioral experiences in urban design [27].
To begin with, we calculated these key view indexes for Riverfront Road separately [51] (Table 3). Then, the comprehensive visual perception scores (VPS) of visual perceptions were obtained as the following equation. Where VPS is a comprehensive visual perception score for Riverfront Road; Vi is the i-th view index value (that is, GVI, SVF, BVI, and WVI); and n is the total number of view index (1) (Figure 5).
Table 3.
Selection and calculation of visual perception evaluation indicators for Riverfront Road’s landscape.
Figure 5.
The key visual perception indicators map for Riverfront Road. The entire Riverside Road is divided into 3 sections. Among them, sections 2 and 3 are more complex, containing two islands in the middle of the river.
3.2.3. Analysis of Cultural Landmarks POI Data for Riverfront Road (CL POI)
Particularly, a series of key scenic spots on Riverfront Road mainly serve as important tourism resources. Based on existing research findings, tourism resource types can be categorized into natural and cultural resources. Furthermore, according to the distribution and dominant features of tourism resources, they can be divided into 8 subcategories [52]. This study adopts the same approach, classifying riverfront attractions into natural and cultural resources, namely a cultural landmark POI (CL POI) in this research. Based on the research concerning the types of urban tourism resources and field survey data, the POI can be divided into 2 major categories and 8 subcategories. According to this, 23 POI can be directly observed and marked along the research route, marking 1–23 in order from west to east, such as Renmin Bridge (1), Guangdong Customs Museum (2), and Pazhou Bridge (23) (Table 4).
Table 4.
Classification of CL POIs along Riverfront Road.
On the ArcGIS geographic information platform, CL POIs and the coordinates of pedestrian positions are marked on the same map. Then, the distance between each pedestrian feature (702) and CL POI feature (23) is calculated according to the features of the generate near table. In this way, the distance of each pedestrian position to the weighted POIs is obtained, where the smaller value indicates the closer distance of the pedestrian position to the POI feature and vice versa (Figure 6). As for the proximity impact value of the cultural landmarks on Riverfront Road, it can be gained by calculating the proximity information between multiple pedestrian position features and POI features, including the surrounding features (pedestrian positions) of the central features (POIs). Furthermore, we visualized these results in the maps by applying a unique value algorithm to evaluate and arrange the proximity value of each pedestrian position. As shown in the following figure, the proximity relationship between the analysis object (“input feature” POIs) and the proximity objects (“proximity feature” pedestrian positions) presents a trend of high in the middle and low on both sides.
Figure 6.
Analysis of proximity cultural landmarks on Riverfront Road: 1. Renmin Bridge; 2. Guangdong Customs Museum (Office Relic); 3. Dashatou Tourist Wharf (Transport Relic); 4. Provincial (Haizhu Square) Wharf; 5. Jiefang Bridge; 6. Guangzhou Overseas Chinese Museum; 7. Haizhu Bridge; 8. Tianzi Wharf; 9. Jiangwan Bridge; 10. Lin Zexu Memorial Garden; 11. Haiyin Bridge; 12. Ersha lsland; 13. Guangzhou Bridge; 14. Ersha lsland Art Park; 15. Huacheng Square; 16. Haixinsha lsland; 17. Canton Tower; 18. Liede Bridge; 19. Pati Zhujiang Beer Town; 20. Riverside Strip Park; 21. Huanan Bridge; 22. Canton Fair Complex; 23. Pazhou Bridge.
3.2.4. Analysis of Transportation Accessibility in Riverfront Road (TA)
As mentioned earlier, the methods for calculating the accessibility of Riverfront Road include a network-based approach. According to the evaluation of the transportation system in Guangzhou, people usually go to the riverfront landscape area by taking buses, subways, cars, or walking. Moreover, the urban riverfront landscape area includes special service and entertainment attractions, such as important parks and landmarks, which can attract potential tourists to drive to farther places. Therefore, the accessibility of the urban riverfront core landscape area is one of the factors in evaluating the vitality of this space. However, the factor of walking accessibility is removed since the linear spatial pattern of Riverfront Road and the T-shaped intersections in every city road make walking accessibility less disparate in this space.
In the process, the road network data of Tianhe District, Yuexiu District, and Haizhu District in Guangzhou were collected first, which was obtained based on the vectorization of the Tianditu map. Next, the accessibility of driving, the bus, and the subway for pedestrian positions on Riverfront Road were calculated separately, based on the theory of a maximum driving time of 35 min as well as the spatial locations of bus and subway stations [51,52,53]. It was uncovered that the pedestrian positions with higher accessibility offer more convenience. In the analysis of accessibility, when considering the different types of transportation (bus, subway, car), the cost matrix can be further integrated (2):
In the equation above, Ai represents the accessibility indicator of point i, with a higher value indicating more convenient transportation offered at that point. ∣J∣ represents the total number of destinations, usually the main attraction points within the whole riverfront landscape area. Cij represents the travel cost (which can be time, distance, etc.) from the starting point i to the destination point j [53] (Figure 7).
Figure 7.
The convenience of choosing different transportation for pedestrians. (a) Pedestrian positions select subway on Riverfront Road and (b) the histogram. (c) Pedestrian positions select bus on Riverfront Road and (d) the histogram. (e) Pedestrian positions select car on Riverfront Road and (f) the histogram.
3.2.5. Analysis of Activity Heat Value in Riverfront Road
This study used Baidu Huiyan population data from Tianhe District, Yuexiu District, Liwan District, and Haizhu District in Guangzhou (Huiyan data), which is derived from the statistical values of Baidu map location SDK terminals. To be specific, by dividing the country area into 200 × 200 grids, the number of terminal locations per hour was counted, and the heat value was assigned to the centroid point of the corresponding grid. Firstly, this study selected three types of Huiyan data with different social attributes for holidays, workdays, and weekends to explore the different impacts of different types of days on population vitality on Riverfront Road. Meanwhile, we analyzed the changes in population activity during the key time periods of 8 a.m., 12 p.m., and 3 p.m. to investigate the impact of daytime landscape visual perception on the diversity of people’s activity time on Riverfront Road.
