Abstract
Digital transformation has become a prominent trend in both the private and public sectors. Different from studies focusing on the transformation of the private sector, this study aims to investigate the impact of public sector digitalization, i.e., government digital transformation (GDT), on land use efficiency (LUE). Utilizing the introduction of the Big Data Bureau (BDB) as a quasi-natural experiment to GDT, this study employs a staggered difference-in-differences method (DID) and finds that GDT is significantly and positively related to LUE, denoting that cities undergoing GDT exhibit increased LUE relative to non-participants. These findings are robust after performing parallel trend tests, conducting the instrumental variable method and propensity score matching methods or entropy balance, considering heterogeneous treatment effects, and using other robustness checks. Furthermore, the heterogeneity analysis shows that GDT has a significantly stronger impact among eastern cities, cities with a greater degree of marketization, or cities with advanced Internet infrastructure. Finally, the rationale behind this effect is that GDT upgrades industrial structures and promotes innovation activities, thereby increasing LUE. This study adds to the literature by providing novel insights into the effects of public sector digitalization and its role in improving LUE.
1. Introduction
Land plays an essential role in promoting economic growth in most countries as it functions as a key production input across industries, agriculture, and the service sector [1]. With the rapid increase in population and the advancement of urbanization, the utilization and development of land in developing countries have significantly increased, leading to a dramatic reduction in available land resources [2,3]. To mitigate this issue, many countries have implemented numerous measures to enhance land use efficiency (LUE, hereafter). For example, the United Kingdom and the United States have implemented land transferable development rights institutions to improve LUE [4,5]. In addition to governments, many scholars have also explored the factors that may influence LUE, including upgrading industrial structure, spurring innovation activities, and speeding up urban expansion [6,7,8,9,10]. Therefore, exploring the factors of LUE holds significant practical and theoretical importance.
With the pervasive application of big data analytics and digital technologies, substantial changes have occurred within both the private and public sectors. These changes have attracted attention from scholars and practitioners. For instance, prior studies argue that digital transformation in firms can profoundly influence their operations and financial outcomes [11,12]. With the private sector experiencing digital change, many advanced countries have noted the changes in public services demand from firms, prompting a digital transformation within their governments. Accordingly, government digital transformation (GDT, hereafter) is regarded as the key strategy for improving the quality of public service provisions. Some studies show that GDT could attract various production factors (e.g., talent and capital) and spur entrepreneurial or innovation activities, which are pivotal for sustainable development [13,14]. However, the implications of the public sectors’ digitalization for land resources, which are essential but limited inputs for economic activities, remain underexplored in emerging countries. To bridge this gap, this study aims to examine whether and how public sector transformation affects LUE.
Based on the Resource Dependence Theory (RDT, hereafter) and the Innovation Ecosystem Theory (IET, hereafter), this paper proposes that GDT can affect LUE in two ways. Specifically, by establishing an integrated government service platform, GDT can accelerate data sharing and affairs collaboration across departments or administrative levels, which can attract new resources and improve inter-organizational structure, thereby markedly enhancing the efficiency and convenience of public services [15,16]. In that case, GDT can promote the local business environment. Therefore, this may attract more emerging firms and upgrade the local industrial structure [17,18]. As upgrading industrial structures is closely related to LUE, this paper predicts that GDT may enhance LUE by improving the regional industrial structure [9,19]. In addition, based on IET, streamlined government operations can reduce bureaucracy, creating a more conducive environment for talent or capital and, thus, attracting a greater influx of talent or capital [14,16]. According to related studies, technologies generated from innovative activities can be applied to various aspects of land management, thereby reducing excessive land development and enhancing LUE [8,10]. Therefore, this study posits that GDT can spur innovation activities, thereby increasing LUE.
There are two reasons for concentrating on the context of China. On the one hand, China provides a typical example of GDT, which can be considered as an exogenous shock to the GDT–LUE nexus [20]. As its covers vast territory, different regions in China have implemented GDT policy at varying times to enhance local governments’ public service efficiency, which helps alleviate potential concurrent policy interference that may determine LUE. In this context, GDT in China offers us an ideal research setting to identify the causal effect of GDT on LUE. On the other hand, China, the largest emerging country, continues to face challenges of inadequate land resource supply and low efficiency in land resource allocation, which are common problems in other developing countries. Moreover, its government is also marked by lower administrative efficiency, cumbersome approval processes, and heightened policy information opacity, which are echoed in other emerging and developed countries. By delving into this nexus, this paper can provide policymakers in other countries facing analogous challenges with policy insights, thereby potentially enhancing their policy repertoire and enhancing LUE.
Using the establishment of the Big Data Bureau (BDB) as a quasi-experient to the public sector’s digital transformation, this study explores the nexus between GDT and LUE. Through a time-varying difference-in-differences (DID) method, this paper finds that cities undergoing GDT have a greater LUE compared to cities that do not. This GDT–LUE nexus is robust after conducting parallel trend tests, using the instrumental variable method and propensity score matching method with DID (PSM-DID), considering heterogeneous treatment effects, and performing various other robustness tests. In addition, this effect is greater in cities located in eastern China, cities with a greater degree of marketization, or cities with developed Internet infrastructure. Moreover, this study further unveils the potential explanations that may be consistent with this relationship. Specifically, cities undergoing GDT experience industrial structure upgrading and innovation activity promotions, compared to these cities that are not, denoting that improved industrial structure and increased innovation activities are two mechanisms for this GDT–LUE nexus.
This paper makes two important contributions. First, this paper enriches the understanding of the economic consequences of digital transformation in the public sector. While the existing body of literature has established that GDT can influence macro-sustainable development [13], regional (green) innovation activities [14,16], entrepreneurial activities [17], and the business environment [21], this study diverges by concentrating on the underexplored domain of GDT’s influence on land resources, a critical yet often overlooked factor in economic processes. By doing so, this research introduces a fresh perspective, demonstrating that GDT can substantially refine industrial structure, stimulate local innovation activities, and, consequently, improve local LUE. Second, this paper expands the scope of research on the determinants of LUE, a field that is instrumental in fostering economic prosperity. Although previous studies have identified factors, including high-speed rail [22], industrial structure [9], innovation activities [8], and urban expansion [7], as determinants of LUE, this analysis distinctively highlights the pivotal role of GDT, presenting a novel viewpoint on this subject. Additionally, this study augments the burgeoning literature on LUE within the context of developing economies, offering novel insights into the factors that shape LUE and contributing to a more nuanced understanding of this multifaceted issue.
2. Institutional Background and Hypothesis
2.1. Institutional Background
China has proposed the implementation of e-government through initiatives such as the Government Online Project, which has fostered the development of office automation and online government services. By leveraging electronic technology, this project has facilitated the informatization of government affairs, thereby enhancing the government’s administrative capabilities and efficiency. However, with the rapid advancement of information technology, the way governments operate and interact with their citizens has undergone fundamental changes, and high-quality as well as sustainable developments are increasingly becoming global objectives. E-government, which is characterized by fragmented management and decentralized construction, cannot meet the demands for high-quality development and sustainable growth.
Many governments around the world are undergoing digital transformation to adapt to these changes. For example, the United Kingdom introduced the “Government Digital Strategy”, the United States launched the “Digital Government Strategy”, and South Korea established the “Smart Government Plan”. In line with this trend, China unveiled the “Outline of Action for Promoting the Development of Big Data” in 2015, marking a significant step towards GDT. Among the various strategic measures, the establishment of BDB is a typical event for local governments in China to initiate the GDT through administrative reform [20]. This institution primarily drives the GDT through the following initiatives. Specifically, the BDB is responsible for formulating and planning the objectives or outlines for the GDT within the region. Furthermore, it plays a crucial role in fostering the development of digital infrastructure, ensuring that the necessary digital and big data management platforms are in place to enhance local governance. Moreover, the BDB is entrusted with improving the stewardship of data resources, with a focus on consolidating, managing, and disseminating government and public data effectively [20].
The first municipal BDB was established in Guangzhou in 2015, after which an increasing number of cities began to set up this institution [20]. China established the National Data Administration in 2023, signifying a strategic advancement in the country’s data governance framework. As land resources are key inputs in economic activities and their scarcity [23], the rational use of land resources has become an essential prerequisite for achieving high-quality and sustainable economic development. This demands that local governments seek reforms in land resource management to accommodate the needs of economic growth. In that case, land resource management is a vital component of the GDT. The BDB is highly conducive to the digital transformation of land resource management. Firstly, the BDB coordinates the digital transformation of all government departments, including the Land Resource Management Bureau (LRMB), and provides them with big data platforms for collaborative efforts across regions, levels, and sectors. This facilitates synergy and multi-sectoral cooperation between central and local governments in land resource management. Secondly, through big data technology, the BDB can help promote automated and intelligent data processing, reduce manual operations, shorten approval times, and improve service response speed, enhancing the efficiency of land resource management. Third, the BDB integrates an array of data and technological tools, such as remote sensing monitoring and Geographic Information Systems (GIS), to strengthen the regulation of land resources. Utilizing these resources, the BDB assists local land resource departments in analyzing land use efficiency, pinpointing underutilized and vacant land, and advocating for the redevelopment and reuse of land resources, thereby optimizing the utilization efficiency of land resources.
