The Impact of Fine-Scale Present and Historical Land Cover on Plant Diversity in Central European National Parks with Heterogeneous Landscapes
Abstract
:1. Introduction
2. Materials and Methods
2.1. Study Area
2.2. Vascular Plant, Land Cover and Supplementary Data
2.3. Statistical Analyses
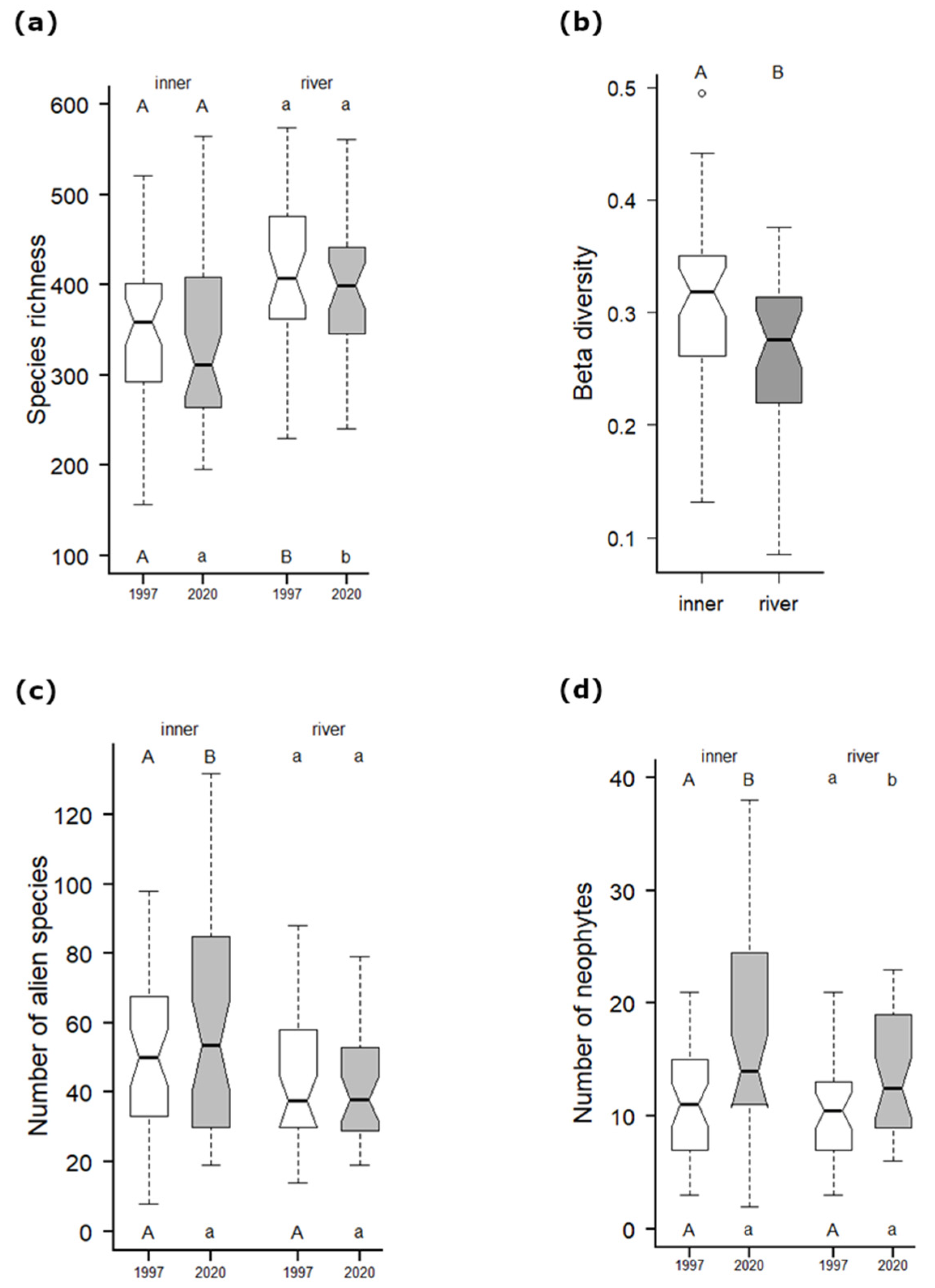
3. Results
4. Discussion
5. Conclusions
Author Contributions
Funding
Institutional Review Board Statement
Informed Consent Statement
Data Availability Statement
Acknowledgments
Conflicts of Interest
Appendix A


References
- Magyari, E.K.; Chapman, J.; Fairbairn, A.S.; Francis, M.; Guzman, M. Neolithic human impact on the landscapes of North-East Hungary inferred from pollen and settlement records. Veg. Hist. Archaeobotany 2012, 21, 279–302. [Google Scholar] [CrossRef] [Green Version]
- Dahlström, A.; Cousins, S.A.O.; Eriksson, O. The history (1620–2006) of land use, people and livestock, and the relationship to present plant species diversity in a rural landscape in Sweden. Environ. Hist. 2006, 12, 191–212. [Google Scholar] [CrossRef]
- Vives, G.S.; Miras, Y.; Riera, S.; Julia, R.; Allée, P.; Orengo, H.; Paradis-Grenouillet, S.; Palet, J.P. Tracing the land use history and vegetation dynamics in the Mont Lozere (Massif Central, France) during the last 2000 years: The interdisciplinary study case of Countrasts peat bog. Quart. Int. 2014, 353, 123–129. [Google Scholar] [CrossRef] [Green Version]
- Berglund, B.E.; Gaillard, M.J.; Björkman, L.; Persson, T. Long-term changes in floristic diversity in southern Sweden: Palynological richness, vegetation dynamics and land-use. Veg. Hist. Archaeobotany 2008, 17, 573–583. [Google Scholar] [CrossRef]
- Skokanová, H.; Havlíček, M.; Unar, P.; Janík, D.; Šimeček, K. Changes of Ortolan Bunting (Emberiza hortulana L.) habitats and implications for the species presence in SE Moravia, Czech Republic. Pol. J. Ecol. 2016, 64, 98–112. [Google Scholar]
- Amici, V.; Landi, S.; Frascaroli, F.; Rocchini, D.; Santi, E.; Chiarucci, A. Anthropogenic drivers of plant diversity: Perspective on land use change in a dynamic cultural landscape. Biodivers. Conserv. 2015, 24, 3185–3199. [Google Scholar] [CrossRef]
- Bezák, P.; Petrovič, F. Agriculture, landscape, biodiversity: Scenarios and stakeholder perceptions in the Poloniny National Park (NE Slovakia). Ekológia Bratisl. 2006, 25, 82–93. [Google Scholar]
- Hejcman, M.; Hejcmanová, P.; Pavlů, V.; Beneš, J. Origin and history of grasslands in Central Europe—A review. Grass Forage Sci. 2013, 68, 345–363. [Google Scholar] [CrossRef]
- Hájková, P.; Roleček, J.; Hájek, M.; Horsák, M.; Fajmon, K.; Polák, M.; Jamrichová, E. Prehistoric origin of extremely species-rich semi-dry grasslands in the Bílé Karpaty Mts. Preslia 2011, 83, 185–204. [Google Scholar]
