Abstract
Plastic-mulching technology has a crucial role to play in modern agriculture by optimizing crop growth environments and enhancing yields. Accurately detecting and mapping the distribution of plastic-mulched farmlands (PMFs) is essential for improving both agricultural management and production efficiency. By analyzing the temporal spectral characteristics of PMFs and crop phenological information, we developed a phenology-based plastic-mulched farmland index (PPMFI). This index, when combined with Sentinel-2 imagery and an automated high-precision extraction process via the Google Earth Engine platform, effectively distinguishes PMFs from other land cover types, especially in complex agricultural landscapes. Validation across areas varying in their background complexity and PMF coverage demonstrated that the proposed PPMFI consistently achieves an overall accuracy rate that exceeds 90%, showcasing its robust performance and significantly outperforming other comparative extraction methods. Applying the PPMFI to the Yudong agricultural region of Henan Province, China, further confirmed its capability for large-scale PMF monitoring, thereby offering critical technical support for sustainable agricultural management and environmental protection.
1. Introduction
The United Nations Sustainable Development Goals (SDGs) aim to address various critical challenges the world faces, which includes achieving sustainable agricultural development. Agricultural sustainability is deemed crucial within the SDGs because it directly impacts human livelihoods, food security, and environmental health [1]. Intensive plasticulture farming, as a modern agricultural practice, is considered a significant, promising approach for realizing sustainable agricultural development. This practice mainly includes plastic-mulched farmlands (PMFs) and plastic greenhouses (PGs), in addition to high tunnels (HTs) and low tunnels covering crops (LTs) [2]. Intensive plasticulture farming has been widely adopted in agricultural production operations around the world, with China being the predominant user of plastic film technology. Based on official data, in 2022, the use of plastic mulch film in China has reached 1.34 million tons, covering an area of 17.47 million hm2 [3], which has contributed to a 30–50% increase in the yield of major crops in that country [4]. As a modern agricultural production technique, the use of plastic mulch in farmlands is being increasingly applied across the globe. Hence, the accurate extraction and monitoring of plastic-mulched areas within farmed areas is imperative for soundly assessing the environmental impacts of PMF and optimizing agricultural management strategies.
The two most widely used types of plastic mulch technology are PGs and PMFs. Both play a prominent role in improving soil moisture and temperature conditions, enhancing crop growth and development, and increasing crop yields, thus making substantial contributions to agricultural production and food security [4]. Typically used year-round, PGs are particularly suited for continuous crop production where stable growing conditions are required. Plastic mulch, in contrast, is mainly utilized during the growing season, with its use influenced by seasonal and crop-specific factors, rendering it most suitable for large-scale, cost-effective farmland management. Yet, as crops grow, most of the plastic mulch used in PMFs remains in the soil, from which it is difficult to recover. The greater use of plastic mulch has also led to many negative impacts, including the degradation of soil structure and the contamination of arable land, resulting in serious ecological and environmental issues [5,6]. Accordingly, there is an urgent need for swift and accurate monitoring of PMFs to provide technical support and scientific evidence for regional farmland ecological assessments.
With the rapid advancement of satellite remote-sensing technology, various land satellite sensors can now provide huge volumes of open-access, high-dimensional, high-frequency remote-sensing imagery, thereby enabling large-scale and timely surface observations. This progress has made remote sensing a powerful tool for identifying PMFs [2,7]. Scholars in China and abroad have largely focused on remote-sensing imagery from unmanned aerial vehicles (UAVs) [8,9], radar remote-sensing imagery [10,11] and medium-to-high spatial resolution optical satellite imagery, such as the Landsat series [12,13,14,15] and Sentinel-2 [16,17,18], for the extraction of PMFs. Among those, the freely accessible Landsat series and Sentinel-2 imagery have become vital data sources for this purpose due to their spatial resolution, long temporal records, global coverage, and frequent revisitation times. These images not only permit the precise capture of surface features but also enable the analysis of temporal changes in farmland coverage, providing robust technical support for large-scale monitoring and research of PMFs.
Numerous research methods have been devised to identify PMFs from optical satellite remote-sensing imagery, with image classification techniques being the most broadly applied. These techniques include random forests (RFs), decision trees, support vector machines (SVMs), and other machine-learning approaches. A decade ago, Lu et al. developed a decision tree classifier and proposed a PML index to accurately extract transparent plastic-mulched land cover from Landsat-5 TM imagery, and they validated that method’s high overall accuracy and effectiveness across different years [14]. Additionally, feature extraction and its application in classification is a common strategy for PMFs’ extraction. The spectral and textural features extracted from Landsat-8 OLI imagery have proven instrumental for monitoring PMFs, by significantly enhancing classification accuracy in remote-sensing applications [15]. Employing multi-temporal Landsat-8 data in combination with SVM and RF classifiers for PMFs mapping, the importance of spectral, textural, and thermal features for augmenting classification accuracy has been duly emphasized [13]. Other research has demonstrated that multi-classifier fusion can improve the overall extraction accuracy. For instance, the coupling of SVM and classification and regression tree (CART) classifiers was used to develop a timely extraction method for PMFs on complex mixed surfaces in arid regions, thus significantly enhancing the PMF extraction accuracy and efficiency based on multi-source remote-sensing data [19]. A scene classification that is based on machine-learning methods can also markedly improve classification accuracy. In this respect, the extraction of plastic-mulched land cover from high-resolution remote-sensing imagery using various convolutional neural networks (CNNs) is responsible for notable improvements in classification accuracy [20]. Moreover, constructing CNN models enables the effective distinction between a PG and PMF via ultra-high-resolution remote-sensing imagery [21]. Overall, these classification methods often rely on some prior knowledge, posing a challenge to achieving the highly automated and high-precision extraction of PMFs.
Moreover, low-resolution optical satellite imagery, such as MODIS, could be useful for the extraction of PMFs. By proposing a threshold model based on the temporal and spectral characteristics of PMFs, MODIS time-series data were successfully utilized to detect transparent plastic-mulched surfaces, attaining high classification accuracy for large-scale agricultural monitoring in southern Xinjiang, China [22]. An object-based image analysis (OBIA) method has also been applied to PMFs’ extraction. By taking an OBIA approach that integrates Sentinel-1 SAR and Sentinel-2 multispectral data, plastic-mulched surfaces can be successfully extracted, which demonstrates the potential of combining optical and radar data for PMFs’ extraction [16]. The development of more complex frameworks for extracting PMFs has also been explored. For example, a new workflow for mapping PMFs according to multi-temporal Sentinel-2 data was proposed, this significantly strengthening the PMF extraction accuracy by integrating multiple temporal phases and introducing new indices tailored to Sentinel-2 spectral bands [17]. Furthermore, an algorithm for mapping PMFs based on cloud computing and multi-temporal, multi-sensor satellite imagery has been reported [23], which highlights the potential of remote sensing and cloud computing for accurately and timely monitoring the spatial and temporal distribution of large-scale PMFs [23]. However, the automation level of these methods is generally low, and the integration of multi-source data or multiple techniques often reduces the universality of the approaches. It is also noteworthy that mounting studies have shown that considering multi-temporal factors can effectively improve the accuracy of PMFs’ extraction [13,17].
