Examining the Overall and Heterogeneous Impacts of Urban Spatial Structure on Carbon Emissions: A Case Study of Guangdong Province, China
Abstract
:1. Introduction
2. Data Sources and Methods
2.1. Study Area
2.2. Data Sources
2.3. Method
2.3.1. Quantification of Urban Spatial Structure
2.3.2. Spatiotemporal Characterization of Carbon Emissions
2.3.3. Relationship between Urban Spatial Structure and Carbon Emissions
- (1)
- Econometric models
- (2)
- Spatiotemporal heterogeneity analysis
3. Results and Discussion
3.1. Spatiotemporal Characteristics of the Urban Spatial Structure
3.2. Spatiotemporal Characteristics of Carbon Emissions
3.3. Estimation Results for the Panel Model
3.4. Results of Spatiotemporal Heterogeneity Analysis
4. Discussion
4.1. Socio-Economic Factors for Carbon Emission Modeling
4.2. Zoning Optimization Strategies under Low Carbon Constraints
4.3. Limitations and Future Research
5. Conclusions
Author Contributions
Funding
Data Availability Statement
Conflicts of Interest
References
- Wallace, J.M.; Held, I.M.; Thompson, D.W.; Trenberth, K.E.; Walsh, J.E. Global warming and winter weather. Science 2014, 343, 729–730. [Google Scholar] [CrossRef] [PubMed]
- Clark, P.U.; Shakun, J.D.; Marcott, S.A.; Mix, A.C.; Eby, M.; Kulp, S.; Levermann, A.; Milne, G.A.; Pfister, P.L.; Santer, B.D. Consequences of twenty-first-century policy for multi-millennial climate and sea-level change. Nat. Clim. Chang. 2016, 6, 360–369. [Google Scholar] [CrossRef]
- Shi, F.; Liao, X.; Shen, L.; Meng, C.; Lai, Y. Exploring the spatiotemporal impacts of urban form on CO2 emissions: Evidence and implications from 256 Chinese cities. Environ. Impact Assess. Rev. 2022, 96, 106850. [Google Scholar] [CrossRef]
- Shi, K.; Chen, Y.; Li, L.; Huang, C. Spatiotemporal variations of urban CO2 emissions in China: A multiscale perspective. Appl. Energy 2018, 211, 218–229. [Google Scholar] [CrossRef]
- Wang, S.; Fang, C.; Wang, Y.; Huang, Y.; Ma, H. Quantifying the relationship between urban development intensity and carbon dioxide emissions using a panel data analysis. Ecol. Indic. 2015, 49, 121–131. [Google Scholar] [CrossRef]
- Ou, J.; Liu, X.; Li, X.; Chen, Y. Quantifying the relationship between urban forms and carbon emissions using panel data analysis. Landsc. Ecol. 2013, 28, 1889–1907. [Google Scholar] [CrossRef]
- Fang, C.; Wang, S.; Li, G. Changing urban forms and carbon dioxide emissions in China: A case study of 30 provincial capital cities. Appl. Energy 2015, 158, 519–531. [Google Scholar] [CrossRef]
- Yousefi, Z.; Dadashpoor, H. How do ICTs affect urban spatial structure? A systematic literature review. J. Urban Technol. 2020, 27, 47–65. [Google Scholar] [CrossRef]
- Zhou, B.; Rybski, D.; Kropp, J.P. The role of city size and urban form in the surface urban heat island. Sci. Rep. 2017, 7, 4791. [Google Scholar] [CrossRef]
- Herold, M.; Scepan, J.; Clarke, K.C. The use of remote sensing and landscape metrics to describe structures and changes in urban land uses. Environ. Plan. A 2002, 34, 1443–1458. [Google Scholar] [CrossRef]
- Vaccari, F.P.; Gioli, B.; Toscano, P.; Perrone, C. Carbon dioxide balance assessment of the city of Florence (Italy), and implications for urban planning. Landsc. Urban Plan. 2013, 120, 138–146. [Google Scholar] [CrossRef]
- Warren, R. Rail and the City: Shrinking Our Carbon Footprint While Reimagining Urban Space; MIT Press: Cambridge, MA, USA, 2014. [Google Scholar]