- Michalcová, D.; Chytrý, M.; Pechanec, V.; Hájek, O.; Jongepier, J.W.; Danihelka, J.; Grulich, V.; Šumberová, K.; Preislerová, Z.; Ghisla, A.; et al. High plant diversity of grasslands in a landscape context: A comparison of contrasting regions in Central Europe. Folia Geobot. 2014, 49, 117–135. [Google Scholar] [CrossRef]
- Johansson, L.J.; Hall, K.; Prentice, H.C.; Ihse, M.; Reitalu, T.; Sykes, M.T.; Kindström, M. Semi-natural grassland continuity, long-term land-use change and plant species richness in an agricultural landscape on Öland, Sweden. Landsc. Urban Plan. 2008, 84, 200–211. [Google Scholar] [CrossRef]
- Wilson, J.B.; Peet, R.K.; Dengler, J.; Pärtel, M. Plant species richness: The world records. J. Veg. Sci. 2012, 23, 796–802. [Google Scholar] [CrossRef]
- Chytrý, M.; Dražil, T.; Hájek, M.; Kalníková, V.; Preislerová, Z.; Šibík, J.; Ujházy, K.; Axmanová, I.; Bernátová, D.; Blanár, D.; et al. The most species-rich plant communities in the Czech Republic and Slovakia (with new world records). Preslia 2015, 87, 217–278. [Google Scholar]
- Škodová, I.; Hájek, M.; Chytrý, M.; Jongepierová, I.; Knollová, I. Vegetace (Vegetation). In Louky Bílých Karpat (Grasslands of the White Carpathian Mountains); Jongepierová, I., Ed.; ZO ČSOP Bílé Karpaty: Veseli nad Moravou, Czech Republic, 2008; pp. 128–177. [Google Scholar]
- Škodová, I.; Devánová, K.; Senko, D. Subxerophilous and mesophilous grasslands of the Biele Karpaty Mts (White Carpathian Mts) in Slovakia. Tuexenia 2011, 31, 235–269. [Google Scholar]
- Cornwell, W.K.; Grubb, P.J. Regional and local patterns in plant species richness with respect to resource availability. Oikos 2003, 100, 417–428. [Google Scholar] [CrossRef] [Green Version]
- Merunková, K.; Chytrý, M. Environmental control of species richness and composition in upland grasslands of the southern Czech Republic. Plant Ecol. 2012, 213, 591–602. [Google Scholar] [CrossRef]
- Axmanová, I.; Chytrý, M.; Zelený, D.; Li, C.F.; Vymazalová, M.; Danihelka, J.; Horsák, M.; Kočí, M.; Kubešová, S.; Lososová, Z.; et al. The species richness–productivity relationship in the herb layer of European deciduous forests. Glob. Ecol. Biogeogr. 2012, 21, 657–667. [Google Scholar] [CrossRef]
- Vonlanthen, C.; Kammer, P.; Eugster, W.; Bühler, A.; Veit, H. Alpine vascular plant species richness: The importance of daily maximum temperature and pH. Plant Ecol. 2006, 184, 13–25. [Google Scholar] [CrossRef] [Green Version]
- Chytrý, M.; Tichý, L. Phenological mapping in a topographically complex landscape by combining field survey with an irradiation model. Appl. Veg. Sci. 1998, 1, 225–232. [Google Scholar] [CrossRef]
