Integrated Risk Assessment of Agricultural Drought Disasters in the Major Grain-Producing Areas of Jilin Province, China
Abstract
1. Introduction
2. Materials and Methods
2.1. Study Area
2.2. Data Sources and Indicator Selection
2.2.1. Disaster-Causing Hazard
2.2.2. Vulnerability of Hazard-Bearing Body
2.2.3. Sensitivity of Disaster-Pregnant Environment
2.2.4. Stability of Disaster Mitigation Capacity
2.3. Research Method
2.3.1. Fuzzy Risk Assessment Model
2.3.2. Sen + M-K Trend Analysis
3. Results and Discussion
3.1. Drought Hazard Assessment
3.1.1. Interannual Variation Characteristics of SPEI Index
3.1.2. Spatial Variation Characteristics of Drought at Different Time Scales
3.2. Vulnerability Assessment of Agricultural Disaster-Bearing Bodies
3.3. Sensitivity Assessment of Agricultural Disaster-Pregnant Environment
3.4. Stability Assessment of Disaster Reduction Capacity
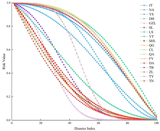
3.5. Integrated Risk Assessment of Agricultural Drought
4. Suggestions on Sustainable Development of Regional Agriculture from the Perspective of Drought
4.1. Improving Disaster Risk Perception and Strengthening Drought Monitoring Systems
4.2. Formulating Drought Resistance System and Strengthening Whole Process Risk Management
4.3. Optimizing Integrated Management Model and Establishing Drought Risk Responsibility Mechanism
4.4. Improving the Modernization Level of Drought Resistance and Strengthening Drought Infrastructure Construction
5. Conclusions
- (1)
- Over the previous 66 years, the study area has demonstrated a trend of slow transition from wet to dry to wet, with occasional severe droughts, and an overall declining trend at a rate of −0.089. (10a)−1. Except for Qianan, all other places showed significant characteristics, and the areas with high risk of regional drought hazards were mainly concentrated in Qianan and Yitong, with high frequencies and high intensities of drought. Yushu, Dehui, and Lishu are agricultural disaster-prone areas because of their high susceptibility, which is characterized by their high exposure and short repetition time of disaster occurrence. Drought damage losses are more severe than losses in other areas when calamities strike. The majority of Tongyu, the eastern portion of Qianguo, and the area close to the Yishu Graben were among the regions in the study area where 14.17% of the regional disaster-bearing environments were medium-high or highly sensitive, and where all the indicators of disaster-pregnant environments were at medium-level or above. All indicators in Yushu and Nongan are at a medium-level or above, indicating that the two areas have a high degree of capacity for integrated disaster mitigation. In terms of readiness, response, and relief for disasters, the western portion of the research area’s overall disaster reduction capability is typically inadequate and urgently requires development.
- (2)
- The integrated risk of drought in the primary grain-producing areas of Jilin Province exhibits regional clustering, and the overall risk level has some relationship spatially with the regional geological tectonic units, with the high-risk level concentrated in the central area of Song Liao Basin and close to the geological structure of Yishu Graben and the low risk level concentrated in the marginal area of Song Liao Basin. In Tongyu, Daan, and northeastern Jiutai, the integrated risk level of agricultural drought is high. Because drought has a significant impact on regional agricultural production, prevention of regional integrated agricultural risk should be a top priority, as should the subsequent drought risk warning and drought supply deployment.
- (3)
- High-risk regions with grid-level refinement are selected based on the findings of the regional integrated agricultural drought risk assessment. In order to give more precise instructions to the relevant departments for the scientific formulation of drought mitigation policies and plans, a regional integrated agricultural drought risk prevention model is established, and suggestions for the sustainable development of regional agriculture are put forward in four aspects: monitoring and early warning, institutional systems, management model, and modernization construction.