- Vaughn, R.M.; Hostetler, M.; Escobedo, F.J.; Jones, P. The influence of subdivision design and conservation of open space on carbon storage and sequestration. Landsc. Urban Plan. 2014, 131, 64–73. [Google Scholar] [CrossRef]
- Baur, A.H.; Förster, M.; Kleinschmit, B. The spatial dimension of urban greenhouse gas emissions: Analyzing the influence of spatial structures and LULC patterns in European cities. Landsc. Ecol. 2015, 30, 1195–1205. [Google Scholar] [CrossRef]
- Yi, Y.; Wang, Y.; Li, Y.; Qi, J. Impact of urban density on carbon emissions in China. Appl. Econ. 2021, 53, 6153–6165. [Google Scholar] [CrossRef]
- Sarkodie, S.A.; Owusu, P.A.; Leirvik, T. Global effect of urban sprawl, industrialization, trade and economic development on carbon dioxide emissions. Environ. Res. Lett. 2020, 15, 034049. [Google Scholar] [CrossRef]
- Li, Z.; Wu, H.; Wu, F. Impacts of urban forms and socioeconomic factors on CO2 emissions: A spatial econometric analysis. J. Clean. Prod. 2022, 372, 133722. [Google Scholar] [CrossRef]
- Pu, Y.; Wang, Y.; Wang, P. Driving effects of urbanization on city-level carbon dioxide emissions: From multiple perspectives of urbanization. Int. J. Urban Sci. 2022, 26, 108–128. [Google Scholar] [CrossRef]
- Ma, C.; Yang, H.; Zhang, W.; Huang, S. Low-carbon consumption with government subsidy under asymmetric carbon emission information. J. Clean. Prod. 2021, 318, 128423. [Google Scholar] [CrossRef]
- Martínez-Zarzoso, I.; Bengochea-Morancho, A.; Morales-Lage, R. The impact of population on CO2 emissions: Evidence from European countries. Environ. Resour. Econ. 2007, 38, 497–512. [Google Scholar] [CrossRef]
- Zhou, Y.; Liu, Y. Does population have a larger impact on carbon dioxide emissions than income? Evidence from a cross-regional panel analysis in China. Appl. Energy 2016, 180, 800–809. [Google Scholar] [CrossRef]
- Gudipudi, R.; Fluschnik, T.; Ros, A.G.C.; Walther, C.; Kropp, J.P. City density and CO2 efficiency. Energy Policy 2016, 91, 352–361. [Google Scholar] [CrossRef]
- Wu, D.; Lin, J.C.; Oda, T.; Kort, E.A. Space-based quantification of per capita CO2 emissions from cities. Environ. Res. Lett. 2020, 15, 035004. [Google Scholar] [CrossRef]
- Wang, S.; Liu, X.; Zhou, C.; Hu, J.; Ou, J. Examining the impacts of socioeconomic factors, urban form, and transportation networks on CO2 emissions in China’s megacities. Appl. Energy 2017, 185, 189–200. [Google Scholar] [CrossRef]
- Zhao, P.; Diao, J.; Li, S. The influence of urban structure on individual transport energy consumption in China’s growing cities. Habitat Int. 2017, 66, 95–105. [Google Scholar] [CrossRef]
- Reis, J.P.; Silva, E.A.; Pinho, P. Spatial metrics to study urban patterns in growing and shrinking cities. Urban Geogr. 2016, 37, 246–271. [Google Scholar] [CrossRef]
- Holden, E.; Norland, I.T. Three challenges for the compact city as a sustainable urban form: Household consumption of energy and transport in eight residential areas in the greater Oslo region. Urban Stud. 2005, 42, 2145–2166. [Google Scholar] [CrossRef]
- Shu, H.; Xiong, P.-p. Reallocation planning of urban industrial land for structure optimization and emission reduction: A practical analysis of urban agglomeration in China’s Yangtze River Delta. Land Use Policy 2019, 81, 604–623. [Google Scholar] [CrossRef]
- Lee, S.; Lee, B. The influence of urban form on GHG emissions in the US household sector. Energy Policy 2014, 68, 534–549. [Google Scholar] [CrossRef]