- Pyšek, P.; Prach, K. Plant invasions and the role of riparian habitats: A comparison of four species alien to central Europe. J. Biogeogr. 1993, 20, 413–420. [Google Scholar] [CrossRef]
- Zelený, D.; Chytrý, M. Environmental control of vegetation pattern in deep river valleys of the Bohemian Massif. Preslia 2007, 79, 205–222. [Google Scholar]
- Williams, J.J.; Newbold, T. Local climatic changes affect biodiversity responses to land use: A review. Divers. Distrib. 2020, 26, 76–92. [Google Scholar] [CrossRef]
- Cousins, S.A.; Eriksson, O. The influence of management history and habitat on plant species richness in a rural hemiboreal landscape, Sweden. Landsc. Ecol. 2002, 17, 517–529. [Google Scholar] [CrossRef]
- Spiegelberger, T.; Matthies, D.; Müller-Schärer, H.; Schaffner, U. Scale-dependent effects of land use on plant species richness of mountain grassland in the European Alps. Ecography 2006, 29, 541–548. [Google Scholar] [CrossRef]
- Tasser, E.; Tappiner, U. Impact of land use changes on mountain vegetation. Appl. Veg. Sci. 2002, 5, 173–184. [Google Scholar] [CrossRef]
- Amici, V.; Santi, E.; Filibeck, G.; Diekman, M.; Geri, F.; Landi, S.; Scoppola, A.; Chiarucci, A. Influence of secondary forest succession on plant diversity patterns in a Mediterranean landscape. J. Biogeogr. 2013, 40, 2335–2347. [Google Scholar] [CrossRef]
- Gustavsson, E.; Lennartsson, T.; Emanuelsson, M. Land use more than 200 years ago explains current grassland plant diversity in a Swedish agricultural landscape. Biol. Conserv. 2007, 138, 47–59. [Google Scholar] [CrossRef]
- Chytrý, M.; Vicherek, J. Lesní Vegetace NP Podyjí; Academia: Praha, Czech Republic, 1995; p. 166. [Google Scholar]
- Roetzel, R.; Fuchs, G.; Batík, P.; Čtyroký, P.; Havlíček, P. Geologische Karte der Nationalparks Thayatal und Podyjí / Geologická Mapa Národních Parků Thayatal a Podyjí, 1:50,000; Geologische Bundesanstalt: Wien, Austria, 2005. [Google Scholar]
- Tolasz, R. Atlas Podnebí Česka; Czech Hydrometeorological Institute: Praha, Czech Republic, 2007; p. 255. [Google Scholar]
- Chytrý, M.; Grulich, V.; Tichý, L.; Kouřil, M. Phytogeographical boundary between the Pannonicum and Hercinicum: A multivariate analysis of landscape in the Podyji/Thayatal National Park, Czech Republic/Austria. Preslia 1999, 71, 23–41. [Google Scholar]
- Stejskal, R. Nosatcovití Brouci (Coleoptera, Curculionoidea) ve Vybraných Lesních Geobiocenózách Národního Parku Podyjí. Ph.D. Thesis, MENDELU, Brno, Czech Republic, 2006; p. 123. [Google Scholar]
- Šumpich, J. Motýli Národních parků Podyjí a Thayatal. Die Schmetterlinge der Nationalparke Podyjí und Thayatal; Správa Národního parku Podyjí: Znojmo, Czech Republic, 2011; p. 428. [Google Scholar]