Author Contributions
Funding
Data Availability Statement
Acknowledgments
Conflicts of Interest
References
- Jat, R.K.; Meena, V.S.; Kumar, M.; Jakkula, V.S.; Reddy, I.R.; Pandey, A.C. Direct Seeded Rice: Strategies to Improve Crop Resilience and Food Security under Adverse Climatic Conditions. Land 2022, 11, 382. [Google Scholar] [CrossRef]
- Tong, M.; Dai, E.; Wu, C. Hotspots of Yield Loss for Four Crops of the Belt and Road Terrestrial Countries under 1.5 °C Global Warming. Land 2022, 11, 163. [Google Scholar] [CrossRef]
- Naidoo, S. Commentary on the contribution of Working Group III to the Sixth Assessment Report of the Intergovernmental Panel on Climate Change. S. Afr. J. Sci. 2022, 118, 1–4. [Google Scholar] [CrossRef] [PubMed]
- Mukherjee, S.; Mishra, A.; Trenberth, K.E. Climate Change and Drought: A Perspective on Drought Indices. Curr. Clim. Change Rep. 2018, 4, 145–163. [Google Scholar] [CrossRef]
- Villani, L.; Castelli, G.; Piemontese, L.; Penna, D.; Bresci, E. Drought risk assessment in Mediterranean agricultural watersheds: A case study in Central Italy. Agric. Water Manag. 2022, 271, 107748. [Google Scholar] [CrossRef]
- Liu, Y.; You, M.; Zhu, J.; Wang, F.; Ran, R. Integrated risk assessment for agricultural drought and flood disasters based on entropy information diffusion theory in the middle and lower reaches of the Yangtze River, China. Int. J. Disaster Risk Reduct. 2019, 38, 101194. [Google Scholar] [CrossRef]
- Zou, T.; Chang, Y.; Chen, P.; Liu, J. Spatial-temporal variations of ecological vulnerability in Jilin Province (China), 2000 to 2018. Ecol. Indic. 2021, 133, 108429. [Google Scholar] [CrossRef]
- Li, X.; Li, Y.; Wang, B.; Sun, Y.; Cui, G.; Liang, Z. Analysis of spatial-temporal variation of the saline-sodic soil in the west of Jilin Province from 1989 to 2019 and influencing factors. Catena 2022, 217, 106492. [Google Scholar] [CrossRef]
- Zhang, J.; Wang, J.; Chen, S.; Tang, S.; Zhao, W. Multi-Hazard Meteorological Disaster Risk Assessment for Agriculture Based on Historical Disaster Data in Jilin Province, China. Sustainability 2022, 14, 7482. [Google Scholar] [CrossRef]
- Li, Q.; Willardson, L.S.; Deng, W.; Li, X.; Liu, C. Crop water deficit estimation and irrigation scheduling in western Jilin province, Northeast China. Agric. Water Manag. 2005, 71, 47–60. [Google Scholar] [CrossRef]
- Ma, Y.; Guga, S.; Xu, J.; Liu, X.; Tong, Z.; Zhang, J. Evaluation of Drought Vulnerability of Maize and Influencing Factors in Songliao Plain Based on the SE-DEA-Tobit Model. Remote Sens. 2022, 14, 3711. [Google Scholar] [CrossRef]
- Ma, Y.; Zhang, J.; Zhao, C.; Li, K.; Dong, S.; Liu, X.; Tong, Z. Spatiotemporal Variation of Water Supply and Demand Balance under Drought Risk and Its Relationship with Maize Yield: A Case Study in Midwestern Jilin Province, China. Water 2021, 13, 2490. [Google Scholar] [CrossRef]
- Wu, J.; Xing, Y.; Bai, Y.; Hu, X.; Yuan, S. Risk assessment of large-scale winter sports sites in the context of a natural disaster. J. Saf. Sci. Resil. 2022, 3, 263–276. [Google Scholar] [CrossRef]
- Jia, J.; Ha, L.; Liu, Y.; He, N.; Zhang, Q.; Wan, X.; Zhang, Y.; Hu, J. Drought risk analysis of maize under climate change based on natural disaster system theory in Southwest China. Acta Ecol. Sin. 2016, 36, 340–349. [Google Scholar] [CrossRef]
- Cui, P.; Peng, J.; Shi, P.; Tang, H.; Ouyang, C.; Zou, Q.; Liu, L.; Li, C.; Lei, Y. Scientific challenges of research on natural hazards and disaster risk. Geogr. Sustain. 2021, 2, 216–223. [Google Scholar] [CrossRef]
- Zarghami, S.A.; Dumrak, J. A system dynamics model for social vulnerability to natural disasters: Disaster risk assessment of an Australian city. Int. J. Disaster Risk Reduct. 2021, 60, 102258. [Google Scholar] [CrossRef]