- Han, S.; Sun, B.; Zhang, T. Mono-and polycentric urban spatial structure and PM2. 5 concentrations: Regarding the dependence on population density. Habitat Int. 2020, 104, 102257. [Google Scholar] [CrossRef]
- Zhu, K.; Tu, M.; Li, Y. Did polycentric and compact structure reduce carbon emissions? A spatial panel data analysis of 286 Chinese cities from 2002 to 2019. Land 2022, 11, 185. [Google Scholar] [CrossRef]
- Ou, J.; Liu, X.; Wang, S.; Xie, R.; Li, X. Investigating the differentiated impacts of socioeconomic factors and urban forms on CO2 emissions: Empirical evidence from Chinese cities of different developmental levels. J. Clean. Prod. 2019, 226, 601–614. [Google Scholar] [CrossRef]
- Hong, S.; Hui, E.C.-m.; Lin, Y. Relationship between urban spatial structure and carbon emissions: A literature review. Ecol. Indic. 2022, 144, 109456. [Google Scholar] [CrossRef]
- Sun, C.; Zhang, Y.; Ma, W.; Wu, R.; Wang, S. The impacts of urban form on carbon emissions: A comprehensive review. Land 2022, 11, 1430. [Google Scholar] [CrossRef]
- Zheng, Y.; Cheng, L.; Wang, Y.; Wang, J. Exploring the impact of explicit and implicit urban form on carbon emissions: Evidence from Beijing, China. Ecol. Indic. 2023, 154, 110558. [Google Scholar] [CrossRef]
- Wang, F.; Fan, W.; Liu, J.; Wang, G.; Chai, W. The effect of urbanization and spatial agglomeration on carbon emissions in urban agglomeration. Environ. Sci. Pollut. Res. 2020, 27, 24329–24341. [Google Scholar] [CrossRef] [PubMed]
- Wang, J.; Wang, S.; Li, S.; Feng, K. Coupling analysis of urbanization and energy-environment efficiency: Evidence from Guangdong province. Appl. Energy 2019, 254, 113650. [Google Scholar] [CrossRef]
- Jiang, H.; Sun, Z.; Guo, H.; Xing, Q.; Du, W.; Cai, G. A standardized dataset of built-up areas of China’s cities with populations over 300,000 for the period 1990–2015. Big Earth Data 2022, 6, 103–126. [Google Scholar] [CrossRef]
- Sun, Z.; Sun, J.; Guo, H.; Jiang, H.; Gao, J.; Wang, J. A Dataset of Built-Up Areas of Chinese Cities in 2020. Sci. Data Bank 2021. [Google Scholar] [CrossRef]
- Chen, J.; Gao, M.; Cheng, S.; Hou, W.; Song, M.; Liu, X.; Liu, Y.; Shan, Y. County-level CO2 emissions and sequestration in China during 1997–2017. Sci. Data 2020, 7, 391. [Google Scholar] [CrossRef]
- Jia, Y.; Tang, L.; Xu, M.; Yang, X. Landscape pattern indices for evaluating urban spatial morphology—A case study of Chinese cities. Ecol. Indic. 2019, 99, 27–37. [Google Scholar] [CrossRef]
- Bereitschaft, B.; Debbage, K. Urban form, air pollution, and CO2 emissions in large US metropolitan areas. Prof. Geogr. 2013, 65, 612–635. [Google Scholar] [CrossRef]
- Balsalobre-Lorente, D.; dos Santos Parente, C.C.; Leitão, N.C.; Cantos-Cantos, J.M. The influence of economic complexity processes and renewable energy on CO2 emissions of BRICS. What about industry 4.0? Resour. Policy 2023, 82, 103547. [Google Scholar] [CrossRef]
- Feng, Y.; Wang, X.; Du, W.; Wu, H.; Wang, J. Effects of environmental regulation and FDI on urban innovation in China: A spatial Durbin econometric analysis. J. Clean. Prod. 2019, 235, 210–224. [Google Scholar] [CrossRef]
- Zhu, E.; Qi, Q.; Chen, L.; Wu, X. The spatial-temporal patterns and multiple driving mechanisms of carbon emissions in the process of urbanization: A case study in Zhejiang, China. J. Clean. Prod. 2022, 358, 131954. [Google Scholar] [CrossRef]