- Myšák, J.; Horsák, M. Biodiversity surrogate effectiveness in two habitat types of contrasting gradient complexity. Biodivers. Conserv. 2014, 23, 1133–1156. [Google Scholar] [CrossRef]
- Němec, R. (Ed.) Rozšíření Cévnatých Rostlin Národních Parků Podyjí a Thayatal; Správa Národního parku Podyjí: Znojmo, Czech Republic, 2021; p. 399. [Google Scholar]
- Zulka, K.P.; Gilli, C.; Paternoster, D.; Banko, G.; Schratt-Ehrendorfer, L.; Niklfeld, H. Die Bedeutung der Österreichischen Nationalparks für den Schutz, Die Bewahrung und das Management von Gefährdeten, Endemischen und Subendemischen Arten und Lenensräumen; Umweltbundesaumt: Wien, Austria, 2021; p. 259. [Google Scholar]
- Podborský, V.; Vildomec, V. Pravěk Znojemska; Jihomoravské muzeum ve Znojmě: Znojmo, Czech Republic, 1972; p. 282. [Google Scholar]
- Kovárník, J. Výsledky terénního archeologického průzkumu na Znojemsku (okr. Znojmo). Přehled Výzkumů 1983, 28, 100–102. [Google Scholar]
- Kovárník, J. Nové archeologické nálezy ze Znojemska a Třebíčska (okr. Třebíč, Znojmo). Přehled Výzkumů 1993, 128–131. [Google Scholar]
- Kovárník, J. Další archeologické nálezy ze Znojemska a Třebíčska (okr. Třebíč, Znojmo). Přehled Výzkumů 1993, 35, 115–126. [Google Scholar]
- Čižmář, Z. Mašovice—“Pšeničné“ (okr. Znojmo). In Život a Smrt v Mladší Době Kamenné; Čižmář, Z., Ed.; Ústav archeologické a památkové péče: Brno, Czech Republic, 2008; pp. 126–143. [Google Scholar]
- Vrška, T.; Janík, D.; Pálková, M.; Adam, D.; Trochta, J. Below-and above-ground biomass, structure and patterns in ancient lowland coppices. iFor. BiogeoSci. For. 2016, 10, 23–31. [Google Scholar] [CrossRef] [Green Version]
- Skokanová, H.; Musil, M.; Havlíček, M.; Pokorná, P.; Svobodová, E.; Zýka, V. Analýza vývoje krajiny národních parků Podyjí a Thayatal a jejich okolí. Thayensia 2021, 18, 3–46. [Google Scholar]
- Grulich, V. Atlas Rozšíření Cévnatých Rostlin Národního parku Podyjí/Thayatal. Verbreitungsatlas der Gefäßpflanzen des Nationalparks Podyjí/Thayatal; Masarykova Univerzita: Brno, Czech Republic, 1997; p. 297. [Google Scholar]
- Kaplan, Z.; Danihelka, J.; Chrtek, J.; Kirschner, J.; Kubát, K.; Štech, M.; Štěpánek, J. (Eds.) Klíč ke Květeně České Republiky, 2nd ed.; Academia: Praha, Czech Republic, 2019; p. 1168. [Google Scholar]
- Miklín, J.; Miklínová, K.; Čížek, L. Změny krajinného krytu na území národního praku Podyjí mezi lety 1938 a 2014. Thayensia 2016, 13, 59–80. [Google Scholar]
- Geologische Bundesanstalt. Geologische Karte der Republik Österreich 1:50.000. Available online: https://gisgba.geologie.ac.at/gbaviewer/?url=https://gisgba.geologie.ac.at/arcgis/rest/services/KM50/AT_GBA_KM50_GE_LS99/MapServer (accessed on 16 February 2022).