- Laimighofer, J.; Laaha, G. How standard are standardized drought indices? Uncertainty components for the SPI & SPEI case. J. Hydrol. 2022, 613, 128385. [Google Scholar] [CrossRef]
- Ghasemi, P.; Karbasi, M.; Nouri, A.Z.; Tabrizi, M.S.; Azamathulla, H.M. Application of Gaussian process regression to forecast multi-step ahead SPEI drought index. Alex. Eng. J. 2021, 60, 5375–5392. [Google Scholar] [CrossRef]
- Muse, S.K.; Nyaga, J.M.; Dubow, A.Z. SPEI-based spatial and temporal evaluation of drought in Somalia. J. Arid. Environ. 2021, 184, 104296. [Google Scholar] [CrossRef]
- Roy, L.; Das, S. GIS-based landform and LULC classifications in the Sub-Himalayan Kaljani Basin: Special reference to 2016 Flood. Egypt. J. Remote Sens. Space Sci. 2021, 24, 755–767. [Google Scholar] [CrossRef]
- Mieza, M.S.; Cravero, W.R.; Kovac, F.D.; Bargiano, P.G. Delineation of site-specific management units for operational applications using the topographic position index in La Pampa, Argentina. Comput. Electron. Agric. 2016, 127, 158–167. [Google Scholar] [CrossRef]
- Jeroen, D.R.; Jean, B.; Machteld, B.; Ann, Z.; Vanessa, G.; Philippe, D.S.; Wei, C.; Marc, A.; Philippe, D.M.; Peter, F.; et al. Application of the topographic position index to heterogeneous landscapes. Geomorphology 2013, 186, 39–49. [Google Scholar] [CrossRef]
- Wei, Y.; Wang, W.; Tang, X.; Li, H.; Hu, H.; Wang, X. Classification of Alpine Grasslands in Cold and High Altitudes Based on Multispectral Landsat-8 Images: A Case Study in Sanjiangyuan National Park, China. Remote Sens. 2022, 14, 3714. [Google Scholar] [CrossRef]
- Atefi, M.R.; Miura, H. Detection of Flash Flood Inundated Areas Using Relative Difference in NDVI from Sentinel-2 Images: A Case Study of the August 2020 Event in Charikar, Afghanistan. Remote Sens. 2022, 14, 3647. [Google Scholar] [CrossRef]
- Du, X.; Li, X.; Zhang, S.; Zhao, T.; Hou, Q.; Jin, X.; Zhang, J. High-accuracy estimation method of typhoon storm surge disaster loss under small sample conditions by information diffusion model coupled with machine learning models. Int. J. Disaster Risk Reduct. 2022, 82, 103307. [Google Scholar] [CrossRef]
- Zhang, M.; Qin, S.; Zhu, X. Information diffusion under public crisis in BA scale-free network based on SEIR model—Taking COVID-19 as an example. Phys. A Stat. Mech. Its Appl. 2021, 571, 125848. [Google Scholar] [CrossRef]
- Boardman, A.; Vertinsky, I.; Whistler, D. Using information diffusion models to estimate the impacts of regulatory events on publicly traded firms. J. Public Econ. 1997, 63, 283–300. [Google Scholar] [CrossRef]
- Kisi, O.; Ay, M. Comparison of Mann–Kendall and innovative trend method for water quality parameters of the Kizilirmak River, Turkey. J. Hydrol. 2014, 513, 362–375. [Google Scholar] [CrossRef]
- Milan, G.; Slavisa, T. Analysis of changes in meteorological variables using Mann-Kendall and Sen’s slope estimator statistical tests in Serbia. Glob. Planet. Change 2013, 100, 172–182. [Google Scholar] [CrossRef]
- Khaled, H.H. Trend detection in hydrologic data: The Mann–Kendall trend test under the scaling hypothesis. J. Hydrol. 2008, 349, 350–363. [Google Scholar] [CrossRef]
- Zhou, H.; Qu, H. Drought and drought resistance work in Jilin Province in 2014. China Flood Drought Manag. 2014, 5, 14–16. [Google Scholar] [CrossRef]
- Wu, D.; Zhang, B.; Chen, P. Community Composition and Structure of Soil Macro-Arthropods Under Agricultural Land Uses in the Black Soil Region of Jilin Province, China. Agric. Sci. China 2006, 5, 451–455. [Google Scholar] [CrossRef]
