Impact of Bottom-Sediment Removal on 137Cs Contamination in an Urban Pond
(This article belongs to the Section Land, Soil and Water)
Abstract
1. Introduction
2. Materials and Methods
2.1. Study Site
2.2. Sample Collection and Treatment
2.2.1. Bottom Sediment
2.2.2. Pond Water
2.3. Radionuclide Analysis
2.4. Measurements of the Particle Size Distribution and Stable Isotopes in Bottom Sediment and SS in Pond Water
2.5. Laboratory Water Quality Analyses
3. Results and Discussion
3.1. 137Cs Inventories in Bottom Sediments
3.2. Depth Distribution of 137Cs in Bottom Sediments
3.3. 137Cs Concentrations and Kd Values in the Pond Water
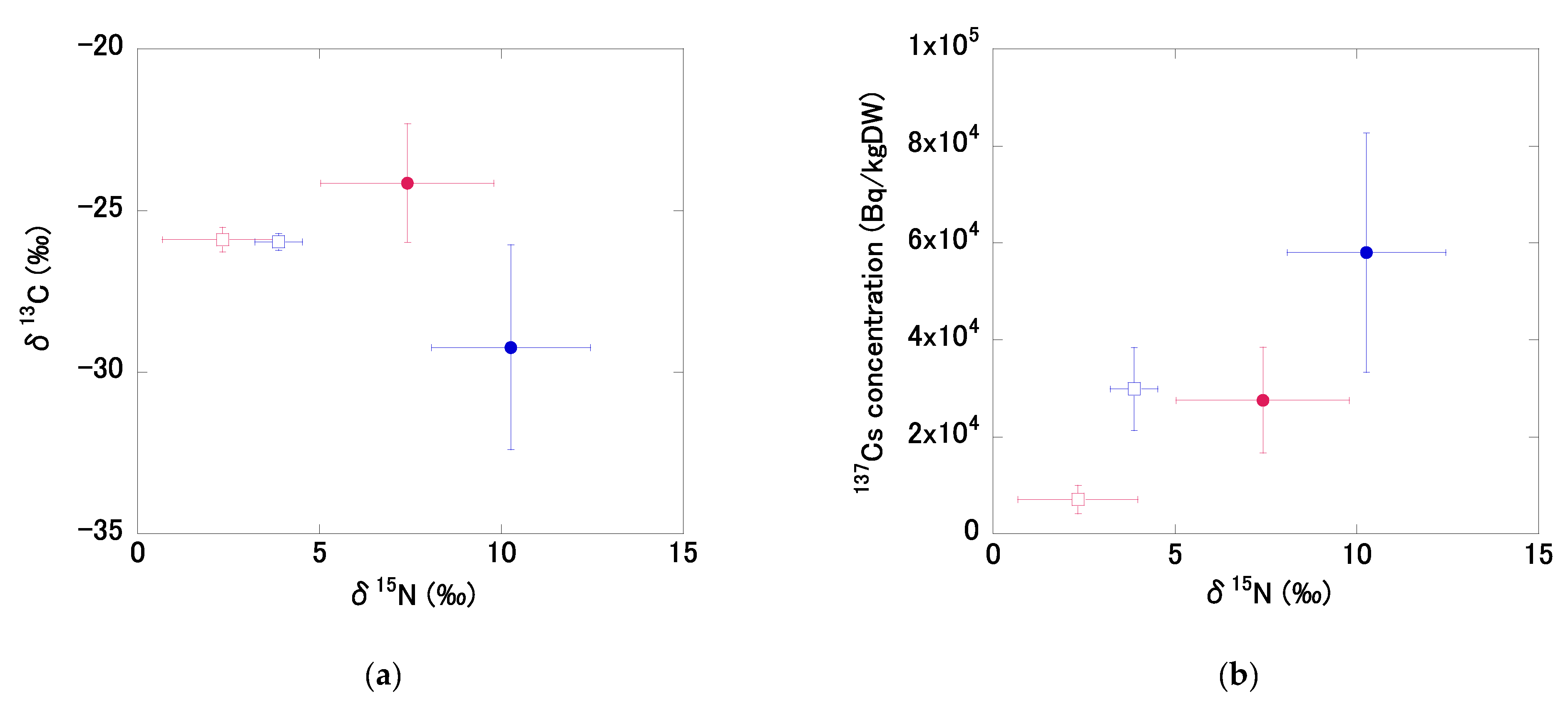
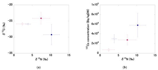
3.4. Relationships of δ15N and δ13C Values with 137Cs Concentrations
4. Conclusions
Supplementary Materials
Author Contributions
Funding
Data Availability Statement
Acknowledgments
Conflicts of Interest
References
- Wakiyama, Y.; Konoplev, A.; Wada, T.; Takase, T.; Byrnes, I.; Carradine, M.; Nanba, K. Behavior of 137Cs in ponds in the vicinity of the Fukushima Dai-ichi nuclear power plant. J. Environ. Radioact. 2017, 178–179, 367–376. [Google Scholar] [CrossRef] [PubMed]
- Funaki, H.; Yoshimura, K.; Sakuma, K.; Iri, S.; Oda, Y. Evaluation of particulate 137Cs discharge from a mountainous forested catchment using reservoir sediments and sinking particles. J. Environ. Radioact. 2018, 189, 48–56. [Google Scholar] [CrossRef] [PubMed]
- Takechi, S.; Tsuji, H.; Koshikawa, M.; Ito, S.; Funaki, H.; Hayashi, S. Evaluation of bioavailable radiocesium in the sediment in forest river and dam reservoir. Jpn. J. Limnol. 2021, 82, 1–16. [Google Scholar] [CrossRef]
- Hayashi, S.; Tsuji, H. Role and effect of a dam on migration of radioactive cesium in a river catchment after the Fukushima Daiichi Nuclear Power Plant accident. Glob. Environ. Res. 2020, 24, 105–113. [Google Scholar]
