Optimization of Agricultural Resource Allocation among Crops: A Portfolio Model Analysis
Abstract
:1. Introduction
2. Data
2.1. The Study Area
2.2. The Survey
3. Theoretical Framework and Econometric Model
3.1. Resource Allocation Theory
3.2. Portfolio Model
4. Results
4.1. Optimization Analysis on Risk and Return
| Item | Huanhe | Changning | Ba | Quanshan | Hu | Minqin | |||||||||||||||||
|---|---|---|---|---|---|---|---|---|---|---|---|---|---|---|---|---|---|---|---|---|---|---|---|
| Actual | Min. Risk | Max. Return | Actual | Min. Risk | Max. Return | Actual | Min. Risk | Max. Return | Actual | Min. Risk | Max. Return | Actual | Min. Risk | Max. Return | Actual | Min. Risk | Max. Return | ||||||
| Risk and return per hectare in farmland analysis | |||||||||||||||||||||||
| Risk (×106) | 666.49 | 581.25 | 666.49 | 66.82 | 38.13 | 66.82 | 67.14 | 45.43 | 67.14 | 80.98 | 32.55 | 80.98 | 42.02 | 7.22 | 42.02 | 73.34 | 40.40 | 73.34 | |||||
| Difference on risk (×106) | -- | −85.24 | -- | -- | −28.68 | -- | -- | −21.71 | -- | -- | −48.43 | -- | -- | −34.80 | -- | -- | −32.94 | -- | |||||
| Return (×103 CNY) | 44.92 | 44.92 | 46.46 | 26.62 | 26.62 | 30.26 | 27.91 | 27.91 | 32.89 | 26.76 | 26.76 | 33.51 | 23.96 | 23.96 | 32.00 | 27.54 | 27.54 | 31.57 | |||||
| Difference on return (×103 CNY) | -- | -- | 1.54 | -- | -- | 3.64 | -- | -- | 4.99 | -- | -- | 6.75 | -- | -- | 8.04 | -- | -- | 4.03 | |||||
| Risk and return per cubic meter in water analysis | |||||||||||||||||||||||
| Risk | 8.34 | 4.06 | 8.34 | 1.81 | 0.77 | 1.81 | 1.73 | 1.12 | 1.73 | 2.30 | 0.92 | 2.30 | 2.16 | 0.51 | 2.16 | 1.77 | 1.08 | 1.77 | |||||
| Difference on risk | -- | −4.28 | -- | -- | −1.04 | -- | -- | −0.61 | -- | -- | −1.38 | -- | -- | −1.65 | -- | -- | −0.69 | -- | |||||
| Return (CNY) | 5.29 | 5.29 | 5.85 | 3.78 | 3.78 | 4.48 | 4.12 | 4.12 | 4.92 | 4.17 | 4.17 | 4.94 | 3.46 | 3.46 | 4.23 | 4.11 | 4.11 | 4.49 | |||||
| Difference on return (CNY) | -- | -- | 0.56 | -- | -- | 0.70 | -- | -- | 0.80 | -- | -- | 0.77 | -- | -- | 0.77 | -- | -- | 0.38 | |||||
| Risk and return per day in labor analysis | |||||||||||||||||||||||
| Risk (×103) | 29.00 | 13.65 | 29.00 | 19.12 | 7.61 | 19.12 | 9.23 | 5.34 | 9.23 | 17.43 | 4.65 | 17.43 | 3.99 | 1.38 | 3.99 | 10.29 | 5.37 | 10.29 | |||||
| Difference on risk (×103) | -- | −15.35 | -- | -- | −11.51 | -- | -- | −3.89 | -- | -- | −12.78 | -- | -- | −2.61 | -- | -- | −4.92 | -- | |||||
| Return (CNY) | 377.70 | 377.70 | 428.07 | 270.57 | 270.57 | 329.87 | 290.71 | 290.71 | 362.42 | 297.09 | 297.09 | 365.92 | 248.80 | 248.80 | 305.30 | 293.30 | 293.30 | 333.05 | |||||
| Difference on return (CNY) | -- | -- | 50.37 | -- | -- | 59.30 | -- | -- | 71.71 | -- | -- | 68.83 | -- | -- | 56.50 | -- | -- | 39.75 | |||||

4.2. The Optimal Resource Allocation Ratio
| Item | Huanhe | Changning | Ba | Quanshan | Hu | Minqin | |||||||||||||||||
|---|---|---|---|---|---|---|---|---|---|---|---|---|---|---|---|---|---|---|---|---|---|---|---|