- Li, X.; Wang, D.; Ren, Y.; Wang, Z.; Zhou, Y. Soil quality assessment of croplands in the black soil zone of Jilin Province, China: Establishing a minimum data set model. Ecol. Indic. 2019, 107, 105251. [Google Scholar] [CrossRef]
- Maryann, E.H.; Patrick, R.S.; Amy, G.V.; Asa, L.F. Assessing the impact of standards-based grading policy changes on student performance and practice work completion in secondary mathematics. Stud. Educ. Eval. 2022, 75, 101211. [Google Scholar] [CrossRef]
- Zhu, C.Y.; Gao, R.; Zhao, G. Permian to Cretaceous tectonic evolution of the Jiamusi and Songliao blocks in NE China: Transition from the closure of the Paleo-Asian Ocean to the subduction of the Paleo-Pacific Ocean. Gondwana Res. 2022, 103, 371–388. [Google Scholar] [CrossRef]
- Ma, Y.; Liu, Y.; Peskov, A.Y.; Wang, Y.; Song, W.; Zhang, Y.; Qian, C.; Liu, T. Paleozoic tectonic evolution of the eastern Central Asian Orogenic Belt in NE China. China Geol. 2022, 5, 555–578. [Google Scholar] [CrossRef]
- Derrick, H.; Jacqueline, A.H.; Alan, S.C.; Martin, H.; Corné, K.; Matthew, G.G.; Stijn, G. New Maps of Global Geological Provinces and Tectonic Plates. Earth-Sci. Rev. 2022, 231, 104069. [Google Scholar] [CrossRef]
- Hanen, B.; Ben Abbes, A.; Nedra, M.; Imed Riadh, F.; Yanfang, S.; Myriam, L. A review of drought monitoring with big data: Issues, methods, challenges and research directions. Ecol. Inform. 2020, 60, 101136. [Google Scholar] [CrossRef]
- Hao, Z.; Xia, Y.; Luo, L.; Singh, V.P.; Ouyang, W.; Hao, F. Toward a categorical drought prediction system based on U.S. Drought Monitor (USDM) and climate forecast. J. Hydrol. 2017, 551, 300–305. [Google Scholar] [CrossRef]
- Lv, Y.; He, H.; Ren, X.; Zhang, L.; Qin, K.; Wu, X.; Niu, Z.; Feng, L.; Xu, Q.; Zhang, M. High resistance of deciduous forests and high recovery rate of evergreen forests under moderate droughts in China. Ecol. Indic. 2022, 144, 109469. [Google Scholar] [CrossRef]
- Wang, D.; Yue, D.; Zhou, Y.; Huo, F.; Bao, Q.; Li, K. Drought Resistance of Vegetation and Its Change Characteristics before and after the Implementation of the Grain for Green Program on the Loess Plateau, China. Remote Sens. 2022, 14, 5142. [Google Scholar] [CrossRef]
- Ford, T.W.; Labosier, C.F. Meteorological conditions associated with the onset of flash drought in the Eastern United States. Agric. For. Meteorol. 2017, 247, 414–423. [Google Scholar] [CrossRef]
- Williams, J.D.; Long, D.S.; Reardon, C.L. Productivity and water use efficiency of intensified dryland cropping systems under low precipitation in Pacific Northwest, USA. Field Crops Res. 2020, 254, 107787. [Google Scholar] [CrossRef]















| Region Name | Abbreviation | Grain Production in 2020 (Million Tons) | Region Area (Million Hectares) | Sown Area in 2020 (Million Hectares) |
|---|---|---|---|---|
| Nongan | NA | 305.0046 | 54 | 42.6 |
| Fuyu | FY | 300 | 46.58 | 33.3771 |
| Yushu | YS | 296.574566 | 47.22 | 38.0681 |
| Gongzhuling | GZL | 250.3623 | 40.27 | 31.3891 |
| Lishu | LS | 200 | 42.09 | 26.4963 |
| Qianguo | QG | 194.4849 | 70 | 32.2881 |
| Changling | CL | 173.68926 | 57.284 | 33.1743 |
| Dehui | DH | 142.25 | 34.35 | 20.2009 |
| Tongyu | TY | 138.1 | 84.76 | 28.0806 |
| Shuangliao | SHL | 120.35 | 31.212 | 18.9896 |
| Jiutai | JT | 119.7508 | 28.75 | 19.4158 |
| Taonan | TN | 116.15196 | 51.03 | 21.9038 |
| Zhenlai | ZL | 116.05043 | 47.37 | 17.4508046 |
| Qianan | QA | 110.1002 | 36.166 | 16.2898 |
| Yitong | YT | 104.1922 | 25.23 | 12.5333 |
| Taobei | TB | 100.56755 | 25.25 | 14.98984 |
| Shulan | SL | 96.003 | 45.5705 | 13.7887 |
| Daan | DA | 86.5897 | 48.79 | 15.3928 |
| First-Level Indicators | Secondary Indicators | Secondary Indicator Explanation | Data Source |
|---|---|---|---|
| Emergency management capacity | Number of expert managers | Number of technical experts and managers | Survey Data * |