2.2. Hypothesis
This section discusses how GDT affects LUE. To enhance the comprehension of these theoretical connections, the study introduces a conceptual framework depicted in Figure 1, which illustrates the interactions between DGT, industrial structure, innovation activities, and LUE.
Figure 1.
Framework of this study.
Digital transformation is a crucial driver for governments to improve LUE. By introducing advanced information technology, governments can more effectively collect and analyze land use data, including but not limited to geographical information, usage, and economic value. This data, characterized by precision and real-time, enables governments to make more accurate land resource allocation decisions, optimize land use planning, reduce resource waste, and enhance land productivity [24,25]. In addition, GDT can use digital platforms to strengthen the enforcement of policies. These platforms can quickly respond to changes in market and social demands, and with real-time data feedback, governments can promptly adjust land policies to meet new requirements for economic development and environmental protection. This flexibility and responsiveness are crucial factors in improving LUE [16,26]. Furthermore, digital transformation promotes inter-departmental information sharing and collaboration, breaking down traditional information silos. Collaboration between different government departments is strengthened, creating a combined effort to enhance land management efficiency. Combined with the above analysis, this study formulates the first hypothesis:
H1.
GDT is positively related to local LUE.
Based on the RDT and IET, this study then proposes two underlying mechanisms to explain this GDT–LUE nexus, including upgrading industrial structure and increasing innovation activities.
On the one hand, GDT can enhance LUE by upgrading the local industrial structure. According to RDT, organizations (including governments) typically obtain resources from the external environment to maintain operations and growth [27,28]. In the context of digital transformation, governments can use digital technology to acquire, share, and analyze data, thereby enhancing their governance capabilities [24]. For instance, by building an integrated government service platform, GDT can help governments more effectively acquire and integrate data resources, which can help optimize resource allocation and increase the efficiency of resource utilization, thereby promoting the optimization and upgrading of the industrial structure [14,29]. Moreover, GDT can also reconstruct the inter-organizational structure of government. Specifically, the GDT can reduce reliance on traditional governance models and instead rely on data-driven decision-making and process optimization, thereby transforming traditional bureaucratic organizations into seamless, networked, service-oriented governments [14]. For instance, GDT can integrate various government services, simplify administrative processes, and reduce approval times through one-stop services, enabling firms to promptly access the services and support they need [20]. Hence, GDT can refine the regional business environment, thereby attracting more emerging firms and bringing more external resources to regions [17]. In that case, GDT can accelerate the development of new industries and improve the inter-organizational structure of government, thus promoting the optimization and upgrading of the regional industrial structure.
According to related literature, upgrading industrial structures is the main pathway to achieving beneficial and quality economic growth [3]. In that case, adjustments in the industrial structure inevitably lead to changes in land use modes and land utilization structure [9,19]. As a carrier of economic development, optimal allocation of land resources is crucial for enhancing LUE. Through industrial structure upgrading, land resources can be transferred to more efficient industries, thereby improving the overall LUE. Combined with the above analysis, this study posits the second hypothesis:
H2.
GDT can help upgrade industrial structure, thereby enhancing LUE.
On the other hand, GDT may stimulate innovation activities, thereby enhancing LUE. According to IET, the innovation ecosystem consists of three main components: participants, resources, and enabling environment [30]. This theory emphasizes that innovation is not just the development of technology or products, but a complex, dynamic process involving multiple stakeholders, resource flows, and environmental factors.
First, GDT can introduce new participants, such as technology providers, data analysts, and digital service designers [25]. These participants drive innovation in urban management methods, management models, and management philosophies by introducing cutting-edge technologies like big data, cloud computing, blockchain, and artificial intelligence. The application of these technologies has not only changed the ways in which governments interact with diverse entities such as the market and society, but also provided new collaborative models and opportunities for regional innovation [16].
Second, GDT can spur the flow and distribution of innovative resources by providing digital resources and services. Governments make key resources such as funding, technology, and talent more accessible and utilizable through digital platforms, thereby accelerating the innovation process. For instance, by establishing a unified data resource-sharing platform, the integration and sharing of data resources are promoted, providing richer data support for innovation. Specifically, GDT may promote economic development and provide more external capital for firms. Previous studies highlight that GDT can extensively utilize information technologies and provide substantial financial support, alleviating corporate financial constraints [16,25]. In addition, GDT may help integrate financial platforms and technologies, promoting digital finance. These can ultimately provide more financial resources for local firms or individuals and thus spur innovation activities [31]. In addition, digital transformation increases the transparency of government decision-making and the speed of information flow, which helps attract talents who seek an efficient working environment. Streamlined government operations can reduce bureaucracy, creating a more conducive environment for talent to innovate [17]. Moreover, GDT can improve public services such as healthcare, education, and transportation, enhancing the quality of life for residents, a key factor in attracting talent. With the inflow of talent and capital, regions undergoing GDT are likely to experience a corresponding increase in innovative activities.
Third, GDT influences policies, markets, and cultural environments, providing more favorable conditions for innovation [14]. For instance, by promoting open data policies and intellectual property protection, a more open and collaborative environment for innovation is created [25]. Additionally, GDT can set higher standards for public data governance through the formulation and implementation of laws and public policies, providing guidance for the use of data by market and social entities [17]. This helps to establish public order in the digital age, thereby promoting regional innovation activities. Overall, GDT promotes regional innovation activities by strengthening and connecting participants in the local innovation ecosystem, bringing more financial and talent resources, and improving favorable environments.
According to existing studies, innovation activities are closely related to LUE [8,10]. Specifically, as innovation progresses, various advanced technologies can be applied to the land use process. For instance, the application of new technologies and concepts can effectively prevent land resource wastage issues stemming from improper design and planning. Cutting-edge land surveying techniques can accurately identify the suitable development types for land resources, promoting efficient utilization [32]. In summary, technologies generated from innovative activities can be applied to various aspects of land management, thereby reducing excessive land development and maximizing utility while conserving land resources. Therefore, this study posits that GDT can spur innovation activities and thus increase LUE.
H3.
GDT can help spur innovation activities, thereby enhancing LUE.
3. Sample, Variable Definitions, and Research Design
3.1. Sample Selection and Data Source
Data sources were derived from several databases. Specifically, data on city characteristics were collected from the City Statistical Yearbook, including economic conditions, population, and pollution emissions. This research then manually gathered information on the BDB from government websites and related news. Urban construction land area was collected from the Urban Construction Yearbook. This paper finally merged these datasets, excluded cities with greater missing variables, and obtained 283 cities spanning from 2008 to 2019 (i.e., 3396 city-year observations).
3.2. Variable Definitions
3.2.1. LUE
Following the related literature, this study used the supper efficiency Slack-Based Measure (SBM, hereafter) model to measure LUE [33,34,35]. Specifically, this method assumes that all decision-making units (DMUs, hereafter) have three vectors: inputs (x), desirable outputs (y), and undesirable outputs (z).
where denotes the input variables, including land, measured by urban construction land area capital, calculated as the capital stock, and labor, computed as the total number of employees in the secondary and tertiary industries; represents the output variable, economic outcome, measured by the added value of the secondary and tertiary industries; and denotes undesirable output variables, including the emission volumes of industrial dust and wastewater, as well as industrial sulfur dioxide emissions.
3.2.2. GDT
This study used a dummy, GDTD, to metric government digitation transformation. Specifically, this variable was generated by the interaction term (GDTD) between the treatment variable (Treat) and the post-event variable (Post). Treat is a binary variable, which is set to 1 if a city has a BDB in the sample period and 0 otherwise. Post also is a binary variable, which is designated as 1 for the year a given city has implemented a BDB and the subsequent year and 0 otherwise.
3.2.3. Other Variables
Following the prior literature [6,7,9], this research incorporated some variables that are closely associated with LUE, including local economic growth (GDPGrowth), measured by the annual GDP growth rate (in percentage); regional population density (PopDensity), computed as the total population divided by urban areas; foreign direct investment (FDI), calculated as the proportion of actual utilized foreign investment to GDP (in percentage), where the amount of actual utilized foreign investment has been converted into RMB according to the exchange rate of that year; road construction (Road), measured by the per capita road area; urbanization (Urban), calculated by dividing the urban population by the total population (in percentage); the proportion of the tertiary sector to GDP (GDPStru) (in percentage); and financial development (Finance), measured by the ratio of the year-end balance of financial institution loans to GDP (in percentage). Detailed definitions of all variables used in this study are shown in Appendix A.
3.3. Research Design
To investigate the link between GDT and LUE, this paper performed a staggered difference-in-differences (DID). The DID’s usefulness lies in its ability to effectively estimate policy effects by comparing the changes before and after policy implementation and the differences between the treatment and control groups, thereby providing more accurate causal inferences [36]. Specifically, this study revealed the causal effect of GDT on LUE by comparing the changes before and after the implementation of digital government policies in the treatment group (cities undergoing GDT) and the control group (cities without undergoing GDT). The empirical model is shown as follows:
where is the LUE, which is calculated based on Equations (1) and (2); and is binary variable describing whether a city i in year t, which is an interaction term between Treat and Post (i.e., GDTD). In this equation, this study was interested in , which captures the potential association between GDT and LUE. This main hypothesis holds if its sign is significant and positive. represents a battery of control variables, including GDPGrowth, PopDensity, FDI, Road, Urban, GDPStru, and Finance. Additionally, this paper incorporated the province-by-year fixed effect, city-fixed effect, and year-fixed effect.