The selected data were converted into a point feature in ArcGIS Pro3.02, and a performed projection was obtained based on the geographic coordinate system (WGS 1984). Subsequently, using kernel density analysis methods, the spatial density of the population in three certain time periods each day was calculated, generating hotspot distribution maps that reflected the clustering of the population along the study area of Riverfront Road (Figure 8). Kernel density analysis is a spatial analysis method that generates smooth density maps, providing a clear visualization of the distribution trends and concentration of point or line features in a specific area. Thirdly, we applied fuzzy membership tools to standardize the different density values and normalize them into intervals of 0 to 1 for spatiotemporal comparative analysis of vitality in different time periods. Finally, a weighted sum tool was used in comprehensive analysis to achieve the visualization of the overall street vitality distribution.
Figure 8.
The heat value analysis of vitality on Riverfront Road: (a) the heat value map in three certain time periods; (b) the overall heat value map.
3.2.6. Random Forest Model (RF)
This study used the random forest model (RF) to form an ensemble learning model. It has been found in actual research that the ordinary least squares (OLS) holds the assumption that there is a linear relationship between variables; that is, assuming that there is a linear change between the independent variables and the dependent variables. In reality, there is not a simple linear correlation between visual perception of the core riverfront landscape area and the vitality of Riverfront Road. However, some variables, like Riverfront Road’s landscape and activity vitality, may exhibit significant spatial variations and heterogeneity. For example, some Riverfront Road sections have good accessibility to cultural landmarks, convenient transportation, and abundant landscapes, all of which can affect the vitality, while the impact is diverse and complex. As for RF, it makes predictions by sampling data multiple times and constructing multiple decision trees, and its ensemble learning characteristics make it more sensitive to potential complex patterns in the data. Especially when processing the data with geographic spatial attributes, RF can contribute to identifying part influences and adapting to diverse geographic location changes. RF consists of T decision trees, and the output of the model is the average value of the results of these decision trees (regression problem) or the voting result (classification problem). Moreover, RF is more robust to noise and outliers because it integrates multiple trees to mitigate the impact of individual outliers on the overall prediction.
In this study, the random forest model analysis process is represented by the following formula, exploring the relationship between the visual perception of the urban riverfront core landscape area and the vitality of Riverfront Road (3):
- Y: Dependent variable—heat map analysis of the activity levels along Riverfront Road.
- X1: Independent variable—visual perception of Pearl River Riverfront Road’s core landscape area.
- C1: Control variable 1—key visual perception indicators (KVPI) for Riverfront Road landscape.
- C2: Control variable 2—proximity analysis of cultural landmarks’ POI (CL POI) data along Riverfront Road.
- C3: Control variable 3—transportation accessibility (TA) along Riverfront Road.
- f: The random forest model function is used to explore correlations and interactions.
- ϵ: Error term representing variability not explained by the model.
4. Results
4.1. Subsection Spatial Aggregation Pattern in Visual Perception of the Riverfront Core Landscape Area
The results showed that there are spatial disparities in the visual perception scores of 702 pedestrian positions along Riverfront Road in Guangzhou. The scores range from 4.19 to 5.02, with an average of 4.75 and a standard deviation of 0.12. Most of the data are concentrated between 4.72 and 4.82, indicating that the visual perception scores of the majority of pedestrian positions are relatively stable (Figure 9).
Figure 9.
Visual perception scores of pedestrian positions along Pearl River Riverfront Road.
The following figure presents the analysis results of the pedestrian’s visual perception. The blue curve represents the visual perception score of each pedestrian position, and the red one represents the moving average perception scores (with a window size of 20), used to smoothly show the overall trend. The green dots represent the pedestrian position with the highest scores (NO. 466), and the orange ones represent the pedestrian position with the lowest scores (NO. 150).
The green shaded area represents the interval with the highest average scores of visual perception (NO. 79–98), and the orange one represents the range with the lowest average scores of visual perception (NO. 38–57). It is clear to see the changes in perception scores between different pedestrian positions, as well as the overall perception trend. While the overall trend is relatively stable, there have been peaks and valleys in some specific areas. The valleys shown in certain areas indicate the lower visual perception of these pedestrian areas. The potential clustering patterns can be observed with the rolling average of 20 pedestrian positions (red line). In some specific areas, the rolling average is significantly higher than the surrounding ones, indicating that these areas may have better visual perception. These areas not only enhance the overall environmental quality of Riverfront Road but also play a vital role in improving public activities and spatial attractiveness.
4.2. Results of Random Forest Analysis
In this analysis, RF was applied to explore the visual perception in the riverfront core landscape area and the impact of the related control variables on the vitality of Riverfront Road (Table 5). The model exhibits good fitting effects. The score of R2 is 0.7640, and the adjusted R2 is 0.7630, indicating that the model has a strong ability to explain the variability of the dependent variables, and the independent and control variables have a strong explanatory power for the vitality of Riverfront Road, which can account for 76.4% of the variability. The mean squared error (MSE) is 0.0201, and the root mean square error (RMSE) is 0.1417, showing a high accuracy of the model’s prediction (Table 6).
Table 5.
Results of random forest analysis.
Table 6.
Results of random forest analysis.
These results illustrated that the visual perception of the riverfront core landscape area, as well as the related control variables (such as important landscape view indexes and the proximity degree to cultural landmarks), have a prominent impact on the vitality of Riverfront Road. In the next step, we will understand the level of landscape characters.
4.3. The Overall Visual Perception Level of Riverfront Landscape Area
- The visual perception of the old urban area surpasses that of the new urban area
In the visual perception of the Riverfront Road assessment, except for Renmin Bridge with the lowest scores and Yuexiu District with the highest scores, the main observation area, numbered 449–488, is located on the other side of the Pearl River New Town, which is the modern CBD area of Guangzhou. Initially, we expected that the visual perception in this area would be higher, but the results were not the case. This phenomenon drives some in-depth discussions and analyses.