Although existing methods are capable of achieving a relatively satisfactory extraction of PMFs in specific regions, several glaring issues remain unresolved. The first is how to fully integrate crop phenological information and best utilize the temporal characteristics of PMFs imagery to enable the high-precision extraction of PMFs. During the crop growth cycle, the spectral characteristics of PMFs change more starkly, while those of PGs remain rather similar. Second is the persisting challenge of achieving the rapid and efficient extraction of PMFs. Many researchers have developed remote-sensing indices for quick, automated mapping of specific regions’ PGs or PMFs, such as the plastic greenhouse index (PGI) [24,25], the retrogressive PGI (RPGI) [26], the greenhouse vegetable land index (VI) [27], and the plastic mulched landcover index (PMLI) [14]. Nevertheless, applying index-based methods on a large spatial scale is arguably susceptible to interference from complex backgrounds, yet few studies have attempted to design indices that can specifically extract PMFs by incorporating phenological information. Also, Sentinel-2 offers a higher spatial resolution in comparison with the Landsat series, providing more detailed surface information, which is advantageous for extracting small and scattered PMFs. Finally, using the Google Earth Engine (GEE) cloud-computing platform could greatly enhance the efficiency of regional mapping. In particular, GEE’s capabilities in automated parallel processing and fast computation make it adept for handling the challenges posed by processing massive amounts of remote-sensing data [28].
To address the aforementioned challenges, this study aims to develop an efficient, rapid, and highly accurate extraction method for large-scale PMFs. Specifically, the objectives of this research are three-fold: (1) To construct a phenology-based plastic-mulched farmland index (PPMFI) based on the analysis of spectral and temporal characteristics of different land cover types using Sentinel-2 imagery. (2) To qualitatively and quantitatively validate the effectiveness of the proposed methodology by comparing it with existing indices applicable to PMFs’ extraction. (3) To implement rapid extraction and mapping of regional PMFs using the GEE platform, by selecting the Yudong agricultural region as a typical study area. The research methodology of this study is expected to provide a timely technical reference and scientific basis for the rapid mapping of large-scale PMFs.
2. Materials and Methods
2.1. Study Area
This study area is located in Henan Province in eastern China, within the Yudong Plain agricultural region (113.871°~116.647° E, 33.051°~35.026° N) (Figure 1A–C). Covering approximately 28,929 km² and home to a population of about 21 million, it has three administrative districts: Shangqiu, Kaifeng, and Zhoukou. This area is one of the prime agricultural zones in Henan Province, with a well-developed traditional agriculture sector. Renowned as a major production base for agricultural and sideline products in China, the region is a cornerstone of the agricultural economy of Henan Province, benefiting from a favorable geographical location that features flat terrain with an average elevation below 50 m (Figure 1D). It has a warm temperate, semi-humid continental monsoon climate characterized by distinct seasons: cold, dry winters; dry, windy springs; hot, rainy summers; and dry, sunny autumns. Overall, winter and summer are longer, whereas spring and autumn are shorter, which provides an ideal environment for growing crops. The annual average temperature is 14.6 °C, with an average relative humidity of 70.5% and an annual precipitation of 741 mm. This region receives 1995 h of sunshine on average every year. The farming system predominantly follows a double-cropping pattern per year, focused chiefly on wheat and corn but supplemented by cash crops such as garlic and soybeans.
Figure 1.
(A) Geographical location of the study area in China. (B) County boundary of the study area. (C) Geographical location of the study area in Henan Province, China. (D) Elevation map of the study area.
During the autumn cultivation period in the study area, crops such as wheat that do not require plastic mulch are usually planted. Yet, due to the low rainfall and cooler temperatures in autumn, when economic crops like garlic are also planted, it is often necessary to use plastic mulch (Figure 2). This practice helps to increase soil temperature, retain nutrients, and prevent pests and diseases, thus ensuring normal crop growth. Hence, the Yudong agricultural region was selected as a typical study area for the large-scale extraction and mapping of PMFs.
Figure 2.
Real-world photograph of PMF (plastic-mulched farmland) in the study area.
2.2. Data and Pre-Processing
As a cloud-computing platform developed by Google, the GEE tool provides access to various freely available remote-sensing imagery, including satellite data from the Landsat and Sentinel series [29]. In our study, Sentinel-2 remote-sensing imagery was obtained from the GEE platform by using the “S2_SR_HARMONIZED” dataset. This S2_SR_HARMONIZED dataset corresponds to Sentinel-2 Level-2A (L2A) products, offering atmospherically corrected surface reflectance imagery. Details regarding the acquired Sentinel-2 imagery data can be accessed through the official Sentinel-2 webpage (https://sentinels.copernicus.eu/web/sentinel/copernicus/sentinel-2 (accessed on 2 November 2024)). Importantly, the imagery used in this study was selected with cloud cover controlled to <15%, and the spatial resolution of all the imagery was resampled to 10 m. According to official information, the crop phenology and climate information for PMFs in the Yudong agricultural region, those crops requiring plastic mulch, such as garlic, are typically planted between late September and October in each year [30,31,32]. By June of the following year, with crop maturity, harvest, and rising temperatures, plastic-mulched farmland areas are almost non-existent. Therefore, the Sentinel-2 imagery used in this study spans the period from October 2023 to June 2024.
When implementing monthly composite sequences of Sentinel-2 imagery data based on the GEE, existing studies often chose available remote-sensing images and use either mean [33] or median [34] values as statistical indicators to generate those sequences. Although this approach is relatively straightforward for obtaining composite data, when vegetation is observed in the growing season, using mean or median composite pixels alters the spectral characteristics of PMFs, rendering it ineffective for accurately extracting tracts of PMF in precision agriculture. So, the mosaic function in GEE was used to generate monthly composite Sentinel-2 imagery in this study while retaining the original spectral information of the images.
2.3. Analysis of Spectral Characteristics of Typical Land Covers
Analyzing the differences in spectral characteristics among various common types of land cover is crucial for developing a remote-sensing extraction index for PMFs. Seven such land cover types were selected: PMF, PG, dry soil (DS), wet soil (WS), water body (WB), vegetation (VG), red roof (RR), and blue roof (BR). Using Sentinel-2 imagery from October 2023, a total of 200 sample points were manually selected for each land cover type. The average spectral reflectance values across all bands for these sample points were used to generate surface reflectance curves for each land cover type, as shown in Figure 3.
Figure 3.
Spectral curves of common types of land cover.
Evidently, we can see that PMFs exhibit significant absorption characteristics in the B8A and SWIR2 bands, while showing noticeable reflectance in other bands. The spectral reflectance of PMFs generally increases with the wavelength of the bands but decreases in the SWIR2 band. The overall shape and variation of the PMF spectral curve is similar to that of DS and WS. However, in the coastal, blue, and green bands, PMF displays higher spectral reflectance than either DS or WS, suggesting that these bands could be potentially useful for distinguishing PMFs from bare soil areas. In the red to SWIR2 bands, the spectral reflectance of PMF is lower than DS but higher than WS, making it hard to differentiate PMFs from either soil type.
By contrast, WBs have generally low spectral reflectance, which differs considerably from that of PMFs, so the latter are easy to distinguish. Vegetation has distinct spectral characteristics in the red to NIR bands, allowing for its effective differentiation from PMFs. As expected, RRs and BRs exhibit unique high reflectance characteristics in the red and blue bands, respectively. The spectral curve of PGs is not unlike that of VG, given that crops are grown inside them.
2.4. Analysis of Temporal Spectral Characteristics of PMFs
For PMF crops, their spectral characteristics change throughout the growing season. As Figure 4 shows, from the early to late stages of the mulching period, both vegetation coverage and greenness of the vegetation undergo changes. That is, during the early to mid-mulching period, the vegetation gradually becomes greener, and its coverage increases; however, in the mid- to late-mulching period, the greenness declines, and by the time of harvest, the vegetation is replaced by bare soil, reducing the vegetation coverage to zero. Hence, when developing an index for extracting PMFs, it is essential to consider the phenological stages of plant growth.