4. Results
4.1. Descriptive Statistics and Correlations
Variables used in the Equation (3) are shown in Table 1. As presented, the mean of LandUE is 0.3024, with a standard deviation of 0.1505, which is quite similar to existing studies [9,34]. These figures show that there are considerable differences in LUE among different cities in the sample. Additionally, the mean of GDTD is 0.1163, implying that approximately 11.63% of observations are affected by GDT.
Table 1.
Descriptive statistics.
The correlation coefficients among variables are reported in Table 2. The correlation coefficient between GDTD and LandUE is 0.3077 with 1% significance, primarily indicating that GDT is positively related to LUE. This correlation coefficient only provides suggestive evidence, and this study then conducts more stringent tests to substantiate this relationship in a formalized manner.
Table 2.
Correlation matrix.
4.2. The Impact of GDT on LUE
Results based on Equation (3) are shown in Table 3. The first column, without control variables, shows that the estimator of GDTD is 0.0378 with a 1% significance level, implying that cities with the government is undergoing or has undergone digital transformation experience improved LUE. This paper then subsequently adds control variables, as shown in columns 2–8. The estimators of GDTD are significant and positive across all columns. Notably, the estimator of GDTD remains stable at 0.036–0.038, which primarily suggests that results are robust to adding control variables. In addition, the results are also sizable. Taking column 8 as an example, its estimated coefficient on GDTD is 0.0360, indicating that the LUE of cities that have undergone GDT is 11.9% greater than that of cities without such transformation relative to their mean values.
Table 3.
The impact of GDT on LUE.
4.3. Parallel Trend Test and Dynamic Effect
A fundamental prerequisite for the validity of the DID regression estimates is that the control group and the treatment group have the same time trend before the policy occurs. For instance, there should be no systematic differences in LUE between cities that have undergone GDT and those that have not. To test this parallel trend assumption, this study follows Beck et al. [37] and Liu et al. [38] and conducts the below event study model:
where (k = 2, 3, 4, 5, or 6) denotes various binary variables, which is defined as 1 if a city i is k years before GDT and 0 otherwise; and (k = 0, 1, 2, 3, 4) is set to 1 if a city i is k years after GDT and 0 otherwise. In this equation, this study takes the year preceding the implementation of GDT as the baseline year. Other variables are set the same as in Equation (3).
Results based on Equation (4) are shown in Figure 2. Specifically, solid circles represent the estimators of the above various binary variables, and the dashed lines represent confidence intervals. As Figure 2 shows, the estimator of (k = 2, 3, 4, 5, or 6) is insignificant, suggesting that the treatment cities have a similar trend to the control cities before the implementation of GDT. These results offer strong evidence for the validity of the DID estimator. In addition, the estimator of (k = 1, 2, 3, 4) is significant and positive after the implementation of DG, indicating that the impact of GDT does not immediately occur, and its effect is long-lasting. Moreover, these results also show that this effect may not be driven by reverse causality. Overall, these estimates provide robust empirical evidence for the main finding that GDT contributes to improved LUE.
Figure 2.
Parallel test.
4.4. Addressing Concern for Endogeneity
The previous section has confirmed the nexus of GDT–LUE. However, this finding may suffer from potential severe endogenous problems, including omitted variables, selection bias, and reverse causality. To address these endogenous problems, this paper has used the instrumental variable method, propensity score matching and entropy balance, and the lagged term of GDT.
4.4.1. Instrumental Variable Method
The main findings could be affected by the issue of omitted variable bias, such that the results may still suffer from omitted variables that simultaneously affect LUE or GDT. This study follows related studies and constructs an instrumental variable (IV) to address this concern [39,40]. This paper employs historical data from China’s urban postal and telecommunications bureaus in 1984 to instrument DGT. This is because the construction of GDT is inextricably linked to the impact of digital infrastructure, such as postal and telecommunications bureaus, which satisfies the precondition for the relevance of instrumental variables. Furthermore, these historical data are exogenous and cannot directly affect LUE. As this historical data does not vary over time, the paper, drawing on the research of Nunn and Qian [41], constructs an interaction term (IV) as an instrumental variable based on the number of postal and telecommunications bureaus per million people in 1984 and the number of internet users in China in the preceding year.
Based on this IV, this study employs a two-stage regression. Specifically, this study regresses GDTD on IV and obtains the fitted value of GDTD (FGDTD). Then, this paper runs a regression of LandUE on FGDTD. Estimated results are shown in the first and second columns of Table 4. Consistent with our prediction, the coefficient on IV is significant and positive in the first stage, denoting that IV is significantly related to GDTD. In the second column, which displays the results of the second stage, the estimator of FGDTD is also significant and positive, suggesting that the GDT–LUE nexus remains unchanged after using the instrumental variable method to address the concern of the omitted variable.
Table 4.
Results of instrumental variable method and lagged term of GDT.
4.4.2. Lagged Term of GDT
This study may suffer from a severe reverse causality problem, i.e., LUE affecting GDT implementation rather than GDT shaping LUE, despite the fact that the parallel trend test showing the GDT–LUE nexus does not hold before GDT implementation. Following related studies [42], this study utilizes the one-year lagged term of GDT (LGDTD) to further address this concern. This study then reruns Equation (3) by replacing GDTD with LGDTD and presents outcomes in the third column of Table 4. Notably, the coefficient on LGDTD is positive, denoting that the GDT–LUE nexus remains after considering reverse causality.
4.4.3. Propensity Score Matching and Entropy Balance
The main findings may suffer from potential selection bias. To alleviate this concern, this study follows previous studies [43,44] and conducts a PSM-DID to re-evaluate the impact of GDT on LUE. Specifically, this study first runs a logit regression of GDTD on GDPGrowth, PopDensity, FDI, Road, Urban, GDPStru, and Finance. Then, this research obtains a propensity score based on the above logit regression for each observation. Based on these propensity scores, this study employs kernel matching to match control samples for each experimental sample. The difference between the experimental and control groups before and after PSM is shown in Appendix B. Notably, there are no systematic differences between these two groups after matching. This paper finally reruns Equation (3) using PSM-matched samples. The results of PSM-DID are shown in the first column of Table 5. The first column shows that the estimator of GDTD is significant and positive. These results imply that the selection bias problem may not bias this relationship.
Table 5.
Results of PSM-DID and entropy balance.
As PSM deletes some observations, this method may lead to information loss. Following Alam et al. [45] and Ferri and Li [46], this paper employs an entropy balancing estimation, which can reweight each observation in the control group to achieve comparable distributions (e.g., mean or variance) of variables between the treated and control groups [47]. This study incorporates all control variables as the matching criteria and ensures that these two groups exhibit balance in terms of mean, variance, and skewness [46]. Appendix C presents the distributional properties of the variables for both the treatment and control groups prior to and after entropy balancing. The results indicate that, following entropy balancing, there are no notable discrepancies in mean, variance, and skewness between the treatment group and the control group that has been reweighted. This study then reruns Equation (3) using entropy-based samples and presents results in the third column of Table 5. Consistent with the baseline result, the estimator of GDTD remains significantly positive, underscoring the robustness of the findings against the self-selection concern.
4.5. Heterogeneous Treatment Effect of GDT
Previous studies have shown that the time-varying DID using two-way fixed effects (TWFE, hereafter) estimation may lead to biased estimators due to treatments being implemented at varying time points and varying durations of treatment exposure [48,49]. For instance, the early treatment groups may become the control group for the later treatment groups (i.e., bad control group) and thus bring biased estimators. To address this concern, the authors in [49] decomposed the TWFE estimator into a weighted average of all possible two-group or two-period DID estimators (2 × 2 DID estimator, hereafter) within the sample. This decomposition reveals how the TWFE estimate is constructed from comparisons between groups treated at different time points.
This paper follows Goodman-Bacon [49] and decomposes the TWFE estimators into three groups. The outcomes are presented in Table 6. Notably, the weight of the 2 × 2 DID estimator with the bad control group (i.e., Later Treatment vs. Earlier Control) only accounts for less than 10%. In contrast, the other 2 × 2 DID estimators constitute more than 90%, suggesting that the main result is substantially influenced by the 2 × 2 DID estimators with valid control groups, thereby reinforcing the credibility of the initial staggered DID framework.
Table 6.
Bacon decomposition.
4.6. Other Robustness Checks
To further enhance the robustness of the main findings, this study then conducts various robustness checks, including employing a placebo test, utilizing alternative measures of LandUE, and excluding the potential effect of the global financial crisis and other policies.