In the area between NO. 449–488, the Pearl River New Town, as the core area of Guangzhou’s modernization, features high-rise buildings, glass curtain walls, and modern squares, symbolizing the economic prosperity of the city. Nevertheless, the cold building images, huge volume, and dense reinforced concrete structures may make pedestrians feel visually distant and homogeneous. On the contrary, the historical streets and traditional buildings in Yuexiu’s old urban area bring more visual diversity and warm feelings, while the landscape of Pearl River New Town is too commercial and lacks cultural elements.
In the Yuexiu section between NO. 79–98, the combination of the natural landscape and historical culture allows pedestrians to feel the harmony between ecology and culture, resulting in higher visual perception scores. By comparison, the modern landscape in Pearl River New Town symbolizes “efficiency”, “technology”, and “economic development”, but it lacks emotional connection and cultural memory. Generally speaking, historical buildings and streets arouse a sense of belonging, and the high score of Yuexiu District is due to the richness of community life. The combination of landscape and community life brings more spatial sociality and inclusiveness.
- The high level of greenery but poor utilization of the water surface on Riverfront Road
Based on the results from semantic segmentation, the values of various factors of Riverfront Road’s landscape along the north bank of the Pearl River in Guangzhou were obtained (Figure 10). Among these, the average values of the GVI, SVI, BVI, and WVI were 0.35, 0.11, 0.26, and 0.05, respectively. Overall, Riverfront Road has a high level of greenery, partially open views, high building density, and poor utilization of water surfaces.
Figure 10.
Proportional graph of various view indexes in four directions.
The overall GVI of Riverfront Road showed a lower value in the west and was higher in the east, with the best at the east end of Ersha Island, Huacheng Square, and Riverside Strip Park. The linear greenery of Riverfront Road is closely related to urban planning; thus, the width of the green belts is limited. The Yuexiu District, the oldest central district of Guangzhou, with riverfront roads along the riverbank, has almost no greenery except for linearly planted banyan trees along the road. The SVI is similar to the GVI, and both the west end of Ersha Island and the central axis area showed a clustering effect. The eastern section, as the new planning area, offered in-depth visual perception. The BVI showed high value in the west and center but was low in the east, which has a negative correlation with the GVI. The eastern section of Riverfront Road, belonging to the newly built-up area, has wider green belts than the western section, obtaining a high level in the GVI. The WVI was quite low and showed over 30 interruptions, mainly because the closure of the riverbank, setback of the riverbank, blocked view by guardrails during urban construction, and stone railings affected the view during sampling.
4.4. The Partial Visual Perception Level of Riverfront Landscape Area
- Better visual perception in cultural landmark areas
The results indicate that the cultural landmark proximity scores are mainly distributed between 0.782549 and 1.662336. Dividing this range into ten equal parts, 54.9% of the pedestrian positions fall within the 0.79–0.96 interval. Since the middle section of Riverfront Road intersects with the urban central area with concentrated CL POI groups, the visual perception is better. The key visual perception scores at the 500 m east end of Riverfront Road were distributed between 1.57 and 1.67, indicating the poorest visual perception due to sparsity and remoteness of the CL POI (Figure 11).
Figure 11.
Concentrated range of a certain view index in different spaces: (a) green view index; (b) building view index; (c) sky view index; (d) water view index.
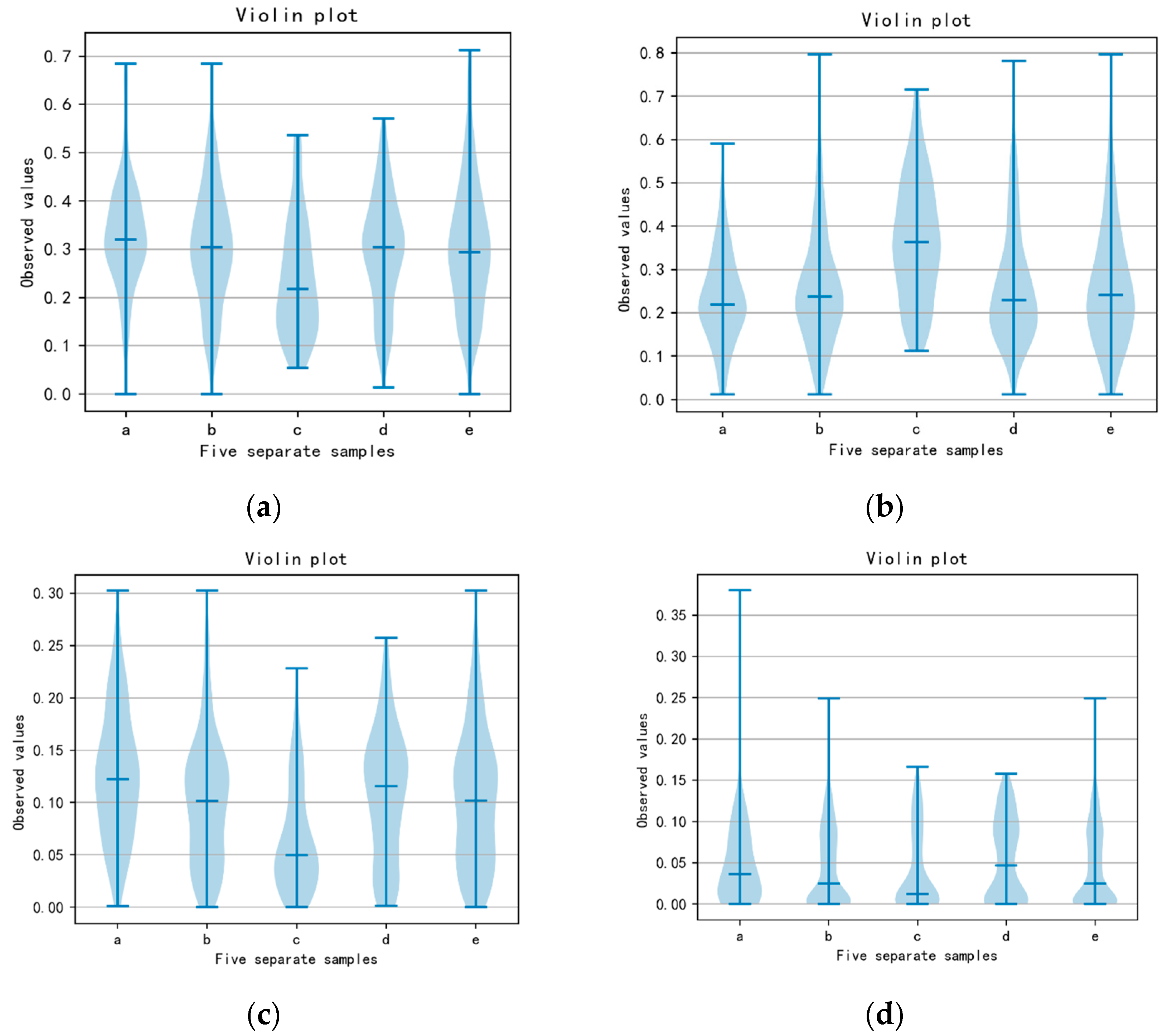
Given the features of continuous data on the Riverfront Road, we used violin plots to reflect the kernel density of the data, which can visually show the view index of a certain space. In the natural and cultural resources within the city center, a (natural resource spaces), b (garden landscapes), d (architecture and facilities), and e (other constructions) exhibited similar data features in terms of the GVI, SVI, BVI, and WVI, and displayed an overall distribution trend of the data. However, c (historical sites) differs from the other spaces, presenting a lower GVI and SVI as well as a higher BVI.