- Funaki, H.; Sakuma, K.; Nakanishi, T.; Yoshimura, K.; Katengeza, E.W. Reservoir sediments as a long-term source of dissolved radiocaesium in water system; a mass balance case study of an artificial reservoir in Fukushima, Japan. Sci. Total Environ. 2020, 743, 140668. [Google Scholar] [CrossRef]
- Yoshinaga, I.; Hamada, K.; Kubota, T. Countermeasures against radioactive cesium contamination in irrigation ponds in Fukushima Prefecture. J. NARO Res. Dev. 2021, 2021, 55–65. [Google Scholar] [CrossRef]
- Ministry of Agriculture, Forestry and Fisheries. Overview of Technical Manual for Countermeasures against Radioactive Materials in Reservoirs. Available online: https://www.maff.go.jp/j/nousin/saigai/pdf/tamemanu_gaiyou_2.pdf (accessed on 25 January 2023). (In Japanese)
- Ministry of Agriculture, Forestry and Fisheries. Technical Manual for Countermeasures against Radioactive Materials in Reservoirs, Basic Edition. Available online: https://www.maff.go.jp/j/press/nousin/saigai/pdf/141119-01.pdf (accessed on 25 January 2023). (In Japanese)
- Ministry of Agriculture, Forestry and Fisheries. Technical Manual for Countermeasures against Radioactive Materials in Reservoirs. Available online: https://www.maff.go.jp/j/nousin/saigai/pdf/tamemanu_zentai_2.pdf (accessed on 25 January 2023). (In Japanese)
- Ministry of Agriculture, Forestry and Fisheries. Technical Manual for Countermeasures against Radioactive Materials in Reservoirs. Available online: https://www.maff.go.jp/j/nousin/saigai/attach/pdf/tamemanu_zentai-3.pdf (accessed on 25 January 2023). (In Japanese)
- Katengeza, E.W.; Ochi, K.; Sanada, Y.; Iimoto, T.; Yoshinaga, S. The effect and effectiveness of decontaminating a pond in a residential area of Fukushima. Health Phys. 2021, 121, 48–57. [Google Scholar] [CrossRef]
- Okamoto, Y.; Kobayashi, H. Effectiveness of dredging in purification of irrigation ponds. Trans. Jpn. Soc. Irrig. Drain. Reclam. Eng. 1997, 1997, 161–169. [Google Scholar] [CrossRef]