| Actual | Min. Risk | Max. Return | Actual | Min. Risk | Max. Return | Actual | Min. Risk | Max. Return | Actual | Min. Risk | Max. Return | Actual | Min. Risk | Max. Return | Actual | Min. Risk | Max. Return | ||||||
| Planting ratio (%) | |||||||||||||||||||||||
| Wheat | 10.07 | 0.00 | 0.00 | 6.28 | 0.00 | 0.00 | 7.74 | 27.95 | 11.67 | 7.82 | 0.00 | 0.00 | 5.00 | 10.71 | 0.00 | 4.98 | 0.00 | 0.00 | |||||
| Maize | 34.26 | 47.86 | 44.05 | 27.23 | 66.03 | 51.00 | 26.34 | 24.86 | 28.84 | 24.39 | 36.10 | 32.30 | 11.27 | 3.77 | 0.00 | 18.64 | 32.17 | 27.22 | |||||
| Sunflower | -- | -- | -- | 10.16 | 0.00 | 0.00 | 26.32 | 3.38 | 4.53 | 17.68 | 0.21 | 0.00 | 24.89 | 2.82 | 0.00 | 17.04 | 1.01 | 0.00 | |||||
| Cucurbit | -- | 0.00 | 0.00 | 13.10 | 1.56 | 0.48 | -- | -- | -- | 10.73 | 6.08 | 0.19 | 10.71 | 10.59 | 0.00 | 12.65 | 10.51 | 5.38 | |||||
| Melon | -- | -- | -- | 28.12 | 14.34 | 21.13 | 26.32 | 27.50 | 34.21 | 12.18 | 27.56 | 54.25 | 24.98 | 0.82 | 32.00 | 16.44 | 27.09 | 41.13 | |||||
| Chili | 55.67 | 52.14 | 55.95 | 15.11 | 18.07 | 27.04 | 13.28 | 16.31 | 20.50 | 14.01 | 3.63 | 9.02 | -- | -- | -- | 15.28 | 5.43 | 8.77 | |||||
| Fennel | -- | -- | -- | -- | -- | -- | -- | -- | -- | 13.19 | 26.42 | 4.25 | 23.15 | 66.79 | 68.00 | 14.97 | 23.80 | 17.51 | |||||
| Water allocation ratio (%) | |||||||||||||||||||||||
| Wheat | 26.52 | 0.00 | 0.00 | 14.82 | 0.00 | 0.00 | 18.63 | 29.29 | 11.56 | 13.88 | 0.00 | 0.00 | 17.58 | 14.01 | 0.00 | 13.34 | 0.00 | 0.00 | |||||
| Maize | 32.69 | 70.92 | 57.68 | 16.90 | 72.39 | 48.97 | 19.79 | 16.69 | 19.34 | 14.46 | 21.27 | 0.00 | 15.76 | 9.23 | 0.00 | 14.51 | 29.71 | 22.74 | |||||
| Sunflower | -- | -- | -- | 12.90 | 0.00 | 0.00 | 15.34 | 3.19 | 3.83 | 12.36 | 3.75 | 0.00 | 13.59 | 7.89 | 0.00 | 11.57 | 9.53 | 0.35 | |||||
| Cucurbit | -- | -- | -- | 16.22 | 0.53 | 0.00 | -- | -- | -- | 13.14 | 3.82 | 1.05 | 16.02 | 10.34 | 21.03 | 13.62 | 9.19 | 7.72 | |||||
| Melon | -- | -- | -- | 20.40 | 12.22 | 21.06 | 24.14 | 17.58 | 21.76 | 18.95 | 43.68 | 67.67 | 23.29 | 0.00 | 26.94 | 19.28 | 22.93 | 31.27 | |||||
| Chili | 41.78 | 29.08 | 42.32 | 18.77 | 14.85 | 29.97 | 22.10 | 33.25 | 42.50 | 14.97 | 5.63 | 15.23 | -- | -- | -- | 16.19 | 8.39 | 12.96 | |||||
| Fennel | -- | -- | -- | -- | -- | -- | -- | -- | -- | 12.23 | 21.84 | 16.05 | 13.77 | 58.82 | 52.03 | 11.84 | 20.25 | 24.96 | |||||
| Labor allocation ratio (%) | |||||||||||||||||||||||
| Wheat | 31.27 | 0.00 | 23.78 | 14.97 | 0.00 | 0.00 | 17.53 | 21.90 | 0.00 | 13.99 | 0.00 | 0.00 | 15.10 | 15.35 | 0.00 | 13.31 | 0.00 | 0.00 | |||||
| Maize | 31.74 | 76.12 | 63.33 | 16.48 | 63.11 | 31.19 | 18.03 | 23.93 | 26.78 | 13.87 | 28.80 | 13.14 | 16.14 | 4.53 | 0.00 | 13.75 | 28.29 | 14.84 | |||||
| Sunflower | -- | -- | -- | 14.66 | 0.00 | 0.00 | 16.83 | 7.39 | 7.04 | 13.47 | 0.00 | 0.00 | 15.94 | 0.00 | 0.00 | 13.17 | 0.00 | 0.00 | |||||
| Cucurbit | -- | -- | -- | 14.54 | 4.06 | 5.64 | -- | -- | -- | 12.62 | 3.84 | 2.28 | 15.69 | 4.19 | 12.29 | 12.75 | 8.48 | 7.41 | |||||