| Disaster reduction funding input | Proportion of investment in disaster reduction to GDP | ||
| Number of emergency plans | Number of Regional Emergency Management Plans | ||
| Resources supporting capacity | Energy conservation expenses ratio | Expenditure on energy conservation, forest protection, pollution reduction to forests, renewable energy, and natural ecological protection | Statistical Yearbooks * |
| Agriculture affairs expenses ratio | Expenditure on livestock, farm machinery, etc. | ||
| Regional GDP | Regional GDP in 2020 | ||
| Rural population ratio | Proportion of rural population in regional population | ||
| Agricultural modernization level | Total power of agricultural machinery | The total power of each power machine used in agriculture, forestry, and animal husbandry | Statistical Yearbooks * |
| Large and medium machinery farm tools | Number of agricultural machines | ||
| Effective irrigation area | The sum of the area of paddy and watered land capable of normal irrigation | ||
| Fertilizer load per unit area | Proportion of Chemical Fertilizer Application in Cultivated Land |
| Drought Type | SPEI Value | Frequency | Drought Hazard Grade |
|---|---|---|---|
| No drought | SPEI > −0.5 | 66.08% | 1 |
| Light drought | −1.0 < SPEI ≤ −0.5 | 19.63% | 2 |
| Medium drought | −1.5 < SPEI ≤ −1.0 | 10.33% | 3 |
| Heavy drought | −2.0 < SPEI ≤ −1.5 | 2.85% | 4 |
| Severe drought | SPEI ≤ −2.0 | 1.12% | 5 |
| Drought Resistance | Soil Type | Grade Value |
|---|---|---|
| Strong | Black soil, black calcium soil, meadow soil | 5 |
| Stronger | Alluvial soils, whitish soil, paddy soil | 4 |
| Medium | Dark brown soil, sandy soil, chestnut soil | 3 |
| Weaker | Brown soil | 2 |
| Weak | Alkaline soil, limestone soil, swamp soil, peat soil, salt soil | 1 |
| Scope | Grade | Grade Value |
|---|---|---|
| [μ + 1.5 σ, 1] | Strong | 5 |
| [μ + 0.5 σ, μ + 1.5 σ] | Stronger | 4 |
| [μ − 0.5 σ, μ + 0.5 σ] | Medium | 3 |
| [μ − 1.5 σ, μ − 0.5 σ] | Weaker | 2 |
| [0, μ − 1.5 σ] | Weak | 1 |
Disclaimer/Publisher’s Note: The statements, opinions and data contained in all publications are solely those of the individual author(s) and contributor(s) and not of MDPI and/or the editor(s). MDPI and/or the editor(s) disclaim responsibility for any injury to people or property resulting from any ideas, methods, instructions or products referred to in the content. |
© 2023 by the authors. Licensee MDPI, Basel, Switzerland. This article is an open access article distributed under the terms and conditions of the Creative Commons Attribution (CC BY) license (https://creativecommons.org/licenses/by/4.0/).
Share and Cite
Zhang, J.; Wang, J.; Chen, S.; Wang, M.; Tang, S.; Zhao, W. Integrated Risk Assessment of Agricultural Drought Disasters in the Major Grain-Producing Areas of Jilin Province, China. Land 2023, 12, 160. https://doi.org/10.3390/land12010160
Zhang J, Wang J, Chen S, Wang M, Tang S, Zhao W. Integrated Risk Assessment of Agricultural Drought Disasters in the Major Grain-Producing Areas of Jilin Province, China. Land. 2023; 12(1):160. https://doi.org/10.3390/land12010160
Chicago/Turabian StyleZhang, Jiawang, Jianguo Wang, Shengbo Chen, Mingchang Wang, Siqi Tang, and Wutao Zhao. 2023. "Integrated Risk Assessment of Agricultural Drought Disasters in the Major Grain-Producing Areas of Jilin Province, China" Land 12, no. 1: 160. https://doi.org/10.3390/land12010160
APA StyleZhang, J., Wang, J., Chen, S., Wang, M., Tang, S., & Zhao, W. (2023). Integrated Risk Assessment of Agricultural Drought Disasters in the Major Grain-Producing Areas of Jilin Province, China. Land, 12(1), 160. https://doi.org/10.3390/land12010160