First, this study conducts a placebo test to address the concerns that the results are driven by chance or other policies. Following the related literature [38,50], this paper performs a falsification test by randomly designating the treatment status and control status to cities, and constructing a false treatment variable, i.e., PGDTD. This study then reruns Equation (3) by replacing GDTD with PGDTD. The above processes are repeated 500 times. If this effect stems from chance, this research should observe that PGDTD has an insignificant impact on LUE, and its estimator is around zero. The results of the placebo test are pictured in Figure 3. Circles represent the estimated coefficients of PGDTD, and vertical dashed lines represent the estimated value of GDTD (0.0360). Notably, the estimator of GDTD is situated outside PGDTD’s distribution, implying that the improved effect of GDT on LUE is not driven by chance or unobservable factors.
Figure 3.
Placebo test.
Second, this study uses an alternative measure of LandUE to address the concern of measurement errors. Specifically, this paper follows Chen et al. [51] and uses the unit output value of the urban built-up area (LandUE1), which is measured by dividing the total output value of the secondary and tertiary industries by the area of the urban built-up area. This study then reruns Equation (3) by replacing LandUE with LandUE1 and presents outcomes in the first column of Table 7. In line with the baseline result, the coefficient of LandUE1 is still significantly positive, suggesting that this positive effect of GDTD on LandUE is robust to using an alternative measure of LUE.
Table 7.
Other robustness checks.
Third, this paper further alters the sample interval to examine the GDT–LUE nexus. Specifically, the global financial crisis occurred during the sample period, and to mitigate its impact, China implemented a large-scale investment stimulus. Such a shift could potentially influence LUE. To address this concern, this study deletes observations from 2008 to 2009 and reruns Equation (3) using samples from 2010 to 2019. The estimator of GDT, as presented in the second column, is consistent with baseline results and continues to be positive, implying that this effect is not driven by the global financial crisis.
Fourth, this research additionally incorporates several binary variables to exclude the potential impact on other policies. The GDT–LUE nexus may be biased by other relevant policies concurrent with the same period. For instance, China has implemented a “BroadBand China” policy to improve digital infrastructure, which also influences GDT and LUE [52,53]. To address this concern, this study generates a binary variable, BC, which is defined as 1 if the city is set as a pilot city in a given year and 0 otherwise. This study also takes into account the impact of the “Smart City” policy, which aims to use technology to govern cities, which may affect LUE [54]. This paper also constructs a binary variable, SC, which equals 1 if a city is designated as a “Smart City” in a given year and 0 otherwise. Moreover, this paper considers the effect of the “Big Data Comprehensive Pilot Zone”, which designates some cities to foster the circulation of data factors and develop the data industry [55]. This study generates a binary variable, BD, which is defined as 1 if a city has been selected as a pilot city in a given year and 0 otherwise. This research finally additionally adds these three binary variables by rerunning Equation (3), and the results are reported in columns 3–5 of Table 7. In line with baseline results, the estimators of GDT are all significant and positive across these columns, implying that the GDT–LUE nexus is unchanged after considering the potential impact of these policies.
4.7. Cross-Sectional Analysis
In this subsection, this paper explores the potential cross-sectional differences in the GDT–LUE nexus based on geographical location, the degree of local marketization, and Internet infrastructure.
4.7.1. Geographical Location
This study first investigates whether the GDT–LUE nexus varies across different geographical locations. Specifically, this paper constructs a binary variable, EastDum, which equals one if a city is situated in eastern China and 0 otherwise. Then, this study re-estimates Equation (3) by adding the interaction term of EastDum and GDTD (i.e., EastDum × GDTD). The binary variable, Location, is absorbed by the city-fixed effects. Results of the cross-sectional analysis based on geographical locations are presented in the first column of Table 8. Notably, the coefficient of EastDum × GDTD is significant and positive, implying that the positive effect of GDT on LUE is stronger in eastern regions.
Table 8.
Cross-sectional analysis.
There are two possible reasons for this relationship. On the one hand, eastern regional governments may be more efficient and effective in implementing digital government policies [56]. In that case, GDT can better play its intended role. On the other hand, the land supply in the central and western regions accounts for a larger share of the national total, leading to relatively low land prices, which indirectly subsidizes firms with low production efficiency [1]. On the contrary, the reduction in land supply in eastern provinces has led to a significant increase in land transfer prices, thereby raising the cost of land use for firms and promoting the improvement of LUE.
4.7.2. The Degree of Local Marketization
This study then explores how the degree of local marketization moderates the GDT–LUE nexus. Following Kong and Qin [57], this paper uses the market index from the China Market Index Database (CMID, hereafter) to measure local marketization. Specifically, this paper constructs a binary variable, MarkDum, which is defined as 1 if a city’s market index is greater than the sample median in a given year and 0 otherwise. Based on MarkDum, this study reruns Equation (3) by additionally incorporating MarkDum and the interaction term of MarkDum and GDTD (i.e., MarkDum × GDTD). Results of the cross-sectional analysis based on the degree of local marketization are shown in the second column of Table 8. Notably, the coefficient on the MarkDum × GDTD is significant and positive, implying that the GDT–LUE nexus is stronger in cities with a greater degree of local marketization.
The rationale behind this nexus is that regions with a high level of marketization typically have more sophisticated market price mechanisms and resource allocation, which may help improve the efficiency of land resource allocation [58]. In that case, following the implementation of GDT, regions with a greater degree of marketization may be affected more. In addition, cities with a high level of marketization have more efficient government execution capabilities, enabling the more successful implementation of GDT, which in turn better improves LUE in these regions. Moreover, in regions with a high level of marketization, the interplay between government and market is more cohesive, enabling the government to more effectively fulfill its guiding and supportive functions within the market dynamics, which in turn fosters a greater advancement in LUE following the implementation of GDT [53].
4.7.3. Local Internet Infrastructure
This paper finally examines how local Internet infrastructure moderates the GDT–LUE nexus. To test this relationship, this study constructs a dummy variable (i.e., InternetDum) based on local Internet infrastructure. Specifically, InternetDum is set to 1 if regions have a greater Internet penetration rate than the sample median in a given year and 0 otherwise. This paper reruns Equation (3) by additionally adding InternetDum and the interaction term of InternetDum and GDTD (i.e., InternetDum × GDTD). Results of the cross-sectional analysis based on local Internet penetration rate are reported in the third column of Table 8. Notably, the coefficient of InternetDum × GDTD is significant and positive, denoting that the nexus between GDT and LUE is greater in regions with higher Internet penetration rates.
The main reason for this phenomenon is that regions with a high Internet penetration rate typically have the better digital infrastructure, such as data centers and 5G networks. These are the foundation of the digital economy and the application of technology, playing a key role in the development of the digital economy and the enhancement of land use efficiency [59,60,61]. Hence, GDT may better facilitate these regions’ LUE.
4.8. Mechanism Analysis
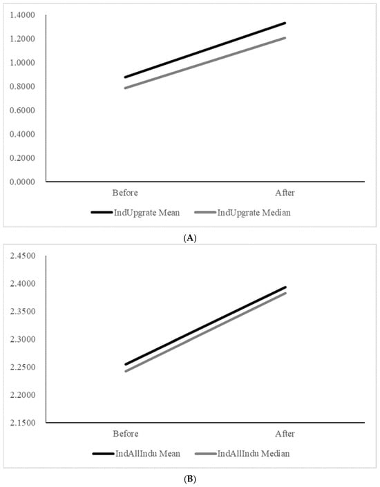
The aforementioned sections have established the relationship between GDT and LUE, and various heterogeneity analyses have been conducted. A naturally arising question is where this effect comes from. This section discusses the potential mechanisms by which GDT influences LUE, i.e., industrial structure upgrading and innovation. This section first provides detailed changes in the measures of industrial structure and innovation before and after GDT implementation in Appendix E. Notably, the mean or median value of industrial structure or innovation activities before GDT implementation is much smaller than that after GDT implementation, providing suggestive evidence that industrial structure or innovation activities subsequently increases following the GDT policy.
4.8.1. Industrial Structure Upgrading
As mentioned in Section 2, this paper has proposed that GDT can facilitate industrial structure upgrading, through which GDT can enhance LUE. If this explanation holds, this study should observe that local industrial structure subsequently increases following GDT.
To test this possible mechanism, this paper follows related studies and constructs the following equation:
where IndStru is the regional industrial structure, which is measured by IndUpgrate and IndAllIndu. The former is defined as the ratio of the output value of the tertiary industry to that of the secondary industry. IndAllIndu equals the primary industry’s value-added/GDP × 1+ secondary industry’s value-added/GDP × 2+ the tertiary industry’s value-added/GDP × 3. GDTD is defined as in Equation (3). Control represents a range of control variables that are closely related to GDT and industry structure upgrading, including GDPGrowth, PopDensity, FDI, Road, and Urban. The estimator of GDTD is the primary interest. If this mechanism is valid, this study predicts it should be significantly positive.
Table 9 presents the results of the industry structure upgrading mechanism. The first and second columns, using IndUpgrate and IndAllIndu to measure industry structure upgrading, show that the estimators of GDTD are significant and positive across these columns, suggesting that cities experience significant industrial structure upgrading following the implementation of GDT compared to cities that have not implemented it. These results provide strong empirical evidence that GDT can improve industry structure, which consequently fosters an increase in LUE.
Table 9.
Mechanism: improved industry structure.
4.8.2. Increased Innovation Activities
In addition, this paper has posited that GDT can spur local innovation activities, thereby improving LUE. If this explanation is valid, this paper should observe that local innovation activities dramatically increase following this policy.