| Melon | -- | -- | -- | 17.80 | 25.49 | 47.34 | 23.04 | 38.81 | 54.06 | 12.74 | 30.44 | 69.85 | 22.58 | 6.02 | 33.25 | 16.55 | 22.42 | 35.65 | |||||
| Chili | 36.98 | 23.88 | 36.67 | 21.56 | 7.35 | 15.83 | 24.58 | 7.97 | 12.12 | 20.29 | 3.73 | 14.73 | -- | -- | -- | 18.27 | 6.69 | 13.80 | |||||
| Fennel | -- | -- | -- | -- | -- | -- | -- | -- | -- | 13.01 | 33.19 | 0.00 | 14.55 | 69.87 | 54.46 | 12.21 | 28.12 | 28.30 | |||||
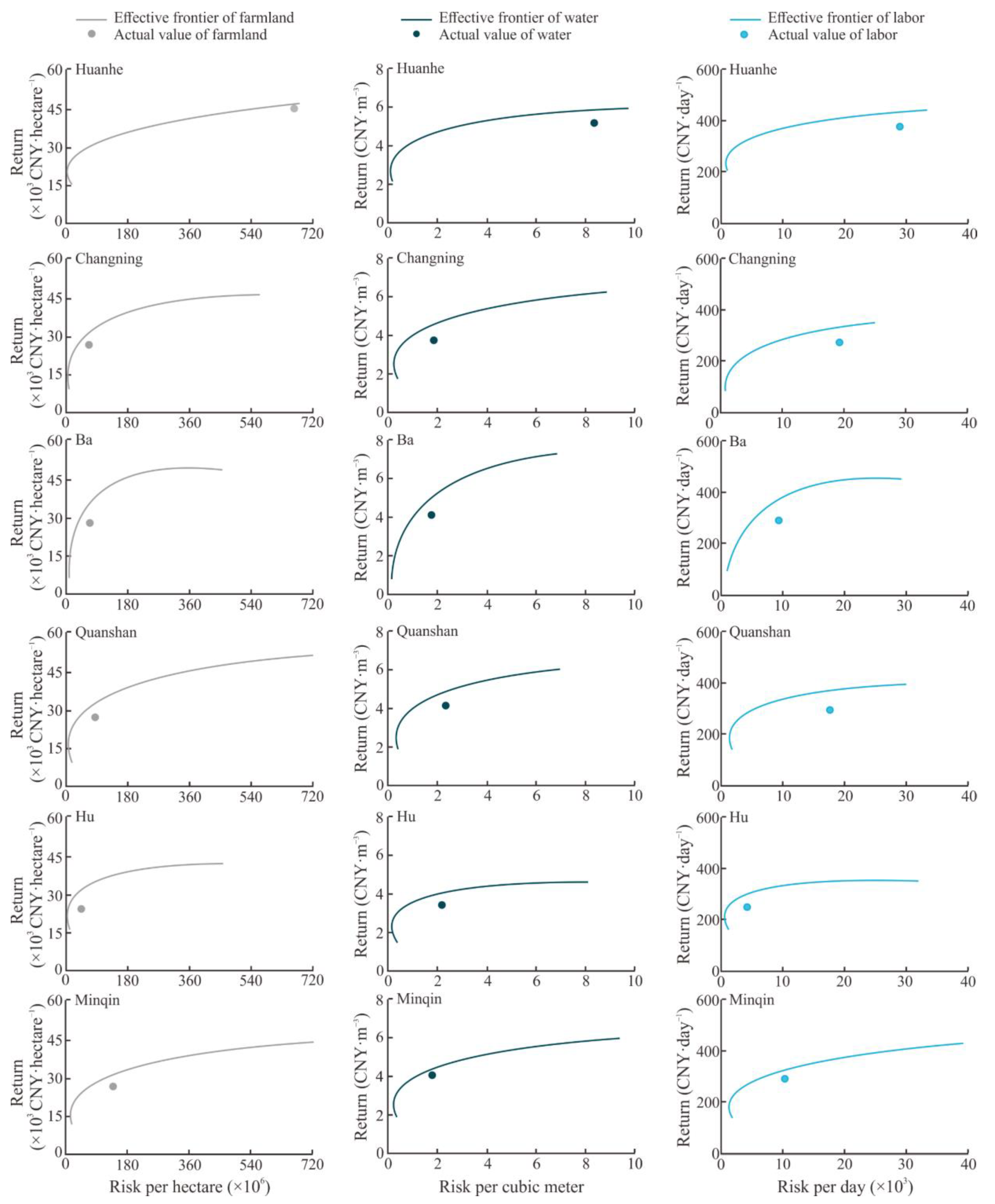
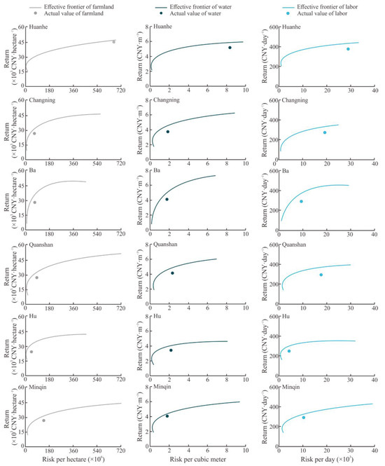
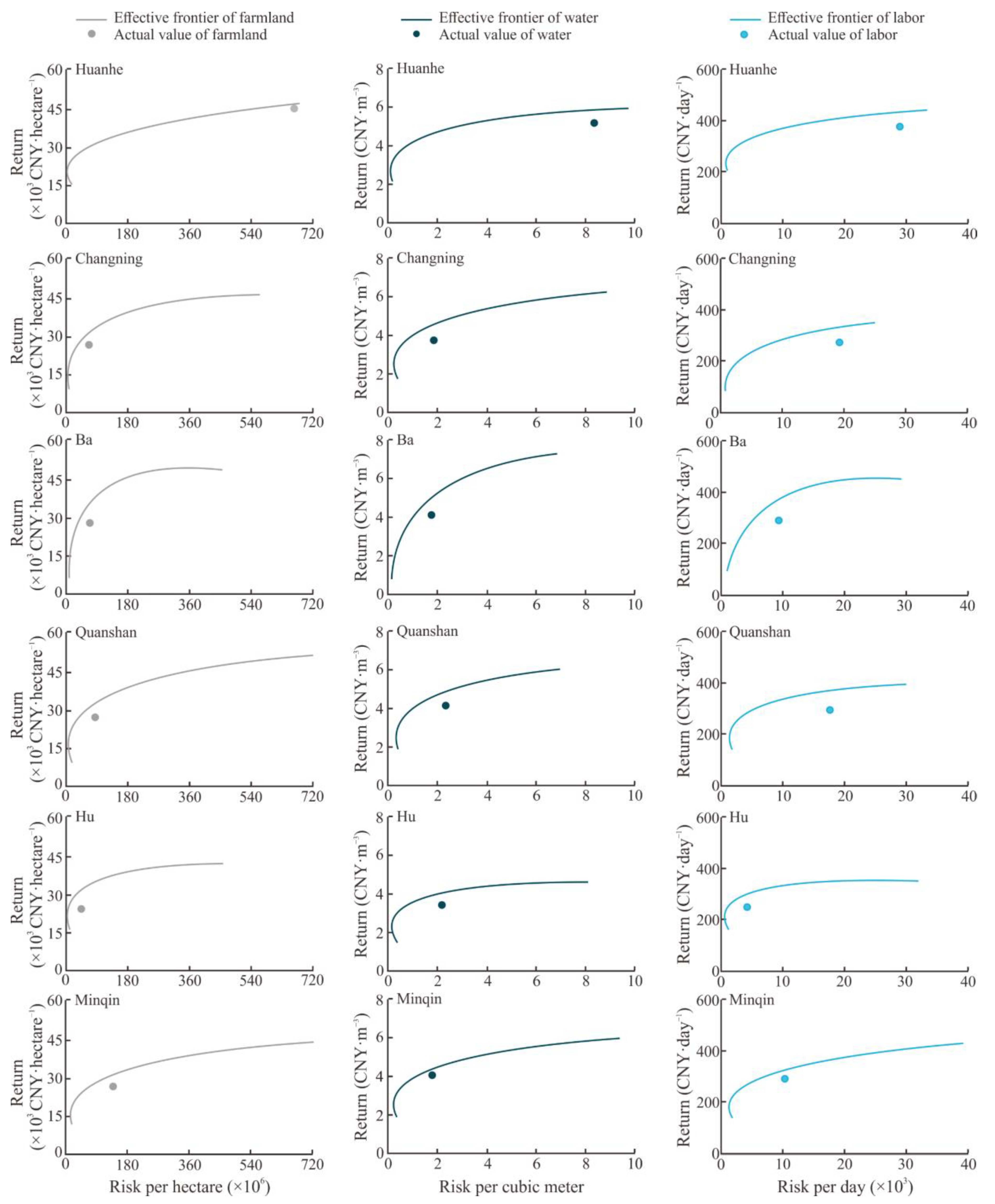
4.3. Return–Risk Effective Frontier

4.4. Resource Use Efficiency
5. Discussion
6. Conclusions
Author Contributions
Funding
Data Availability Statement
Acknowledgments
Conflicts of Interest
References
- Godfray, H.C.; Beddington, J.R.; Crute, I.R.; Haddad, L.; Lawrence, D.; Muir, J.F.; Pretty, J.; Robinson, S.; Thomas, S.M.; Toulmin, C. Food security: The challenge of feeding 9 billion people. Science 2010, 327, 812–818. [Google Scholar] [CrossRef] [PubMed]
- Liu, H.; Soares-Filho, B.S.; Leite-Filho, A.T.; Zhang, S.; Du, J.; Yi, Y. How to balance land demand conflicts to guarantee sustainable land development. iScience 2023, 26, 106641. [Google Scholar] [CrossRef] [PubMed]
- Amundson, R.; Berhe, A.A.; Hopmans, J.W.; Olson, C.; Sztein, A.E.; Sparks, D.L. Soil and human security in the 21st century. Science 2015, 348, 1261071. [Google Scholar] [CrossRef] [PubMed]
- Xie, H.; Zhang, Y.; Wu, Z.; Lv, T. A bibliometric analysis on land degradation: Current status, development, and future directions. Land 2020, 9, 28. [Google Scholar] [CrossRef]
- Chen, W. China’s arable land wasting problem. China Agric. Econ. Rev. 2021, 13, 521–527. [Google Scholar] [CrossRef]
- Harmel, R.D.; Chaubey, I.; Ale, S.; Nejadhashemi, A.P.; Irmak, S.; DeJonge, K.C.; Evett, S.R.; Barnes, E.M.; Catley-Carlson, M.; Hunt, S.; et al. Perspectives on global water security. Trans. ASABE 2020, 63, 69–80. [Google Scholar] [CrossRef]
- Meng, X.; Wu, L. Prediction of per capita water consumption for 31 regions in China. Environ. Sci. Pollut. Res. 2021, 28, 29253–29264. [Google Scholar] [CrossRef]
- Yue, Q.; Zhang, F.; Guo, P. Optimization-based agricultural water-saving potential analysis in Minqin county, Gansu Province, China. Water 2018, 10, 1125. [Google Scholar] [CrossRef]
- Ale, S.; Harmel, R.D.; Nejadhashemi, A.P.; DeJonge, K.C.; Irmak, S.; Chaubey, I.; Douglas-Mankin, K.R. Global water security: Current research and priorities for action. Trans. ASABE 2020, 63, 49–55. [Google Scholar] [CrossRef]
- Otsuka, K.; Liu, Y.; Yamauchi, F. Growing advantage of large farms in Asia and its implications for global food security. Glob. Food Secur. 2016, 11, 5–10. [Google Scholar] [CrossRef]
- Lu, H.; Xie, H.; Yao, G. Impact of land fragmentation on marginal productivity of agricultural labor and non-agricultural labor supply: A case study of Jiangsu, China. Habitat Int. 2019, 83, 65–72. [Google Scholar] [CrossRef]