- Tsuji, H.; Ishii, Y.; Shin, M.; Taniguchi, K.; Arai, H.; Kurihara, M.; Yasutaka, T.; Kuramoto, T.; Nakanishi, T.; Lee, S.; et al. Factors controlling dissolved 137Cs concentrations in east Japanese Rivers. Sci. Total Environ. 2019, 697, 134093. [Google Scholar] [CrossRef]
- Laceby, J.P.; Huon, S.; Onda, Y.; Vaury, V.; Evrard, O. Do forests represent a long-term source of contaminated particulate matter in the Fukushima Prefecture? J. Environ. Manag. 2016, 183, 742–753. [Google Scholar] [CrossRef]
- Huon, S.; Hayashi, S.; Laceby, J.P.; Tsuji, H.; Onda, Y.; Evrard, O. Source dynamics of radiocesium-contaminated particulate matter deposited in an agricultural water reservoir after the Fukushima nuclear accident. Sci. Total Environ. 2018, 612, 1079–1090. [Google Scholar] [CrossRef]
- Niida, T.; Wakiyama, Y.; Takata, H.; Taniguchi, K.; Kurosawa, H.; Fujita, K.; Konoplev, A. A comparative study of riverine 137Cs dynamics during high-flow events at three contaminated river catchments in Fukushima. Sci. Total Environ. 2022, 821, 153408. [Google Scholar] [CrossRef]
- He, Q.; Walling, D.E. Interpreting Particle size effects in the adsorption of 137Cs and unsupported 210Pb by mineral soils and sediments. J. Environ. Radioact. 1996, 30, 117–137. [Google Scholar] [CrossRef]
- Yoshimura, K.; Onda, Y.; Fukushima, T. Sediment particle size and initial radiocesium accumulation in ponds following the Fukushima DNPP accident. Sci. Rep. 2014, 4, 1–6. [Google Scholar] [CrossRef]
- Ministry of Education, Culture, Sports, Science and Technology (MEXT). Results of the Third Airborne Monitoring Survey by MEXT. Available online: https://radioactivity.nsr.go.jp/ja/contents/5000/4858/24/1305819_0708.pdf (accessed on 25 January 2023). (In Japanese)
- Koriyama City. Decontamination of Reservoirs and Countermeasures for Radioactive Materials. Available online: https://www.city.koriyama.lg.jp/uploaded/attachment/26473.pdf (accessed on 25 January 2023). (In Japanese).