The BVI in the a, b, d, and e spaces is concentrated at around 0.22, lower than 0.38 in the c space approximately; the GVI is centered at 0.3, higher than 0.21 in the c space; the SVI ranges from 0.1 to 0.13, higher than 0.05 in the c space; the WVI is relatively no different, within the 0.02–0.05 range. Space c, as a heterogeneous space, has less greenery to emphasize its landmarks, resulting in a lower GVI. What is more, the more paved area has been built to accommodate large numbers of tourists. Meanwhile, space d has a higher probability of a high WVI, reflecting a greater emphasis on the utilization of river views in newly built-up areas. Therefore, we can see that the landscape perception along the entirety of Riverfront Road is generally consistent across different cultural landmarks, with a, b, d, and e offering better landscape perceptions than c, which aligns with the experimental results mentioned earlier.
- Better visual perception in area proximity to cultural landmarks and parks
A Pearson correlation coefficient analysis was conducted on the key labels affecting the GVI, SVI, BVI, and WVI, as well as the five basic types of CL POIs. This measures the correlation between two variables, X and Y, with a coefficient value between −1 and 0, indicating that Y decreases as X increases, and a value between 0 and 1, indicating that Y increases as X increases. The results are shown in Figure 12. The overall statistical value of the F-test is 5.29, illustrating the significance of the overall regression equation. The test for heteroscedasticity confirmed no variance inconsistency.

Figure 12.
Pearson correlation coefficients: (a) total view rate distance correlation coefficient for all directions; (b) east direction view rate distance correlation coefficient; (c) north direction view rate distance correlation coefficient; (d) west direction view rate distance correlation coefficient; (e) south direction view rate distance correlation coefficient.
The natural resource space, represented by a, with a coefficient of 0.06, is positively correlated with nature. The geomorphological landscapes, like Ersha Island and Haixinsha, are surrounded by water on three sides and have dense vegetation. They offer better visual perception when the distance is closer. The buildings and parks in urban facilities, represented by b, show a strong correlation of 0.12 with constructions. On the one hand, pedestrian viewpoints are usually around 1.65 m, easily blocked by park periphery structures like Lin Zexu Memorial Garden and Ersha Island Art Park. On the other hand, parks in the city center have many structures, such as Provincial Wharf and Tianzi Wharf; moreover, thick stone walls along Riverfront Road can affect semantic segmentation recognition. Historical sites in the c space have significant correlations with building constructions. Landscape architectures in the d space show a negative correlation of −0.43 with the sky since the buildings usually block the sky. Characteristic bridges along the riverfront, represented by e, are positively correlated with structures and water surfaces, with a coefficient of 0.02. To sum up, being closer to natural geomorphological landscapes and parks leads to better visual perception and more appealing landscape character.
5. Discussion
5.1. The Visual Perception of the Old City Area Has Positive Correlation with the Vitality of Riverfront Road
Overall, there is a difference between pedestrian subjective perception of the landscape and the actual vitality in both the new and old city areas. In the old city area of Yuexiu District, space with a high visual perception tends to have higher vitality. Conversely, in the new city area, despite having a high visual perception score, the vitality is relatively low. This discrepancy mainly stems from the following aspects.
First of all, the old city area of Yuexiu District has preserved rich historical culture, historical buildings, and cultural landscapes, which create a strong humanistic atmosphere. The public space with diverse functions provides facilities tailored to different groups, like children’s playgrounds and recreational spaces. Furthermore, small-scale blocks are designed with a focus on humanization, ensuring that the walkways and public spaces meet the needs of pedestrians. Active community life facilitates a stronger sense of cultural identity and belonging among pedestrians. Consequently, the integration of historical and cultural elements not only enhances visual pleasure but also encourages people to stay longer, thereby contributing to an overall increase in vitality. In contrast, the modernization of the new city area mainly focuses on high-rise buildings and glass curtain walls. Although it enhances the sense of modernity, it often leads to excessive commercialization and lacks human touch, making it challenging for pedestrians to build emotional connections with their surroundings.
Similar observations have been noted in international studies of riverfront landscapes. For instance, a study on the Singapore Riverfront [54] emphasized that areas incorporating historical elements, such as Clarke Quay, exhibit higher levels of vitality due to their ability to blend cultural significance with public space functions. On the other hand, the studies on modern riverfront developments in Dubai [55] revealed that heavily commercialized zones, although visually striking, often suffer from limited public engagement due to their lack of cultural and community-oriented elements.
In conclusion, the differences between visual perception and vitality in the new and old city areas of Yuexiu District mainly derived from the existence of historical culture, diversity of spatial functions, richness of community life, humanized scale, and differences in cultural and emotional connections.