Figure 4.
Schematic diagram of the growth period of typical plastic-mulched crops in the study area.
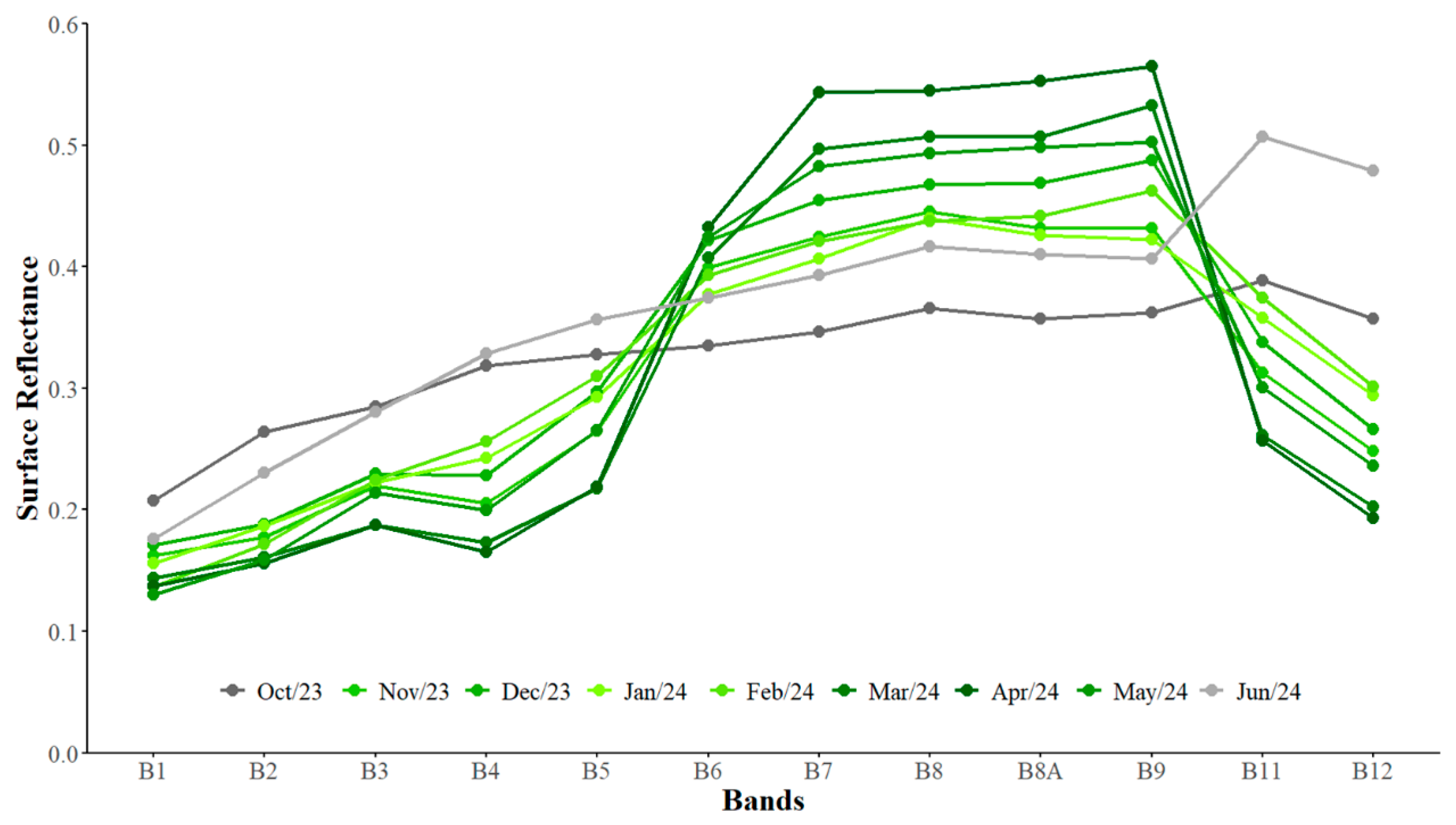
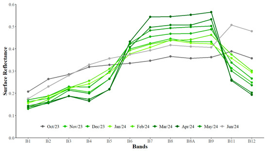
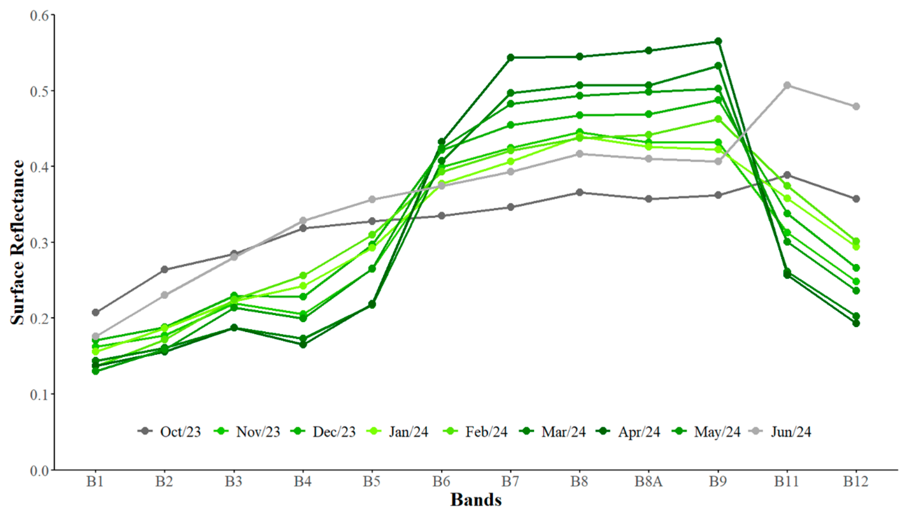
Based on our analysis of spectral characteristics of land cover types, to further understand the changes in farmland spectral characteristics during different phenological stages within the mulching period (October 2023 to June 2024), a temporal spectral characteristic curve for PMF was plotted (Figure 5). Evidently, from November 2023 to May 2024, the spectral characteristics of PMFs resembled those of vegetation because of crop growth. However, in both October 2023 and June 2024, the spectral characteristics differed from those of other months. October 2023 corresponds to the early stage of mulching, thus showing typical spectral reflectance characteristics of PMF; after the harvest in June 2024, the land is in a newly tilled state, shifting the spectral characteristics of the mulched farmland into alignment with those of bare soil. November 2023 to May 2024 corresponds to the crop growth season, whose peak vegetation reflectance between bands B6 and B9 is observed in April 2024; this indicated when crops are in their most vigorous growth stage, appearing “greenest” at this time. Unlike PMFs, the PGs, which have crops growing year-round in them, did not show significant spectral differences within the study period, and their overall spectral characteristics were similar to those of vegetation (Figure 6).
Figure 5.
Time-series spectral curve of PMFs.
Figure 6.
Time-series spectral curve of PGs.
To sum up, according to the analyzed phenological spectral characteristics of crops in PMF, we determined that October of the current year and April of the following year are the optimal time periods for identifying PMFs on the landscape.
2.5. Analysis of the Spectral Separability of Common Land Cover Types
To understand the spectral differences among various forms of land cover during the early mulching period, region of interest (ROI) samples were selected for each land cover type, and violin plots of their spectral reflectance were generated (Figure 7). We can see that PMFs exhibit key reflectance characteristics in the coastal aerosol, blue, and green bands. That is, PMFs have relatively high spectral reflectance in these bands, with significant separability from other land cover types such as DS and WS. For example, in the coastal aerosol band, the reflectance of PMFs ranges between 0.2 and 0.3, which surpasses that of WS and WBs. This pronounced spectral difference makes these bands important for distinguishing PMFs from other types of non-vegetation land cover.