- Hill, A.E.; Ornelas, I.; Taylor, J.E. Agricultural labor supply. Annu. Rev. Resour. Econ. 2021, 13, 39–64. [Google Scholar] [CrossRef]
- Zhang, S.; Song, X.; Wan, J.; Liu, Y.; Deng, W. The features of rural labor transfer and cultural differences: Evidence from China’s southwest mountainous areas. Sustainability 2019, 11, 1522. [Google Scholar] [CrossRef]
- Kuiper, M.; Shutes, L.; van Meijl, H.; Oudendag, D.; Tabeau, A. Labor supply assumptions—A missing link in food security projections. Glob. Food Secur. 2020, 25, 100328. [Google Scholar] [CrossRef]
- Zhang, F.; Guo, S.; Liu, X.; Wang, Y.; Engel, B.A.; Guo, P. Towards sustainable water management in an arid agricultural region: A multi-level multi-objective stochastic approach. Agric. Syst. 2020, 182, 102848. [Google Scholar] [CrossRef]
- Tarolli, P.; Zhao, W. Drought in agriculture: Preservation, adaptation, migration. Innov. Geosci. 2023, 1, 100002. [Google Scholar] [CrossRef]
- Benin, S.; Ahmed, M.; Pender, J.; Ehui, S. Development of land rental markets and agricultural productivity growth: The case of northern Ethiopia. J. Afr. Econ. 2005, 14, 21–54. [Google Scholar] [CrossRef]
- Pašakarnis, G.; Maliene, V. Towards sustainable rural development in Central and Eastern Europe: Applying land consolidation. Land Use Policy 2010, 27, 545–549. [Google Scholar] [CrossRef]
- Jin, S.; Jayne, T.S. Land rental markets in Kenya: Implications for efficiency, equity, household income, and poverty. Land Econ. 2013, 89, 246. [Google Scholar] [CrossRef]
- Liu, Y.; Wang, C.; Tang, Z.; Nan, Z. Will farmland transfer reduce grain acreage? Evidence from Gansu province, China. China Agric. Econ. Rev. 2018, 10, 277–292. [Google Scholar] [CrossRef]
- Xu, H.; Yang, R.; Song, J. Agricultural water use efficiency and rebound effect: A study for China. Int. J. Environ. Res. Public Health 2021, 18, 7151. [Google Scholar] [CrossRef] [PubMed]
- Misquitta, K.; Birkenholtz, T. Drip irrigation as a socio-technical configuration: Policy design and technological choice in Western India. Water Int. 2021, 46, 112–129. [Google Scholar] [CrossRef]
- Langarudi, S.P.; Maxwell, C.M.; Fernald, A.G. Integrated policy solutions for water scarcity in agricultural communities of the American Southwest. Systems 2021, 9, 26. [Google Scholar] [CrossRef]
- Yang, M.; Li, M.; Luo, X. 50 years of agricultural mechanization in China. Ama-Agric. Mech. Asia Afr. Lat. Am. 2020, 51, 86–92. [Google Scholar]
- Lu, H.W.; Huang, G.H.; Zhang, Y.M.; He, L. Strategic agricultural land-use planning in response to water-supplier variation in a China’s rural region. Agric. Syst. 2012, 108, 19–28. [Google Scholar] [CrossRef]
- Palash, M.S.; Bauer, S. Diversification of farmland use in Bangladesh: Land allocation impacts on farm profitability. Open Agric. 2017, 2, 175–188. [Google Scholar] [CrossRef]