- Pyšek, P.; Danihelka, J.; Sádlo, J.; Chrtek, J., Jr.; Chytrý, M.; Jarošík, V.; Kaplan, Z.; Krahulec, F.; Moravcová, L.; Pergl, J.; et al. Catalogue of alien plants of the Czech Republic (2nd edition): Checklist update, taxonomic diversity and invasion patterns. Preslia 2012, 84, 155–255. [Google Scholar]
- Grulich, V. The Red List of vascular plants of the Czech Republic. Příroda 2017, 35, 75–132. [Google Scholar]
- Chytrý, M.; Tichý, L.; Dřevojan, P.; Sádlo, J.; Zelený, D. Ellenberg-type indicator values for the Czech flora. Preslia 2018, 90, 83–103. [Google Scholar] [CrossRef] [Green Version]
- Zelený, D.; Schaffers, A.P. Too good to be true: Pitfalls of using mean Ellenberg indicator values in vegetation analyses. J. Veg. Sci. 2012, 23, 419–431. [Google Scholar] [CrossRef]
- Anderson, M.J. A new method for non-parametric multivariate analysis of variance. Austral Ecol. 2001, 26, 32–46. [Google Scholar]
- Anderson, M.J.; Crist, T.O.; Chase, J.M.; Vellend, M.; Inouye, B.D.; Freestone, A.L.; Sanders, N.J.; Cornell, H.V.; Comita, L.S.; Davies, K.F.; et al. Navigating the multiple meanings of β diversity: A roadmap for the practicing ecologist. Ecol. Lett. 2011, 14, 19–28. [Google Scholar] [CrossRef] [PubMed]
- Anderson, M.J. Distance-based tests for homogeneity of multivariate dispersions. Biometrics 2006, 62, 245–253. [Google Scholar] [CrossRef] [PubMed]
- Breiman, L.; Friedman, J.; Olshen, R.; Stone, C. Classification and Regression Trees; CRC Press: Boca Raton, FL, USA, 1984. [Google Scholar]
- Therneau, T.; Atkinson, B. rpart: Recursive Partitioning and Regression Trees. R Package Version 2019, 4, 1–15. [Google Scholar]
- Wickham, H.; Averick, M.; Bryan, J.; Chang, W.; McGowan, L.D.; François, R.; Grolemund, G.; Hayes, A.; Henry, L.; Hester, J.; et al. Welcome to the tidyverse. J. Open Source Softw. 2019, 4, 1686. [Google Scholar] [CrossRef]
- Kassambara, A. ggpubr: “ggplot2” Based Publication Ready Plots. R Package Version 0.4.0. Available online: https://CRAN.R-project.org/package=ggpubr (accessed on 1 March 2021).
- Kassambara, A. rstatix: Pipe-Friendly Framework for Basic Statistical Tests. R package version 0.7.0. Available online: https://CRAN.R-project.org/package=rstatix (accessed on 1 March 2021).
- Oksanen, J.; Guillaume, F.B.; Friendly, M.; Kindt, R.; Legendre, P.; McGlinn, D.; Minchin, P.; O’hara, R.; Simpson, G.; Solymos, P.; et al. Vegan: Community Ecology Package. R Package Version 2.2-0. Available online: https://www.scirp.org/(S(351jmbntvnsjt1aadkposzje))/reference/ReferencesPapers.aspx?ReferenceID=1778707 (accessed on 16 February 2022).