To verify this possible explanation, this study follows related studies and constructs the following equation:
where Innovation denotes local innovation activity, which is measured by the logarithm of the number of invention patents obtained in that year plus one (LnInnovation) and the logarithm of innovation patents per capita obtained in a given year plus one (LnInnoPer). GDTD is defined as in Equation (3). Control represents a range of control variables that are closely related to GDT and innovation activities, including GDPGrowth, PopDensity, FDI, Road, Urban, GDPStru, and Finance. The estimator of GDTD is the primary interest, and this paper predicts it should be significant and positive.
Table 10 reports the results of the innovation mechanism. The first and second columns, using LnInnovation and LnInnoPer to measure innovation, report that the estimators of GDTD are significant and positive, denoting that local innovation activities subsequently increase following GDT in cities that implement digital government policy. These results indicate that GDT can improve LUE by spurring local innovation activities, which confirms the hypothesis.
Table 10.
Mechanism: enhanced innovation.
5. Discussion
Digital transformation has emerged as a salient trend in the realm of economic development, encompassing both the private and public sectors. While studies have extensively examined the economic consequences of private sector transformation [62,63], the implications of transformation in public sectors on land resources, essential but limited inputs, remain underexplored. Utilizing the implementation of BDB as a quasi-experient to GDT, this paper performs a DID regression to explore whether and how GDT affects LUE. First, this study finds that, compared to cities that have not undergone GDT, LUE significantly increases in cities that implement GDT, which complements the Digital Transformation Theory that highlights the beneficial role of digital transformation [64,65]. This GDT–LUE nexus remains robust after conducting parallel trend tests, conducting PSM-DID, considering heterogeneous treatment effects, and performing various other robustness tests.
Second, cross-sectional analysis finds that eastern cities, cities with a greater degree of marketization, or cities with developed Internet infrastructure are affected more by GDT. The greater effect in eastern regions is primarily attributed to the potential for more efficient and effective implementation of digital government policies by regional governments, thereby allowing GDT to more fully realize its intended benefits [56]. Additionally, the central and western regions, with their larger share of the national land supply, exhibit relatively lower land prices, indirectly subsidizing firms with lower production efficiency [1]. In contrast, the contraction in land availability in eastern provinces has precipitated a marked escalation in land transfer costs, consequently elevating the land usage expenses for businesses and stimulating the enhancement of LUE. The significant impact of GDT on cities with a higher degree of marketization is due to the presence of more sophisticated market price mechanisms and resource allocation in these regions, which may contribute to the improved efficiency of land resource allocation [58]. The interaction between government and market is more integrated, enabling the government to more effectively perform its guiding and supportive roles within market dynamics, which in turn promotes greater advancements in LUE following the implementation of GDT [53]. Regarding the greater impact of GDT on cities with advanced Internet infrastructure, this paper posits that regions with high Internet penetration rates generally boast superior digital infrastructure, including data centers and 5G networks. Such infrastructure forms the backbone of the digital economy and technological applications, playing an essential role in the growth of the digital economy and the improvement of LUE [59,60,61].
Finally, this paper further investigates the potential mechanisms behind such a relationship. Specifically, cities that have undergone GDT experience industrial structure upgrading and innovation activity promotion compared to these cities that have not undergone GDT, denoting that improved industrial structure and increased innovation activities are two explanations for this GDT-LUE nexus. These results are consistent with the Resource Dependence Theory and Innovation Ecosystem Theory. The former theory highlights that resources are critical to organizations; therefore, it is essential to restructure inter-organizational relationships to optimize resource allocation. Different from those studies that highlight Resource Dependence Theory with the appropriate use of digital technologies in private sectors [27,28], this paper extends this theory by showing that shows that digitalization in public sectors can help optimize resource allocation and upgrade industrial structure, and thus improve LUE. The latter theory emphasizes the role of innovation activities in formatting organization. Consistent with previous studies [14,25], this paper shows that GDT can significantly spur regional innovation activities, through which GDT can improve LUE.
6. Conclusions
Utilizing the implementation of GDT as a quasi-experient to public sectors’ digital transformation, this paper performs a DID regression and finds that, compared to cities not implementing GDT, local LUE significantly increases in cities that implement GDT. This GDT–LUE nexus is robust after conducting parallel trend tests, conducting PSM-DID, considering heterogeneous treatment effects, and performing various other robustness tests. In addition, this paper finds that eastern cities, cities with a greater degree of marketization, or cities with developed Internet infrastructure are affected more following GDT. Moreover, this paper further investigates the potential mechanisms underlying such a relationship. Specifically, cities that have undergone GDT experience industrial structure upgrading and innovation activity promotion, compared to these cities that have not, denoting that improved industrial structure and increased innovation activities are two explanations for this GDT–LUE nexus.
This study makes two important theoretical contributions. First, this study adds to knowledge surrounding the economic effects of the public sector’s digital transformation. The existing literature has documented that GDT can shape macro sustainable development, local innovation, entrepreneurial activities, and the business environment [13,14,16,21]. Unlike previous studies, this paper focuses on the impact of GDT on land resources, a vital but limited input for economic activities. Therefore, this paper provides a novel perspective by showing that GDT significantly upgrades industrial structure, spurs local innovation activities, and, in turn, enhances local LUE.
Second, this paper also complements the literature on determinants of LUE that largely contribute to economic prosperity. Previous studies have explored some factors that affect LUE, including high-speed rail, industrial structure, innovation activities, and urban expansion [7,9,22,56]. Different from those studies, this paper uniquely emphasizes the role of GDT, offering a new perspective on this topic. Additionally, these findings bolster the growing body of literature on LUE in developing countries, thereby providing fresh insights into the elements that influence LUE.
In addition, this study has policy and practical implications for policymakers in China and other countries. Specifically, given that many developed and developing countries are undergoing digital transformation and facing land resource constraints, this study may offer specific reference significance for these countries. First, in light of the significant positive impact of GDT on enhancing LUE, governments should moderately increase the procurement of digital products and services in advance, and accelerate the construction of government business information systems and the pace of digital technology innovation in government service platforms. On the one hand, it is important to focus on promoting collaborative management and integrated sharing of government data resources across levels, regions, and departments. Relevant data governance policies and regulations should be improved according to local conditions, breaking down “data barriers” and “information silos,” and promoting the orderly flow of data elements in accordance with laws and regulations, thereby enhancing the scientific level of government decision-making and the efficiency of management services. Other strategies include using “Internet + government services” as a key lever to improve the convenience of administrative approval business processing, focusing on the actual needs of enterprises, innovating and updating service models in response and processing, and accelerating the transformation of government services from the convenience stage to the quality improvement stage. For instance, the UK government unveiled its “Top Ten Technology Priorities” for fostering the digital economy in March 2021, which encompass the development of gigabit broadband and 5G digital infrastructure, the removal of barriers to data sharing and utilization, the enhancement of the workforce’s digital skills through training, the assurance of digital rights for every citizen, the provision of a conducive financing environment for the growth of startups, the promotion of cutting-edge digital terms in international trade cooperation, and the establishment of new global digital partnerships to expand investment opportunities in the digital domain. It should be noted that when strengthening the construction of digital government service platforms, full attention should be paid to the risk of infringing on personal privacy due to excessive collection of personal information. In response, the government should establish laws to protect personal privacy and guide relevant departments in the lawful and regulated collection of personal information.
Second, in light of the current state of digital governance and its impact patterns, it is essential to promote the construction of GDT in various cities in a targeted manner, according to local conditions, to enhance the effectiveness of digital governance on LUE across different types of cities. Our findings indicate that a city’s geographical location, network infrastructure, and level of marketization can influence the impact of GDT on LUE. Therefore, governments should strengthen the construction of network infrastructure in cities where the effectiveness of digital governance is relatively weak, such as western cities and those with weaker network infrastructures. Specifically, cities with relatively underdeveloped Internet infrastructure should extensively invest in upgrading and maintaining their Internet infrastructure (e.g., fiber-optic networks and 5G deployment) and encourage the innovation of Internet-based services, such as smart city services, e-commerce platforms, and unified online government service, to standardize and simplify access to government services, improving efficiency and convenience for citizens. For instance, the United States issued the Infrastructure Investment and Jobs Act (BIL, hereafter), which allocated $65 billion to connect everyone to reliable, affordable high-speed Internet service, providing connected devices and digital skills training to those who need it. Cities with lower degrees of marketization should proactively employ market mechanisms to direct resource allocation, particularly in the realms of data resources and digital services. Meanwhile, they should also develop policies to encourage private enterprises to participate in the provision of data resources and digital services. This can be achieved through public–private partnership (PPP) models, which allow the private sector to be involved in constructing and operating infrastructure and service projects. Additionally, tax reductions and financial subsidies can be offered as incentives to private companies that participate in these partnerships, lowering the barriers to entry and risks for them. The potential risk that warrants attention should be the possibility of widespread redundant investment by local governments. In response to this potential risk, local government should strictly review the funds supported by fiscal capital, incorporated into annual budget management, which ensures that the sources and use of funds for government investment projects are under strict supervision, preventing disorderly and redundant investments.