- Tsukada, H.; Ohse, K. Concentration of radiocaesium in rice and irrigation water, and soil management practices in Oguni, Date, Fukushima. Integr. Environ. Assess. Manag. 2016, 12, 659–661. [Google Scholar] [CrossRef]
- Igarashi, Y.; Nanba, K.; Wada, T.; Wakiyama, Y.; Onda, Y.; Moritaka, S.; Konoplev, A. Factors controlling the dissolved 137Cs seasonal fluctuations in the Abukuma River under the influence of the Fukushima Nuclear Power Plant accident. J. Geophys. Res. Biogeosciences 2022, 127, e2021JG006591. [Google Scholar] [CrossRef]
- Yasutaka, T.; Tsuji, H.; Kondo, Y.; Suzuki, Y.; Takahashi, A.; Kawamoto, T. Rapid quantification of radiocesium dissolved in water by using nonwoven fabric cartridge filters impregnated with potassium zinc ferrocyanide. J. Nucl. Sci. Technol. 2015, 52, 792–800. [Google Scholar] [CrossRef]
- Ogawa, O.N.; Wang, X.-S.; Shinohara, H.; Ohkouchi, N. Accurate Measurements of Carbon and Nitrogen Stable Isotope Ratio by EA/IRMS: Technical Guide for Isotope Ratio Mass Spectrometry; Japan Chemical Analysis Center: Chiba, Japan, 2013; pp. 38–39. [Google Scholar]
- Suzuki, R.; Ishimaru, T. An improved method for the determination of phytoplankton chlorophyll using N, N-dimethylformamide. J. Oceanogr. Soc. Jpn. 1990, 46, 190–194. [Google Scholar] [CrossRef]
- Bower, C.E.; Holm-Hansen, T. A salicylate–hypochlorite method for determining ammonia in seawater. Can. J. Fish. Aquat. Sci. 1980, 37, 794–798. [Google Scholar] [CrossRef]
- Forster, J.C. Soil sampling, handling, storage and analysis. In Methods in Applied Soil Microbiology and Biochemistry; Alef, K., Nannipieri, P., Eds.; Academic Press: London, UK, 1995; pp. 49–121. ISBN 978-0-12-513840-6. [Google Scholar]
- Saijo, Y.; Mitamura, O. Reseach Methods for Lakes; Koudansha: Tokyo, Japan, 1995; ISBN 4061539345. (In Japanese) [Google Scholar]
- Ilus, E.; Saxén, R. Accumulation of Chernobyl-Derived 137Cs in Bottom Sediments of Some Finnish Lakes. J. Environ. Radioact. 2005, 82, 199–221. [Google Scholar] [CrossRef]
- Tsuji, H.; Yasutaka, T.; Kawabe, Y.; Onishi, T.; Komai, T. Distribution of dissolved and particulate radiocesium concentrations along rivers and the relations between radiocesium concentration and deposition after the nuclear power plant accident in Fukushima. Water Res. 2014, 60, 15–27. [Google Scholar] [CrossRef] [PubMed]
- Tsuji, H.; Tanaka, A.; Komatsu, K.; Kohzu, A.; Matsuzaki, S.S.; Hayashi, S. Vertical/spatial movement and accumulation of 137Cs in a shallow lake in the initial phase after the Fukushima Daiichi nuclear power plant accident. Appl. Radiat. Isot. 2019, 147, 59–69. [Google Scholar] [CrossRef] [PubMed]
- Yamashita, R.; Murakami, M.; Iwasaki, Y.; Shibayama, N.; Sueki, K.; Saha, M.; Mouri, G.; Lamxay, S.; O, H.; Koibuchi, Y.; et al. Temporal variation and source analysis of radiocesium in an urban river after the 2011 nuclear accident in Fukushima, Japan. J. Water Environ. Technol. 2015, 13, 179–194. [Google Scholar] [CrossRef]