- Gui, Z.; Li, M.; Guo, P. Simulation-based inexact fuzzy semi-infinite programming method for agricultural cultivated area planning in the Shiyang river basin. J. Irrig. Drain. Eng. 2017, 143, 05016011. [Google Scholar] [CrossRef]
- Zhang, D.; Guo, P. Integrated agriculture water management optimization model for water saving potential analysis. Agric. Water Manag. 2016, 170, 5–19. [Google Scholar] [CrossRef]
- Fan, Y.; Wang, C.; Nan, Z. Comparative evaluation of crop water use efficiency, economic analysis and net household profit simulation in arid Northwest China. Agric. Water Manag. 2014, 146, 335–345. [Google Scholar] [CrossRef]
- Balezentis, T.; Li, T.X.; Chen, X. Has agricultural labor restructuring improved agricultural labor productivity in China? A decomposition approach. Socio-Econ. Plan. Sci. 2021, 76, 100967. [Google Scholar] [CrossRef]
- Ge, D.; Long, H.; Zhang, Y.; Tu, S. Analysis of the coupled relationship between grain yields and agricultural labor changes in China. J. Geogr. Sci. 2018, 28, 93–108. [Google Scholar] [CrossRef]
- Kumbhakar, S.C.; Tsionas, E.G. Estimation of production risk and risk preference function: A nonparametric approach. Ann. Oper. Res. 2010, 176, 369–378. [Google Scholar] [CrossRef]
- Li, Z.; Rejesus, R.M.; Zheng, X. Nonparametric estimation and inference of production risk. Am. J. Agric. Econ. 2021, 103, 1857–1877. [Google Scholar] [CrossRef]
- Collins, R.A.; Barry, P.J. Risk analysis with single–index portfolio models: An application to farm planning. Am. J. Agric. Econ. 1986, 68, 152–161. [Google Scholar] [CrossRef]
- Lowenberg-DeBoer, J.; López-Pereira, M.A. Risk assessment for herbaceous biomass crops: The case of perennial grasses. Biomass 1990, 23, 263–274. [Google Scholar] [CrossRef]
- Rădulescu, M.; Rădulescu, C.Z.; Zbăganu, G. A portfolio theory approach to crop planning under environmental constraints. Ann. Oper. Res. 2011, 219, 243–264. [Google Scholar] [CrossRef]
- Yang, H.; Du, T.; Qiu, R.; Chen, J.; Wang, F.; Li, Y.; Wang, C.; Gao, L.; Kang, S. Improved water use efficiency and fruit quality of greenhouse crops under regulated deficit irrigation in northwest China. Agric. Water Manag. 2017, 179, 193–204. [Google Scholar] [CrossRef]
- Ren, X.; Yin, Q.; Zhang, H. Comprehensive water resource management strategies in arid oasis regions: Taking Minqin county as an example. In Proceedings of the IOP Conference Series: Earth and Environmental Science, International Conference on Green Development and Environmental Science and Technology (ICGDE), Changsha, China, 18–20 September 2020. [Google Scholar]
- Kang, S.; Su, X.; Tong, L.; Shi, P.; Yang, X.; Abe, Y.; Du, T.; Shen, Q.; Zhang, J. The impacts of human activities on the water–land environment of the Shiyang river basin, an arid region in northwest China. Hydrol. Sci. J. 2009, 49, 413–427. [Google Scholar]
- Xue, X.; Liao, J.; Hsing, Y.; Huang, C.; Liu, F. Policies, land use, and water resource management in an arid oasis ecosystem. Environ. Manag. 2015, 55, 1036–1051. [Google Scholar] [CrossRef]