5.2. Comparison of Visual Perception Scores for Riverfront Landscape
The results indicate that the visual perception of the old city area is superior to that of the new city area with the analysis of visual perceptions in different areas of Riverfront Road. The old city area like Yuexiu District, receives the highest score because of the successful combination of natural landscape and historical culture. By comparison with the images NO. 466 and NO. 150, it can be seen that the images with high scores have the following characteristics: (1) The lush street trees provide shade, enhancing the pedestrians’ comfort; (2) separate walkways and cycling paths improve safety and convenience; (3) the children’s playground facilities and public facilities have increased regional vitality; (4) the riverfront area has a broad view, vibrant atmosphere, and active pedestrian activities that enhance visual pleasure. On the contrary, images with low scores have the following characteristics: (1) The limited view, walkways adjacent to motor vehicle lanes, and blocked objects make it difficult to fully appreciate natural landscapes; (2) adjacent lanes, traffic noise, and obstructions affect pedestrian experience; (3) the boring environment and lack of greenery and leisure facilities make pedestrians unwilling to stay. It has been proved that the GVI can prominently affect the mental health of residents, especially in high-density urban areas, where a broader GVI can alleviate their stress and anxiety. In riverfront landscape areas, a wider SVI can bring more visual space related to air ventilation, lighting, and other factors, intervening with residents’ sense of openness and safety in the space.
Similar to the Yuexiu District, areas such as Clarke Quay in Singapore and the Old Port of Montreal [56] demonstrate a positive impact of integrating historical landmarks and pedestrian-friendly designs on urban vitality.
The rich community life, cultural landscapes, and natural elements in the old city area boost pedestrians’ sense of belonging and closeness. By comparison, despite the high-rise buildings and modern squares in Pearl River New Town, pedestrians feel alienated due to the lack of cultural elements and emotional connections. As a result, modern urban designs should combine history and modernity, incorporating cultural elements into the landscape to enhance visual perception.
5.3. Inspiration for Urban Planners and Designers in Urban Construction
It is found that the visual perception of the riverfront’s core landscape area has little influence on the vitality of Riverfront Road, with a feature importance of 7.8%. This indicates that merely relying on visual perception fails to enhance regional vitality significantly since the influence of individual subjective preferences cannot be fully controlled by a single design element. Nevertheless, visual perception still plays a vital role in the effect of experience and satisfaction.
In future plans for the riverfront area, the broadness of view and incorporation of greenery and natural elements should be taken into consideration. It is evident that a broad view and appropriate greenery layout can prominently boost the visual pleasure of pedestrians. At the same time, it improves the environment and alleviates the heat island effect. Apart from this, the diverse design of public facilities and activity space is critical. Urban construction is supposed to offer appropriate facilities for different groups like children, elders, and cyclists, which enhances spatial multifunction and encourages more outdoor activities to promote social interaction and regional vitality.
Additionally, humanized design in a riverfront area is particularly important. The design of walkways should focus on openness and transparency, enhancing pedestrian’s mental comfort. Moreover, green belts and partitions should be designed between walkways and motor vehicle lanes, reducing traffic distraction and improving the walking experience. Finally, modern urban design should focus on a sense of cultural identity. Pearl River New Town, as a symbol of modern development, is likely (for pedestrians) to have a sense of alienation if it lacks cultural elements. Therefore, in modern CBD planning, urban planners should combine history and modernity, optimize the walkway scales, add more greenery design, and enrich community activity spaces to facilitate cultural identity and regional vitality.
Attention should also be paid to the role of public participation in planning. For example, studies on European riverfronts [57] suggest that collaborative urban planning, which actively involves local communities, often leads to better integration of cultural and natural elements, increasing vitality. In contrast, Guangzhou’s Pearl River New Town prioritizes high-density commercial developments, often at the expense of cultural continuity and public feedback.
5.4. The Contribution of Modern Urban Landscape Features to Urban Vitality Is Limited
This study reveals that the riverfront area of Guangzhou’s urban CBD does not contribute to higher urban vitality. Urban cores are typically characterized by high-rise buildings, glass curtain walls, and open plazas. Planners may intend to use these modern landscape designs to shape urban centers; however, people are often drawn to spaces with cultural significance. Cultural landmarks play a crucial role in enhancing the vitality of urban spaces. It has been repeatedly mentioned in reference that landmarks with historical, cultural, or symbolic implications can significantly increase the attractiveness and utilization frequency of spaces. As is referred by Montgomery, J. (1998), the vitality of urban public space depends not only on their functions but also on the existence of cultural and historical landmarks, which provide abundant cultural experience for residents and visitors, leading to more spatial utilization and attractiveness [58]. Zukin, S. (1995) has found that cultural and symbolic spaces are the main resource of modern urban vitality, and cultural landmarks provide a unique sense of locality, stimulating social and economic activities [59]. Therefore, it is essential to prioritize the preservation of cultural heritage and integrate it comprehensively into urban planning. Doing so will enhance both the vitality and the overall appeal of urban spaces.
In addressing various urban environmental issues, we should strive to deeply understand the local geographic and cultural characteristics. By exploring the relationships between place identity, place image, and place reputation, we can identify and strengthen the local characteristics, creating a solid foundation for the city’s sustained vitality [60].
5.5. Limitations of the Study and Future Research
Firstly, this study places high demands on the establishment of the initial image database. To simulate the normal walking patterns of pedestrians, the complexity of the riverfront road itself—including roads, tunnels, staircases, and occasional public events—must be taken into account. Consequently, multiple experimental trials were required during the image-capturing process, which also imposed stringent requirements on the sampling personnel. There may be some degree of error. Secondly, geographic information systems have advantages in large-scale spatial research, but there still exist errors in visual perception research. Moreover, visual perception, as a subjective experience, varies from person to person. In future research, questionnaires and interviews can be combined to collect subjective perception data, providing more targeted design suggestions. In order to improve the explanatory power of the model, socio-economic variables such as pedestrian volume and intensity of commercial activities can be introduced, and dynamic changes in the vitality of the riverfront area can be analyzed through time series data to gain a deeper understanding.