Third, as GDT can increase LUE through upgrading industrial structures and spurring local innovation activities, the government should craft comprehensive policies that target the upgrading of industries. These policies should be designed to nurture sectors with high added value and high technological content, which are essential for driving economic growth and improving the region’s competitive edge in the global market. Alongside fostering new industries, it is crucial to provide support and guidance for transforming and upgrading traditional industries. This ensures a smooth transition and leverages the existing industrial base, preserving jobs while enhancing productivity and sustainability. Furthermore, the government should increase its investment in research and development and innovation, offering enterprises incentives such as tax benefits, financial support (e.g., grants and low-interest loans), and intellectual property protection to ensure that the fruits of innovation are secure, encouraging companies to take risks and invest in groundbreaking research. Therefore, by upgrading the industrial structure and stimulating local innovative activities, the impact of GDT on LUE can be effectively leveraged. The risk that needs attention is that government guidance on industrial structure and innovative activities may excessively interfere with enterprises’ production and operational activities, thereby affecting the effective allocation of resources. To address this concern, local government should establish a transparent regulatory framework that clearly defines the government’s and private sector’s roles and responsibilities, reducing uncertainty and the potential for overreach.
Finally, although this study has many benefits, it still has some limitations. On the one hand, this study explores the impact of GDT on LUE in the context of China, which only theoretically offers guidance for other developing or developed countries. However, this study is less likely to empirically generalize these findings to these countries. Future research can examine analogous situations in different countries to determine the generalization of conclusions. On the other hand, given that China’s GDT is ongoing, this study may only reflect the short-term effects of GDT on LUE. Future research can assess the impact of GDT on LUE once the transformation has been fully implemented over an extended timeframe.
Author Contributions
Conceptualization, Y.J. and X.W.; Data curation, L.Y. and X.W.; Methodology, X.Z. and L.Y.; Software, Y.J. and L.Y.; Writing—original draft, X.Z., Y.J. and X.W; Writing—review and editing, X.Z., Y.J. and L.Y. All authors have read and agreed to the published version of the manuscript.
Funding
This work was supported by the Shuguang Program of the Shanghai Education Development Foundation and Shanghai Municipal Education Commission (No. 22SG55), the Humanities and Social Science Fund of the Ministry of Education of the People’s Republic of China (NO. 21YJC790082), and National Natural Science Foundation of China (No. 72103139).
Data Availability Statement
The original contributions presented in the study are included in the article, further inquiries can be directed to the corresponding authors.
Acknowledgments
We would like to thank the editor and the anonymous reviewers for their helpful suggestions and comments.
Conflicts of Interest
The authors declare no conflicts of interest.
Appendix A
Table A1.
Variable Definitions.
Table A1.
Variable Definitions.
| Variable | Definitions |
|---|---|
| LandUE | Regional land use efficiency, calculated in Section 3.2.1 |
| Treat | Treat is a binary variable, which is set to 1 if a city has a BDB in our sample period and 0 otherwise. |
| Post | Post also is a binary variable, which is designated as 1 if the year a given city has implemented a BDB and the subsequent year and 0 otherwise. |
| GDTD | The interaction term between Treat and Post |
| GDPGrowth (%) | The annual GDP growth rate |
| PopDensity | the ratio of the total population to urban areas |
| FDI (%) | The proportion of actual utilized foreign investment to GDP |
| Road | The per capita road area |
| Urban (%) | The ratio of the urban population to the total population |
| GDPStru (%) | The proportion of the tertiary sector to GDP |
| Finance (%) | The ratio of the year-end balance of financial institution loans to GDP |
Appendix B
Table A2.
Balanced Test of PSM.
Table A2.
Balanced Test of PSM.
| Unmatched | Mean | %reduct | t-Test | V(T)/ | ||||
|---|---|---|---|---|---|---|---|---|
| Variable | Matched | Treated | Control | %bias | |bias| | t | p > |t| | V(C) |
| GDPGrowth | U | 6.9004 | 10.3430 | −108.9000 | −17.2000 | 0.0000 | 0.32 * | |
| M | 6.9286 | 6.7713 | 5.0000 | 95.4000 | 0.7900 | 0.4290 | 0.43 * | |
| PopDensity | U | 5.8438 | 5.7254 | 13.2000 | 2.4900 | 0.0130 | 1.0500 | |
| M | 5.8440 | 5.8279 | 1.8000 | 86.4000 | 0.2500 | 0.8060 | 0.9600 | |
| FDI | U | 1.5677 | 1.7710 | −12.4000 | −2.2100 | 0.0270 | 0.79 * | |
| M | 1.5760 | 1.5779 | −0.1000 | 99.0000 | −0.0200 | 0.9860 | 1.0200 | |
| Road | U | 18.9240 | 15.9320 | 44.5000 | 8.3100 | 0.0000 | 1.0000 | |
| M | 18.9370 | 19.0290 | −1.4000 | 96.9000 | −0.1800 | 0.8600 | 0.74 * | |
| Urban | U | 61.9520 | 51.5770 | 69.2000 | 12.5200 | 0.0000 | 0.8400 | |
| M | 61.7960 | 61.9260 | −0.9000 | 98.7000 | −0.1200 | 0.9050 | 0.76 * | |
| GDPStru | U | 49.0880 | 38.4250 | 121.9000 | 22.1300 | 0.0000 | 0.8600 | |
| M | 48.9760 | 48.6590 | 3.6000 | 97.0000 | 0.5000 | 0.6200 | 0.77 * | |
| Finance | U | 1.3124 | 0.8648 | 77.1000 | 16.2200 | 0.0000 | 1.76 * | |
| M | 1.3030 | 1.2457 | 9.9000 | 87.2000 | 1.2700 | 0.2030 | 1.1300 |
Note: “U” denotes the unmatched sample, while “M” represents the matched sample. * is significant at the 10% level.
Appendix C
Table A3.
Balanced Test of Entropy Balance.
Table A3.
Balanced Test of Entropy Balance.
| Panel A Before entropy balance | ||||||
| Treat | Control | |||||
| Mean | Variance | Skewness | Mean | Variance | Skewness | |
| GDPGrowth | 6.9000 | 4.8040 | −0.4905 | 10.3400 | 15.1900 | −0.2645 |
| PopDensity | 5.8440 | 0.8232 | −0.9852 | 5.7250 | 0.7841 | −0.7724 |
| FDI | 1.5680 | 2.3890 | 1.1480 | 1.7710 | 3.0190 | 1.4500 |
| Road | 18.9200 | 45.0600 | 0.6131 | 15.9300 | 45.2400 | 0.7652 |
| Urban | 61.9500 | 205.8000 | 0.2538 | 51.5800 | 244.1000 | 0.6003 |
| GDPStru | 49.0900 | 70.6900 | 0.3554 | 38.4200 | 82.3900 | 0.6575 |
| Finance | 1.3120 | 0.4301 | 1.2230 | 0.8648 | 0.2442 | 1.9150 |
| Panel B After entropy balance | ||||||
| Treat | Control | |||||
| Mean | Variance | Skewness | Mean | Variance | Skewness | |
| GDPGrowth | 6.9000 | 4.8040 | −0.4905 | 6.9000 | 4.8050 | −0.4901 |
| PopDensity | 5.8440 | 0.8232 | −0.9852 | 5.8440 | 0.8232 | −0.9852 |
| FDI | 1.5680 | 2.3890 | 1.1480 | 1.5680 | 2.3890 | 1.1480 |
| Road | 18.9200 | 45.0600 | 0.6131 | 18.9200 | 45.0600 | 0.6131 |
| Urban | 61.9500 | 205.8000 | 0.2538 | 61.9500 | 205.8000 | 0.2538 |
| GDPStru | 49.0900 | 70.6900 | 0.3554 | 49.0900 | 70.6900 | 0.3554 |
| Finance | 1.3120 | 0.4301 | 1.2230 | 1.3120 | 0.4301 | 1.2230 |
Appendix D. Placebo Test by Advancing the Timing of GDT Implementation
This study also conducts a placebo test by advancing the timing of GDT implementation Specifically, this paper advances the timing of GDT implementation in cities by one, two, and three years, respectively. Based on this false GDT implementation, this study constructs three dummy variables, including GDTDBe3, GDTDBe2, and GDTDBe1. For instance, GDTDBe3 (GDTDBe3 or GDTDBe2) is set to 1 if the cities undergoing GDT three years before and 0 otherwise. This paper finally estimates the baseline model (3) by using these three dummy variables, and the results are shown in Table A4. As shown, the coefficient on GDTDBe3 (GDTDBe3 or GDTDBe2) is insignificant, suggesting that when the treatment disappears, this effect also does not hold. This result further reveals that this effect can be attributed to GDT policy.
Table A4.
Results of placebo test by advancing the timing of GDT implementation.
Table A4.