- Maechler, M.; Rousseeuw, P.; Struyf, A.; Hubert, M. Cluster: Cluster Analysis Basics and Extensions, R Package Version 2.0.7-1; R Package Vignette: Madison, WI, USA, 2021. [Google Scholar]
- Milborrow, S. rpart.plot: Plot ‘rpart’ Models: An Enhanced Version of ‘plot.rpart’, R package version 3.0.9, 2020. Available online: https://cran.r-project.org/web/packages/rpart.plot/index.html (accessed on 16 February 2022).
- Gilbert, O.L. The Ecology of Urban Habitats; Chapman & Hall: London, UK, 1989; p. 369. [Google Scholar]
- Kuhn, T.; Domokos, P.; Kiss, R.; Ruprecht, E. Grassland management and land use history shape species composition and diversity in Transilvanian semi-natural grassland. Appl. Veg. Sci. 2021, 24, 1–12. [Google Scholar] [CrossRef]
- Nordén, B.; Dahlberg, A.; Brandrud, T.E.; Fritz, Ö.; Ejrnaes, R.; Ovaskainen, O. Effects of ecological continuity on species richness and composition in forests and woodlands: A review. Ecoscience 2014, 21, 34–45. [Google Scholar] [CrossRef]
- Galvánek, D.; Lepš, J. Changes of species richness pattern in mountain grasslands: Abandonment vs. restoration. Biodivers. Conserv. 2008, 17, 3241–3253. [Google Scholar] [CrossRef]
- Plieninger, T.; Hui, C.; Gaertner, M.; Huntsinger, L. The Impact of Land Abandonment on Species Richness and Abundance in the Mediterranean Basin: A Meta-Analysis. PLoS ONE 2014, 9, e98355. [Google Scholar] [CrossRef]
- Dreslerová, D.; Hájek, P.; Sádlo, J.; Pokorný, P.; Cílek, V. Krajina a Revoluce. Významné Přelomy ve Vývoji Kulturní Krajiny Českých Zemí; Malá skála: Praha, Czech Republic, 2008; p. 248. [Google Scholar]
- Grass, A.; Tremetsberger, K.; Hössinger, R.; Bernhardt, K.-G. Change of species and habitat diversity in the Pannonian region of eastern Lower Austria over 170 years: Using herbarium records as a witness. Nat. Resour. 2014, 5, 583–596. [Google Scholar] [CrossRef] [Green Version]
- Hofmeister, J.; Hošek, J.; Modrý, M.; Roleček, J. The influence of light and nutrient availability on herb layer species richness in oak-dominated forests in central Bohemia. Plant Ecol. 2009, 205, 57–75. [Google Scholar] [CrossRef]
- Záhora, J.; Chytrý, M.; Holub, P.; Fiala, K.; Tůma, I.; Vavříková, J.; Fabšičová, M.; Keizer, I.; Filipová, L. The Effect of Nitrogen Accumulation on Heathlands and Dry Grasslands in the Czech Podyjí National Park. Životné Prostr. 2016, 2, 97–107. [Google Scholar]
- Gallego-Zamorano, J.; Huijbregts, M.A.J.; Schipper, A.M. Changes in plant species richness due to land use and nitrogen deposition across the globe. Divers. Distrib. 2022, 28, 745–755. [Google Scholar] [CrossRef]
- Ackerman, D.; Millet, D.B.; Chen, X. Global estimates of inorganic nitrogen deposition across four decades. Glob. Biogeochem. Cycles 2019, 33, 100–107. [Google Scholar] [CrossRef] [Green Version]
- Chytrý, M.; Vicherek, J. Travinná, keříčková a křovinná vegetace Národního parku Podyjí/Thayatal. Thayensia 2003, 5, 11–84. [Google Scholar]
- Krahulec, F.; Chytrý, M.; Härtel, H. Smilkové trávníky a vřesoviště (Calluno-Ulicetea). In Vegetace České Republiky. 1. Travinná a Keříčková Vegetace; Chytrý, M., Ed.; Academia: Praha, Czech Republic, 2007; pp. 281–319. [Google Scholar]