- Ozaki, H.; Takahashi, H.; Watai, C.; Inamochi, R.; Nagashima, T.; Gomi, T.; Watanabe, I. High level of cesium-137 concentration in road dust samples collected in the eastern area of Japan. J. Environ. Chem. 2016, 26, 131–140. [Google Scholar] [CrossRef]
- Funaki, H.; Tsuji, H.; Nakanishi, T.; Yoshimura, K.; Sakuma, K.; Hayashi, S. Remobilisation of radiocaesium from bottom sediments to water column in reservoirs in Fukushima, Japan. Sci. Total Environ. 2022, 812, 152534. [Google Scholar] [CrossRef]
- Zhang, S.; Zhou, Q.; Xu, D.; Lin, J.; Cheng, S.; Wu, Z. Effects of Sediment Dredging on Water Quality and Zooplankton Community Structure in a Shallow of Eutrophic Lake. J. Environ. Sci. 2010, 22, 218–224. [Google Scholar] [CrossRef]
- Yamada, Y.; Ueda, T.; Wada, E. Distribution of carbon and nitrogen isotope ratios in the Yodo River watershed. Jpn. J. Limnol. 1996, 57, 467–477. [Google Scholar] [CrossRef]
- Yamada, Y.; Yoshioka, T. Stable isotope analysis in aquatic ecosystems. Jpn. J. Ecol. 1999, 49, 39–45. (In Japanese) [Google Scholar] [CrossRef]
- Yamada, Y.; Nakashima, S. Availability of the stable isotope ratios as the standard indicator in basin research. Jpn. J. Limnol. 2003, 64, 197–202. [Google Scholar] [CrossRef]
- Wada, E. Stable δ15N and δ13C isotope ratios in aquatic ecosystems. Proc. Jpn. Acad. Ser. B Phys. Biol. Sci. 2009, 85, 98–107. [Google Scholar] [CrossRef]
- Wada, E. Stable isotope fingerprint. Jpn. J. Ecol. 2009, 59, 259–268. [Google Scholar] [CrossRef]
- Hyodo, F.; Tsugeki, N.; Azuma, J.; Urabe, J.; Nakanishi, M.; Wada, E. Changes in stable isotopes, lignin-derived phenols, and fossil pigments in sediments of Lake Biwa, Japan: Implications for anthropogenic effects over the last 100 Years. Sci. Total Environ. 2008, 403, 139–147. [Google Scholar] [CrossRef]
- Tsushima, K.; Amano, K.; Denda, M.; Tokioka, T. Study on the particulate organic matter supply to river ecosystem in the downstream of a dam. Proc. Hydraul. Eng. 2007, 51, 1117–1122. [Google Scholar] [CrossRef]










| Parameter | 2015 | 2018 | ||
|---|---|---|---|---|
| n | Mean ± SD * | n | Mean ± SD * | |
| CCs-SS (kBq/kgDW) | 7 | 58.0 ± 24.6 | 6 | 27.6 ± 10.9 | 
| CCs-par (Bq/L) | 7 | 1.35 ± 0.97 | 6 | 0.902 ± 0.492 | 
| CCs-dis (Bq/L) | 7 | 0.0506 ± 0.0186 | 6 | 0.0482 ± 0.0397 | 
| CCs-total (Bq/L) | 7 | 1.40 ± 0.98 | 6 | 0.950 ± 0.509 | 
| CCs-par / CCs-total (%) | 7 | 94.4 ± 3.5 | 6 | 95.0 ± 2.9 | 
| Kd (×106L/kg) | 7 | 1.16 ± 0.25 | 6 | 0.920 ± 0.572 | 
| Reference | Type | Name | Main Land use of Catchment Area | Period | 137Cs Inventory in Catchment area (MBq/m2) | Normalized CCs-SS (m2/kg) | Normalized CCs-dis (×10−5/m) | Kd (×106L/kg) | ||||
|---|---|---|---|---|---|---|---|---|---|---|---|---|
| n | Mean ± SD * | n | Mean ± SD * | n | Mean ± SD * | |||||||
| This study | pond | Urban | 2015 | 0.17 | 7 | 0.341 ± 0.145 | 7 | 29.8 ± 10.9 | 7 | 1.16 ± 0.25 | ||