- Anselin, L. Local indicators of spatial association—LISA. Geogr. Anal. 1995, 27, 93–115. [Google Scholar] [CrossRef]
- Wang, Q.; Wang, X.; Li, R. Does population aging reduce environmental pressures from urbanization in 156 countries? Sci. Total Environ. 2022, 848, 157330. [Google Scholar] [CrossRef]
- Wang, M.; Wang, P.; Wu, L.; Yang, R.-P.; Feng, X.-Z.; Zhao, M.-X.; Du, X.-L.; Wang, Y.-J. Criteria for assessing carbon emissions peaks at provincial level in China. Adv. Clim. Chang. Res. 2022, 13, 131–137. [Google Scholar] [CrossRef]
- Liu, L.-L.; Feng, T.-T.; Kong, J.-J. Can carbon trading policy and local public expenditures synergize to promote carbon emission reduction in the power industry? Resour. Conserv. Recycl. 2023, 188, 106659. [Google Scholar] [CrossRef]
- Tian, G.; Yu, S.; Wu, Z.; Xia, Q. Study on the emission reduction effect and spatial difference of carbon emission trading policy in China. Energies 2022, 15, 1921. [Google Scholar] [CrossRef]
- Zhao, Y.; Chen, R.; Zang, P.; Huang, L.; Ma, S.; Wang, S. Spatiotemporal patterns of global carbon intensities and their driving forces. Sci. Total Environ. 2022, 818, 151690. [Google Scholar] [CrossRef]
- Wooldridge, J.M. Two-way fixed effects, the two-way mundlak regression, and difference-in-differences estimators. Soc. Sci. Res. Netw. 2021, 3906345. [Google Scholar] [CrossRef]
- Huang, B.; Wu, B.; Barry, M. Geographically and temporally weighted regression for modeling spatio-temporal variation in house prices. Int. J. Geogr. Inf. Sci. 2010, 24, 383–401. [Google Scholar] [CrossRef]
- Zhou, C.; Wang, S.; Wang, J. Examining the influences of urbanization on carbon dioxide emissions in the Yangtze River Delta, China: Kuznets curve relationship. Sci. Total Environ. 2019, 675, 472–482. [Google Scholar] [CrossRef] [PubMed]
- He, X.; Yu, Y.; Jiang, S. City centrality, population density and energy efficiency. Energy Econ. 2023, 117, 106436. [Google Scholar] [CrossRef]
- Raihan, A.; Ibrahim, S.; Muhtasim, D.A. Dynamic impacts of economic growth, energy use, tourism, and agricultural productivity on carbon dioxide emissions in Egypt. World Dev. Sustain. 2023, 2, 100059. [Google Scholar] [CrossRef]
- Lu, X.; Zhang, Y.; Li, J.; Duan, K. Measuring the urban land use efficiency of three urban agglomerations in China under carbon emissions. Environ. Sci. Pollut. Res. 2022, 29, 36443–36474. [Google Scholar] [CrossRef]
- Dong, F.; Wang, Y.; Su, B.; Hua, Y.; Zhang, Y. The process of peak CO2 emissions in developed economies: A perspective of industrialization and urbanization. Resour. Conserv. Recycl. 2019, 141, 61–75. [Google Scholar] [CrossRef]
- Ehrlich, P.R.; Holdren, J.P. Impact of Population Growth: Complacency concerning this component of man’s predicament is unjustified and counterproductive. Science 1971, 171, 1212–1217. [Google Scholar] [CrossRef]
- Yin, Q.; Wang, Y.; Xu, Z.; Wan, K.; Wang, D. Factors influencing green transformation efficiency in China’s mineral resource-based cities: Method analysis based on IPAT-E and PLS-SEM. J. Clean. Prod. 2022, 330, 129783. [Google Scholar] [CrossRef]
- Kim, J.; Lim, H.; Jo, H.-H. Do aging and low fertility reduce carbon emissions in Korea? Evidence from IPAT augmented EKC analysis. Int. J. Environ. Res. Public Health 2020, 17, 2972. [Google Scholar] [CrossRef]