- Tan, Q.; Zhang, S.; Li, R. Optimal use of agricultural water and land resources through reconfiguring crop planting structure under socioeconomic and ecological objectives. Water 2017, 9, 488. [Google Scholar] [CrossRef]
- Minqin County Government. Available online: http://www.minqin.gov.cn/art/2023/4/28/art_29130_1126312.html (accessed on 1 September 2023).
- Lence, S.H.; Hart, C. Index models and land allocation reconsidered. Can. J. Agric. Econ./Rev. Can. D’Agroeconomie 1997, 45, 267–284. [Google Scholar] [CrossRef]
- Nalley, L.L.; Barkley, A.P. Using portfolio theory to enhance wheat yield stability in low-income nations: An application in the Yaqui Valley of northwestern Mexico. J. Agric. Resour. Econ. 2010, 35, 334–347. [Google Scholar]
- Markowitz, H.M. Portfolio selection. J. Financ. 1952, 7, 71–91. [Google Scholar]
- Ullah, R.; Shivakoti, G.P.; Ali, G. Factors effecting farmers’ risk attitude and risk perceptions: The case of Khyber Pakhtunkhwa, Pakistan. Int. J. Disaster Risk Reduct. 2015, 13, 151–157. [Google Scholar] [CrossRef]
- Fullbrook, D. Food as security. Food Secur. 2010, 2, 5–20. [Google Scholar] [CrossRef]
- Li, M.; Xu, W.; Zhu, T. Agricultural water allocation under uncertainty: Redistribution of water shortage risk. Am. J. Agric. Econ. 2019, 101, 134–153. [Google Scholar] [CrossRef]
- Yin, Z.; Zhou, B.; Duan, M.; Chen, H.; Wang, H. Climate extremes become increasingly fierce in China. Innov. 2023, 4, 100406. [Google Scholar] [CrossRef]
- Wu, J.; Huang, R.; Fang, T.; Han, Y. Multi-objective model of irrigation water distribution based on particle swarm optimization. In Proceedings of the IOP Conference Series: Earth and Environmental Science, 5th International Conference on Water Resource and Environment (WRE), Macao, China, 16–19 June 2019. [Google Scholar]
- Nalley, L.L.; Barkley, A.; Watkins, B.; Hignight, J. Enhancing farm profitability through portfolio analysis: The case of spatial rice variety selection. J. Agric. Appl. Econ. 2015, 41, 641–652. [Google Scholar] [CrossRef]
- Troost, C.; Berger, T. Dealing with uncertainty in agent-based simulation: Farm-level modeling of adaptation to climate change in southwest Germany. Am. J. Agric. Econ. 2015, 97, 833–854. [Google Scholar] [CrossRef]
- Wu, C.; Cai, Y.; Hu, B.; Wang, J. Classification and evaluation of uncertain influence factors for farm machinery service. Int. J. Agric. Biol. Eng. 2017, 10, 164–174. [Google Scholar]
- Castro, L.M.; Calvas, B.; Knoke, T. Ecuadorian banana farms should consider organic banana with low price risks in their land-use portfolios. PLoS ONE 2015, 10, e0120384. [Google Scholar] [CrossRef] [PubMed]
- Ciampi, L.; Plumpton, H.J.; Osbahr, H.; Cornforth, R.J.; Petty, C. Building resilience through improving groundwater management for sustainable agricultural intensification in African Sahel. CABI Agric. Biosci. 2022, 3, 63. [Google Scholar] [CrossRef]
- Robinson, J. Squaring the circle? Some thoughts on the idea of sustainable development. Ecol. Econ. 2004, 48, 369–384. [Google Scholar] [CrossRef]