- Stevens, C.J.; Duprè, C.; Dorland, E.; Gaudnik, C.; Gowing, D.J.G.; Bleeker, A.; Diekmann, M.; Alard, D.; Bobbink, R.; Fowler, D.; et al. Nitrogen deposition threatens species richness of grasslands across Europe. Environ. Pollut. 2010, 158, 2940–2945. [Google Scholar] [CrossRef] [Green Version]
- Van den Berg, L.J.L.; Vergeer, P.; Rich, T.C.G.; Smart, S.M.; Guest, D.; Ashmore, M.R. Direct and indirect effects of nitrogen deposition on species composition change in calcareous grasslands. Glob. Change Biol. 2011, 17, 1871–1883. [Google Scholar] [CrossRef] [Green Version]







| Characteristics | Regions | PERMANOVA | PERMDISP | ||
|---|---|---|---|---|---|
| F | p | F | p | ||
| First vs. second floristic mapping | Whole model | 7.33 | <0.001 | 4.66 | 0.032 | 
| River | 4.12 | 0.002 | n.s. | ||
| Inner | 4.56 | <0.001 | 3.87 | 0.03 | |
| Land cover 1950 vs. 1997 | Whole model | 8.04 | <0.001 | n.s. | |
| River | 10.29 | <0.001 | |||
| Inner | 6.01 | <0.001 | |||
| Fringe | n.s. | ||||
| Land cover 1997 vs. 2018 | Whole model | n.s. | n.s. | ||
| Land cover 1950 vs. 2018 | Whole model | 8.71 | <0.001 | n.s. | |
| River | 12.77 | <0.001 | |||
| Inner | 5.69 | <0.001 | |||
| Fringe | n.s. | ||||
| Survey | Variables | Adj.R2 | p | Holm’s Corrected p | 
|---|---|---|---|---|
| Second floristic survey | Whole model | 0.126 | 0.001 | 0.126 | 
| Land-cover classification 1999 | 0.059 | 0.001 | 0.059 | |
| River phenomenon | 0.034 | 0.001 | 0.034 | |
| Land-cover classification 2018 | 0.023 | 0.001 | 0.023 | |
| Land-cover classification 1950 | 0.008 | 0.001 | 0.008 | |
| Landscape heterogeneity 2018 | n.s. | |||
| Landscape heterogeneity 1999 | n.s. | |||
| First floristic survey | Whole model | 0.135 | 0.001 | 0.135 | 
| Land-cover classification 1950 | 0.058 | 0.001 | 0.058 | |
| River phenomenon | 0.047 | 0.001 | 0.047 | |
| Land-cover classification 1999 | 0.021 | 0.001 | 0.021 | |
| Landscape heterogeneity 1999 | n.s. | 
| Publisher’s Note: MDPI stays neutral with regard to jurisdictional claims in published maps and institutional affiliations. | 
© 2022 by the authors. Licensee MDPI, Basel, Switzerland. This article is an open access article distributed under the terms and conditions of the Creative Commons Attribution (CC BY) license (https://creativecommons.org/licenses/by/4.0/).
Share and Cite
Němec, R.; Vymazalová, M.; Skokanová, H. The Impact of Fine-Scale Present and Historical Land Cover on Plant Diversity in Central European National Parks with Heterogeneous Landscapes. Land 2022, 11, 814. https://doi.org/10.3390/land11060814
Němec R, Vymazalová M, Skokanová H. The Impact of Fine-Scale Present and Historical Land Cover on Plant Diversity in Central European National Parks with Heterogeneous Landscapes. Land. 2022; 11(6):814. https://doi.org/10.3390/land11060814
Chicago/Turabian StyleNěmec, Radomír, Marie Vymazalová, and Hana Skokanová. 2022. "The Impact of Fine-Scale Present and Historical Land Cover on Plant Diversity in Central European National Parks with Heterogeneous Landscapes" Land 11, no. 6: 814. https://doi.org/10.3390/land11060814
APA StyleNěmec, R., Vymazalová, M., & Skokanová, H. (2022). The Impact of Fine-Scale Present and Historical Land Cover on Plant Diversity in Central European National Parks with Heterogeneous Landscapes. Land, 11(6), 814. https://doi.org/10.3390/land11060814
 
         
                                                

 
       