Results of placebo test by advancing the timing of GDT implementation.
| (1) | (2) | (3) | |
|---|---|---|---|
| LandUE | LandUE | LandUE | |
| GDTDBe3 | −0.0088 | ||
| (0.0085) | |||
| GDTDBe2 | 0.0008 | ||
| (0.0085) | |||
| GDTDBe1 | 0.0075 | ||
| (0.0086) | |||
| Control | Yes | Yes | Yes |
| ProvinceFE × YearFE | Yes | Yes | Yes |
| FirmFE | Yes | Yes | Yes |
| YearFE | Yes | Yes | Yes |
| N | 3336 | 3336 | 3336 |
| adj. R2 | 0.7646 | 0.7645 | 0.7646 |
Appendix E. Detailed Descriptive Evidence for Industrial Structure and Innovation Activities
Table A5.
Detailed description of industrial structure and innovation activities.
Table A5.
Detailed description of industrial structure and innovation activities.
| IndUpgrate | IndAllIndu | Innovation | InnovaPer | |||||
|---|---|---|---|---|---|---|---|---|
| Mean | Median | Mean | Median | Mean | Median | Mean | Median | |
| Before | 0.8774 | 0.7821 | 2.2553 | 2.2425 | 4.3614 | 4.1897 | 0.3944 | 0.1984 |
| After | 1.3309 | 1.2042 | 2.3932 | 2.3826 | 5.7712 | 5.5530 | 0.7962 | 0.5426 |
| Diff (After-Before) | 0.4535 | 0.4221 | 0.1379 | 0.1401 | 1.4098 | 1.3633 | 0.4017 | 0.3442 |

Figure A1.
Changes in the mean and median value of industrial structure and innovation activities. (A) IndUpgrate. (B) IndAllIndu. (C) Innovation. (D) InnovaPer.
Figure A1.
Changes in the mean and median value of industrial structure and innovation activities. (A) IndUpgrate. (B) IndAllIndu. (C) Innovation. (D) InnovaPer.


References
- Zhang, X.; Duan, K.; Yang, L.; Wei, X. Land Regulation and Local Service Provision: Can Economic Growth and Environmental Protection Be Achieved Simultaneously? Land 2024, 13, 1422. [Google Scholar] [CrossRef]
- Huang, H.; Yang, J. Analysis of the Spatiotemporal Differentiation and Influencing Factors of Land Use Efficiency in the Beijing–Tianjin–Hebei Urban Agglomeration. Land 2024, 13, 1508. [Google Scholar] [CrossRef]
- Zhang, W.; Wang, B.; Wang, J.; Wu, Q.; Wei, Y.D. How Does Industrial Agglomeration Affect Urban Land Use Efficiency? A Spatial Analysis of Chinese Cities. Land Use Policy 2022, 119, 106178. [Google Scholar] [CrossRef]
- BenDor, T.K.; Branham, J.; Whittemore, A.; Linkous, E.; Timmerman, D. A National Inventory and Analysis of US Transfer of Development Rights Programs. J. Environ. Plan. Manag. 2022, 65, 2276–2296. [Google Scholar] [CrossRef]
- Linkous, E.R. Transfer of Development Rights in Theory and Practice: The Restructuring of TDR to Incentivize Development. Land Use Policy 2016, 51, 162–171. [Google Scholar] [CrossRef]
- Chakraborty, S.; Maity, I.; Dadashpoor, H.; Novotnẏ, J.; Banerji, S. Building in or out? Examining Urban Expansion Patterns and Land Use Efficiency across the Global Sample of 466 Cities with Million+ Inhabitants. Habitat Int. 2022, 120, 102503. [Google Scholar] [CrossRef]
- Koroso, N.H.; Lengoiboni, M.; Zevenbergen, J.A. Urbanization and Urban Land Use Efficiency: Evidence from Regional and Addis Ababa Satellite Cities, Ethiopia. Habitat Int. 2021, 117, 102437. [Google Scholar] [CrossRef]
- Shi, H.; Li, Q.; Zhang, S.; Chen, W. How Does Urban Innovation Affect Construction Land Use Change in China? An Analysis Based on the Network Linkage Perspective. Expert Syst. Appl. 2024, 249, 123676. [Google Scholar] [CrossRef]
- Wang, Z.; Fu, H.; Liu, H.; Liao, C. Urban Development Sustainability, Industrial Structure Adjustment, and Land Use Efficiency in China. Sustain. Cities Soc. 2023, 89, 104338. [Google Scholar] [CrossRef]
- Xu, N.; Zhao, D.; Zhang, W.; Zhang, H.; Chen, W.; Ji, M.; Liu, M. Innovation-Driven Development and Urban Land Low-Carbon Use Efficiency: A Policy Assessment from China. Land 2022, 11, 1634. [Google Scholar] [CrossRef]
- Chen, X.; Yan, Y.; Qiu, J. Can Enterprise Digital Transformation Reduce the Reliance on Bank Credit? Evidence from China. Econ. Model. 2024, 132, 106632. [Google Scholar] [CrossRef]
- Yang, Y.; Mukhopadhaya, P.; Yu, Z. How Does Enterprise Digitalization Affect Corporate Carbon Emission in China: A Firm-Level Study. China Econ. Rev. 2024, 88, 102285. [Google Scholar] [CrossRef]
- Castro, C.; Lopes, C. Digital Government and Sustainable Development. J. Knowl. Econ. 2022, 13, 880–903. [Google Scholar] [CrossRef]
- Gan, T.; Jiang, Y.; Wu, X.; Zhang, M. Digital Government and Regional Innovation. Econ. Lett. 2024, 238, 111713. [Google Scholar] [CrossRef]
- Janowski, T. Digital Government Evolution: From Transformation to Contextualization. Gov. Inform. Q. 2015, 32, 221–236. [Google Scholar] [CrossRef]
- Yang, X.; Ran, R.; Chen, Y.; Zhang, J. Does Digital Government Transformation Drive Regional Green Innovation? Evidence from Cities in China. Energy Policy 2024, 187, 114017. [Google Scholar] [CrossRef]
- Gan, T.; Zhang, M.; Zhang, Z. The Impact of Digital Government Policy on Entrepreneurial Activity in China. Econ. Anal. Policy 2023, 79, 479–496. [Google Scholar] [CrossRef]
- Xiong, M.; Zhang, F.; Zhang, H.; Wang, H. Digital Economy, Credit Expansion, and Modernization of Industrial Structure in China. Financ. Res. Lett. 2023, 58, 104500. [Google Scholar] [CrossRef]
- Liu, J.; Hou, X.; Wang, Z.; Shen, Y. Study the Effect of Industrial Structure Optimization on Urban Land-Use Efficiency in China. Land Use Policy 2021, 105, 105390. [Google Scholar] [CrossRef]
- Jin, Y.; Li, X.; Zeng, H.; Cheng, X. Does Digital Government Transformation Inhibit Corporate Environmental Violations? Evidence from the Big Data Bureau in China. IEEE Trans. Eng. Manag. 2023, 71, 9414–9425. [Google Scholar] [CrossRef]
- Almeida, G.d.O.; Zouain, D.M. E-Government Impact on Business and Entrepreneurship in High-, Upper-Middle- and Lower-Income Countries from 2008 to 2014: A Linear Mixed Model Approach. Glob. Bus. Rev. 2016, 17, 743–758. [Google Scholar] [CrossRef]
- Chen, Z.; Zhou, Y.; Haynes, K.E. Change in Land Use Structure in Urban China: Does the Development of High-Speed Rail Make a Difference. Land Use Policy 2021, 111, 104962. [Google Scholar] [CrossRef]
- Jiang, Y.; Zhang, X.; Yang, L.; Duan, K. The Impact of Biased Land Resource Allocation on Local Behaviour and Subnational Service Provision: Evidence from China. Appl. Econ. 2024. [Google Scholar] [CrossRef]
- Yang, C.; Gu, M.; Albitar, K. Government in the Digital Age: Exploring the Impact of Digital Transformation on Governmental Efficiency. Technol. Forecast. Soc. 2024, 208, 123722. [Google Scholar] [CrossRef]
- Zhao, S.; Teng, L.; Arkorful, V.E.; Hu, H. Impacts of Digital Government on Regional Eco-Innovation: Moderating Role of Dual Environmental Regulations. Technol. Forecast. Soc. Change 2023, 196, 122842. [Google Scholar] [CrossRef]
- Gong, Y.; Yang, J.; Shi, X. Towards a Comprehensive Understanding of Digital Transformation in Government: Analysis of Flexibility and Enterprise Architecture. Gov. Inform. Q. 2020, 37, 101487. [Google Scholar] [CrossRef]
- Oliveira, F.; Kakabadse, N.; Khan, N. Board Engagement with Digital Technologies: A Resource Dependence Framework. J. Bus. Res. 2022, 139, 804–818. [Google Scholar] [CrossRef]
- Bag, S.; Rahman, M.S.; Srivastava, G.; Giannakis, M.; Foropon, C. Data-Driven Digital Transformation and the Implications for Antifragility in the Humanitarian Supply Chain. Int. J. Product. Econ. 2023, 266, 109059. [Google Scholar] [CrossRef]
- Andersen, T.B. E-Government as an Anti-Corruption Strategy. Inf. Econ. Policy 2009, 21, 201–210. [Google Scholar] [CrossRef]