6. Conclusions
Research on visual perception along Riverfront Road uncovered that modernization does not lead to a better walking experience. Although Pearl River New Town has demonstrated modernization of urban development, its visual perception scores have failed to live up to expectations due to the deficiency in humanized design and cultural depth. On the contrary, the old city area of Yuexiu District benefits from its historical culture, lush greenery, and humanized design, making it perform better in visual perception. Therefore, the cultural landmarks and functionality design become critical in the planning of Riverfront Road, which contributes to a prominent increase in regional attractiveness and vitality. Furthermore, emphasis on comprehensive landscape design, the enhancement of the landscape view index and its openness can effectively improve people’s spatial experiences and provide more vitality. Finally, a multidimensional spatial design strategy, combined with factors such as transportation convenience, social interaction venues, cultural activities, etc., forms an overall dynamic network. In urban planning and management, strengthening the shaping of place branding may enhance the attractiveness of the area to residents, tourists, and investors, promote economic growth, create attractive and prosperous regions, and improve the quality of life for local communities.
In conclusion, through quantitative analysis, this study reveals the critical effects of cultural landmarks and transportation convenience on the enhancement of vitality along Riverfront Road, and it is difficult to improve its vitality by only relying on visual design. As a result, the future design of Riverfront Road should incorporate visual, social, economic, and other factors to generate a holistic and comprehensive strategy for vitality enhancement.
Author Contributions
Conceptualization, S.Z. and Y.Y.; methodology, S.Z. and J.L.; software, S.Z., J.L. and R.G.; validation, J.L. and R.G.; formal analysis, J.L.; investigation, S.Z.; resources, S.Z.; data curation, J.L.; writing—original draft preparation, S.Z., J.L., R.G. and Y.Y.; writing—review and editing, S.Z.; visualization, S.Z. and Y.Y.; supervision, S.Z.; project administration, Y.Y.; funding acquisition, S.Z. All authors have read and agreed to the published version of the manuscript.
Funding
This research was funded by the Humanities and Social Science Research Youth Fund Project of the Ministry of Education, grant number 20YJC760130, and the Guangzhou Philosophy and Social Science Planning 2022 Annual Project, grant number 2022GZYB67.
Data Availability Statement
The original contributions presented in this study are included in the article; further inquiries can be directed to the corresponding author.
Conflicts of Interest
The authors declare no conflicts of interest.
References
- Wang, F.; Gao, C. Settlement–River Relationship and Locality of River-Related Built Environment. Indoor Built Environ. 2020, 29, 1331–1335. [Google Scholar] [CrossRef]
- Qiao, J.; Wang, M.; Zhang, D.; Ding, C.; Wang, J.; Xu, D. Synergetic Development Assessment of Urban River System Landscapes. Sustainability 2017, 9, 2145. [Google Scholar] [CrossRef]
- Xu, H.; Zheng, H.; Chen, X.; Ren, Y.; Ouyang, Z. Relationships between River Water Quality and Landscape Factors in Haihe River Basin, China: Implications for Environmental Management. Chin. Geogr. Sci. 2016, 26, 197–207. [Google Scholar] [CrossRef]
- Taufen, A.; Yocom, K. Transitions in Urban Waterfronts: Imagining, Contesting, and Sustaining the Aquatic/Terrestrial Interface. Sustainability 2021, 13, 366. [Google Scholar] [CrossRef]
- Zhang, L.-Q.; Deng, W.; Yan, J.; Tang, X.-H. The Influence of Multi-Dimensional Cognition on the Formation of the Sense of Place in an Urban Riverfront Space. Sustainability 2019, 12, 178. [Google Scholar] [CrossRef]
- Wang, F.; Prominski, M. (Eds.) Water-Related Urbanization and Locality: Protecting, Planning and Designing Urban Water Environments in a Sustainable Way; Springer: Singapore, 2020; ISBN 978-981-15-3506-2. [Google Scholar]
- Ghofrani, Z.; Sposito, V.; Faggian, R. A Comprehensive Review of Blue-Green Infrastructure Concepts. Int. J. Environ. Sustain. 2017, 6, 15–36. [Google Scholar] [CrossRef]
- Shi, S.; Kondolf, G.M.; Li, D. Urban River Transformation and the Landscape Garden City Movement in China. Sustainability 2018, 10, 4103. [Google Scholar] [CrossRef]
- Macháč, J.; Brabec, J.; Arnberger, A. Exploring Public Preferences and Preference Heterogeneity for Green and Blue Infrastructure in Urban Green Spaces. Urban. For. Urban. Gree 2022, 75, 127695. [Google Scholar] [CrossRef]
- McDougall, C.W.; Hanley, N.; Quilliam, R.S.; Oliver, D.M. Blue Space Exposure, Health and Well-Being: Does Freshwater Type Matter? Landsc. Urban Plan 2022, 224, 104446. [Google Scholar] [CrossRef]
- McDougall, C.W.; Quilliam, R.S.; Hanley, N.; Oliver, D.M. Freshwater Blue Space and Population Health: An Emerging Research Agenda. Sci. Total Environ. 2020, 737, 140196. [Google Scholar] [CrossRef]