Figure 7.
Violin plots of surface spectral reflectance statistics for common land cover types across different bands.
Further analysis revealed that the blue and green bands also display significant spectral differences between PMFs and other land cover types. In these bands, the reflectance of PMFs is not only higher than that of natural land cover, such as soil and WBs, but also higher than some artificial land cover, such as RRs and BRs. This spectral characteristic suggests that in areas with mixed land cover types, these bands can help to accurately identify PMFs, especially when large differences in reflectance exist among different types of land cover. Yet, our analysis of the NIR and red-edge bands shows that, while the reflectance of PMFs is relatively stable in these bands, the VG’s reflectance is evidently higher, which suggests these bands offer some value in distinguishing vegetation from PMFs. The blue and red bands are particularly sensitive to blue and red roofs, respectively, and so are not considered further in the index’s construction.
The SWIR-1 and SWIR-2 bands demonstrate even stronger separability, with PMFs having a reflectance around 0.4, while other types of land cover, notably WS and WBs, harbor generally lower reflectance. This stark spectral reflectance difference allows for the SWIR bands to effectively convey PMF features in spite of a complex land cover background, which should reduce the false detection rate of non-target land cover types. It should be stressed that certain other bands, namely the red, water vapor, red edge bands and Narrow NIR, have lower effectiveness in distinguishing PMFs from other types of land cover. Although the red band can, to some degree, differentiate PMFs from wet soil, the reflectance difference between PMF and artificial land cover (such as RR) is small, heavily limiting its real-world application. The water vapor band’s spectral response is easily affected by atmospheric conditions, leading to an insignificant spectral difference between PMFs and other land cover types, leaving it unsuitable as a principal extraction indicator. Similarly, the B8A and B9 bands lack sufficient spectral disparities, particularly for WBs versus PMFs, which would readily cause much confusion.
To further understand the separability of PMF vis-à-vis the other types of land cover, the M index (MI) was used as a quantitative metric to assess the spectral separability between different land cover types. These results are depicted in Figure 8. The M index quantitatively analyzes the separability or distinguishability between different land covers [35], and is calculated this way:
where μ1 and μ2 are the means of the two categories, and σ1 and σ2 are their respective standard deviations. The MI gauges the dependence or separability between two categories; if MI > 1, it indicates good separability between the two categories, and conversely, MI < 1 suggests poor separability.
Figure 8.
MI calculation results between PMF and other typical land cover types.
The results revealed critical differences in the performance of different bands in distinguishing PMF from other land cover types. Overall, the coastal aerosol band reliably distinguishes WS, VG, and WBs. The blue and green bands featured high MI values in most land cover combinations, indicating strong separability between PMF vis-à-vis other land cover types, particularly when compared with PG, RR, BR, and WS. The high MI values of these bands emphasize their potential value when the land cover backgrounds are complex. Specifically, the green band performed well not only at distinguishing PMF from artificial land cover, such as RR and BR, but also at enhancing the extraction of PMF within mixed land cover environments.
Furthermore, the SWIR1 and SWIR2 bands also exhibited similar MI patterns and performed exceptionally well in distinguishing PMF from moist land cover, such as WS and WB. The high MI values in these bands evince their significant advantage in ensuring clear PMF features while minimizing interference from non-target types of land cover. In contrast, the MI values for the red, water vapor, and narrow NIR bands are all relatively low, suggesting these bands are less effective at distinguishing PMF from other land cover, particularly in the presence of water bodies and artificial types of land cover, where these bands are more prone to confusion. Overall, the coastal aerosol, blue, green, and SWIR1 bands emerged as ideal bands for distinguishing PMF, and their combined usage could significantly improve the extraction accuracy and robustness of PMF that lies within a complex land cover background.
2.6. Construction of the Phenology-Based Plastic-Mulched Farmland Index (PPMFI)
Building upon the analysis and findings presented in Section 2.3, Section 2.4 and Section 2.5, this study innovatively derived a Phenology-based Plastic-Mulched Farmland Index (PPMFI) for the large-scale remote sensing extraction of PMFs. Its formula is given by Equation (2). Crucially, this index combines the coastal aerosol, green, and SWIR1 bands from the previous year to enhance the separability of PMFs from other land cover types. Additionally, the NIR/red difference is used to effectively indicate the green vegetation areas, with the NIR/red bands in the following year then selected to capture spatiotemporal changes in vegetation.
where
In the above formula, , , , , and denote the surface spectral reflectance of bands B1, B3, B4, B8, B11, and B12, respectively, from the early mulching period of the previous year (in this study, October 2023). The terms and represent the surface spectral reflectance of bands B4 and B8 from the month of peak greenness for PMFs in the following year (April 2024 in this study); NDBI is the Normalized Difference Build-up Index [36]; and t is the difference in the NDVI (Normalized Vegetation Difference Index) between the peak growing period and early mulching period of plastic-mulched crops, with a threshold t applied as a decision criterion.
2.7. Accuracy Validation
2.7.1. Comparison Methods
To comprehensively compare and validate the accuracy of the PPMFI for the remote-sensing-based extraction of PMFs, we selected established indices commonly used for identifying and extracting PMFs as benchmarks. These included VI, PMLI, RPGI, and PGI. Their respective formulas are as follows:
where
in which ρBlue, ρGreen, ρRed, ρNIR, ρSWIR1, and ρSWIR2 denote the surface spectral reflectance of the blue (band 2), green (band 3), red (band 4), NIR (band 8), SWIR1 (band 11), and SWIR2 (band 12) bands, respectively, from the imagery taken during the early stage of plastic mulching.
2.7.2. Validation Methods
To check the effectiveness of our proposed method, four test areas (Ta_A–D, each 10 km × 10 km each) were selected within a single scene of imagery in places where PMFs were concentrated, for a comparative validation of PMF extraction results (Figure 9). Among these, the PMF coverage in Ta_A and Ta_B exceeds that in Ta_C and Ta_D. In Ta_A, PMFs are mainly concentrated in the area’s lower left part, with large sections of bare soil, villages, and green vegetation coverage. In Ta_B, PMFs are also mostly concentrated in the left side of the area, which also includes large sections of bare soil and villages. In Ta_C, however, the PMF distribution is sparse, being mainly scattered in the area’s central part, which includes significant urban zones, bare soil sections, water bodies, and green vegetation along the banks. Likewise, in Ta_D, the PMF distribution is also sparse and mainly spread in the center, which contains extensive urban and bare soil zones. By choosing these test areas whose background complexity varies, the robustness and effectiveness of the PPMFI can be validated.
Figure 9.
Spatial distribution of test areas and test points.
Using Python programming, 100 evenly distributed validation sample points were randomly generated in each of the four test areas (Figure 9). These sample points were visually compared with the original imagery and the PMF extraction results and then classified into four categories: True positive (TP) refers to the number of sample points that were actually PMFs and also correctly identified as PMFs during the ground validation. True negative (TN) refers to the number of sample points that were actually non-PMFs and also correctly identified as non-PMFs. False positive (FP) refers to the number of sample points that were actually non-PMFs but were incorrectly identified as PMFs. False negative (FN) refers to the number of sample points that were actually PMFs but were incorrectly identified as non-PMFs.
The overall accuracy (OA), user’s accuracy (UA), producer’s accuracy (PA), and F1 score were then calculated as quantitative evaluation metrics.