- Rabelo Neto, J.; Figueiredo, C.; Gabriel, B.C.; Valente, R. Factors for Innovation Ecosystem Frameworks: Comprehensive Organizational Aspects for Evolution. Technol. Forecast. Soc. 2024, 203, 123383. [Google Scholar] [CrossRef]
- Wang, S.; Zhai, C.; Zhang, Y. Evaluating the Impact of Urban Digital Infrastructure on Land Use Efficiency Based on 279 Cities in China. Land 2024, 13, 404. [Google Scholar] [CrossRef]
- Hersperger, A.M.; Thurnheer-Wittenwiler, C.; Tobias, S.; Folvig, S.; Fertner, C. Digitalization in Land-Use Planning: Effects of Digital Plan Data on Efficiency, Transparency and Innovation. Eur. Plan. Stud. 2022, 30, 2537–2553. [Google Scholar] [CrossRef]
- Jiang, H. Spatial–Temporal Differences of Industrial Land Use Efficiency and Its Influencing Factors for China’s Central Region: Analyzed by SBM Model. Environ. Technol. Innov. 2021, 22, 101489. [Google Scholar] [CrossRef]
- Song, Y.; Yeung, G.; Zhu, D.; Xu, Y.; Zhang, L. Efficiency of Urban Land Use in China’s Resource-Based Cities, 2000–2018. Land Use Policy 2022, 115, 106009. [Google Scholar] [CrossRef]
- Zhang, H.; Song, Y.; Zhang, M.; Duan, Y. Land Use Efficiency and Energy Transition in Chinese Cities: A Cluster-Frontier Super-Efficiency SBM-Based Analytical Approach. Energy 2024, 304, 132049. [Google Scholar] [CrossRef]
- Zhao, R.; Jiang, Y.; Wang, X.; Wei, X. Does Green Transportation Affect Carbon Emission Efficiency? Evidence from a Quasi-Experimental Study in China. J. Environ. Manag. 2024, 370, 122815. [Google Scholar] [CrossRef]
- Beck, T.; Levine, R.; Levkov, A. Big Bad Banks? The Winners and Losers from Bank Deregulation in the United States. J. Financ. 2010, 65, 1637–1667. [Google Scholar] [CrossRef]
- Liu, M.; Jiang, Y.; Wei, X.; Ruan, Q.; Lv, D. Effect of High-Speed Rail on Entrepreneurial Activities: Evidence from China. Socioecon. Plann. Sci. 2023, 87, 101538. [Google Scholar] [CrossRef]
- Ma, D.; Zhu, Q. Innovation in Emerging Economies: Research on the Digital Economy Driving High-Quality Green Development. J. Bus. Res. 2022, 145, 801–813. [Google Scholar] [CrossRef]
- Wei, X.; Jiang, Y.; Gan, T. Air Pollution and Entrepreneurship: Evidence from China. Appl. Econ. 2024, 56, 2860–2874. [Google Scholar] [CrossRef]
- Nunn, N.; Qian, N. US Food Aid and Civil Conflict. Am. Econ. Rev. 2014, 104, 1630–1666. [Google Scholar] [CrossRef]
- Bellemare, M.F.; Masaki, T.; Pepinsky, T.B. Lagged Explanatory Variables and the Estimation of Causal Effect. J. Polit. 2017, 79, 949–963. [Google Scholar] [CrossRef]
- Jiao, A.; Lu, J. Buffing Firm Innovation by Lobbying. J. Corp. Financ. 2024, 85, 102557. [Google Scholar] [CrossRef]
- Wei, X.; Ruan, Q.; Lv, D.; Wu, Y. Transportation Infrastructure and Bond Issuance Credit Spread: Evidence from the Chinese High-Speed Rail Construction. Int. Rev. Econ. Financ. 2022, 82, 30–47. [Google Scholar] [CrossRef]
- Alam, N.; Boubaker, S.; Chen, X.C.; Hasan, M.M. Brand Capital and Debt Choice. Int. Rev. Financ. Anal. 2024, 93, 103160. [Google Scholar] [CrossRef]
- Ferri, F.; Li, N. Does Option-Based Compensation Affect Payout Policy? Evidence from FAS 123R. J. Financ. Quant. Anal. 2020, 55, 291–329. [Google Scholar] [CrossRef]
- Hainmueller, J. Entropy Balancing for Causal Effects: A Multivariate Reweighting Method to Produce Balanced Samples in Observational Studies. Polit. Anal. 2012, 20, 25–46. [Google Scholar] [CrossRef]
- Baker, A.C.; Larcker, D.F.; Wang, C.C.Y. How Much Should We Trust Staggered Difference-in-Differences Estimates? J. Financ. Econ. 2022, 144, 370–395. [Google Scholar] [CrossRef]
- Goodman-Bacon, A. Difference-in-Differences with Variation in Treatment Timing. J. Econom. 2021, 225, 254–277. [Google Scholar] [CrossRef]
- Li, P.; Lu, Y.; Wang, J. Does Flattening Government Improve Economic Performance? Evidence from China. J. Dev. Econ. 2016, 123, 18–37. [Google Scholar] [CrossRef]
- Chen, W.; Su, Z.; Wang, Y.; Wang, Q.; Zhao, G. Do the Rank Difference of Industrial Development Zones Affect Land Use Efficiency? A Regional Analysis in China. Socioecon. Plann. Sci. 2022, 80, 101168. [Google Scholar] [CrossRef]
- Hong, J.; Shi, F.; Zheng, Y. Does Network Infrastructure Construction Reduce Energy Intensity? Based on the “Broadband China” Strategy. Technol. Forecast. Soc. Chang. 2023, 190, 122437. [Google Scholar] [CrossRef]
- Luo, Q.; Hu, H.; Feng, D.; He, X. How Does Broadband Infrastructure Promote Entrepreneurship in China: Evidence from a Quasi-Natural Experiment. Telecommun. Policy 2022, 46, 102440. [Google Scholar] [CrossRef]
- Shu, Y.; Deng, N.; Wu, Y.; Bao, S.; Bie, A. Urban Governance and Sustainable Development: The Effect of Smart City on Carbon Emission in China. Technol. Forecast. Soc. Chang. 2023, 193, 122643. [Google Scholar] [CrossRef]
- Lyu, Y.; Xiao, X.; Zhang, J. Does the Digital Economy Enhance Green Total Factor Productivity in China? The Evidence from a National Big Data Comprehensive Pilot Zone. Struct. Change Econ. Dynam. 2024, 69, 183–196. [Google Scholar] [CrossRef]
- Tang, C.; Guan, M.; Dou, J. Understanding the Impact of High Speed Railway on Urban Innovation Performance from the Perspective of Agglomeration Externalities and Network Externalities. Technol. Soc. 2021, 67, 101760. [Google Scholar] [CrossRef]
- Kong, D.; Qin, N. China’s Anticorruption Campaign and Entrepreneurship. J. Law Econ. 2021, 64, 153–180. [Google Scholar] [CrossRef]
- Tian, X.; Xu, J. Do Place-Based Policies Promote Local Innovation and Entrepreneurship? Rev. Financ. 2022, 26, 595–635. [Google Scholar] [CrossRef]
- Czernich, N.; Falck, O.; Kretschmer, T.; Woessmann, L. Broadband Infrastructure and Economic Growth. Econ. J. 2011, 121, 505–532. [Google Scholar] [CrossRef]
- DeStefano, T.; Kneller, R.; Timmis, J. Broadband Infrastructure, ICT Use and Firm Performance: Evidence for UK Firms. J. Econ. Behav. Organ. 2018, 155, 110–139. [Google Scholar] [CrossRef]
- Li, Y.; Zhang, J.; Lyu, Y. Does Telecommunications Infrastructure Promote Entrepreneurship in Developing Countries? Evidence from a Quasi-Natural Experiment in China. Struct. Chang. Econ. Dynam. 2023, 66, 106–119. [Google Scholar] [CrossRef]
- Ferreira, J.J.M.; Fernandes, C.I.; Ferreira, F.A.F. To Be or Not to Be Digital, That Is the Question: Firm Innovation and Performance. J. Bus. Res. 2019, 101, 583–590. [Google Scholar] [CrossRef]
- Wang, L. Digital Transformation and Total Factor Productivity. Financ. Res. Lett. 2023, 58, 104338. [Google Scholar] [CrossRef]
- Verhoef, P.C.; Broekhuizen, T.; Bart, Y.; Bhattacharya, A.; Qi Dong, J.; Fabian, N.; Haenlein, M. Digital Transformation: A Multidisciplinary Reflection and Research Agenda. J. Bus. Res. 2021, 122, 889–901. [Google Scholar] [CrossRef]
- Gong, C.; Ribiere, V. Developing a Unified Definition of Digital Transformation. Technovation 2021, 102, 102217. [Google Scholar] [CrossRef]
Disclaimer/Publisher’s Note: The statements, opinions and data contained in all publications are solely those of the individual author(s) and contributor(s) and not of MDPI and/or the editor(s). MDPI and/or the editor(s) disclaim responsibility for any injury to people or property resulting from any ideas, methods, instructions or products referred to in the content. |
© 2024 by the authors. Licensee MDPI, Basel, Switzerland. This article is an open access article distributed under the terms and conditions of the Creative Commons Attribution (CC BY) license (https://creativecommons.org/licenses/by/4.0/).