- Guo, S.; Sun, W.; Chen, W.; Zhang, J.; Liu, P. Impact of Artificial Elements on Mountain Landscape Perception: An Eye-Tracking Study. Land 2021, 10, 1102. [Google Scholar] [CrossRef]
- Zhou, X.; Cen, Q.; Qiu, H. Effects of Urban Waterfront Park Landscape Elements on Visual Behavior and Public Preference: Evidence from Eye-Tracking Experiments. Urban. For. Urban. Gree 2023, 82, 127889. [Google Scholar] [CrossRef]
- Li, X.; Wang, X.; Jiang, X.; Han, J.; Wang, Z.; Wu, D.; Lin, Q.; Li, L.; Zhang, S.; Dong, Y. Prediction of Riverside Greenway Landscape Aesthetic Quality of Urban Canalized Rivers Using Environmental Modeling. J. Cleaner Prod. 2022, 367, 133066. [Google Scholar] [CrossRef]
- Lynch, K. The Image of the City; The MIT Press; Massachusetts Institute of Technology: Cambridge, MA, USA; London, UK, 1996; pp. 2–5. ISBN 978-0-262-12004-3. [Google Scholar]
- Mitchell, R.C.; Carson, R.T. Using Surveys to Value Public Goods: The Contingent Valuation Method; Resources for the Future; Distributed Worldwide by the Johns Hopkins University Press: Washington, DC, USA, 1989; ISBN 978-0-915707-32-4. [Google Scholar]
- Dubey, A.; Naik, N.; Parikh, D.; Raskar, R.; Hidalgo, C.A. Deep Learning the City: Quantifying Urban Perception at a Global Scale; Springer: Amsterdam, The Netherlands, 2016. [Google Scholar]
- Mei, G.; Sun, Y. Using Landscape Preference Models and Tree-Scale Measurements to Predict Stand Quality. Scand. J. For. Res. 2018, 33, 255–260. [Google Scholar] [CrossRef]
- Palmer, J.F.; Hoffman, R.E. Rating Reliability and Representation Validity in Scenic Landscape Assessments. Landsc. Urban Plan. 2001, 54, 149–161. [Google Scholar] [CrossRef]
- Bishop, I.D.; Rohrmann, B. Subjective Responses to Simulated and Real Environments: A Comparison. Landsc. Urban Plan. 2003, 65, 261–277. [Google Scholar] [CrossRef]
- Nagata, S.; Nakaya, T.; Hanibuchi, T.; Amagasa, S.; Kikuchi, H.; Inoue, S. Objective Scoring of Streetscape Walkability Related to Leisure Walking: Statistical Modeling Approach with Semantic Segmentation of Google Street View Images. Health Place 2020, 66, 102428. [Google Scholar] [CrossRef]
- Sahin, G.; Cabuk, S.N.; Cetin, M. The Change Detection in Coastal Settlements Using Image Processing Techniques: A Case Study of Korfez. Environ. Sci. Pollut. Res. 2022, 29, 15172–15187. [Google Scholar] [CrossRef]
- Jahani, A.; Allahverdi, S.; Saffariha, M.; Alitavoli, A.; Ghiyasi, S. Environmental Modeling of Landscape Aesthetic Value in Natural Urban Parks Using Artificial Neural Network Technique. Model. Earth Syst. Environ. 2022, 8, 163–172. [Google Scholar] [CrossRef]
- Zylshal; Sulma, S.; Yulianto, F.; Nugroho, J.T.; Sofan, P. A Support Vector Machine Object Based Image Analysis Approach on Urban Green Space Extraction Using Pleiades-1A Imagery. Model. Earth Syst. Environ. 2016, 2, 54. [Google Scholar] [CrossRef]
- Zheng, M.; Tang, W.; Ogundiran, A.; Yang, J. Spatial Simulation Modeling of Settlement Distribution Driven by Random Forest: Consideration of Landscape Visibility. Sustainability 2020, 12, 4748. [Google Scholar] [CrossRef]
- Li, X.; Li, L.; Wang, X.; Lin, Q.; Wu, D.; Dong, Y.; Han, S. Visual Quality Evaluation Model of an Urban River Landscape Based on Random Forest. Ecol. Indic. 2021, 133, 108381. [Google Scholar] [CrossRef]
- Ewing, R.; Handy, S. Measuring the Unmeasurable: Urban Design Qualities Related to Walkability. J. Urban Des. 2009, 14, 65–84. [Google Scholar] [CrossRef]
- Ulrich, R.S. View through a Window May Influence Recovery from Surgery. Science 1984, 224, 420–421. [Google Scholar] [CrossRef]
- Sun, D.; Ji, X.; Gao, W.; Zhou, F.; Yu, Y.; Meng, Y.; Yang, M.; Lin, J.; Lyu, M. The Relation between Green Visual Index and Visual Comfort in Qingdao Coastal Streets. Buildings 2023, 13, 457. [Google Scholar] [CrossRef]
- Salama, S.W. Towards Developing Sustainable Design Standards for Waterfront Open Spaces. City Territ. Archit. 2022, 9, 26. [Google Scholar] [CrossRef]
- Gehl, J. Cities for People; Island Press: Washington, DC, USA, 2010; ISBN 978-1-59726-573-7. [Google Scholar]
- Schofield, J. The Cultural Landscape and Heritage Paradox: Protection and Development of the Dutch Archaeological-Historical Landscape and Its European Dimension. Int. J. Herit. Stud. 2013, 19, 322–323. [Google Scholar] [CrossRef]
- Jacobs, J. The Death and Life of Great American Cities; 50th Anniversary ed.; 2011 Modern Library ed.; Modern Library: New York, NY, USA, 2011; ISBN 978-0-679-64433-0. [Google Scholar]
- Evans, G. Hard-branding the cultural city Ð from prado to prada. Int. J. Urban Reg. Res. 2003, 27, 417–440. [Google Scholar] [CrossRef]
- Ewing, R.; Cervero, R. Travel and the Built Environment: A Meta-Analysis. J. Am. Plann Assoc. 2010, 76, 265–294. [Google Scholar] [CrossRef]
- Banister, D. The Sustainable Mobility Paradigm. Transp. Policy 2008, 15, 73–80. [Google Scholar] [CrossRef]
- Yuan, Y.; Raubal, M. Extracting Dynamic Urban Mobility Patterns from Mobile Phone Data. In Geographic Information Science; Xiao, N., Kwan, M.-P., Goodchild, M.F., Shekhar, S., Eds.; Lecture Notes in Computer Science; Springer: Berlin/Heidelberg, Germany, 2012; Volume 7478, pp. 354–367. ISBN 978-3-642-33023-0. [Google Scholar]