3. Results
3.1. Comparative Analysis of Remote Sensing Extraction Results for PMFs
Through the method implemented on the GEE platform, results for the PMFs’ extraction using optimal threshold segmentation with different methods in the various test areas are illustrated in Figure 10, Figure 11, Figure 12 and Figure 13, in which the red parts show the extracted PMFs, while all other land cover types are in white. Overall, the PPMFI demonstrated advantages in every test area. Not only did it effectively extract large areas of PMFs, but the PPMFI also exhibited a strong ability to discriminate between different types of land cover. Particularly in the complex land cover environments of Ta_A and Ta_B, PPMFI accurately identified most PMFs and excelled at handling details, with few false positives or omissions. In both Ta_C and Ta_D, despite a small number of high-brightness pixels mistakenly identified as PMFs, the overall false-positive rate was low, indicating that the PPMFI has high robustness and applicability in differing complex background environments.
Figure 10.
Results for the extraction of PMFs, in test area A, using five different index methods.
Figure 11.
Results for the extraction of PMFs, in test area B, using five different index methods.
Figure 12.
Results for the extraction of PMFs, in test area C, using five different index methods.
Figure 13.
Results for the extraction of PMFs, in test area D, using five different index methods.
The RPGI also performed well in Ta_A and Ta_B, effectively identifying their major PMFs. However, when compared to the PPMFI, the RPGI was slightly less reliable for detailed recognition, especially in detecting small-scale PMFs, where some omissions occurred. This may be due to RPGI’s lower accuracy in distinguishing certain non-PMF high-brightness areas (such as bare soil or buildings), making it less reliable than PPMFI for fine-grained recognition.
The PMLI, while yielding fairly ideal results in some test areas, particularly for detecting large-scale PMFs, fared poorly at discriminating the water bodies, often mistakenly identifying them as PMFs. Additionally, the PMLI struggled to exclude artificial structures, notably in Ta_B and Ta_D, where some buildings were incorrectly identified as PMFs, adversely affecting the OA of the extraction.
By contrast, the extraction results for the PGI had more obvious limitations. In all test areas, roads and water bodies were frequently misidentified as PMFs in the PGI extraction process, especially in places with complex land cover types and similar reflectance characteristics, where such false positives were more pronounced. Hence, the PGI is arguably less effective at distinguishing between different land cover types, such as artificial structures vis-à-vis PMFs.
The VI performed relatively poorly. Whether in the Ta_A and Ta_B or Ta_C and Ta_D, VI consistently showed low accuracy in extracting PMFs, especially when trying to distinguish PMFs from bare soil, leading to much of it being mistakenly identified as PMFs. Additionally, VI did not handle land cover details well, with a significant number of omissions and false positives, which suggests this index is ill-suited to identifying and extracting PMFs located in complex land cover backgrounds.
3.2. Comparative Validation and Analysis of the Accuracy of Remote-Sensing Extraction of PMFs
To further quantitatively validate the effectiveness and accuracy of the constructed index, random sample points were generated in the four test areas (see Figure 9A–D), and their evaluation metrics were calculated, as shown in Table 1.
Table 1.
Accuracy validation statistics for PMFs’ extraction using different indices.
The PPMFI maintained a high level of OA across all validation areas, particularly in Ta_C and Ta_D, where its OA reached 99.00% and 96.00%, respectively. This provides compelling evidence that the PPMFI is extremely accurate at distinguishing different types of land covers. Additionally, PPMFI demonstrated high UA in several validation areas, notably in Ta_A and Ta_B where its UA reached 100.00%. This exceptional performance suggests the PPMFI had virtually no false positives in these test areas and that it could reliably identify PMFs. This consistently very high accuracy shows that PPMFI exhibits strong robustness in identifying PMFs across different environments.
In stark contrast, the VI’s performance was variable. Although it fared reasonably well in one or two validation areas (e.g., in Ta_A with an OA of 77.00%), its performance was less satisfactory in others, especially in Ta_B and Ta_C, where its UA was only 19.23% and 25.93%, respectively. These low UA values indicate that the VI had a high false-positive rate in those two areas, likely due to its insufficiently unique response to other land covers (such as vegetation or bare soil), resulting in much confusion. This phenomenon was particularly evident in large-scale, diverse land cover backgrounds, which further implies that the VI harbors limitations in distinguishing complex land cover types.
The PRGI showed relatively stable performance across different validation areas, particularly in Ta_D, where its OA reached 85.00%, and the F1 score was also rather favorable (66.67%). The producer’s accuracy (PA) of PRGI remained within a reasonable range across multiple validation areas, indicating that this index could accurately capture PMFs. Yet, its UA was lower in certain areas (e.g., 28.57% in Ta_C).
Performance of the PMLI was relatively unstable. While it fared well in validation area Ta_A (with an OA of 93.00% and a PA of 95.00%), its UA and F1 score were both considerably lower in other validation areas (e.g., in Ta_B and Ta_C). This suggests that the PMLI may perform well under specific conditions (such as certain geographic locations or land cover types), but its performance still fluctuates across different scenarios.
The PGI exhibited the most complicated performance across the four validation areas. While its performance was acceptable in Ta_A (with an OA of 88.00%), both its UA and F1 score were generally low in other areas, particularly in Ta_C, where the UA was just 11.11%. This reflects the difficulty the PGI faces in effectively distinguishing PMFs from other land cover types in certain situations.
Overall, the PPMFI outperformed all other indices in every validation area, demonstrating excellent robustness and high accuracy, proving it suitability for identifying PMFs under various geographic conditions. Other indices, such as the PRGI and PMLI, performed well under specific scenarios but were relatively weaker in terms of stability and broad applicability. Both the VI and PGI, on the other hand, showed clear limitations in complex land cover environments.
4. Discussion
4.1. Setting of the Decision Criteria in PPMFI
Although the PPMFI clearly bolsters the separability between PMF areas and other land cover types to a laudable extent, there are still cases where some interfering pixels (mostly bare soil) can be mistakenly extracted in practical applications. These interfering pixels predominantly arise from the spectral similarity between bare soil and PMF areas. To further optimize the extraction of PMFs, the NDBI and NDVI were introduced as the decision criteria to eliminate that interference from non-PMFs.
Firstly, according to NDBI’s constructions, its value (both sign and magnitude) depends on the difference in spectral reflectance between the SWIR2 and NIR bands. As Figure 1 shows, both bare soil and PMF have high reflectance in the SWIR2 band, while the difference in reflectance between the SWIR2 and NIR bands for PMF is usually less than 0. By setting a threshold of NDBI > 0, interference from non-PMF areas such as bare soil (especially dry soil) can be eliminated with confidence to reduce the occurrence of false positives in the PPMFI results.
Secondly, based on crop phenology information, the difference between the NDVI during the peak growing period of PMF crops and the NDVI during the early mulching period (t) was adopted as one of the decision criteria. The principle behind this selection is to fully utilize the differences in NDVI at distinct growth stages of the crops so as to accurately capture those areas with significant changes in crop growth. As seen in Figure 5, the NDVI difference between April 2024 and October 2023 is much greater than 0.4 but does not exceed 0.5, so the value of t is set to 0.4 in this study. This approach allows for the retention of PMF areas while rigorously removing interference from vegetation and some bare soil areas.
This dual decision-making mechanism strongly enhances the precision of PMF extraction by filtering out any interference from bare soil and low-vegetation coverage areas, thus ensuring the final extracted PMFs are more accurate.