- Chontanawat, J. Driving forces of energy-related CO2 emissions based on expanded IPAT decomposition analysis: Evidence from ASEAN and four selected countries. Energies 2019, 12, 764. [Google Scholar] [CrossRef]








| Category | Landscape Metric | Definition | Equation | Description | Range |
|---|---|---|---|---|---|
| Scale Structure | Total area (TA) | Total area of built-up areas. | ai: I patch area n: number of patches Pi: i patch perimeter gi: The number of adjacent patches in i patch | (0,] | |
| Largest patch index (LPI) | The dominance of continuous and complete land plots in the built-up areas. | (0,100] | |||
| Shape Structure | Mean perimeter-to-area ratio (PARA_MN) | Ratio of perimeter to area of each patch in the built-up areas. | (0,] | ||
| Mean shape index (SHAPE_MN) | The complexity of patch shape in the built-up areas. | (0,] | |||
| Morphological Structure | Aggregation index (AI) | Degree of aggregation in the built-up areas. | (0,100] | ||
| Patch cohesion index (COHESION) | The degree of connection between adjacent patches in the built-up areas. | (0,100] |
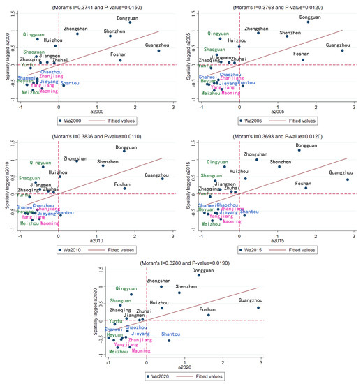
| Year | Moran’s I | Z | P |
|---|---|---|---|
| 2000 | 0.374083 | 2.857534 | 0.004269 |
| 2005 | 0.376820 | 2.894841 | 0.003794 |
| 2010 | 0.383582 | 2.950648 | 0.003171 |
| 2015 | 0.369306 | 2.885501 | 0.003908 |
| 2020 | 0.328004 | 2.619984 | 0.008793 |
| Independent Variables | Coefficient |
|---|---|
| lnTA | 0.322 *** (4.42) |
| lnLPI | −0.047 ** (−0.91) |
| lnPARA_MN | 0.037 (0.90) |
| lnSHAPE_MN | 0.427 ** (3.45) |
| lnAI | −3.074 *** (−2.56) |
| lnCOHESION | 4.174 (0.81) |
| lnPopDen | −0.070 *** (−3.16) |
| lnPGDP | 0.079 ** (1.36) |
| lnCI | 0.059 ** (1.79) |
| Constant | −7.15 |
| R2 | 0.9766 |
Disclaimer/Publisher’s Note: The statements, opinions and data contained in all publications are solely those of the individual author(s) and contributor(s) and not of MDPI and/or the editor(s). MDPI and/or the editor(s) disclaim responsibility for any injury to people or property resulting from any ideas, methods, instructions or products referred to in the content. |
© 2023 by the authors. Licensee MDPI, Basel, Switzerland. This article is an open access article distributed under the terms and conditions of the Creative Commons Attribution (CC BY) license (https://creativecommons.org/licenses/by/4.0/).
Share and Cite
Luo, K.; Chen, S.; Cui, S.; Liao, Y.; He, Y.; Zhou, C.; Wang, S. Examining the Overall and Heterogeneous Impacts of Urban Spatial Structure on Carbon Emissions: A Case Study of Guangdong Province, China. Land 2023, 12, 1806. https://doi.org/10.3390/land12091806
Luo K, Chen S, Cui S, Liao Y, He Y, Zhou C, Wang S. Examining the Overall and Heterogeneous Impacts of Urban Spatial Structure on Carbon Emissions: A Case Study of Guangdong Province, China. Land. 2023; 12(9):1806. https://doi.org/10.3390/land12091806
Chicago/Turabian StyleLuo, Ke, Shuo Chen, Shixi Cui, Yuantao Liao, Yu He, Chunshan Zhou, and Shaojian Wang. 2023. "Examining the Overall and Heterogeneous Impacts of Urban Spatial Structure on Carbon Emissions: A Case Study of Guangdong Province, China" Land 12, no. 9: 1806. https://doi.org/10.3390/land12091806
APA StyleLuo, K., Chen, S., Cui, S., Liao, Y., He, Y., Zhou, C., & Wang, S. (2023). Examining the Overall and Heterogeneous Impacts of Urban Spatial Structure on Carbon Emissions: A Case Study of Guangdong Province, China. Land, 12(9), 1806. https://doi.org/10.3390/land12091806