- Nazari, B.; Liaghat, A.; Akbari, M.R.; Keshavarz, M. Irrigation water management in Iran: Implications for water use efficiency improvement. Agric. Water Manag. 2018, 208, 7–18. [Google Scholar] [CrossRef]
- Liu, L.; Liu, B.; Song, W.; Yu, H. The Relationship between Rural Sustainability and Land Use: A Bibliometric Review. Land 2023, 12, 1617. [Google Scholar] [CrossRef]
- Yi, F.; Sun, D.; Zhou, Y. Grain subsidy, liquidity constraints and food security—Impact of the grain subsidy program on the grain-sown areas in China. Food Policy 2015, 50, 114–124. [Google Scholar] [CrossRef]
- Qian, J.; Ito, S.; Mu, Y.; Zhao, Z.; Wang, X. The role of subsidy policies in achieving grain self-sufficiency in China: A partial equilibrium approach. Agric. Econ. 2018, 64, 23–35. [Google Scholar] [CrossRef]
- Zheng, X.; Liu, W.; Xu, Z.; Ying, R.; Ye, C. Restructuring grain production in China: Regional heterogeneity and its causality. China Agric. Econ. Rev. 2018, 10, 647–665. [Google Scholar] [CrossRef]
- Chen, M.; Heerink, N.; Zhu, X.; Feng, S. Do small and equally distributed farm sizes imply large resource misallocation? Evidence from wheat-maize double-cropping in the North China Plain. Food Policy 2022, 112, 102350. [Google Scholar] [CrossRef]



| Year | Huanhe | Changning | Ba | Quanshan | Hu | Minqin |
|---|---|---|---|---|---|---|
| 2021 | 0 | 0 | 110 | 29 | 11 | 150 |
| 2022 | 150 | 118 | 153 | 159 | 153 | 733 |
| 2023 | 153 | 150 | 161 | 153 | 150 | 767 |
| Total | 303 | 268 | 424 | 341 | 314 | 1650 |
| Crop | Area (Hectare) | Households | |||||||||||
|---|---|---|---|---|---|---|---|---|---|---|---|---|---|
| Huanhe | Changning | Ba | Quanshan | Hu | Minqin | Huanhe | Changning | Ba | Quanshan | Hu | Minqin | ||
| Wheat | 26.71 | 38.12 | 54.34 | 49.81 | 5.13 | 174.11 | 84 | 69 | 198 | 205 | 22 | 578 | |
| Maize | 224.91 | 586.68 | 318.57 | 239.42 | 104.70 | 1474.29 | 206 | 245 | 341 | 316 | 199 | 1307 | |
| Sunflower | 0.00 | 17.87 | 21.47 | 13.73 | 149.83 | 202.90 | 0 | 20 | 23 | 25 | 129 | 197 | |
| Cucurbit | 0.22 | 46.07 | 9.13 | 12.00 | 6.00 | 73.42 | 4 | 40 | 4 | 36 | 12 | 96 | |
| Chili | 43.93 | 19.93 | 11.77 | 13.93 | 0.73 | 90.30 | 25 | 15 | 25 | 32 | 2 | 99 | |
| Fennel | 0.00 | 0.00 | 1.07 | 18.03 | 133.93 | 153.03 | 0 | 0 | 2 | 44 | 124 | 170 | |
| Melon | 0.13 | 24.73 | 5.60 | 18.91 | 110.72 | 160.10 | 1 | 10 | 6 | 50 | 95 | 162 | |
| Alfalfa | 0.00 | 9.20 | 0.00 | 0.13 | 2.60 | 11.93 | 0 | 7 | 0 | 1 | 7 | 15 | |
| Ginseng fruit | 0.36 | 0.27 | 1.51 | 1.21 | 0.00 | 3.35 | 3 | 2 | 9 | 8 | 0 | 22 | |
| Tomato | 0.27 | 0.00 | 0.47 | 0.10 | 0.00 | 0.83 | 2 | 0 | 1 | 1 | 0 | 4 | |
| Potato | 0.00 | 0.87 | 0.33 | 0.00 | 0.00 | 1.20 | 0 | 2 | 1 | 0 | 0 | 3 | |
| Cucumber | 0.03 | 0.00 | 0.00 | 0.00 | 0.20 | 0.23 | 1 | 0 | 0 | 0 | 1 | 2 | |
| Pumpkin | 0.00 | 1.20 | 0.00 | 1.60 | 0.00 | 2.80 | 0 | 3 | 0 | 3 | 0 | 6 | |
| Grape | 0.00 | 0.00 | 0.00 | 0.07 | 0.00 | 0.07 | 0 | 0 | 0 | 1 | 0 | 1 | |