4.2. Advantages and Limitations of PPMFI
This study proposes a new improved way to extract PMFs based on optical satellite remote-sensing imagery having a medium to high spatial resolution. The advantages of this method lie in its foundation on a thorough analysis of the spectral characteristics of common land cover types, the temporal spectral characteristics of PMFs, and their spectral separability, which together provide a high level of interpretability. By considering in depth the spectral responses of different land cover types, this method can effectively distinguish PMFs among them, especially in places with complex backgrounds and an array of land cover types, showing both high accuracy and robustness. The clarity of its principles and the flexibility of its approach make it suitable not only for the precise extraction and extraction of PMFs on a small-scale but also for large-scale PMF extraction, thus demonstrating good applicability. This attribute allows the method to be effectively applied across different regions and diverse agricultural landscapes, showcasing its broad potential applicability.
However, this method also has some limitations. On one hand, its application requires the incorporation of crop phenology information, meaning that for its use in distinct regions, the phenological traits of the specific plastic-mulched farmland crops cultivated there must be well understood in advance. For example, our method relies on imagery obtained from two critical periods: the early mulching period and the peak growing period of the crops, which places demands on the temporal distribution of that imagery and may be affected by the availability of image data. On the other hand, the method is designed primarily for Sentinel-2 imagery and relies on multiple spectral bands. So, for other medium-to-high spatial resolution optical satellite imagery, if these images lack the key bands corresponding to Sentinel-2, directly applying this method may prove difficult. In particular, when the number of bands is limited or the band settings are not the same, the method’s applicability and utility may be affected.
4.3. Application of Large-Scale PMFs Spatial Mapping
The PMF extraction method proposed in this study aims to achieve the accurate extraction and spatial mapping of large-scale PMF areas. Implementing this method via programming on the GEE platform greatly enhances the efficiency and accuracy of large-scale PMF extraction. The GEE platform not only has the capability to handle large-scale remote-sensing data but also supports broader regional applications, providing solid technical support for identifying PMFs on a large scale.
The spatial distribution of PMFs in the Yudong agricultural region, as extracted via this method, is shown in Figure 14. Evidently, PMFs in Yudong are mainly concentrated in Kaifeng and Zhoukou cities. Specifically, PMFs are mostly distributed (1) in the county of Qixian and surrounding its borders (namely the counties of Sui and Tongxu); (2) in the western part of Xiangfu; and (3) in the southwestern junction of two other districts, Chuanhui and Huaiyang. This spatial distribution pattern suggests these areas may constitute the core of plastic-covered agricultural activities in the Yudong region, revealing its subregional characteristics of agricultural production. These results provide key data support for further research on the farming development patterns and potential environmental impacts of the Yudong agricultural region and also provide important reference information for regional agricultural management and land-use planning.
Figure 14.
Results for the extraction of PMFs in the Yudong agricultural region in Henan Province.
By calculating and summing all the PMFs’ area in the Yudong agricultural region, we found they totaled 83,246 ha at the end of 2023; this was dominated by Kaifeng, which accounted for about 49,962 ha or about 60% of the overall PMF coverage. In contrast, the PMFs in the cities of Zhoukou and Shangqiu totaled 23,261 and 10,023 ha, accounting for 28% and 12% of the region’s total PMF coverage, respectively.
Among the county-level administrative units, Qixian had a substantially larger PMF area of 34,136 ha, equivalent to 41% of the total PMF coverage in the Yudong agricultural region. This finding indicates a high degree of agricultural intensification in Qixian, with a high rate of plastic mulch coverage. According to official information, Qixian is an important garlic-producing base in China, leading the country in garlic planting area and production among county-level regions [37]. Its high PMF proportion is related to the primary cultivation of economic crops such as garlic, which typically require high plastic mulch coverage to increase yields. Elsewhere, such as in the Xiangfu and Huaiyang districts, their PMFs, respectively, totaled 6413 and 4391 ha. Although these areas are smaller than Qixian, they still play pertinent roles in their respective agricultural production activity, which is perhaps related to local specialty crops or smallholder farming units.
The changed PMF distribution from the city level to the county level reflects the diversity of agricultural production methods and the uneven distribution of resources. The PMF coverage rate in Kaifeng surpasses that in Zhoukou and Shangqiu cities, which may be tied to its geographic location, agricultural policies, and economic development level. The high degree of agricultural intensification and modernization in Kaifeng has promoted the widespread use of plastic mulch technology there, while the relatively smaller and more scattered PMF areas in Zhoukou and Shangqiu cities may be constrained by various factors, such as land resources, climatic conditions, and market demands.
The differential PMF distribution within the Yudong region not only illustrates the regional differences in agricultural production but also reveals the currently uneven application of plastic mulch technology. Analyzing these differences can provide a basis for future agricultural policy-making, optimizing the application of plastic mulch technology and improving agricultural production efficiency in line with sustainable development.
4.4. Remote-Sensing Extraction of PMFs in Multiple Cropping System: The Key Role of Phenology Information
The multiple cropping system combined with plastic-mulching technology provides substantial benefits in modern agriculture, especially in maintaining soil temperature and moisture levels, optimizing the crop growth environment, and maximizing land-use efficiency and crop yield [38]. Plastic mulch helps regulate the soil microclimate, reduce water evaporation, and maintain optimal temperatures, which is especially critical for regions with low rainfall or extreme temperatures to ensure crop growth across multiple growing seasons [39].
However, repeated use of plastic mulching presents several challenges. Accumulated plastic residues in the soil can degrade soil structure, reduce permeability, and disrupt nutrient cycling, ultimately leading to reduced soil quality and affecting subsequent crop growth. Long-term plastic residues also limit water and nutrient absorption and inhibit soil biological activity, thereby impacting soil ecological health [40].
Under multiple cropping conditions, different crops have varying requirements for soil temperature and moisture, leading to differences in the duration and spatial distribution of plastic mulching. These complexities make traditional static extraction methods unsuitable. To address these issues, the proposed PPMFI leverages the spectral and temporal characteristics of PMFs to effectively adapt to variations in crop types and growing seasons, reducing misclassification among other land cover types and thereby improving extraction accuracy.
Recent research has shown that integrating machine-learning methods can further enhance the accuracy of PMF extraction. For instance, the combination of machine-learning techniques with a simplified time-series approach has demonstrated success in mapping PMFs in Latin America, with the multilayer perceptron (MLP) classifier achieving notable performance. This approach effectively mitigated the impact of cloud cover on imagery, providing a robust solution for addressing data insufficiency during certain times of the year [41].
Future research should focus on integrating phenology-based extraction methods with advanced machine-learning techniques to enhance the accuracy of PMF extraction in complex agricultural landscapes. Machine learning’s ability to select features and automate classification can help address the dynamic variations in multiple cropping systems, especially under challenging conditions with complex backgrounds and various crop growth stages. By combining phenological information with machine-learning models, misclassification can be minimized, improving overall accuracy and robustness and advancing the application of precision agriculture for sustainable management.
5. Conclusions
This study proposed and validated a phenology-based plastic-mulched farmland index (PPMFI) for remote-sensing-based extraction and applied it to large-scale extraction and mapping of PMFs in the Yudong agricultural region of Henan Province, China. By processing Sentinel-2 imagery on the GEE platform, we find that the PPMFI demonstrates exceptional extraction performance across various complex backgrounds. The main findings of the study can be summarized as follows:
- (1)
- The introduced PPMFI effectively distinguishes PMFs from other land cover types in complex agricultural landscapes, particularly in areas with high background complexity, showing high classification accuracy and robustness. Our validation exercise indicates that the PPMFI’s OA exceeds 90% in multiple test areas, outperforming existing extraction methods in most cases.