- Jiang, S.; Ferreira, J.; González, M.C. Clustering Daily Patterns of Human Activities in the City. Data Min. Knowl. Discov. 2012, 25, 478–510. [Google Scholar] [CrossRef]
- Candia, J.; González, M.C.; Wang, P.; Schoenharl, T.; Madey, G.; Barabási, A.-L. Uncovering individual and collective human dynamics from mobile phone records. arXiv 2007, arXiv:0710.2939. [Google Scholar] [CrossRef]
- Cetin, M.; Onac, A.K.; Sevik, H.; Canturk, U.; Akpinar, H. Chronicles and Geoheritage of the Ancient Roman City of Pompeiopolis: A Landscape Plan. Arab. J. Geosci. 2018, 11, 798. [Google Scholar] [CrossRef]
- Kaya, L.G.; Çetin, M.; Doygun, H. A Holistic Approach in Analyzing the Landscape Potential: Porsuk Dam Lake and Its Environs, Turkey. Fresenius Environ. Bull. 2009, 18, 1525–1533. [Google Scholar]
- Zhou, B.; Zhao, H.; Puig, X.; Fidler, S.; Barriuso, A.; Torralba, A. Scene Parsing through ADE20K Dataset. In Proceedings of the 2017 IEEE Conference on Computer Vision and Pattern Recognition (CVPR), Honolulu, HI, USA, 21–26 July 2017; pp. 5122–5130. [Google Scholar]
- Guo, J.; He, H.; He, T.; Lausen, L.; Li, M.; Lin, H.; Shi, X.; Wang, C.; Xie, J.; Zha, S.; et al. GluonCV and GluonNLP: Deep Learning in Computer Vision and Natural Language Processing. J. Mach. Learn. Res. 2020, 21, 1–7. [Google Scholar]
- Long, J.; Shelhamer, E.; Darrell, T. Fully Convolutional Networks for Semantic Segmentation. In Proceedings of the IEEE Conference on Computer Vision and Pattern Recognition, Boston, MA, USA, 7–12 June 2015. [Google Scholar]
- Qiu, W.; Zhang, Z.; Liu, X.; Li, W.; Li, X.; Xu, X.; Huang, X. Subjective or Objective Measures of Street Environment, Which Are More Effective in Explaining Housing Prices? Landscape Urban Plan 2022, 221, 104358. [Google Scholar] [CrossRef]
- Tian, H.; Han, Z.; Xu, W. Evolution of Historical Urban Landscape with Computer Vision and Machine Learning: A Case Study of Berlin; Wichmann Verlag: Berlin, Germany; Offenbach, Germany, 2021. [Google Scholar]
- Badrinarayanan, V.; Kendall, A.; Cipolla, R. SegNet: A deep convolutional encoder-decoder architecture for image segmentation. arXiv 2015, arXiv:1511.00561. [Google Scholar] [CrossRef]
- Van Den Bosch, M.; Ode Sang, Å. Urban Natural Environments as Nature-Based Solutions for Improved Public Health—A Systematic Review of Reviews. Environ. Res. 2017, 158, 373–384. [Google Scholar] [CrossRef]
- Wang, R.; Zhao, J.; Liu, Z. Consensus in Visual Preferences: The Effects of Aesthetic Quality and Landscape Types. Urban For. Urban Gree 2016, 20, 210–217. [Google Scholar] [CrossRef]
- Oke, T.R. Canyon Geometry and the Nocturnal Urban Heat Island: Comparison of Scale Model and Field Observations. J. Climatol. 1981, 1, 237–254. [Google Scholar] [CrossRef]
- Li, M.; Xue, F.; Yeh, A.G.O. Efficient assessment of window views in high-rise, high-density urban areas using 3D color city information models. arXiv 2023, arXiv:2308.12909. [Google Scholar]
- Zhou, D. Classification and Evaluation of Urban Tourism Resource. J. Jishou Univ. (Nat. Sci. Ed.) 2016, 37, 90–96. [Google Scholar]
- Cohn, A.G.; Mark, D.M. (Eds.) Proceedings of the Spatial Information Theory: International Conference, COSIT 2005, Ellicottville, NY, USA, 14–18 September 2005; Lecture Notes in Computer Science; Springer: Berlin/Heidelberg, Germany, 2005; pp. 475–490. ISBN 978-3-540-28964-7. [Google Scholar]
- Chang, T.C.; Huang, S. Reclaiming the City: Waterfront Development in Singapore. Urban Stud. 2011, 48, 2085–2100. [Google Scholar] [CrossRef]
- Shareef, S.; Altan, H. Sustainability at an Urban Level: A Case Study of a Neighborhood in Dubai, UAE. Sustainability 2021, 13, 4355. [Google Scholar] [CrossRef]
- Kotval, Z.; Mullin, J. The Changing Port City: Sustainable Waterfront Revitalisation. J. Town City 2010, 1, 31. [Google Scholar]
- Making People-Friendly Towns; Tibbalds, F. (Eds.) Making People-Friendly Towns: Improving the Public Environment in Towns and Cities; Spon Press: London, UK; New York, NY, USA, 2001; ISBN 978-0-203-46952-1. [Google Scholar]
- Montgomery, J. Making a City: Urbanity, Vitality and Urban Design. J. Urban Des. 1998, 3, 93–116. [Google Scholar] [CrossRef]
- Zukin, S. The Cultures of Cities; Reprinted; Blackwell: Cambridge, MS, USA, 2002; ISBN 978-1-55786-437-6. [Google Scholar]
- Matlovičová, K. 2024 The Triadic Nexus: Understanding the Interplay and Semantic Boundaries between Place Identity, Place Image, and Place Reputation. Folia Geogr. 2024, 66, 69–102. [Google Scholar]
Disclaimer/Publisher’s Note: The statements, opinions and data contained in all publications are solely those of the individual author(s) and contributor(s) and not of MDPI and/or the editor(s). MDPI and/or the editor(s) disclaim responsibility for any injury to people or property resulting from any ideas, methods, instructions or products referred to in the content. |
© 2024 by the authors. Licensee MDPI, Basel, Switzerland. This article is an open access article distributed under the terms and conditions of the Creative Commons Attribution (CC BY) license (https://creativecommons.org/licenses/by/4.0/).


