| This study | pond | Urban | 2018 | 0.17 | 6 | 0.162 ± 0.064 | 6 | 28.4 ± 23.4 | 6 | 0.920 ± 0.572 | ||
| Tsuji et al. [30] | River | Abukuma | Forest | 2013 | 0.0874 | 7 | 0.108 ± 0.065 | 7 | 15.1 ± 6.8 | 7 | 0.746 ± 0.269 | |
| Kuchibuto | Forest | 2013 | 0.392 | 6 | 0.056 ± 0.015 | 6 | 2.1 ± 0.6 | 6 | 2.87 ± 1.06 | |||
| Shakado | Forest | 2013 | 0.104 | 3 | 0.055 ± 0.018 | 3 | 5.7 ± 1.1 | 3 | 1.01 ± 0.39 | |||
| Ohta | Forest | 2013 | 1.576 | 4 | 0.069 ± 0.020 | 4 | 9.3 ± 3.0 | 4 | 0.889 ± 0.486 | |||
| Tsuji et al. [13] | River | 44 rivers with less than 5 % of building area in the watershed | Forest or cultivated land | 2017 | 0.147 | - | - | 44 | 8.2 ± 20.6 | - | - | |
| Wakiyama et al. [1] | pond | Suzuuchi | Evacuation area | 2015–2016 | 6.4 | 13 | 0.052 ± 0.012 | 13 | 46.9 ± 21.9 | 13 | 0.13 ± 0.05 | |
| pond | Funasawa | Evacuation area | 2015–2016 | 2.9 | 13 | 0.116 ± 0.041 | 13 | 62.1 ± 17.6 | 13 | 0.21 ± 0.09 | ||
| pond | Inkyozaka | Forest/Evacuation area | 2015–2016 | 2.1 | 13 | 0.16 ± 0.06 | 13 | 85.7 ± 24.3 | 13 | 0.17 ± 0.08 | ||
| pond | Kashiramori | Forest/Evacuation area | 2015–2016 | 0.9 | 13 | 0.148 ± 0.124 | 13 | 26.7 ± 11.1 | 13 | 0.62 ± 0.10 | ||
| Funaki et al. [5] | Dam | Ogaki | Forest | 2017–2018 | 2.4 | 4 | 0.011 ± 0.006 | 4 | 5.7 ± 1.7 | 4 | 0.208 ± 0.089 | |
| Igarashi et al. [22] | River | Abukuma | Forest | 2015 | 0.103 | 15 | 0.037 ± 0.015 | 15 | 7.7 ± 5.1 | 15 | 0.600 ± 0.246 | |
| Forest | 2018 | 0.103 | 26 | 0.025 ± 0.011 | 26 | 4.8 ± 2.8 | 26 | 0.602 ± 0.256 | ||||
| Disclaimer/Publisher’s Note: The statements, opinions and data contained in all publications are solely those of the individual author(s) and contributor(s) and not of MDPI and/or the editor(s). MDPI and/or the editor(s) disclaim responsibility for any injury to people or property resulting from any ideas, methods, instructions or products referred to in the content. | 
© 2023 by the authors. Licensee MDPI, Basel, Switzerland. This article is an open access article distributed under the terms and conditions of the Creative Commons Attribution (CC BY) license (https://creativecommons.org/licenses/by/4.0/).
Share and Cite
Kurosawa, H.; Wakiyama, Y.; Wada, T.; Nanba, K. Impact of Bottom-Sediment Removal on 137Cs Contamination in an Urban Pond. Land 2023, 12, 519. https://doi.org/10.3390/land12020519
Kurosawa H, Wakiyama Y, Wada T, Nanba K. Impact of Bottom-Sediment Removal on 137Cs Contamination in an Urban Pond. Land. 2023; 12(2):519. https://doi.org/10.3390/land12020519
Chicago/Turabian StyleKurosawa, Honoka, Yoshifumi Wakiyama, Toshihiro Wada, and Kenji Nanba. 2023. "Impact of Bottom-Sediment Removal on 137Cs Contamination in an Urban Pond" Land 12, no. 2: 519. https://doi.org/10.3390/land12020519
APA StyleKurosawa, H., Wakiyama, Y., Wada, T., & Nanba, K. (2023). Impact of Bottom-Sediment Removal on 137Cs Contamination in an Urban Pond. Land, 12(2), 519. https://doi.org/10.3390/land12020519
 
        



 
       