- (2)
- Leveraging the rapid processing capabilities of the GEE platform, the PPMFI was successfully applied to large-scale PMF extraction in the Yudong agricultural region. These results reveal that PMFs in this area are mainly concentrated in Kaifeng and Zhoukou cities, reflecting the significant regional distribution characteristics of PMFs in the study area. This provides crucial data support for regional agricultural planning and land-use management.
- (3)
- By integrating multi-temporal spectral features with crop phenology information, the PPMFI overcomes the limitations of traditional extraction methods in complex land cover backgrounds, particularly for distinguishing among bare soil, wet soil, and vegetation. Therefore, the PPMFI is suitable for the accurate extraction of PMFs on a small scale in addition to having broad promising potential for general applications on a large-scale.
Despite the significant advantages of the PPMFI in identifying PMFs, its reliance on the temporal distribution of imagery and the need to incorporate local crop phenology information for application in different regions could be hindered by data availability or acquisition difficulties in some cases. Future research should further explore the applicability of PPMFI under varying geographic and climatic conditions to enhance its effectiveness in other regions. Additionally, integrating other advanced technologies, such as deep learning, and incorporating other types of data sources, particularly high-resolution spatiotemporal data, should further improve the use of precision agriculture in farmland management. Considering the close relationship between agricultural production and carbon emissions, future studies should also investigate the application of high-precision PMF extraction for assessing farmland carbon emissions and carbon sequestration potential to support sustainable agricultural production and global climate change mitigation strategies.
Author Contributions
X.D.: conceptualization, methodology, data collection and analysis, validation, investigation, visualization, funding acquisition, writing—review and editing. J.L. (Jiaguo Li): investigation, data collection, funding acquisition, paper revising. N.X.: data curation, resources, investigation. J.L. (Junjie Lei): investigation, data collection. Z.H.: investigation, substantially contributed to the reviewing. L.Z.: data curation, review and editing. All authors have read and agreed to the published version of the manuscript.
Funding
This work was supported by the Henan Province Science and Technology Research Project (grant no. 232102320249), and the Civil Aerospace Technology Pre-research Project of China’s 14th Five-Year Plan (grant no. D040201), and the National Natural Science Foundation of China (grant no. 41971391), and the Doctoral Scientific Research Start-up Project of Shangqiu Normal University (grant no. 7001100).
Data Availability Statement
Data will be made available on request.
Conflicts of Interest
The authors declare no conflicts of interest.
References
- Streimikis, J.; Baležentis, T. Agricultural Sustainability Assessment Framework Integrating Sustainable Development Goals and Interlinked Priorities of Environmental, Climate and Agriculture Policies. Sustain. Dev. 2020, 28, 1702–1712. [Google Scholar] [CrossRef]
- Veettil, B.K.; Van, D.D.; Quang, N.X.; Hoai, P.N. Remote Sensing of Plastic-Covered Greenhouses and Plastic-Mulched Farmlands: Current Trends and Future Perspectives. Land Degrad. Dev. 2023, 34, 591–609. [Google Scholar] [CrossRef]
- Rural Socio-economic Survey Department of State Statistical Bureau. China Rural Statistical Yearbook; China Statistics Press: Beijing, China, 2023; p. 50. [Google Scholar]
- Lian, Z.; Gu, X.; Liu, L.; Zhao, X. Diffuse Phthalate Acid Esters Losses Induced from Large Amount of Agricultural Plastic Film Residues Caused Low Risks for Water Quality in China during 1991–2017. J. Hazard. Mater. 2022, 431, 128644. [Google Scholar] [CrossRef] [PubMed]
- Zhang, D.; Ng, E.L.; Hu, W.; Wang, H.; Galaviz, P.; Yang, H.; Sun, W.; Li, C.; Ma, X.; Fu, B.; et al. Plastic Pollution in Croplands Threatens Long-Term Food Security. Glob. Chang. Biol. 2020, 26, 3356–3367. [Google Scholar] [CrossRef]
- Hasituya; Chen, Z.; Li, F.; Hu, Y. Mapping Plastic-Mulched Farmland by Coupling Optical and Synthetic Aperture Radar Remote Sensing. Int. J. Remote Sens. 2020, 41, 7757–7778. [Google Scholar] [CrossRef]
- Aguilar, M.A.; Jiménez-Lao, R.; Ladisa, C.; Aguilar, F.J.; Tarantino, E. Comparison of Spectral Indices Extracted from Sentinel-2 Images to Map Plastic Covered Greenhouses through an Object-Based Approach. Gisci. Remote Sens. 2022, 59, 822–842. [Google Scholar] [CrossRef]
- Zhu, X.; Li, S.; Xiao, G. Method on Extraction of Area and Distribution of Plastic-Mulched Farmland Based on UAV Images. Trans. Chin. Soc. Agric. Eng. 2019, 35, 106–113. [Google Scholar]
- Sun, Y.; Han, J.; Chen, Z.; Shi, M.; Fu, H.; Yang, M. Monitoring Method for UAV Image of Greenhouse and Plastic-Mulched Landcover Based on Deep Learning. Trans. Chin. Soc. Agric. Mach. 2018, 49, 133–140. [Google Scholar]
- Hasituya; Chen, Z.; Li, F.; Hong, M. Mapping Plastic-Mulched Farmland with C-Band Full Polarization SAR Remote Sensing Data. Remote Sens. 2017, 9, 1264. [Google Scholar] [CrossRef]
- Liu, C.A.; Chen, Z.; Wang, D.; Li, D. Assessment of the X-and c-Band Polarimetric Sar Data for Plastic-Mulched Farmland Classification. Remote Sens. 2019, 11, 660. [Google Scholar] [CrossRef]
- Hasituya; Chen, Z.X.; Wu, W.B.; Qing, H. Monitoring Plastic-Mulched Farmland Using Landsat-8 OLI Imagery. In Proceedings of the 2015 4th International Conference on Agro-Geoinformatics, Agro-Geoinformatics, Istanbul, Turkey, 20–24 July 2015. [Google Scholar]
- Hasituya; Chen, Z. Mapping Plastic-Mulched Farmland with Multi-Temporal Landsat-8 Data. Remote Sens. 2017, 9, 557. [Google Scholar] [CrossRef]
- Lu, L.; Di, L.; Ye, Y. A Decision-Tree Classifier for Extracting Transparent Plastic-Mulched Landcover from Landsat-5 TM Images. IEEE J. Sel. Top. Appl. Earth Obs. Remote Sens. 2014, 7, 4548–4558. [Google Scholar] [CrossRef]
- Hasituya, H.; Chen, Z.; Wang, L.; Wu, W.; Jiang, Z.; Li, H. Monitoring Plastic-Mulched Farmland by Landsat-8 Oli Imagery Using Spectral and Textural Features. Remote Sens. 2016, 8, 353. [Google Scholar] [CrossRef]