| Yam | 0.00 | 0.00 | 0.00 | 0.00 | 3.00 | 3.00 | 0 | 0 | 0 | 0 | 1 | 1 | |
| Chives | 0.60 | 10.00 | 0.00 | 0.00 | 0.00 | 10.60 | 1 | 2 | 0 | 0 | 0 | 3 | |
| Bean | 0.00 | 1.33 | 0.00 | 0.00 | 0.00 | 1.33 | 0 | 1 | 0 | 0 | 0 | 1 | |
| Eggplant | 0.07 | 0.00 | 0.00 | 0.00 | 0.00 | 0.07 | 1 | 0 | 0 | 0 | 0 | 1 | |
| Crop | Farmland (CNY·hectare−1) | Water (CNY·m−3) | Labor (CNY·day−1) | |||||||||||
|---|---|---|---|---|---|---|---|---|---|---|---|---|---|---|
| Min | Max | Mean | SD | Min | Max | Mean | SD | Min | Max | Mean | SD | |||
| Wheat | −7626.75 | 36,738.00 | 7801.16 | 4547.12 | −1.42 | 5.83 | 1.32 | 0.80 | −76.33 | 414.30 | 93.84 | 57.91 | ||
| Maize | −10,314.00 | 46,733.70 | 20,622.76 | 6677.16 | −1.40 | 14.16 | 3.30 | 1.35 | −137.52 | 623.13 | 241.09 | 93.59 | ||
| Sunflower | −8721.45 | 32,513.40 | 14,938.96 | 6875.56 | −1.21 | 7.75 | 3.01 | 1.60 | −96.91 | 428.02 | 182.75 | 92.95 | ||
| Cucurbit | −9117.90 | 53,333.70 | 19,282.30 | 10,652.44 | −1.32 | 11.75 | 3.41 | 2.31 | −60.79 | 1185.19 | 264.42 | 192.51 | ||
| Chili | −4836.90 | 271,607.10 | 57,137.77 | 45,389.30 | −0.70 | 39.36 | 7.95 | 6.55 | −46.07 | 2586.73 | 535.17 | 430.02 | ||
| Fennel | 4192.80 | 50,377.20 | 20,543.06 | 8620.16 | 0.80 | 9.57 | 3.92 | 1.78 | 39.93 | 708.32 | 268.54 | 124.31 | ||
| Melon | −6261.90 | 107,194.50 | 39,640.27 | 18,475.09 | −0.46 | 15.83 | 4.66 | 2.43 | −46.38 | 1048.86 | 358.57 | 189.13 | ||
Disclaimer/Publisher’s Note: The statements, opinions and data contained in all publications are solely those of the individual author(s) and contributor(s) and not of MDPI and/or the editor(s). MDPI and/or the editor(s) disclaim responsibility for any injury to people or property resulting from any ideas, methods, instructions or products referred to in the content. |
© 2023 by the authors. Licensee MDPI, Basel, Switzerland. This article is an open access article distributed under the terms and conditions of the Creative Commons Attribution (CC BY) license (https://creativecommons.org/licenses/by/4.0/).
Share and Cite
Miao, B.-L.; Liu, Y.; Fan, Y.-B.; Niu, X.-J.; Jiang, X.-Y.; Tang, Z. Optimization of Agricultural Resource Allocation among Crops: A Portfolio Model Analysis. Land 2023, 12, 1901. https://doi.org/10.3390/land12101901
Miao B-L, Liu Y, Fan Y-B, Niu X-J, Jiang X-Y, Tang Z. Optimization of Agricultural Resource Allocation among Crops: A Portfolio Model Analysis. Land. 2023; 12(10):1901. https://doi.org/10.3390/land12101901
Chicago/Turabian StyleMiao, Bao-Li, Ying Liu, Yu-Bing Fan, Xue-Jiao Niu, Xiu-Yun Jiang, and Zeng Tang. 2023. "Optimization of Agricultural Resource Allocation among Crops: A Portfolio Model Analysis" Land 12, no. 10: 1901. https://doi.org/10.3390/land12101901
APA StyleMiao, B.-L., Liu, Y., Fan, Y.-B., Niu, X.-J., Jiang, X.-Y., & Tang, Z. (2023). Optimization of Agricultural Resource Allocation among Crops: A Portfolio Model Analysis. Land, 12(10), 1901. https://doi.org/10.3390/land12101901