- Lu, L.; Tao, Y.; Di, L. Object-Based Plastic-Mulched Landcover Extraction Using Integrated Sentinel-1 and Sentinel-2 Data. Remote Sens. 2018, 10, 1820. [Google Scholar] [CrossRef]
- Hao, P.; Chen, Z.; Tang, H.; Li, D.; Li, H. NewWorkflow of Plastic-Mulched Farmland Mapping Using Multi-Temporal Sentinel-2 Data. Remote Sens. 2019, 11, 1353. [Google Scholar] [CrossRef]
- Luo, Q.; Liu, X.; Shi, Z.; Qu, R.; Zhao, W. Study on Plastic Mulch Ldentification Based on the Fusion of GF-1 and Sentinel-2 Lmages. Geogr. Geo-Inf. Sci. 2021, 37, 39–46. [Google Scholar]
- Fu, C.; Cheng, L.; Qin, S.; Tariq, A.; Liu, P.; Zou, K.; Chang, L. Timely Plastic-Mulched Cropland Extraction Method from Complex Mixed Surfaces in Arid Regions. Remote Sens. 2022, 14, 4051. [Google Scholar] [CrossRef]
- Peng, X.; Lu, L. Using Convolutional Neural Networks for Scene Classification of Plastic-Mulched Landcover from High-Resolution Remote Sensing Imagery. In Proceedings of the 2021 9th International Conference on Agro-Geoinformatics (Agro-Geoinformatics 2021), Shenzhen, China, 26–29 July 2021; Institute of Electrical and Electronics Engineers Inc.: Piscataway, NJ, USA, 2021. [Google Scholar]
- Feng, Q.; Niu, B.; Chen, B.; Ren, Y.; Zhu, D.; Yang, J.; Liu, J.; Ou, C.; Li, B. Mapping of Plastic Greenhouses and Mulching Films from Very High Resolution Remote Sensing Imagery Based on a Dilated and Non-Local Convolutional Neural Network. Int. J. Appl. Earth Obs. Geoinf. 2021, 102, 102441. [Google Scholar] [CrossRef]
- Lu, L.; Hang, D.; Di, L. Threshold Model for Detecting Transparent Plastic-Mulched Landcover Using Moderate-Resolution Imaging Spectroradiometer Time Series Data: A Case Study in Southern Xinjiang, China. J. Appl. Remote Sens. 2015, 9, 097094. [Google Scholar] [CrossRef]
- Xiong, Y.; Zhang, Q.; Chen, X.; Bao, A.; Zhang, J.; Wang, Y. Large Scale Agricultural Plastic Mulch Detecting and Monitoring with Multi-Source Remote Sensing Data: A Case Study in Xinjiang, China. Remote Sens. 2019, 11, 2088. [Google Scholar] [CrossRef]
- Yang, D.; Sun, S.; Chen, J.; Liu, X. Analysis for the Spatial and Temporal Patterns of Plasticulture in Shandong Province, China with Remotely Sensed Data. In Proceedings of the 2016 5th International Conference on Agro-Geoinformatics (Agro-Geoinformatics 2016), Tianjin, China, 18–20 July 2016; Institute of Electrical and Electronics Engineers Inc.: Piscataway, NJ, USA, 2016. [Google Scholar]
- Yang, D.; Chen, J.; Zhou, Y.; Chen, X.; Chen, X.; Cao, X. Mapping Plastic Greenhouse with Medium Spatial Resolution Satellite Data: Development of a New Spectral Index. ISPRS J. Photogramm. Remote Sens. 2017, 128, 47–60. [Google Scholar] [CrossRef]
- Ibrahim, E.; Gobin, A. Sentinel-2 Recognition of Uncovered and Plastic Covered Agricultural Soil. Remote Sens. 2021, 13, 4195. [Google Scholar] [CrossRef]
- Zhao, G.X.; Li, J.; Li, T.; De Yue, Y.; Warner, T. Utilizing Landsat TM Imagery to Map Greenhouses in Qingzhou, Shandong Province, China. Pedosphere 2004, 14, 363–369. [Google Scholar]
- Gorelick, N.; Hancher, M.; Dixon, M.; Ilyushchenko, S.; Thau, D.; Moore, R. Google Earth Engine: Planetary-Scale Geospatial Analysis for Everyone. Remote Sens. Environ. 2017, 202, 18–27. [Google Scholar] [CrossRef]
- Wang, Y.; Jin, S.; Dardanelli, G. Vegetation Classification and Evaluation of Yancheng Coastal Wetlands Based on Random Forest Algorithm from Sentinel-2 Images. Remote Sens. 2024, 16, 1124. [Google Scholar] [CrossRef]
- The People’s Government of Shangqiu City. Available online: https://www.shangqiu.gov.cn/ (accessed on 30 August 2024).
- The People’s Government of Zhoukou City. Available online: https://www.zhoukou.gov.cn/ (accessed on 30 August 2024).
- The People’s Government of Kaifeng City. Available online: https://www.kaifeng.gov.cn/ (accessed on 30 August 2024).
- Luo, J.; Ma, X.; Chu, Q.; Xie, M.; Cao, Y. Characterizing the Up-to-Date Land-Use and Land-Cover Change in Xiong’an New Area from 2017 to 2020 Using the Multi-Temporal Sentinel-2 Images on Google Earth Engine. ISPRS Int. J. Geoinf. 2021, 10, 464. [Google Scholar] [CrossRef]
- Luo, C.; Liu, H.J.; Lu, L.P.; Liu, Z.R.; Kon, F.C.; Zhang, X.L. Monthly Composites from Sentinel-1 and Sentinel-2 Images for Regional Major Crop Mapping with Google Earth Engine. J. Integr. Agric. 2021, 20, 1944–1957. [Google Scholar] [CrossRef]
- Kaufman, Y.J.; Remer, L.A. Detection of Forests Using Mid-IR Reflectance: An Application for Aerosol Studies. IEEE Trans. Geosci. Remote Sens. 1994, 32, 672–683. [Google Scholar] [CrossRef]
- Zha, Y.; Gao, J.; Ni, S. Use of Normalized Difference Built-up Index in Automatically Mapping Urban Areas from TM Imagery. Int. J. Remote Sens. 2003, 24, 583–594. [Google Scholar] [CrossRef]
- The People’s Government of Qixian County. Available online: http://www.zgqx.gov.cn/ (accessed on 30 August 2024).
- Zhang, X.; Wang, H.; Hou, H.; Yu, X.; Ma, Y.; Fang, Y.; Lei, K. Did Plastic Mulching Constantly Increase Crop Yield but Decrease Soil Water in a Semiarid Rain-Fed Area? Agric. Water Manag. 2020, 241, 106380. [Google Scholar] [CrossRef]
- Bu, L.D.; Liu, J.L.; Zhu, L.; Luo, S.S.; Chen, X.P.; Li, S.Q.; Lee Hill, R.; Zhao, Y. The Effects of Mulching on Maize Growth, Yield and Water Use in a Semi-Arid Region. Agric. Water Manag. 2013, 123, 71–78. [Google Scholar] [CrossRef]
- Steinmetz, Z.; Wollmann, C.; Schaefer, M.; Buchmann, C.; David, J.; Tröger, J.; Muñoz, K.; Frör, O.; Schaumann, G.E. Plastic Mulching in Agriculture. Trading Short-Term Agronomic Benefits for Long-Term Soil Degradation? Sci. Total Environ. 2016, 550, 690–705. [Google Scholar] [CrossRef] [PubMed]
- Souza, M.F.; Lamparelli, R.A.C.; Oliveira, M.H.S.; Nogueira, G.P.; Bliska, A., Jr.; Franco, T.T. Remote Sensing Detection of Plastic-Mulched Farmland Using a Temporal Approach in Machine Learning: Case Study in Tomato Crops. Environ. Sci. Pollut. Res. 2024, 1–14. [Google Scholar] [CrossRef] [PubMed]
Disclaimer/Publisher’s Note: The statements, opinions and data contained in all publications are solely those of the individual author(s) and contributor(s) and not of MDPI and/or the editor(s). MDPI and/or the editor(s) disclaim responsibility for any injury to people or property resulting from any ideas, methods, instructions or products referred to in the content. |
© 2024 by the authors. Licensee MDPI, Basel, Switzerland. This article is an open access article distributed under the terms and conditions of the Creative Commons Attribution (CC BY) license (https://creativecommons.org/licenses/by/4.0/).















